Submitted:
16 February 2026
Posted:
26 February 2026
You are already at the latest version
Abstract
Keywords:
1. Introduction
2. Materials and Methods
2.1. Sample Description and Preparation
Fontainebleau Sandstone
![]() |
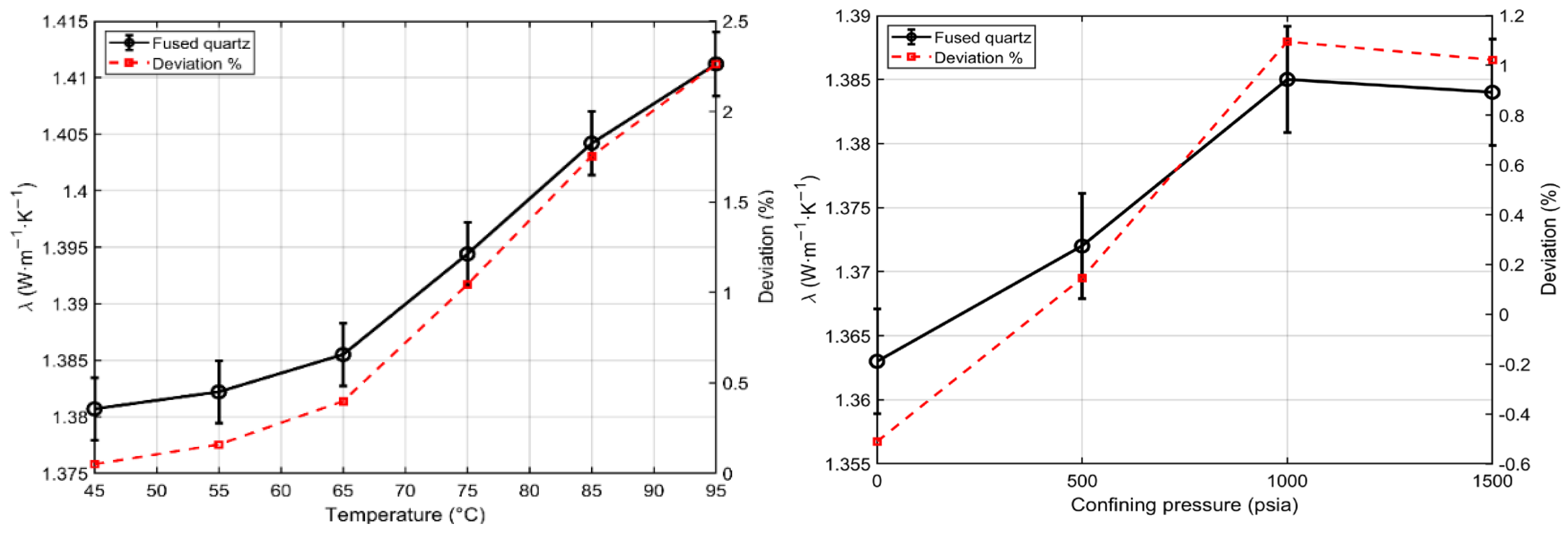
Thermal Conductivity (λ) Setup, Calibrations, and Measurements







3. Results
3.1. Thermal Conductivity and Acoustic Data for Fontainebleau Sandstone



3.2. Thermal Conductivity and Acoustic Data for the Sand Packs
4. Discussion
4.1. Formulation of the Staged Differential Effective Medium (SDEM) Model
4.2. Modeling Fontainebleau Sandstone


4.3. SDEM Modeling of Sand Packs


4.3.1. Comparison of SDEM Models with Other Models

5. Conclusions
- An advanced experimental platform for high-accuracy thermal measurements.
- New data linking compaction mechanics to thermal and elastic transport.
- A validated, physically informed predictive mixing law.
References
- Abdulagatova, Z.; Abdulagatov, I.; Emirov, V. Effect of temperature and pressure on the thermal conductivity of sandstone. International Journal of Rock Mechanics and Mining Sciences 2009a, 46, 1055–1071. [Google Scholar] [CrossRef]
- Abdulagatova, Z.; Abdulagatov, I.M.; Emirov, V.N. Effect of temperature and pressure on the thermal conductivity of sandstone. International Journal of Rock Mechanics and Mining Sciences 2009b, 46, 1055–1071. [Google Scholar] [CrossRef]
- Al Saadi, F.; Wolf, K.; Kruijsdijk, C. Characterization of Fontainebleau sandstone: Quartz overgrowth and its impact on pore-throat framework. Journal of Petroleum & Environmental Biotechnology 2017, 8, 1–12. [Google Scholar]
- Baldinelli, G.; Bianchi, F.; Gendelis, S.; Jakovics, A.; Morini, G.L.; Falcioni, S.; Fantucci, S.; Serra, V.; Navacerrada, M.A.; Díaz, C.; Libbra, A.; Muscio, A.; Asdrubali, F. Thermal conductivity measurement of insulating innovative building materials by hot plate and heat flow meter devices: A Round Robin Test. International Journal of Thermal Sciences 2019, 139, 25–35. [Google Scholar] [CrossRef]
- Berryman, J.G. Mixture Theories for Rock Properties. In Rock Physics & Phase Relations; 1995; pp. 205–228. [Google Scholar]
- Birch, F. The velocity of compressional waves in rocks to 10 kilobars: 1. Journal of Geophysical Research 1960, 65, 1083–1102. [Google Scholar] [CrossRef]
- Brigaud, F.; Vasseur, G. Mineralogy, porosity and fluid control on thermal conductivity of sedimentary rocks. Geophysical Journal International 1989, 98, 525–542. [Google Scholar] [CrossRef]
- Bruggeman, V.D. Berechnung verschiedener physikalischer Konstanten von heterogenen Substanzen. I. Dielektrizitätskonstanten und Leitfähigkeiten der Mischkörper aus isotropen Substanzen. Annalen der physik 1935, 416, 636–664. [Google Scholar] [CrossRef]
- Clauser, C.; Huenges, E. Thermal conductivity of rocks and minerals. Rock physics and phase relations: a handbook of physical constants 1995, 3, 105–126. [Google Scholar]
- Ehleringer, J.R. Temperature and energy budgets, Plant physiological ecology: field methods and instrumentation; Springer, 1989; pp. 117–135. [Google Scholar]
- El Sayed, A.M.A.; El Sayed, N.A. Thermal conductivity calculation from P-wave velocity and porosity assessment for sandstone reservoir rocks. Geothermics 2019, 82, 91–96. [Google Scholar] [CrossRef]
- Esteban, L.; Pimienta, L.; Sarout, J.; Delle Piane, C.; Haffen, S.; Geraud, Y.; Timms, N.E. Study cases of thermal conductivity prediction from P-wave velocity and porosity. Geothermics 2015, 53, 255–269. [Google Scholar] [CrossRef]
- Eucken, A. Allgemeine Gesetzmäßigkeiten für das Wärmeleitvermögen verschiedener Stoffarten und Aggregatzustände. Forschung auf dem Gebiet des Ingenieurwesens A 1940, 11, 6–20. [Google Scholar] [CrossRef]
- Fuchs, S.; Förster, H.J.; Braune, K.; Förster, A. Calculation of Thermal Conductivity of Low-Porous, Isotropic Plutonic Rocks of the Crust at Ambient Conditions From Modal Mineralogy and Porosity: A Viable Alternative for Direct Measurement? Journal of Geophysical Research: Solid Earth 2018, 123, 8602–8614. [Google Scholar] [CrossRef]
- García-Noval, C.; Álvarez, R.; García-Cortés, S.; García, C.; Alberquilla, F.; Ordóñez, A. Definition of a thermal conductivity map for geothermal purposes. Geothermal Energy 2024, 12. [Google Scholar] [CrossRef]
- Gassmann, F. Elastic waves through a packing of spheres. Geophysics 1951, 16, 673–685. [Google Scholar] [CrossRef]
- Gegenhuber, N.; Schoen, J. New approaches for the relationship between compressional wave velocity and thermal conductivity. Journal of Applied Geophysics 2012, 76, 50–55. [Google Scholar] [CrossRef]
- Hashin, Z.; Shtrikman, S. A variational approach to the theory of the effective magnetic permeability of multiphase materials. Journal of applied Physics 1962, 33, 3125–3131. [Google Scholar] [CrossRef]
- Hermans, T.; Nguyen, F.; Robert, T.; Revil, A. Geophysical methods for monitoring temperature changes in shallow low enthalpy geothermal systems. Energies 2014, 7, 5083–5118. [Google Scholar] [CrossRef]
- Horai, K.-i. Thermal conductivity of rock-forming minerals. Journal of Geophysical Research (1896-1977) 1971, 76, 1278–1308. [Google Scholar] [CrossRef]
- Hu, J.; Huang, J.; Cheng, Y. Experimental study evaluating the performance of thermal conductivity prediction models for air–water saturated weathered sandstone heritage. Heritage Science 2024, 12, 366. [Google Scholar] [CrossRef]
- International, A. ASTM Standard D2845-00; Standard Test Method for Laboratory Determination of Pulse Velocities and Ultrasonic Elastic Constants of Rock. ASTM International: West Conshohocken, PA, 2000.
- International, A. ASTM Standard E1225-13; Standard Test Method for Thermal Conductivity of Solids Using the Guarded Comparative-Longitudinal Heat Flow Technique. ASTM International: West Conshohocken, PA, 2013.
- Levy, F. A modified Maxwell-Eucken equation for calculating the thermal conductivity of two-component solutions or mixtures. International Journal of Refrigeration 1981, 4, 223–225. [Google Scholar] [CrossRef]
- Mavko, G.; Mukerji, T.; Dvorkin, J. The rock physics handbook; Cambridge university press, 2020. [Google Scholar]
- Maxwell, J.C. A treatise on electricity and magnetism; Clarendon press, 1873. [Google Scholar]
- Mielke, P.; Bär, K.; Sass, I. Determining the relationship of thermal conductivity and compressional wave velocity of common rock types as a basis for reservoir characterization. Journal of Applied Geophysics 2017, 140, 135–144. [Google Scholar] [CrossRef]
- Mokheimer, E.M.; Hamdy, M.; Abubakar, Z.; Shakeel, M.R.; Habib, M.A.; Mahmoud, M. A comprehensive review of thermal enhanced oil recovery: Techniques evaluation. Journal of Energy Resources Technology 2019, 141, 030801. [Google Scholar] [CrossRef]
- Myers, M. Pore Modeling: Extending the Hanai-Bruggeman Equation. Paper D, Transactions, SPWLA 30th Annual Logging Symposium, 1989. [Google Scholar]
- Myers, M.; Hathon, L. Staged differential effective medium (SDEM) models for acoustic velocity, SEG Technical Program Expanded Abstracts 2009. In Society of Exploration Geophysicists; 2009a; pp. 2130–2134. [Google Scholar]
- Myers, M.; Hathon, L. Staged differential effective medium (SDEM) models for the acoustic velocity in carbonates. ARMA US Rock Mechanics/Geomechanics Symposium. ARMA, 2012a; p. pp. ARMA-2012-2553. [Google Scholar]
- Myers, M.T.; Hathon, L.A. Staged Differential Effective Medium (SDEM) Models For Acoustic Velocity, 2009 SEG Annual Meeting. 2009b. [Google Scholar]
- Myers, M.T.; Hathon, L.A. Staged Differential Effective Medium (SDEM) Models For the Acoustic Velocity In Carbonates. 46th U.S. Rock Mechanics/Geomechanics Symposium, 2012b. [Google Scholar]
- Norris, A.N. A differential scheme for the effective moduli of composites. Mechanics of Materials 1985, 4, 1–16. [Google Scholar] [CrossRef]
- Omovie, S.J.; Castagna, J.P. Relationships between Dynamic Elastic Moduli in Shale Reservoirs. Energies 2020, 13, 6001. [Google Scholar] [CrossRef]
- Orlander, T.; Adamopoulou, E.; Jerver Asmussen, J.; Marczyński, A.A.; Milsch, H.; Pasquinelli, L.; Lykke Fabricius, I. Thermal conductivity of sandstones from Biot’s coefficient. Geophysics 2018, 83, D173–D185. [Google Scholar] [CrossRef]
- Pimienta, L.; Klitzsch, N.; Clauser, C. Comparison of thermal and elastic properties of sandstones: Experiments and theoretical insights. Geothermics 2018, 76, 60–73. [Google Scholar] [CrossRef]
- Preux, C.; Malinouskaya, I. Thermal conductivity model function of porosity: review and fitting using experimental data. Oil & Gas Science and Technology–Revue d’IFP Energies nouvelles 2021, 76, 66. [Google Scholar]
- Rahmouni, A.; Boulanouar, A.; El Rhaffari, Y.; Hraita, M.; Zaroual, A.; Géraud, Y.; Sebbani, J.; Rezzouk, A.; Nabawy, B.S. Impacts of anisotropy coefficient and porosity on the thermal conductivity and P-wave velocity of calcarenites used as building materials of historical monuments in Morocco. Journal of Rock Mechanics and Geotechnical Engineering 2023, 15, 1687–1699. [Google Scholar] [CrossRef]
- Rahmouni, A.; Boulanouar, A.; Samaouali, A.; Boukalouch, M.; Géraud, Y.; Sebbani, J. Prediction of elastic and acoustic behaviors of calcarenite used for construction of historical monuments of Rabat, Morocco. Journal of Rock Mechanics and Geotechnical Engineering 2017, 9, 74–83. [Google Scholar] [CrossRef]
- Raymond, J. Colloquium 2016: Assessment of subsurface thermal conductivity for geothermal applications. Canadian Geotechnical Journal 2018, 55, 1209–1229. [Google Scholar] [CrossRef]
- Raymond, J.; Langevin, H.; Comeau, F.-A.; Malo, M. Temperature dependence of rock salt thermal conductivity: Implications for geothermal exploration. Renewable Energy 2022, 184, 26–35. [Google Scholar] [CrossRef]
- Shahin, A.; Myers, M.; Hathon, L. Carbonates’ dual-physics modeling aimed at seismic reservoir characterization. J. Seism. Explor 2017, 26, 331–349. [Google Scholar]
- Simone, A.; Hathon, L.; Myers, M. Modelling Unconventional Velocities from Acoustic Microscope Measurements. 2020. [Google Scholar] [CrossRef]
- Sun, Q.; Chen, S.-e.; Gao, Q.; Zhang, W.; Geng, J.; Zhang, Y. Analyses of the factors influencing sandstone thermal conductivity. Acta Geodyn. Geomater 2017, 14, 186. [Google Scholar] [CrossRef]
- Sundén, B.; Yuan, J. Evaluation of models of the effective thermal conductivity of porous materials relevant to fuel cell electrodes. International Journal of Computational Methods and Experimental Measurements 2013, 1, 440–455. [Google Scholar] [CrossRef]
- Villarroel, A.; Myers, M.; Hathon, L. Integrating Thomas-Stieber with a Staged Differential Effective Medium Model for Saturation Interpretation of Thin-Bedded Shaly Sands. SPWLA 63rd Annual Logging Symposium, 2022. [Google Scholar]
- Voigt, W. Lehrbuch der kristallphysik:(mit ausschluss der kristalloptik); BG Teubner, 1910. [Google Scholar]
- Waqas, U.; Rashid, H.M.A.; Ahmed, M.F.; Rasool, A.M.; Al-Atroush, M.E. Damage characteristics of thermally deteriorated carbonate rocks: A review. Applied Sciences 2022, 12, 2752. [Google Scholar] [CrossRef]
- Watanabe, T.; Tomioka, A.; Yoshida, K. The closure of microcracks under pressure: inference from elastic wave velocity and electrical conductivity in granitic rocks. Earth, Planets and Space 2024, 76, 153. [Google Scholar] [CrossRef]
- Wiener, O. Theorie des Mischkorpers fur das Feld der Stationaren Stromung. Abhandl. Sachs. Ges. Wiss. Math. Phys. K1 1912, 509–598. [Google Scholar]
- Woodside, W.; Messmer, J. Thermal conductivity of porous media. I. Unconsolidated sands. Journal of applied physics 1961, 32, 1688–1699. [Google Scholar] [CrossRef]
- Zamora, M.; Vo-Thanh, D.; Bienfait, G.; Poirier, J.P. An empirical relationship between thermal conductivity and elastic wave velocities in sandstone. Geophysical Research Letters 1993, 20, 1679–1682. [Google Scholar] [CrossRef]
- Zhang, J.J.; Bentley, L.R. Change of bulk and shear moduli of dry sandstone with effective pressure and temperature. CREWES Res Rep 1999, 11, 1–16. [Google Scholar]
- Zhao, L.; Cao, C.; Yao, Q.; Wang, Y.; Li, H.; Yuan, H.; Geng, J.; Han, D.h. Gassmann consistency for different inclusion-based effective medium theories: Implications for elastic interactions and poroelasticity. Journal of Geophysical Research: Solid Earth 2020, 125, e2019JB018328. [Google Scholar] [CrossRef]
- Zimmerman, R.W. Compressibility of sandstones. 1990. [Google Scholar]





| Sample | Initial Porosity (%) | Grain size (μm) | ∆L (in) |
∆V (%) |
|---|---|---|---|---|
| 1 | 37.0 | 45-75 | 0.0054 | 2.86% |
| 2 | 37.1 | 180-212 | 0.0134 | 6.74% |
| 3 | 36.2 | 355-425 | 0.0145 | 7.48% |
| Stage | Porosity (%) | Axial Strain (%) | Stress (psi) | |
|---|---|---|---|---|
| 1 | 37.0 | 0 | 0 | |
| 2 | 28.6 | 12.4 | 3500 | |
| 3 | 24.0 | 19.5 | 7000 | |
| 4 | 16.7 | 31.2 | 10500 |
Disclaimer/Publisher’s Note: The statements, opinions and data contained in all publications are solely those of the individual author(s) and contributor(s) and not of MDPI and/or the editor(s). MDPI and/or the editor(s) disclaim responsibility for any injury to people or property resulting from any ideas, methods, instructions or products referred to in the content. |
© 2026 by the authors. Licensee MDPI, Basel, Switzerland. This article is an open access article distributed under the terms and conditions of the Creative Commons Attribution (CC BY) license (http://creativecommons.org/licenses/by/4.0/).
