Preprint
Article

This version is not peer-reviewed.

Intra-Individual Variability of Lipoprotein(a) After Acute Coronary Syndrome: A Long-Term Cohort Study

Submitted:

13 February 2026

Posted:

14 February 2026

You are already at the latest version

Abstract
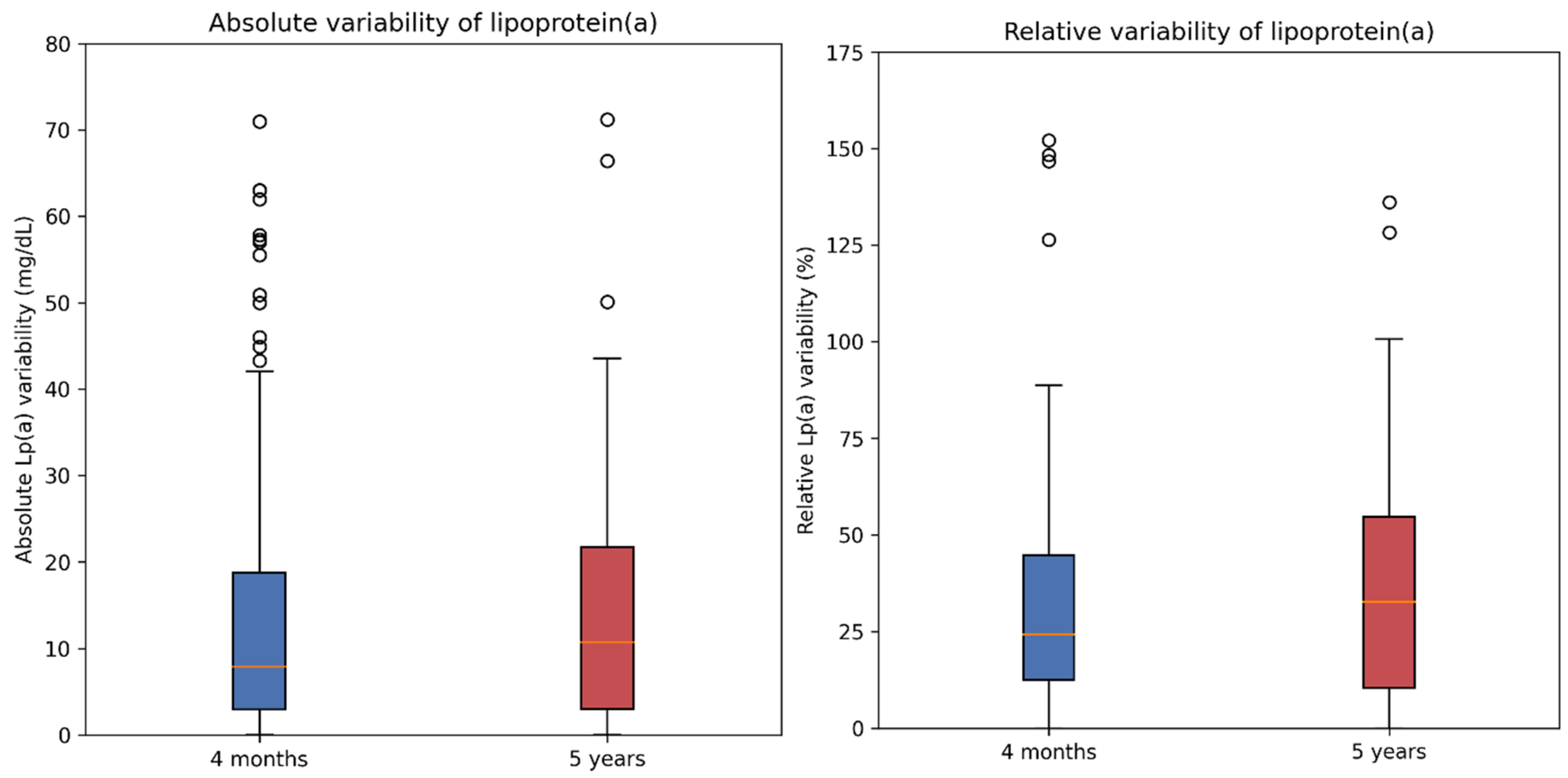
Background: Lipoprotein(a) [Lp(a)] is a casual and independent risk factor for atherosclerotic cardiovascular disease (ASCVD) and is largely genetically determined. However, recent studies indicate significant intra-individual variability, particularly among patients with intermediate Lp(a) levels (30–50 mg/dL). Yet, data on long-term variability are limited, and acute coronary syndrome (ACS) may further influence Lp(a) levels, questioning the optimal timing of assessment after ACS. Methods: We studied 235 ACS patients across two follow-up cohorts. Baseline Lp(a) was measured 24 hours before hospital discharge. Cohort A had follow-up measurements at 4 months, and 8 months; Cohort B at 5 years. Clinically meaningful intra-individual variability was defined as ≥20 mg/dL or ≥25% change. Results: A total of 57.9% patients exhibited clinically significant Lp(a) variability. Changes in risk category occurred in 15.3% of patients in the baseline high-risk group, 60.6% of patients in the intermediate-risk group, and 5.5% of patients in the baseline low-risk group. At multivariable analysis incomplete revascularization was an independent predictor of high Lp(a) variability (OR 2.22; 95% CI 1.14-4.31; p 0.02) while female sex, and age-adjusted menopause showed a trend (OR 1.92; 95% CI 0.93-4.00; p 0.08 and OR 11.18; 95% CI 0.79-157.58; p 0.07, respectively) without reaching formal statistical significance. The median absolute changes from baseline to 4-month and from baseline to 5-years follow-up were 7.9 mg/dL (IQR 3.0-18.9) and 10.7 mg/dL (IQR 3.0-21.7), respectively. Concordance between 4- and 8-month Lp(a) measurements was excellent. Conclusions: Early post-ACS intra-individual variability in Lp(a) is common, mainly affecting risk reclassification in intermediate-risk patients. In those patients, early targeted repeat Lp(a) measurement may improve cardiovascular risk stratification, whereas mid- to long-term reassessment appears unnecessary.
Keywords: 
;  ;  ;  ;  
Copyright: This open access article is published under a Creative Commons CC BY 4.0 license, which permit the free download, distribution, and reuse, provided that the author and preprint are cited in any reuse.
Prerpints.org logo

Preprints.org is a free preprint server supported by MDPI in Basel, Switzerland.

Subscribe

Disclaimer

Terms of Use

Privacy Policy

Privacy Settings

© 2026 MDPI (Basel, Switzerland) unless otherwise stated