Submitted:
26 March 2026
Posted:
27 March 2026
You are already at the latest version
Abstract
Keywords:
1. Introduction
2. Methodology
2.1. MLIP
2.2. Datasets
2.3. Statistical Variability and Overall Performance Cost
2.4. MTP-Based Material Property Calculations
2.5. First-Principles Calculations
3. Results
3.1. Statistics and Trends
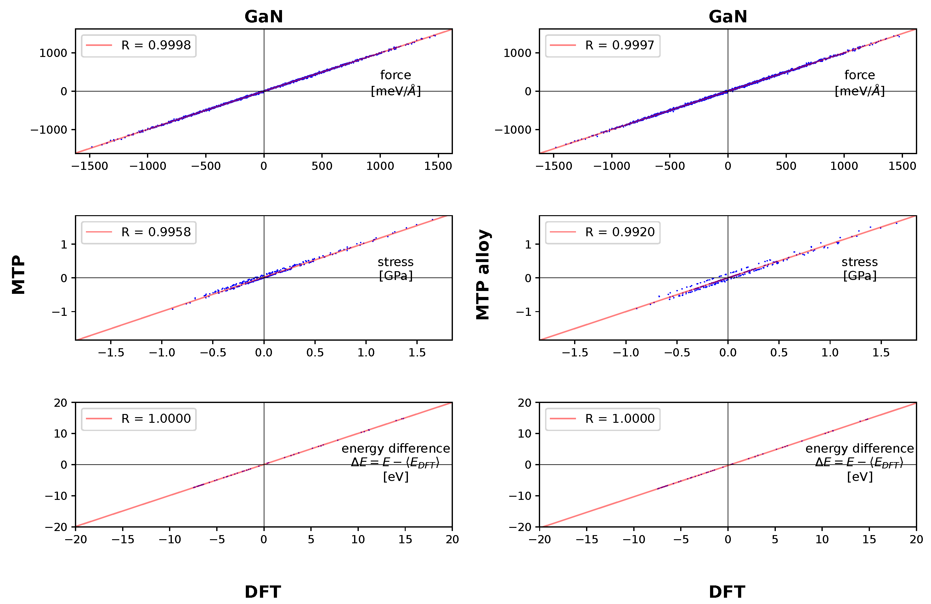
3.2. Prediction of Forces, Stresses and Energies



3.3. Lattice Constants
3.4. Elastic Constants
| AlN | GaN | N | ||||||||
| DFT | MTP | Exp. | DFT | MTP | Exp. | DFT | ||||
| 381 | 382 | 380 | 401−413 | 346 | 342 | 346 | 365−390 | 363 | 362 | |
| 356 | 360 | 389 | 368−390 | 384 | 385 | 387 | 379−398 | 381 | 385 | |
| 112 | 111 | 103 | 120−127 | 92 | 92 | 89 | 90−109 | 98 | 100 | |
| 137 | 144 | 145 | 127−149 | 128 | 128 | 133 | 106−145 | 133 | 139 | |
| 108 | 113 | 109 | 96−119 | 93 | 96 | 97 | 70−114 | 98 | 108 | |
3.5. Phonon Band Structure
3.6. Mode-Grüneisen Parameters
3.7. Lattice Thermal Conductivity
4. Conclusion
Supplementary Materials
Funding
Data Availability Statement
Acknowledgments
References
- McGaughey, A.; Kaviany, M. Phonon Transport in Molecular Dynamics Simulations: Formulation and Thermal Conductivity Prediction. In Advances in Heat Transfer; Elsevier, 2006; Vol. 39, pp. 169–255. [Google Scholar] [CrossRef]
- Lindsay, L. First Principles Peierls-Boltzmann Phonon Thermal Transport: A Topical Review. Nanoscale and Microscale Thermophysical Engineering 2016, 20, 67–84. [Google Scholar] [CrossRef]
- Mingo, N.; Yang, L. Phonon transport in nanowires coated with an amorphous material: An atomistic Green’s function approach. Phys. Rev. B 2003, 68, 245406. [Google Scholar] [CrossRef]
- Unke, O.T.; Chmiela, S.; Sauceda, H.E.; Gastegger, M.; Poltavsky, I.; Schütt, K.T.; Tkatchenko, A.; Müller, K.R. Machine Learning Force Fields. Chemical Reviews 2021, 121, 10142–10186. [Google Scholar] [CrossRef] [PubMed]
- Luo, Y.; Li, M.; Yuan, H.; Liu, H.; Fang, Y. Predicting lattice thermal conductivity via machine learning: a mini review. npj Computational Mathematics 2023, 9, 4. [Google Scholar] [CrossRef]
- Novikov, I.S.; Gubaev, K.; Podryabinkin, E.V.; Shapeev, A.V. The MLIP package: moment tensor potentials with MPI and active learning. Machine Learning: Science and Technology 2020, 2, 025002. [Google Scholar] [CrossRef]
- Togo, A.; Seko, A. On-the-fly training of polynomial machine learning potentials in computing lattice thermal conductivity. The Journal of Chemical Physics 2024, 160, 211001. [Google Scholar] [CrossRef] [PubMed]
- Lee, H.; Hegde, V.I.; Wolverton, C.; Xia, Y. Accelerating high-throughput phonon calculations via machine learning universal potentials. Materials Today Physics 2025, 53, 101688. [Google Scholar] [CrossRef]
- Jinnouchi, R.; Karsai, F.; Kresse, G. On-the-fly machine learning force field generation: Application to melting points. Phys. Rev. B 2019, 100, 014105. [Google Scholar] [CrossRef]
- Jinnouchi, R.; Karsai, F.; Verdi, C.; Asahi, R.; Kresse, G. Descriptors representing two- and three-body atomic distributions and their effects on the accuracy of machine-learned inter-atomic potentials. The Journal of Chemical Physics 2020, 152, 234102. [Google Scholar] [CrossRef]
- Podryabinkin, E.; Garifullin, K.; Shapeev, A.; Novikov, I. MLIP-3: Active learning on atomic environments with moment tensor potentials. The Journal of Chemical Physics 2023, 159, 084112. [Google Scholar] [CrossRef]
- Hodapp, M.; Anciaux, G. AutoPot: Automated and massively parallelized construction of Machine-Learning Potentials. arXiv 2026, arXiv:physics.comp. [Google Scholar]
- Mortazavi, B.; Zhuang, X.; Rabczuk, T.; Shapeev, A.V. Atomistic modeling of the mechanical properties: the rise of machine learning interatomic potentials. Mater. Horiz. 2023, 10, 1956–1968. [Google Scholar] [CrossRef]
- Stolte, N.; Daru, J.; Forbert, H.; Marx, D.; Behler, J. Random Sampling Versus Active Learning Algorithms for Machine Learning Potentials of Quantum Liquid Water. Journal of Chemical Theory and Computation 2025, 21, 886–899. [Google Scholar] [CrossRef] [PubMed]
- Fletcher, R. A new approach to variable metric algorithms. The Computer Journal 1970, 13, 317–322. Available online: https://academic.oup.com/comjnl/article-pdf/13/3/317/988678/130317.pdf. [CrossRef]
- Jadon, A.; Patil, A.; Jadon, S. A Comprehensive Survey of Regression-Based Loss Functions for Time Series Forecasting. In Proceedings of the Data Management, Analytics and Innovation; Sharma, N., Goje, A.C., Chakrabarti, A., Bruckstein, A.M., Eds.; Singapore, 2024; pp. 117–147. [Google Scholar]
- Thompson, A.P. LAMMPS - a flexible simulation tool for.
- Ramirez, R.; Herrero, C.; Hernandez, E.; Cardona, M. Path-integral molecular dynamics simulation of 3C-SiC. Physical Review B 2008, 77. [Google Scholar] [CrossRef]
- Togo, A.; Chaput, L.; Tanaka, I. Distributions of phonon lifetimes in Brillouin zones. Phys. Rev. B 2015, 91, 094306. [Google Scholar] [CrossRef]
- Togo, A.; Tanaka, I. First principles phonon calculations in materials science. Scr. Mater. 2015, 108, 1–5. [Google Scholar] [CrossRef]
- Li, W.; Carrete, J.; Katcho, N.A.; Mingo, N. ShengBTE: a solver of the Boltzmann transport equation for phonons. Comp. Phys. Commun. 2014, 185, 1747–1758. [Google Scholar] [CrossRef]
- Han, Z.; Yang, X.; Li, W.; Feng, T.; Ruan, X. FourPhonon: An extension module to ShengBTE for computing four-phonon scattering rates and thermal conductivity. Computer Physics Communications 2022, 270, 108179. [Google Scholar] [CrossRef]
- Li, W.; Lindsay, L.; Broido, D.A.; Stewart, D.A.; Mingo, N. Thermal conductivity of bulk and nanowire Mg2SixSn1-x alloys from first principles. Phys. Rev. B 2012, 86, 174307. [Google Scholar] [CrossRef]
- Tamura, S.i. Isotope scattering of dispersive phonons in Ge. Phys. Rev. B 1983, 27, 858–866. [Google Scholar] [CrossRef]
- Giannozzi, P. QUANTUM ESPRESSO: a modular and open-source software project for quantum simulations of materials. J. Phys. Condens. Matter 2009, 21, 395502. [Google Scholar] [CrossRef] [PubMed]
- Prandini, G.; Marrazzo, A.; Castelli, I.E.; Mounet, N.; Marzari, N. Precision and efficiency in solid-state pseudopotential calculations. npj Computational Materials 2018, 4, 72. Available online: http://materialscloud.org/sssp. [CrossRef]
- Dal Corso, A. Thermo_pw: a driver of Quantum‒ESPRESSO routines for ab-initio material properties. 2025. Available online: https://dalcorso.github.io/thermo_pw/.
- Bias Variance Decomposition. In Encyclopedia of Machine Learning; Sammut, C., Webb, G.I., Sammut, C., Webb, G.I., Eds.; Springer US: Boston, MA, 2010; pp. 100–101. [Google Scholar] [CrossRef]
- Reicht, L.; Legenstein, L.; Wieser, S.; Zojer, E. Designing Accurate Moment Tensor Potentials for Phonon-Related Properties of Crystalline Polymers. Molecules 2024, 29, 3724. [Google Scholar] [CrossRef]
- Reicht, L.; Legenstein, L.; Wieser, S.; Zojer, E. Analysing heat transport in crystalline polymers in real and reciprocal space. npj Computational Materials 2026. [Google Scholar] [CrossRef]
- Minamitani, E.; Ogura, M.; Watanabe, S. Simulating lattice thermal conductivity in semiconducting materials using high-dimensional neural network potential. Applied Physics Express 2019, 12, 095001. [Google Scholar] [CrossRef]
- Gao, M.; Bie, X.; Wang, Y.; Li, Y.; Zhai, Z.; Lyu, H.; Zou, X. Accurate Deep Potential Model of Temperature-Dependent Elastic Constants for Phosphorus-Doped Silicon. Nanomaterials 2025, 15. [Google Scholar] [CrossRef]
- Feng, Y.; Saravade, V.; Chung, T.F.; Dong, Y.; Zhou, H.; Kucukgok, B.; Ferguson, I.; Lu, N. Strain-stress study of AlxGa1-xN/AlN heterostructures on c-plane sapphire and related optical properties. Scientific Reports 2019, 9. [Google Scholar] [CrossRef]
- Angerer, H.; Brunner, D.; Freudenberg, F.; Ambacher, O.; Stutzmann, M.; Höpler, R.; Metzger, T.; Born, E.; Dollinger, G.; Bergmaier, A.; et al. Determination of the Al mole fraction and the band gap bowing of epitaxial AlxGa1-xN films. Applied Physics Letters 1997, 71, 1504–1506. [Google Scholar] [CrossRef]
- Skelton, J.M.; Tiana, D.; Parker, S.C.; Togo, A.; Tanaka, I.; Walsh, A. Influence of the exchange-correlation functional on the quasi-harmonic lattice dynamics of II-VI semiconductors. The Journal of Chemical Physics 2015, 143, 064710. Available online: https://pubs.aip.org/aip/jcp/article-pdf/doi/10.1063/1.4928058/15501644/064710_1_online.pdf. [CrossRef]
- Haas, P.; Tran, F.; Blaha, P. Calculation of the lattice constant of solids with semilocal functionals. Phys. Rev. B 2009, 79, 085104. [Google Scholar] [CrossRef]
- Puligheddu, M.; Xia, Y.; Chan, M.; Galli, G. Computational prediction of lattice thermal conductivity: A comparison of molecular dynamics and Boltzmann transport approaches. Phys. Rev. Mater. 2019, 3, 085401. [Google Scholar] [CrossRef]
- Kroencke, H.; Figge, s.; Hommel, D.; Epelbaum, B. Determination of the Temperature Dependent Thermal Expansion Coefficients of Bulk AlN by HRXRD. Acta Physica Polonica A 2008, 114, 1193. [Google Scholar] [CrossRef]
- Paszkowicz, W.; Knapp, M.; Podsiadlo, S.; Kamler, G.; Pelka, J. Lattice Parameters of Aluminium Nitride in the Range 10–291 K. Acta Physica Polonica A - ACTA PHYS POL A 1999, 101. [Google Scholar] [CrossRef]
- Slack, G.A.; Bartram, S.F. Thermal expansion of some diamondlike crystals. Journal of Applied Physics 1975, 46, 89–98. Available online: https://pubs.aip.org/aip/jap/article-pdf/46/1/89/18369550/89_1_online.pdf. [CrossRef]
- Yim, W.M.; Paff, R.J. Thermal expansion of AlN, sapphire, and silicon. Journal of Applied Physics 1974, 45, 1456–1457. Available online: https://pubs.aip.org/aip/jap/article-pdf/45/3/1456/18366881/1456_1_online.pdf. [CrossRef]
- Kirchner, V.; Heinke, H.; Hommel, D.; Domagala, J.Z.; Leszczynski, M. Thermal expansion of bulk and homoepitaxial GaN. Applied Physics Letters 2000, 77, 1434–1436. Available online: https://pubs.aip.org/aip/apl/article-pdf/77/10/1434/18551921/1434_1_online.pdf. [CrossRef]
- Leszczyński, M.; Teisseyre, H.; Suski, T.; Grzegory, I.; Bockowski, M.; Jun, J.; Palosz, B.; Porowski, S.; Pakuła, K.; Baranowski, J.; et al. Thermal Expansion of GaN Bulk Crystals and Homoepitaxial Layers. Acta Physica Polonica A 1996, 90, 887–890. [Google Scholar] [CrossRef]
- Maruska, H.P.; Tietjen, J.J. THE PREPARATION AND PROPERTIES OF VAPOR-DEPOSITED SINGLE-CRYSTAL-LINE GaN. Applied Physics Letters 1969, 15, 327–329. Available online: https://pubs.aip.org/aip/apl/article-pdf/15/10/327/18422744/327_1_online.pdf. [CrossRef]
- Reeber, R.R.; Wang, K. Lattice parameters and thermal expansion of GaN. Journal of Materials Research 2000, 15, 40–44. [Google Scholar] [CrossRef]
- Roder, C.; Einfeldt, S.; Figge, S.; Hommel, D. Temperature dependence of the thermal expansion of GaN. Phys. Rev. B 2005, 72, 085218. [Google Scholar] [CrossRef]
- Minikayev, R.; Paszkowicz, W.; Piszora, P.; Knapp, M.; Bähtz, C.; Podsiadło, S. Thermal expansion of polycrystalline gallium nitride: an X-ray diffraction study. X-Ray Spectrometry 2015, 44, 382–388. Available online: https://analyticalsciencejournals.onlinelibrary.wiley.com/doi/pdf/10.1002/xrs.2644. [CrossRef]
- Bergman, L.; Alexson, D.; Murphy, P.L.; Nemanich, R.J.; Dutta, M.; Stroscio, M.A.; Balkas, C.; Shin, H.; Davis, R.F. Raman analysis of phonon lifetimes in AlN and GaN of wurtzite structure. Physical Review B 1999, 59, 12977–12982. [Google Scholar] [CrossRef]
- Ohashi, Y.; Arakawa, M.; Kushibiki, J.; Epelbaum, B.; Winnacker, A. Ultrasonic microspectroscopy characterization of AlN single crystals. Applied Physics Express 2008, 1, 770041–770043. [Google Scholar] [CrossRef]
- Kim, T.; Kim, J.; Dalmau, R.; Schlesser, R.; Preble, E.; Jiang, X. High-Temperature Electromechanical Characterization of AlN Single Crystals. IEEE Transactions on Ultrasonics Ferroelectrics and Frequency Control 2015, 62, 1880–1887. [Google Scholar] [CrossRef]
- Yamaguchi, M.; Yagi, T.; Azuhata, T.; Sota, T.; Suzuki, K.; Chichibu, S.; Nakamura, S. Brillouin scattering study of gallium nitride: elastic stiffness constants. Journal of Physics: Condensed Matter 1997, 9, 241. [Google Scholar] [CrossRef]
- Polian, A.; Grimsditch, M.; Grzegory, I. Elastic constants of gallium nitride. Journal of Applied Physics 1996, 79, 3343–3344. Available online: https://pubs.aip.org/aip/jap/article-pdf/79/6/3343/18681835/3343_1_online.pdf. [CrossRef]
- Deger, C.; Born, E.; Angerer, H.; Ambacher, O.; Stutzmann, M.; Hornsteiner, J.; Riha, E.; Fischerauer, G. Sound velocity of AlxGa1-xN thin films obtained by surface acoustic-wave measurements. Applied Physics Letters 1998, 72, 2400–2402. Available online: https://pubs.aip.org/aip/apl/article-pdf/72/19/2400/18533753/2400_1_online.pdf. [CrossRef]
- Takagi, Y.; Ahart, M.; Azuhata, T.; Sota, T.; Suzuki, K.; Nakamura, S. Brillouin scattering study in the GaN epitaxial layer. Physica B: Condensed Matter;PHONONS 1996, 95, 219-220, 547–549. [Google Scholar] [CrossRef]
- McNeil, L.E.; Grimsditch, M.; French, R.H. Vibrational Spectroscopy of Aluminum Nitride. Journal of the American Ceramic Society 1993, 76, 1132–1136. Available online: https://ceramics.onlinelibrary.wiley.com/doi/pdf/10.1111/j.1151-2916.1993.tb03730.x. [CrossRef]
- Schwoerer-Böhning, M.; Macrander, A.T.; Pabst, M.; Pavone, P. Phonons in Wurtzite Aluminum Nitride. physica status solidi (b) 1999, 215, 177–180. [Google Scholar] [CrossRef]
- Ruf, T.; Serrano, J.; Cardona, M.; Pavone, P.; Pabst, M.; Krisch, M.; D’Astuto, M.; Suski, T.; Grzegory, I.; Leszczynski, M. Phonon Dispersion Curves in Wurtzite-Structure GaN Determined by Inelastic X-Ray Scattering. Phys. Rev. Lett. 2001, 86, 906–909. [Google Scholar] [CrossRef]
- Gonze, X.; Lee, C. Dynamical matrices, Born effective charges, dielectric permittivity tensors, and interatomic force constants from density-functional perturbation theory. Phys. Rev. B 1997, 55, 10355–10368. [Google Scholar] [CrossRef]
- Liu, M.S.; Bursill, L.; Prawer, S.; Nugent, K.; Tong, Y.; Zhang, G. Temperature dependence of Raman scattering in single crystal GaN films. Applied Physics Letters 1999, 74, 3125–3127. [Google Scholar] [CrossRef]
- Kazan, M.; Zgheib, C.; Moussaed, E.; Masri, P. Temperature dependence of Raman-active modes in AlN. Diamond and Related Materials;Diamond 2006, 15, 1169–1174. [Google Scholar] [CrossRef]
- Daly, B.C.; Maris, H.J.; Nurmikko, A.V.; Kuball, M.; Han, J. Optical pump-and-probe measurement of the thermal conductivity of nitride thin films. Journal of Applied Physics 2002, 92, 3820–3824. Available online: https://pubs.aip.org/aip/jap/article-pdf/92/7/3820/19044709/3820_1_online.pdf. [CrossRef]
- Inyushkin, A.V.; Taldenkov, A.N.; Chernodubov, D.A.; Mokhov, E.N.; Nagalyuk, S.S.; Ralchenko, V.G.; Khomich, A.A. On the thermal conductivity of single crystal AlN. Journal of Applied Physics 2020, 127, 205109. Available online: https://pubs.aip.org/aip/jap/article-pdf/doi/10.1063/5.0008919/15247444/205109_1_online.pdf. [CrossRef]
- Slack, G.A.; Tanzilli, R.; Pohl, R.; Vandersande, J. The intrinsic thermal conductivity of AIN. Journal of Physics and Chemistry of Solids 1987, 48, 641–647. [Google Scholar] [CrossRef]
- Jeżowski, A.; Danilchenko, B.; Boćkowski, M.; Grzegory, I.; Krukowski, S.; Suski, T.; Paszkiewicz, T. Thermal conductivity of GaN crystals in 4.2–300 K range. Solid State Communications 2003, 128, 69–73. [Google Scholar] [CrossRef]
- Paskov, P.P.; Slomski, M.; Leach, J.H.; Muth, J.F.; Paskova, T. Effect of Si doping on the thermal conductivity of bulk GaN at elevated temperatures – theory and experiment. AIP Advances 2017, 7, 095302. Available online: https://pubs.aip.org/aip/adv/article-pdf/doi/10.1063/1.4989626/12982864/095302_1_online.pdf. [CrossRef]
- Shibata, H.; Waseda, Y.; Ohta, H.; Kiyomi, K.; Shimoyama, K.; Fujito, K.; Nagaoka, H.; Kagamitani, Y.; Simura, R.; Fukuda, T. High Thermal Conductivity of Gallium Nitride (GaN) Crystals Grown by HVPE Process. MATERIALS TRANSACTIONS 2007, 48, 2782–2786. [Google Scholar] [CrossRef]
- Simon, R.B.; Anaya, J.; Kuball, M. Thermal conductivity of bulk GaN—Effects of oxygen, magnesium doping, and strain field compensation. Applied Physics Letters 2014, 105, 202105. Available online: https://pubs.aip.org/aip/apl/article-pdf/doi/10.1063/1.4901967/14305716/202105_1_online.pdf. [CrossRef]
- Tran, D.Q.; Paskova, T.; Darakchieva, V.; Paskov, P.P. On the thermal conductivity anisotropy in wurtzite GaN. AIP Advances 2023, 13, 095009. Available online: https://pubs.aip.org/aip/adv/article-pdf/doi/10.1063/5.0167866/18117971/095009_1_5.0167866.pdf. [CrossRef]
- Arrigoni, M.; Carrete, J.; Mingo, N.; Madsen, G.K.H. First-principles quantitative prediction of the lattice thermal conductivity in random semiconductor alloys: The role of force-constant disorder. Phys. Rev. B 2018, 98, 115205. [Google Scholar] [CrossRef]
- Cheaito, R.; Duda, J.C.; Beechem, T.E.; Hattar, K.; Ihlefeld, J.F.; Medlin, D.L.; Rodriguez, M.A.; Campion, M.J.; Piekos, E.S.; Hopkins, P.E. Experimental Investigation of Size Effects on the Thermal Conductivity of Silicon-Germanium Alloy Thin Films. Phys. Rev. Lett. 2012, 109, 195901. [Google Scholar] [CrossRef] [PubMed]
- Tian, Z.; Garg, J.; Esfarjani, K.; Shiga, T.; Shiomi, J.; Chen, G. Phonon conduction in PbSe, PbTe, and PbTe1-xSex from first-principles calculations. Phys. Rev. B 2012, 85, 184303. [Google Scholar] [CrossRef]
- Shapeev, A.V. Moment Tensor Potentials: A Class of Systematically Improvable Interatomic Potentials. Multiscale Modeling & Simulation 2016, 14, 1153–1173. [Google Scholar] [CrossRef]
- Gubaev, K.; Podryabinkin, E.; Shapeev, A. Machine learning of molecular properties: Locality and active learning. The Journal of Chemical Physics 2017, 148. [Google Scholar] [CrossRef]
- Sotnikov, A.; Schmidt, H.; Weihnacht, M.; Smirnova, E.; Chemekova, T.; Makarov, Y. Elastic and Piezoelectric Properties of AlN and LiAlO2 Single Crystals. Ultrasonics, Ferroelectrics and Frequency Control, IEEE Transactions on 2010, 57, 808–811. [Google Scholar] [CrossRef] [PubMed]
- Deguchi, T.; Ichiryu, D.; Toshikawa, K.; Sekiguchi, K.; Sota, T.; Matsuo, R.; Azuhata, T.; Yamaguchi, M.; Yagi, T.; Chichibu, S.; et al. Structural and vibrational properties of GaN. Journal of Applied Physics 1999, 86, 1860–1866. Available online: https://pubs.aip.org/aip/jap/article-pdf/86/4/1860/19175605/1860_1_online.pdf. [CrossRef]
- Jin, L.; Wu, H.; Zhang, Y.; Qin, Z.; Shi, Y.; Cheng, H.; Zheng, R.; Chen, W. The growth mode and Raman scattering characterization of m-AlN crystals grown by PVT method. Journal of Alloys and Compounds 2020, 824, 153935. [Google Scholar] [CrossRef]
- M. Hayes, J.; Martin Kuball, M.K.; Ying Shi, Y.S.; James H. Edgar, J.H.E. Temperature Dependence of the Phonons of Bulk AlN. Japanese Journal of Applied Physics 2000, 39, L710. [Google Scholar] [CrossRef]
- Kuball, M.; Hayes, J.M.; Prins, A.D.; van Uden, N.W.A.; Dunstan, D.J.; Shi, Y.; Edgar, J.H. Raman scattering studies on single-crystalline bulk AlN under high pressures. Applied Physics Letters 2001, 78, 724–726. Available online: https://pubs.aip.org/aip/apl/article-pdf/78/6/724/18555485/724_1_online.pdf. [CrossRef]
- Davydov, V.Y.; Kitaev, Y.E.; Goncharuk, I.N.; Smirnov, A.N.; Graul, J.; Semchinova, O.; Uffmann, D.; Smirnov, M.B.; Mirgorodsky, A.P.; Evarestov, R.A. Phonon dispersion and Raman scattering in hexagonal GaN and AlN. Phys. Rev. B 1998, 58, 12899–12907. [Google Scholar] [CrossRef]
- Haboeck, U.; Siegle, H.; Hoffmann, A.; Thomsen, C. Lattice dynamics in GaN and AlN probed with first- and second-order Raman spectroscopy. physica status solidi (c) 2003, n/a, 1710–1731. Available online: https://onlinelibrary.wiley.com/doi/pdf/10.1002/pssc.200303130. [CrossRef]
- Kozawa, T.; Kachi, T.; Kano, H.; Taga, Y.; Hashimoto, M.; Koide, N.; Manabe, K. Raman scattering from LO phonon-plasmon coupled modes in gallium nitride. Journal of Applied Physics 1994, 75, 1098–1101. Available online: https://pubs.aip.org/aip/jap/article-pdf/75/2/1098/18663301/1098_1_online.pdf. [CrossRef]
- Manchon, D.; Barker, A.; Dean, P.; Zetterstrom, R. Optical studies of the phonons and electrons in gallium nitride. Solid State Communications 1970, 8, 1227–1231. [Google Scholar] [CrossRef]
- Perlin, P.; Jauberthie-Carillon, C.; Itie, J.P.; San Miguel, A.; Grzegory, I.; Polian, A. Raman scattering and x-ray-absorption spectroscopy in gallium nitride under high pressure. Phys. Rev. B 1992, 45, 83–89. [Google Scholar] [CrossRef]
- Callsen, G.; Reparaz, J.S.; Wagner, M.R.; Kirste, R.; Nenstiel, C.; Hoffmann, A.; Phillips, M.R. Phonon deformation potentials in wurtzite GaN and ZnO determined by uniaxial pressure dependent Raman measurements. Applied Physics Letters 2011, 98, 061906. Available online: https://pubs.aip.org/aip/apl/article-pdf/doi/10.1063/1.3554434/14442173/061906_1_online.pdf. [CrossRef]
- Goñi, A.R.; Siegle, H.; Syassen, K.; Thomsen, C.; Wagner, J.M. Effect of pressure on optical phonon modes and transverse effective charges in GaN and AlN. Phys. Rev. B 2001, 64, 035205. [Google Scholar] [CrossRef]
- Van Uden, N.W.A.; Hubel, H.; Edgar, J.H.A.P.M.K.D.D.J.D.Y.S.J. Determination of the Mode Grüneisen Parameter of AlN using different Fits on Experimental High Pressure Data. High Pressure Research 2002, 22, 37–41. [Google Scholar] [CrossRef]
- Li, X.; Kong, L.; Shen, L.; Yang, J.; Gao, M.; Hu, T.; Wu, X.; Li, M. Synthesis and in situ high pressure Raman spectroscopy study of AlN dendritic crystal. Materials Research Bulletin 2013, 48, 3310–3314. [Google Scholar] [CrossRef]
- Manjón, F.J.; Errandonea, D.; Garro, N.; Romero, A.H.; Serrano, J.; Kuball, M. Effect of pressure on the Raman scattering of wurtzite AlN. physica status solidi (b) 2007, 244, 42–47. Available online: https://onlinelibrary.wiley.com/doi/pdf/10.1002/pssb.200672518. [CrossRef]
- Siegle, H.; Goñi, A.; Thomsen, C.; Ulrich, C.; Syassen, K.; Schöttker, K.; As, D.; Schikora, D. High-Pressure Raman Scattering of Biaxially Strained GaN on GaAs. MRS Proceedings 1997, 468. [Google Scholar] [CrossRef]







| Name | [Å] | [%] | ||
|---|---|---|---|---|
| set 1 | 300 | 50 | 0.2 | 2 |
| set 2 | 300 | 50 | 0.05 | 0.5 |
| DFT | MTP | DFT | MTP | MTP | Exp. | |||
| AlN | a | 3.1135 | 3.1134 | 3.1148 | 3.1221 | 3.1218 | 3.1229 | 3.1102, 3.1106 |
| c | 4.9830 | 4.9838 | 4.9895 | 4.9968 | 4.9972 | 5.0025 | 4.9800, 4.9799 | |
| GaN | a | 3.1824 | 3.1825 | 3.1815 | 3.1904 | 3.1894 | 3.1893 | 3.1893, 3.1880 |
| c | 5.1853 | 5.1857 | 5.1870 | 5.1983 | 5.1969 | 5.1996 | 5.1856, 5.1842 | |
| N | a | 3.1464 | - | 3.1456 | 3.1547 | 3.1532 | 3.1495(4) | |
| c | 5.0962 | - | 5.1026 | 5.1095 | 5.1148 | 5.0824(4) | ||
| MTP | DFT | MTP (FC4) | Exp. | |||
| AlN | 329.9 | 302.2 | 327.3 | |||
| GaN | 263.9 | 242.7 | 258.9 | - | - | |
| N | - | 5.9 | 6.0 | |||
| AlN | 329.9 | 302.2 | 327.3 | |||
| GaN | 263.9 | 242.7 | 258.9 | - | - | |
| N | - | 5.9 | 6.0 | |||
| AlN | 307.6 | 272.0 | 308.1 | - | 285.0, 306.4 | |
| GaN | 278.7 | 256.6 | 279.9 | 255.8 | 252.3,245.0(5) | |
| N | - | 11.3 | 12.2 | - | 6.2(6)[61] | |
Disclaimer/Publisher’s Note: The statements, opinions and data contained in all publications are solely those of the individual author(s) and contributor(s) and not of MDPI and/or the editor(s). MDPI and/or the editor(s) disclaim responsibility for any injury to people or property resulting from any ideas, methods, instructions or products referred to in the content. |
© 2026 by the authors. Licensee MDPI, Basel, Switzerland. This article is an open access article distributed under the terms and conditions of the Creative Commons Attribution (CC BY) license (http://creativecommons.org/licenses/by/4.0/).