Preprint
Article

This version is not peer-reviewed.

Interleukin Storm and Its Evolution in the Prognosis of Critically Ill Patients with COVID-19

Submitted:

26 February 2026

Posted:

27 February 2026

You are already at the latest version

Abstract
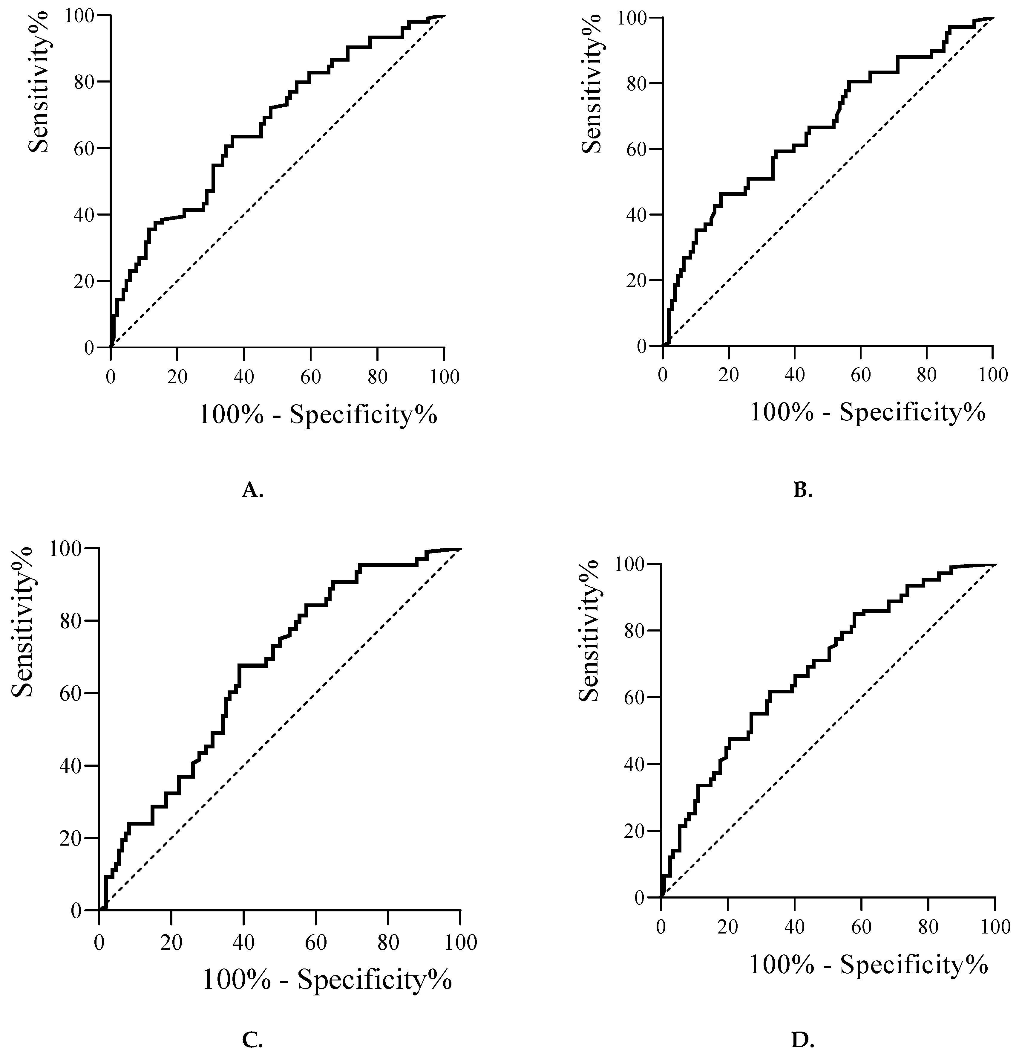
Background/Objectives: The purpose of this study was (i) to determine the levels of interleukins in patients with COVID-19 admitted to the Intensive Care Unit (ICU), and (ii) to study their evolution over 72 hours, as well as (iii) to assess their relationship with morbidity and mortality. Methods: This was a prospective analytical study of critically ill patients with COVID-19 who were monitored from admission to three days of stay in the ICU. Demographics, comorbidities, clinical data and severity scores were recorded. IL-1β, IL-2, IL-6, IL-7, IL-8, IL-10 and antitumor necrosis factor alfa (TNF-α) were measured on the LuminexR 200™ Systems by an immunoassay determination method (ELISA). Clinical variables were collected and analytical variables were measured on the first and third day of admission. Results: In this study a decrease in IL-10 and IL-1β was observed, and an increase in TNF-α on the third day of ICU stay in critically ill patients with COVID-19. TNF-α, IL-10 and IL-8 are found to be higher in COVID-19 patients who die than in those who do not. In addition, we found an association of interleukins with clinical and laboratory variables. Conclusions: IL-10, TNF- α and IL-8 are useful for establishing a prognosis of morbidity and mortality in the first hours of ICU admission in patients with COVID-19. Interleukin levels (IL-10, IL-1β and TNF-α) evolve in the first three days of ICU admission towards a state of increased hyperinflammation that are related to clinical and analytical variables.
Keywords: 
;  ;  
Copyright: This open access article is published under a Creative Commons CC BY 4.0 license, which permit the free download, distribution, and reuse, provided that the author and preprint are cited in any reuse.
Prerpints.org logo

Preprints.org is a free preprint server supported by MDPI in Basel, Switzerland.

Subscribe

Disclaimer

Terms of Use

Privacy Policy

Privacy Settings

© 2026 MDPI (Basel, Switzerland) unless otherwise stated