Preprint
Article

This version is not peer-reviewed.

Formation of Electric Potential Dips and Peaks by Electron-Ion Two-Stream Instability in a Plasma Chamber with an Electron Emitter LaB6 as the Cathode

Submitted:

09 February 2026

Posted:

13 February 2026

You are already at the latest version

Abstract
This paper presents a conducting channel model aimed at elucidating the generation of high-energy particles within a plasma chamber. Initially, the chamber is charged with neutral hydrogen gas at a density of approximately ~3.3×1022/m3, equivalent to 1 torr at 300K under ideal gas conditions. A Townsend discharge (dark discharge), driven by an externally imposed electric potential (500-1000V) across the cathode and anode, is utilized to induce partial ionization of the hydrogen gas. Once a stable conducting channel with a high conductivity is established, a low electric potential (e.g., 100V-500V) is introduced to sustain the current in the conducting channel. Our investigation then delves into the impact of a high electron emissivity cathode, such as lanthanum hexaboride (LaB6) during an arc discharge. We develop a theoretical model of the conducting channel that may emerge under these conditions. As the cathode surface undergoes heating, emitted thermionic electrons form a localized layer of negative charge density, leading to an electric potential dip. Our multi-fluid simulations unveil the emergence of electron-ion two-stream instability owing to the high-density electron layer, leading to the appearance of multiple potential peaks and dips, each measuring several to tens of kV. We delineate a set of conditions conducive to the formation of these potential peaks and dips within the conducting channel. Our proposed scenario furnishes a framework for elucidating electron and ion acceleration within a weakly ionized plasma chamber.
Keywords: 
;  ;  ;  

1. Introduction

We consider a gas plasma chamber as shown in Figure 1. The chamber is filled with hydrogen gas of density ~ 3.3×1022/m3. An arc discharge is triggered in the chamber. A cathode of high electron emissivity such as lanthanum hexaboride (LaB6) is used. After a stable discharge is established with the presence of a higher potential (~500-1000 V) provided from the power supply, an electric potential V of ~30V is imposed across the cathode and anode to maintain the current I in the conducting channel. The LaB6 cathode slab is heated and emits electrons, leading to the formation of an electron layer and a potential dip around the layer. This potential dip can accelerate charge particles.
We note that to establish an arc discharge, a voltage of hundreds to thousands of volts is required to initialize the spark [1]. A stable arc current can then be formed with a high conductivity in the tube and maintained by a low voltage of tens of volts (e.g., 30 volts) with a current of a few to tens of amps [2,3]. The stable arc discharge is then maintained. The proposed theoretical model is based on that an arc discharge is established by an externally imposed electric potential (500-1000V) across the cathode and anode in a gas chamber. Recent progress on arc discharges has been reported in the Journal of Physics D: Applied Physics [4,5,6,7,8] and a review article by Anders [9].
It will be illustrated in this study that the applied voltage between cathode (LaB6) and anode is only 100V to 500V, but the potential dips and peaks formed in the chamber can be tens of kV. The proposed mechanism can be applied to particle acceleration in a weakly ionized plasma or during a gas discharge.
The lightning associated with the negatively (positively) charged cloud is called negative (positive) cloud-to-ground (CG) lightning. The configuration in Figure 1 is very similar to a negatively charged cloud, air, and the conducting Earth [10,11,12]. The electric potential between the charged cloud and the earth's ground is typically 250kV - 400kV [13,14]. However, the electric potential in the conducting channel associated with some plasma processes in the lightning tube can reach 50-70MV [15]. The high electric potential along the lightning channel can lead to the generation of X-ray and gamma-ray [15]. The present paper is not intended to study lightning physics. However, our future work may apply the two-stream instability developed in this paper to provide a possible theory for lightning phenomena in nature.

2. Theoretical Model

In the proposed theoretical model, the plasma chamber is first imposed for demonstration with a voltage of 100V across the anode and cathode (LaB6). A part of the chamber is shown in Figure 1. In the previous studies [16,17], the acceleration of ions and neutrals in a rotating plasma was studied for a potential application to nuclear fusion. The chamber is filled with hydrogen molecule (H2) gas with density ~ 3.3 × 10 22 m 3 , corresponding to 1 torr at 300K for an ideal gas. In our numerical simulations, the chamber pressure with p 0 = 5   t o r r is also used. The heated LaB6 slab can emit electrons. We note that the study in this paper is based on that an arc discharge with a small diameter is pre-established between the cathode and anode. It is similar to a gas-discharge lamp [2,3] except that in the proposed model, a good electron emitter, LaB6, is used as the cathode. Electrons emitted from the LaB6 cathode surface can form a potential dip and lead to plasma instability, as discussed later.
The physical process in the present theoretical model is illustrated in the flowchart in Figure 2. The externally imposed electric potential (V) leads to the formation of partially ionized hydrogen gas. As the LaB6 slab is heated, the emitted electrons from the LaB6 slab form a layer of negative charge density. The net negative charge density leads to a large electrostatic potential well near the surface of LaB6 slab with a potential dip at ϕ d i p . In the quasi-neutral region slightly away from the LaB6 slab and the electron layer, the electric potential ϕ increases toward the anode, and the electrons and ions are accelerated in opposite directions, which leads to the electron-ion two-stream instability to be discussed later. This instability excites strong electrostatic waves, whose amplitudes may reach tens of kilovolts (kV), resulting in multiple potential dips and peaks.

3. Simulation for the Formation of Potential Dips and Potential Peaks Generated by the Electron Layer in the Plasma Chamber

We carry out multi-fluid simulations to study the plasma dynamics, particle acceleration, and formation of potential dips and peaks during an arc discharge in a plasma chamber. The initial condition of the simulation corresponds to a stable arc discharge already formed to ionize the gas. We note that establishing an arc discharge requires a voltage of hundreds to thousands of volts to initiate the spark. A stable arc current can then be formed and maintained at a low voltage (e.g., 100 volts) with a current of a few to tens of amperes. The stable arc discharge is then used as the initial condition.
We use the external electric potential 100 volts, 300 volts or 500 volts as the simulation boundary condition. The externally imposed potential is a time-independent boundary condition and is used for solving the 1D electrostatic Poisson Equation by using the tridiagonal matrix algorithm. It is similar to the formation of a conducting channel (return stroke) in gas-discharge lamps or in the air before the occurrence of lightning. It should be noted that the kink/sausage modes with their 2-D structure cannot occur in the 1-D approximation. In the proposed model, the emitted electrons at the cathode surface could further lead to the two-stream instability.
Figure 1 illustrates the simulation domain and setup. The left-hand side ( x = 0 ) is the LaB6 slab (cathode) with ϕ c = 0 , and the right-hand side ( x = x 0 ) is the anode with ϕ A = 100 ,   300   o r   500   v o l t s . The distance between cathode and anode is x 0 . The LaB6 slab is placed in a chamber filled with hydrogen gas H2. The current flows from the anode to the LaB6 cathode. The hydrogen gas is heated and partially ionized, leading to the formation of plasma with H+ and e-.

3.1. The Governing Equations

The discharge and current flow are mostly oriented along this thin and elongated conducting tube. Hence, we simplify the key physical process into a one-dimensional problem, similar to the approach for the conducting channel associated with lightning [14]. Under this approximation, we developed a one-dimensional multi-fluid simulation code along the x-axis to study the formation of the electrostatic potential in the arc discharge. The governing equations are the Poisson’s equation in electrostatics
E x x = e ε 0 n p n e = ρ c ε 0 ,
the continuity equation
n α t = x ( n α U α x ) + D 0 , α 2 n α x 2 ,  
the momentum equation
n α U α x t = x n α U α x 2 + p α m α + q α m α n α E x n α ν α n U α x ,
and the ideal gas law
p α = n α T α ,
where e is the fundamental charge or 1.6 × 10 19 Coulomb, ε 0   vacuum permittivity, and ρ c charge density. The subscript α indicates fluid species and can be electron (e) and proton (p), and the subscript “n” stands for “neutral”. The fluid quantities are number density n, velocity U , pressure p, charge q, electric field E, collision frequency for charge particles to neutral ν α n ,   and temperature T. The real proton to electron mass ratio is used m p / m e = 1836 . The diffusion of electron and ion velocities through viscosity will be included and discussed later.
In the simulation with complete energy equation, we found that the arc plasma can be quickly heated to much higher than 1 eV. However, the plasma can be partially converted to other part of the chamber, which lowers the plasma temperature. The radiation loss also reduces the plasma temperature. The temperature of the plasma in the region where current flows through is estimated to be 6000 K [18]. The simulation initial condition at t = 0 corresponds to the time when the arc discharge is formed, and the plasma is heated to T 6000   K   b y t h e p o w e r s u p p l y . We consider that the heating of the arc plasma from electricity and the heat loss through radiation and convection reach equilibrium during the simulation and that the temperature also reaches equilibrium in the conducting channel, which likely leads to constant temperature for all species T = T e = T p 6000 K .
We have tried different system length x 0 ranging from 2 to 50 mm, and the length can affect the stability of the simulation and the formation of electrostatic waves. In this paper, we present the results associated with the system length of x 0 = 2 mm, 5 mm, 8mm, 10 mm, 20 mm, 30 mm, 40 mm, and 50 mm. The other normalization parameters are neutral number density n 0 = 3.3 × 10 22 m 3 , electric potential ϕ 0 = 1 volt, velocity U 0 = 9.79 × 10 3 m/s (velocity of 1 eV proton) and time t 0 = x 0 / U 0 = 2 × 10 7 s . The numerical time step and grid spacing are t = t 0 × 10 8 and x = x 0 / 512 . The neutrals in the conducting tube are assumed to be heated from 300 K to 6000 K. With a constant pressure across the chamber, the density in the conducting channel n c will be reduced as one-twentieth of n 0 .
In the present simulation study, the effect of ionization and recombination is minor during the simulation time scale of tens of nanoseconds. The plasma only exists in the arc discharge region. The other initial parameters at t = 0 of our simulation are neutral density n n x = n c , charge densities n p x = n e x = n c 0 × 4 × 10 4 , boundary electric potential ϕ x = ( x / x 0 ) ϕ 0 , and velocities U p x = U e x = 0 . The ionization ratio is chosen based on Saha ionization equation [19,20]. Since the ionization ratio is very small and the ionization effect is minor during the simulation time scale, the neutral density n n can be regarded as being constant in the simulation.
The hydrogen gas is weakly ionized and contains dominant neutral gas H2. The proton-neutral collisional frequency [21,22,23] is given by
ν p n = 1.7 × σ p n n n T m p ,
and the electron-neutral collisional frequency is given by
ν e n = 2.1 × σ e n n n T m e .
Here the proton-neutral collision cross-section is σ p n 3 × 10 19 m 2 and the electron-neutral collision cross-section σ e n 7.1 × 10 20 m 2 [23]. Equation (6) gives that the electron-neutral collision frequency is on the order of 10 10 Hz. The term n α ν α n U α x in the momentum equation comes from the charge-neutral collision effect. Since the neutral fluid is affected mainly through the proton-neutral collisional effect, the proton-neutral collision frequency ν p n is on the order of 10 9 Hz. Note here that the proton to neutral mass density ratio is 4 × 10 4 . The relation m p n p ν p n = m n n n ν n p gives that the neutral to proton collision frequency is ν n p = m p n p ν p n / m n n n . As a result, the neutral-proton collision frequency is of the order of 4 × 10 5 Hz due to the high neutral density compared with the charged fluid. Hence, in the time scale of nanosecond, the neutral fluid can be regarded as being immobile during the simulation period since the only momentum source for neutral fluid is from neutral-ion collisions. On the other hand, the collision effect exerts a “slowing-down” or drag force on the charged fluids.
In a weakly ionized gas, the electron and proton density diffusion coefficients due to thermal motion and collisions between charged and neutral fluids, to first order in the density, can be estimated as [24]
D 0 , α = T m α ν α n .
We obtain D 0 , e 1230   m 2 s 1   and D 0 , p 8.22   m 2 s 1   for T = 4000 6000   K .
On the other hand, the coefficient associated with bulk viscosity without mass density for electron and proton fluids can be estimated as
ζ α = ζ α , 0 T m α ν α n ,
where ζ α , 0 is a dimensionless factor in the range of 10-100 due to that the bulk viscosity is usually 10-100 times higher than the shear viscosity with ζ α , 0 = 1 . The bulk viscosity, used in the numerical simulation, is of the order of theoretical value.
At every time step, the density diffusion and velocity viscosity terms are applied to the charge density ( n e and n p ) and to the velocity ( U e x and U p x ) via a three-point smooth scheme based on the diffusion and viscosity coefficients, respectively. The smoothing scheme plays the role of dissipation and also reduces the steepening of the fluid, similar to the dissipation term in the Burger’s equation. The three-point smooth scheme is derived from the finite difference form of the diffusion equation
Q x ' = Q x Δ x + s α 2 Q x + Q x + Δ x s α ,
where s α = Δ x 2 / S α Δ t , and S α = D 0 ,     α for density or S α = ζ α for velocity.
In the continuity equations, a bounded (closed) boundary condition is used, i.e., the momentum and velocity are zero at boundaries. However, the emission of electrons at the surface of LaB6 slab can lead to the increase of the electron density just outside the LaB6 slab. The electron emission rate due to heating of LaB6 slab is set to 10-15 amps [25].

3.2. Two Simulation Cases Without and with Emission of Thermionic Electrons ( x 0 = 20 m m , ϕ A = 100 V , p 0 = 1 t o r r )

In order to examine the effect of the thermionic electron emission from LaB6, we simulate two cases without LaB6 and with LaB6.
Figure 3(a)shows a simulation without LaB6 slab in the cathode and a 100V electric potential is applied across the gas chamber ( p 0 = 1   t o r r ) with x 0 = 20   m m . For a comparison, Figure 3(b) shows the simulation results with the same parameters as in Figure 3(a), but a LaB6 slab is applied in the cathode.
In Figure 3(a), an electric potential ϕ A = 100   V is applied across the cathode ( x = 0 ) . Some electrons in the plasma chamber are attracted by the applied positive potential at x = x 0 to form a potential dip around point B. The lower potential at the cathode tends to attract ions to the left region between x = 0 and point A. The ion density near x = 0 is lower than the electron density near B. This may be due to larger ion mass (lower electron mass) and hence slower (faster) moving speed.
It is interesting to point out the electric potential profile is similar to the potential distribution between the cathode and anode in Figure 4 of the review paper by Anders [9]. The potential drop between points B and C is the positive anode fall, while the potential drop between the origin and point A is the negative cathode fall.
In Figure 3(b), a simulation with LaB6 slab installed in the cathode and 100 V potential is applied in the 20 mm chamber ( x 0 = 20   m m ) between cathode and anode. The neutral H2 is filled with p 0 = 1   t o r r , which is equivalent to the density of 1 20 × 3.3 × 10 22 m 3 . The thermionic electrons are emitted from LaB6 surface and carry 10A current. In this case, a potential dip near the LaB6 surface can reach more than 1000 volts. In the arc discharge, the two-stream instability occurs and leads to potential peaks of a few hundreds of volts. The theory of two-stream instability will be developed in the following simulation case.
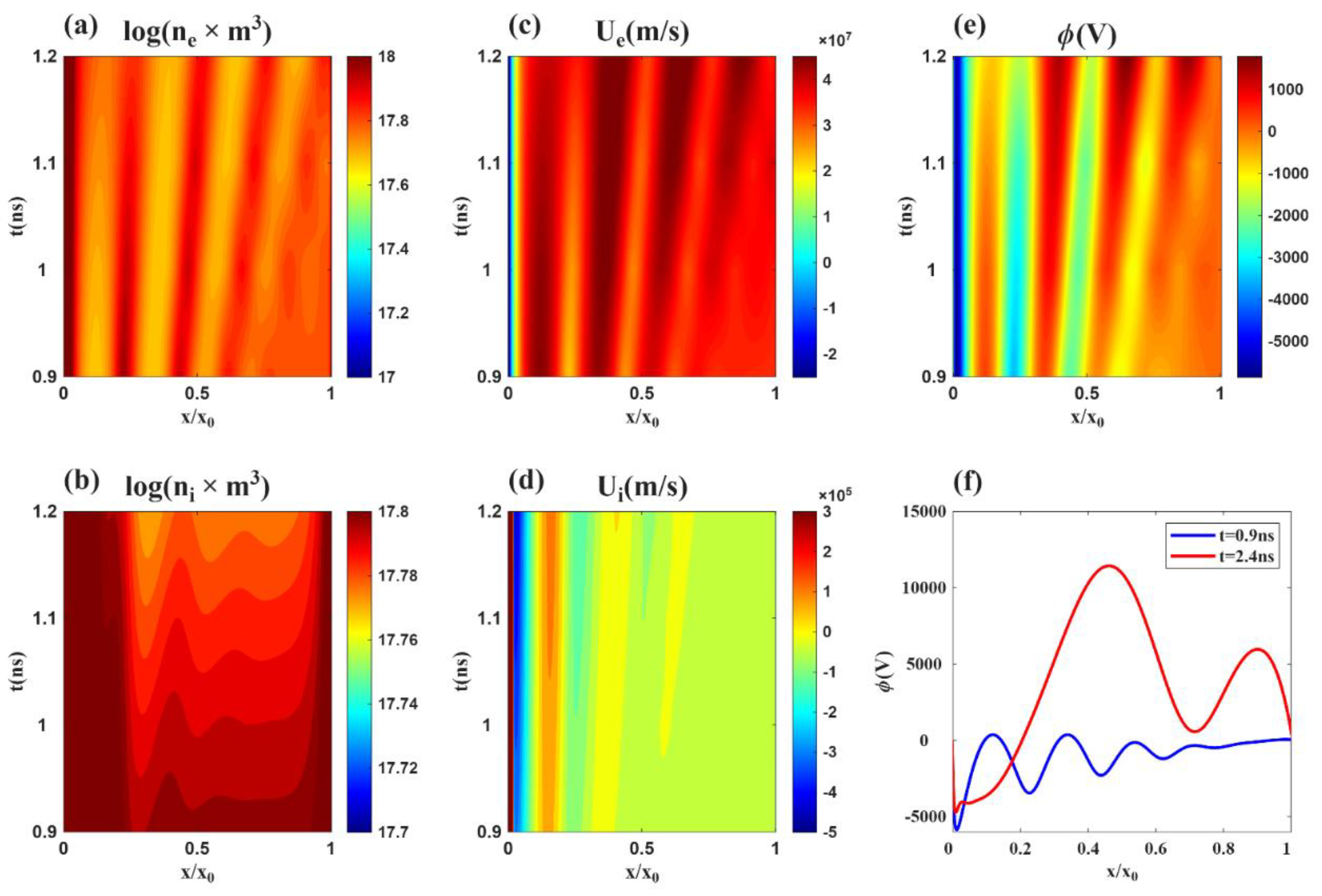
In the simulation case shown in Figure 4, the density and velocity distributions in the x-t plane show clearly the presence and growth of wavy patterns, which are caused by the electron-ion two-stream instability. This case shows a clear pattern of the electrostatic waves. The potential peak can reach nearly 11.4 kV at t = 2.4   n s , and the dip can reach about -0.6 kV (not shown). The wavy potential structure may last for a few nanoseconds and quickly fades away. The number of peaks and dips depends on the plasma density and electron velocity. These waves are nearly stationary oscillations in plasma (electron) frame and can move in the laboratory frame.
The electron-ion two-stream instability can be solved by the linear plasma dispersion relation
1 ω p p ω 2 ω p e ω k U e 2 = 0 ,
where ω p e is the electron plasma frequency, ω p p the proton plasma frequency and k the wave number [26,27,28,29]. Here ω = ω r + i ω i is the wave frequency. The linear dispersion relation is solved based on the electrostatic two-fluid equations for cold and homogeneous plasmas. Note that the plasma frequency is on the order of 10 11 Hz, about one order of magnitude higher than the electron-neutral collision frequency. Hence, the collision effect can be ignored when solving this dispersion relation. As shown in Figure 4, there is a long channel tube, in which the wave structure can be analyzed by the Fourier analysis of ω and k. The solution of ω = ω r e + i ω i m with nonzero wave growth rate ω i m gives (a) the wave frequency ω r e / ω p e = 0 0.08 and (b) the wave number k U e / ω p e = 0 1.13 . The maximum wave growth rate ω i m , m a x / ω p e 0.054 occurs at k U e / ω p e 1 and ω r e / ω p e 0.04 as shown in Figure 5. The corresponding wavelength can be expressed as
λ = 2 π U e ω p e .
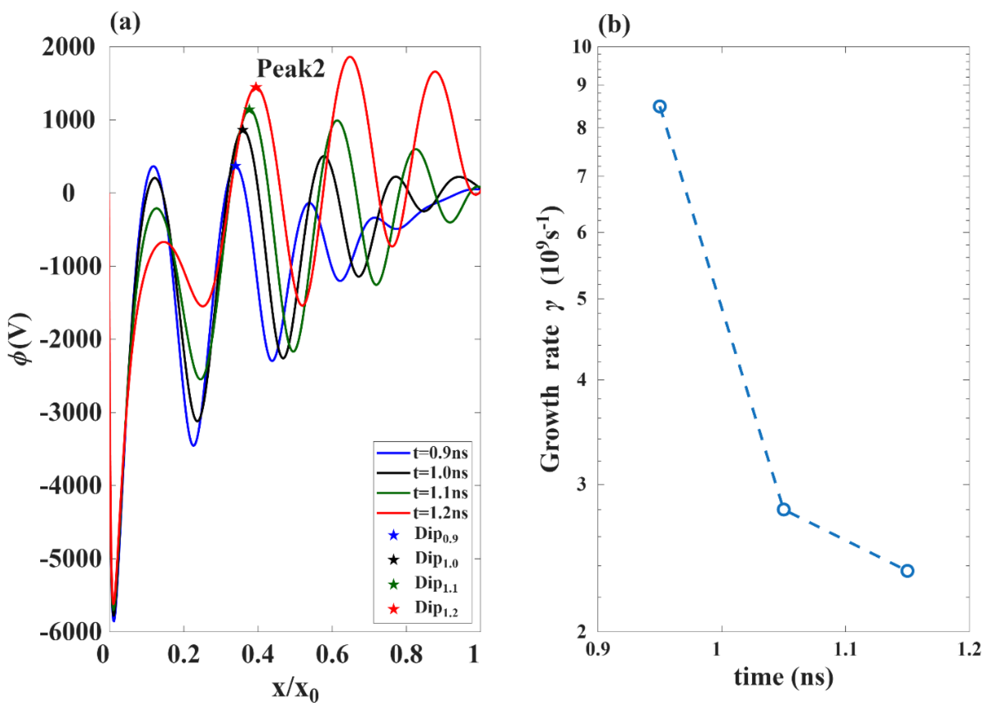
Based on the plasma parameters ( U e 2 × 10 7 m/s, n e 1 × 10 19   m 3 , and ω p e = 1.78 × 10 11 r a d s 1 ) and the linear theory, we obtain λ 0.35   x 0 and the maximum growth rate 10 10 s 1 from (11). For the simulation in Figure 4, there are four potential peaks and the corresponding wavelength is λ = x 0 / 4 = 0.25   x 0 , close to the theoretical value λ = 0.35   x 0 . In Figure 6(a), we plot the electric potential as a function of x at different simulation times, t = 0.9, 1.0, …, 1.2 ns. It can be seen that the magnitude of electric potential peak and dip grows with time t for all four wave peaks and dips.
The growth rate of electric potential Peak 2 can be calculated from electron density peak values at different times. The growth rate of peaks is plotted as a function of time in Figure 6(b). The growth rate of wave Peak 2 ranges from 2.4 × 10 9 s 1 to 8.5 × 10 9 s 1 , which is smaller than the maximum theoretical growth rate. This difference may be caused by the non-uniform profile of U e and difference between simulated wavelength λ = 0.25 x 0 and theoretical peak wavelength ( λ = 0.35 x 0 ) .
In Figure 7, we show the simulation (Case B in Figure 3(b)) results at time t = 0.9, 1.0, 1.1, and 1.2 ns. In this case, an electric potential dip is formed due to the high-density electron layer and the magnitude can reach one kilovolt as shown in the electric potential profiles.
Thermionic emitted electrons lead to the formation of an electron layer near the left boundary ( x 0 ). As a result of this electron layer, the electric potential ϕ has a sharp decrease from ϕ ( x = 0 ) to ϕ d i p < 0 . The electric potential ϕ then increase gradually to ϕ x = x 0 = ϕ A = 100 volts at the right boundary (anode). The potential difference between ϕ d i p and ϕ A at x = x 0 is large. The average electric field in the chamber is negative ( E x < 0 ). The negative electric field in the chamber will accelerate electrons to high speed U e 2.7 4.8 × 10 7 m/s, while ions are accelerated in the left direction with small velocity due to their large mass. The electrons and ions are accelerated in the opposite directions, which can lead to the electron-ion two-stream instability. In the electric potential profile, large amplitude electrostatic waves are formed due to this instability, and the wave amplitude may reach tens of kilovolts. The electron and ion number density and velocity profiles also show similar patterns. The wavy potential structure may last for a few ns.
In Figure 7, the peak electric potential can reach about 2000V, the electric potential dip can reach -6.0 kV. Note that, in a weakly ionized plasma with temperature T = 0.5-0.75 eV, an electron can attach to a hydrogen atom H to form a negative hydrogen particle H . The density of negative hydrogen ( H ) is expected to be small compared with H + density due to its low production rate [30]. We ignore the contribution from H ions in the multi-fluid simulation. The formation of negative electric potential dips (positive electric potential peaks) can accelerate negative hydrogen ions (positive protons) toward the LaB6 slab.
We estimate the diameter of the arc discharge by comparing a power input of 200 watts for the arc charge with the total kinetic and electric energy in the simulation domain. We calculate the total kinetic energy (electric energy) per area at t = 1.8 ns of the entire simulation domain and obtain 150 J / m 2 (164 J / m 2 ). The energy provided by the power input at 200 watts over the period of 1.8 ns is 8.5 × 10 6 J . We obtain an upper bound for the diameter D c o n d of the arc discharge
D c o n d 2 π 8.5 × 10 6 J 314 J / m 2 0.5 = 0.19   m m .  
Note that the length of the arc discharge is 2 mm, which is 10 times of D c o n d . Moreover, we also simulate cases of emitted thermionic current as 15A for three different sets of hydrogen pressure, three sets of applied voltage, and three sets of distances in the next section.

3.3. Comparisons for Simulation Results with Different Parameters

Table 1 lists 48 cases simulated with different set of parameters, which include the neutral H2 pressure p, the neutral density n n , the electric potential ϕ A at the anode, and the system (tube) length x 0 . The resulting potential peak ϕ p e a k and potential dip ϕ d i p are also listed in Table 1.
Figure 8 shows the resulting ϕ p e a k and ϕ d i p as a function of x 0 (distance between cathode and anode) under applied voltages of 100V, 300V, and 500V from left to right columns. The top(bottom) panels in Figure 8 show the resulting ϕ p e a k ( ϕ d i p ) . The red hollow circles are for the cases with 1 torr of neutral hydrogen pressure in the chamber. The black(blue) hollow circles denote the cases with 5torr (10torr) of neutral hydrogen (H2) in the chamber. The resulting ϕ p e a k ranges from 0.1 kV to 45.0 kV, while the resulting | ϕ d i p | ranges from 0.6 kV to 38.0 kV.
Table 1 and Figure 8 show that Case 47 has the largest potential peak ( ϕ p e a k = 15.0   k V ). The largest potential dip is ϕ d i p = 15 k V in Case 47. In Case 47, p 0 = 1   t o r r ,   n n = 3.3 × 10 22 m 3 ,   ϕ A = 500 V ,   a n d   x 0 = 50   m m . Figure 8 shows that the twenty-four cases with 1 torr have quasi-proportional value of ϕ p e a k and of | ϕ d i p | with applied voltage ϕ A .
Regarding the dependence on x 0 (distance between cathode and anode), a larger x 0 has a larger | ϕ d i p | with the same filling H2 pressure, while the dependence of ϕ p e a k   o n   x 0 is mixing.
Figure 9 shows the simulation results of Case 47 at t = 2.0 ns, 2.2 ns, 2.4 ns, and 2.6 ns. In this case, an electric potential dip is formed due to the high-density electron layer and the magnitude can reach -15.0 kV as shown in the electric potential profiles.
Thermionic emitted electrons lead to the formation of an electron layer near the left boundary ( x 0 ). As a result of this electron layer, the electric potential ϕ has a sharp decrease from ϕ ( x = 0 ) to ϕ d i p ~ 15.0   k V . The electric potential ϕ then increase gradually to ϕ x = x 0 = 500 volts at the right boundary (anode). The average electric field in the chamber is negative ( E x < 0 ). This negative average electric field in the chamber will accelerate electrons to high speed U e 6.5 × 10 7 m/s, while ions are accelerated in the left direction with small velocity due to their large mass. The electrons and ions are accelerated in the opposite directions, which can lead to the electron-ion two-stream instability as discussed earlier. In the electric potential profile, large amplitude electrostatic waves are formed due to this instability, and the wave amplitude may reach tens of kilovolts. The electron and ion number density and velocity profiles also show similar patterns. The wavy potential structure may last for a few ns.

4. Transportation of Protons and Electrons Through High-Density Neutrals (Hydrogen Gas) with Strong Electric Fields

The formation of electron layer leads to a strong electric field, which can accelerate protons. During the acceleration, proton-neutral collisions occur, and a fraction of the protons cannot be accelerated to the peak energy as they reach the LaB6 target. In the following, we consider the proton-neutral collision effect and use Monte Carlo method to simulate the acceleration and collision process to obtain the energy distributions of protons reaching the LaB6 target for possible nuclear fusion application.
In the following, the proton transportation through the high-density molecular hydrogen with a strong electric field is simulated by Geant4 (GEometry ANd Tracking) [31,32,33,34], which is a Monte Carlo toolkit used for the simulation of the transportation of particles through matter. For simplicity, we consider that the electric field in the chamber is uniform and constant in the Geant4 simulation. The schematic diagram is illustrated in Figure 10(a). The uniform electric field with the strength of 5.0×107 V/m (5.0×106 V/m) is set with a thickness of 1 mm (10 mm), and the electric potential difference is 50 kV. The results for the cases with a total potential of 10-40 kV are similar to the 50kV case. High-density neutrals (molecular hydrogen) are uniformly filled in the space. The picture we consider here is that a proton with an initial energy ε i n is injected into the hydrogen gas. The proton undergoes acceleration and collisions, and its final energy ε f is recorded as it reaches the other side.
Figure 10(b)-(g) shows the energy distribution of outgoing protons for different incident energies ε i n = 0.01, 0.1, and 1 keV with acceleration layer lengths of 1 and 10mm. The density of neutral H 2 is 3.3 × 10 23 m 3 and the temperature is 1273 K. The number of entry protons for Monte Carlo calculations is 10 6 ~ 6 × 10 6 . The mean energy ε f and standard deviation σ ( ε f ) of the outgoing energy are also given. One can see that the mean outgoing energy is close to the electric acceleration energy 50 keV. It seems that the electric field acceleration plays a dominant role in the transportation while the energy loss from collisions is small.
Figure 11. Energy distribution of incident electrons with an initial energy ε i n = 10 eV accelerated through the potential difference ϕ i n = 1, 5, and 30 kV with an acceleration layer length of 1 mm. The location of first ϕ d i p is close to the cathode (LaB6). The mean value and standard deviation of the outgoing energy are also shown.
Figure 11. Energy distribution of incident electrons with an initial energy ε i n = 10 eV accelerated through the potential difference ϕ i n = 1, 5, and 30 kV with an acceleration layer length of 1 mm. The location of first ϕ d i p is close to the cathode (LaB6). The mean value and standard deviation of the outgoing energy are also shown.
Preprints 198146 g011
The potential dip ranges from kilovolts to tens of kilovolts and can accelerate electrons. Figure 10 shows the energy distribution of incident electrons with an initial energy ε i n = 10 eV accelerated by the potential dip ϕ d i p = 1, 5, and 30 kV with an acceleration layer length of 1mm. The density of neutral H 2 is 3.3 × 10 23 m 3 with a temperature of 1273 K. The number of entry electrons is 10 6 . The mean energy ε f and standard deviation S ( ε f ) of the final energy are given. The mean outgoing energy is close to the electric acceleration energy e ϕ d i p = 1, 5, and 30 keV, where e is the fundamental charge, 1.6 × 10 19 Coulomb. The energy loss from collisions is small. The results are not sensitive to the neutral hydrogen ( H 2 ) temperature for T = 1000-1500 K.

5. Discussion and Conclusions

In this paper, a conducting channel model is proposed for the generation of energetic particles in a plasma chamber. The chamber is initially filled with neutral hydrogen gas with density from 3.3 × 10 22   m 3 to 1.65 × 10 23   m 3 , corresponding to 1-5 torr at 300 K for ideal gas conditions. An arc discharge is sustained by an externally applied electric potential across the cathode (slab) and anode, ranging from several hundreds to 1kV in voltage and several amperes in current, thereby inducing a partially ionized of hydrogen plasma within the chamber. As the LaB6 slab heats up, the emitted electrons accumulated to form a layer of negative charge density locally. This leads to the establishment of a conducting channel with a small diameter (≤0.19 mm), which is similar to the conducting channel between the charged cloud and earth ground [2,3,10,11,12,35,36,37] or in a plasma chamber[38].
The multi-fluid simulation conducted in this study shows that the electron layer together with the imposed voltage across the plasma chamber can lead to formation of a large electrostatic potential with dips and peaks of exceeding 10 kilovolts. While our 1-D simulation neglects the magnetic field generated by the current flow in the arc discharge and the associated plasma instabilities, it demonstrates that the azimuthal magnetic field associated with the current filament exerts minimal effects on particle orbits. The first potential dip is formed due to the presence of the electron layer. The density diffusion and velocity viscosity in the simulation are important to create a large potential dip near x = 0 (the cathode). As long as the first potential dip near x = 0 is deep enough, the acceleration of ions(electrons) toward (away from) the cathode due to the large electric potential leads to the electron-ion two-stream instability. The multiple potential peaks and dips can then be formed. Electron fluid and electron particles within the chamber can be accelerated by these potential dips and peaks.
Furthermore, the Monte Carlo calculations based on the Geant4 [31,32,33,34] demonstrate that individual protons and electrons can also attain acceleration to tens of keV by the electric potential in the chamber with the relatively dense hydrogen gas density of about 3.3 × 10 23 m 3 .
In summary, our proposed scenario furnishes a mechanistic framework for elucidating electron and ion acceleration within a weakly ionized plasma environment, thus contributing valuable insights into the dynamics of high-energy particle generation within a plasma chamber. The findings and insights derived from these simulations will be cross-referenced with experimental data in forthcoming publications, providing a comprehensive analysis of the research outcomes.

Author Contributions

L. C. Lee (the team leader) initiated the theoretical research project. K. H. Lee and H. K. Jhuang carried out the multiple-fluid simulations. D. D. Ni used Geant4 code to obtain the transport of ions and electrons through the dense hydrogen gas and the penetration depth of layer by energetic protons. The final results were obtained in the intense discussions among the four authors. L. C. Lee, K. H. Lee, H. K. Jhuang, and D. D. Ni contributed to the writing of the paper.

Funding

This research was funded by Alpha Ring Asia Incorporation.

Data Availability Statement

The data that supports the findings of this study are available within the article.

Acknowledgments

The discussions with David Chu, Peter Hsieh, Fay Li, Paul Chau, Hao Lin Chen, Allan Chen, Alexander Gunn, Cheng-Lin, Kuo, Ted Cremer, and Y. K. Chu are appreciated. Support and encouragement of Peter Liu and A. Y. Wong are gratefully acknowledged.

Conflicts of Interest

The authors declare no conflict of interest.

References

  1. Wittenberg, H.H., Gas Tube Design from Electron Tube Design. RCA Electron Tube Division, 1962: p. 25.
  2. Bogaerts, A., et al., Gas discharge plasmas and their applications. Spectrochimica Acta Part B: Atomic Spectroscopy, 2002. 57(4): p. 609–658.
  3. Lister, G.G.; Lawler, J.E.; Lapatovich, W.P.; Godyak, V.A. The physics of discharge lamps. Rev. Mod. Phys. 2004, 76, 541–598. [CrossRef]
  4. Becerra, M.; Pettersson, J.; Franke, S.; Gortschakow, S. Temperature and pressure profiles of an ablation-controlled arc plasma in air. J. Phys. D: Appl. Phys. 2019, 52, 434003. [CrossRef]
  5. Benilov, M.S. Modeling the physics of interaction of high-pressure arcs with their electrodes: advances and challenges. J. Phys. D: Appl. Phys. 2019, 53, 013002. [CrossRef]
  6. Cunha, M.D.; Kaufmann, H.T.C.; Santos, D.F.; Benilov, M.S. Simulating changes in shape of thermionic cathodes during operation of high-pressure arc discharges. J. Phys. D: Appl. Phys. 2019, 52, 504004. [CrossRef]
  7. Siewert, E.; Baeva, M.; Uhrlandt, D. The electric field and voltage of dc tungsten-inert gas arcs and their role in the bidirectional plasma-electrode interaction. J. Phys. D: Appl. Phys. 2019, 52, 324006. [CrossRef]
  8. Xue, S.; Boulos, M. Transient heating and evaporation of metallic particles under plasma conditions. J. Phys. D: Appl. Phys. 2019, 52, 454002. [CrossRef]
  9. Anders, A. Glows, arcs, ohmic discharges: An electrode-centered review on discharge modes and the transitions between them. Appl. Phys. Rev. 2024, 11. [CrossRef]
  10. Alanakyan, Y.R. Structure of conducting channel of lightning. p. 082106.
  11. Pasko, V.P., Atmospheric physics: Electric jets. Nature, 2003. 423: p. 927–929.
  12. Su, H.T.; Hsu, R.R.; Chen, A.B.; Wang, Y.C.; Hsiao, W.S.; Lai, W.C.; Lee, L.C.; Sato, M.; Fukunishi, H. Gigantic jets between a thundercloud and the ionosphere. Nature 2003, 423, 974–976. [CrossRef]
  13. Feynman, R.P., R.B. Leighton, and M. Sands, The Feynman Lectures on Physics, Vol. II: The New Millennium Edition: Mainly Electromagnetism and Matter. 2011: Basic Books.
  14. Harrison, R.G.; Nicoll, K.A.; Mareev, E.; Slyunyaev, N.; Rycroft, M.J. Extensive layer clouds in the global electric circuit: their effects on vertical charge distribution and storage. Proc. R. Soc. A: Math. Phys. Eng. Sci. 2020, 476, 20190758. [CrossRef]
  15. Dwyer, J.R.; Uman, M.A. The physics of lightning. Phys. Rep. 2014, 534, 147–241. [CrossRef]
  16. Wong, A.Y.; Shih, C.-C. Enhancement of Nuclear Fusion in Plasma Oscillation Systems. Plasma 2022, 5, 176–183. [CrossRef]
  17. Wong, A.Y.; Lee, K.H.; Lee, L.C. Simulation of dynamics of rotating weakly ionized plasmas. Phys. Plasmas 2024, 31. [CrossRef]
  18. Edels, H.; Gambling, W.A. Excitation temperature measurements in glow and arc discharges in hydrogen. Proc. R. Soc. London. Ser. A. Math. Phys. Sci. 1959, 249, 225–236. [CrossRef]
  19. Saha, M.N. LIII. Ionization in the solar chromosphere. J. Comput. Educ. 1920, 40, 472–488. [CrossRef]
  20. Saha, M.N. and A. Fowler, On a physical theory of stellar spectra. Proceedings of the Royal Society of London. Series A, Containing Papers of a Mathematical and Physical Character, 1921. 99(697): p. 135–153.
  21. Froula, D.H., et al., Chapter 6 - Constraints on Scattering Experiments, in Plasma Scattering of Electromagnetic Radiation (Second Edition), D.H. Froula, et al., Editors. 2011, Academic Press: Boston. p. 143–183.
  22. Froula, D.H., et al., Chapter 5 - Collective Scattering from a Plasma, in Plasma Scattering of Electromagnetic Radiation (Second Edition), D.H. Froula, et al., Editors. 2011, Academic Press: Boston. p. 103–142.
  23. Huba, J.D., NRL Plasma Formulary. 2019: Naval Research Laboratory.
  24. Chapman, S. and T.G. Cowling, The mathematical theory of non-uniform gases; an account of the kinetic theory of viscosity, thermal conduction and diffusion in gases. 3rd Prepared in co-operation with D. Burnett. ed. 1970, Cambridge, Eng: Cambridge University Press.
  25. Goebel, D.M.; Watkins, R.M. Compact lanthanum hexaboride hollow cathode. Rev. Sci. Instruments 2010, 81, 083504. [CrossRef]
  26. Arnush, D.; Nishikawa, K.; Fried, B.D.; Kennel, C.F.; Wong, A.Y. Theory of double resonance parametric excitation in plasmas. Phys. Fluids 1973, 16, 2270–2278. [CrossRef]
  27. Nicholson, D.R., Introduction to Plasma Theory. 1983: Wiley.
  28. Quon, B.H.; Wong, A.Y. Formation of Potential Double Layers in Plasmas. Phys. Rev. Lett. 1976, 37, 1393–1396. [CrossRef]
  29. Lyu, L.-H., Two-Stream Instability, in Elementary Space Plasma Physics. 2014, Airiti Press.
  30. Prelec, K.; Sluyters, T. Formation of Negative Hydrogen Ions in Direct Extraction Sources. pp. 1451–1463.
  31. Agostinelli, S., et al., Geant4—a simulation toolkit. Nuclear Instruments and Methods in Physics Research Section A: Accelerators, Spectrometers, Detectors and Associated Equipment, 2003. 506(3): p. 250–303.
  32. Allison, J., et al., Geant4 developments and applications. IEEE Transactions on Nuclear Science, 2006. 53(1): p. 270–278.
  33. Dong, X.; Cooperman, G.; Apostolakis, J. Multithreaded Geant4: Semi-automatic Transformation into Scalable Thread-Parallel Software. European Conference on Parallel Processing. pp. 287–303.
  34. Allison, J., et al., Recent developments in Geant4. Nuclear Instruments and Methods in Physics Research Section A: Accelerators, Spectrometers, Detectors and Associated Equipment, 2016. 835: p. 186–225.
  35. Borovsky, J.E. Lightning energetics: Estimates of energy dissipation in channels, channel radii, and channel-heating risetimes. J. Geophys. Res. Atmos. 1998, 103, 11537–11553. [CrossRef]
  36. Mazur, V., Principles of Lightning Physics. 2016, IOP Publishing.
  37. Wang, X.; Yuan, P.; Cen, J.; Liu, J.; Li, Y. The channel radius and energy of cloud-to-ground lightning discharge plasma with multiple return strokes. p. 033503.
  38. Chen, C.-Y., et al., Calorimetric evidence for excess heat generation in a proton-boron glow-discharge system. Under Review, 2026.
Figure 1. Schematic illustration of the simulation domain in part of the plasma chamber. The left-hand side is the LaB6 slab as cathode at 0 volt, and the right-hand side is the anode at a given potential ϕ = 30 volts. The LaB6 slab is placed in a chamber filled with hydrogen gas H 2 . The gas pressure is maintained at 3 – 5 torr. The current flows from the anode to the LaB6 cathode. The yellow route between the LaB6 slab and anode is a conducting channel.
Figure 1. Schematic illustration of the simulation domain in part of the plasma chamber. The left-hand side is the LaB6 slab as cathode at 0 volt, and the right-hand side is the anode at a given potential ϕ = 30 volts. The LaB6 slab is placed in a chamber filled with hydrogen gas H 2 . The gas pressure is maintained at 3 – 5 torr. The current flows from the anode to the LaB6 cathode. The yellow route between the LaB6 slab and anode is a conducting channel.
Preprints 198146 g001
Figure 2. Flow chart for the formation of potential peaks and dips in the plasma chamber. The externally imposed electric potential (V) leads to the formation of partially ionized hydrogen gas. As the LaB6 slab is heated, the emitted electrons from the LaB6 slab form a layer of negative charge density. The electron layer together with the imposed voltage across the plasma chamber can lead to large electrostatic potential dips and peaks as illustrated in the chart based on multi-fluid simulations. The wavy potential structure may last for a few to tens of ns. The number of peaks and dips depends on the plasma density and electron velocity.
Figure 2. Flow chart for the formation of potential peaks and dips in the plasma chamber. The externally imposed electric potential (V) leads to the formation of partially ionized hydrogen gas. As the LaB6 slab is heated, the emitted electrons from the LaB6 slab form a layer of negative charge density. The electron layer together with the imposed voltage across the plasma chamber can lead to large electrostatic potential dips and peaks as illustrated in the chart based on multi-fluid simulations. The wavy potential structure may last for a few to tens of ns. The number of peaks and dips depends on the plasma density and electron velocity.
Preprints 198146 g002
Figure 3. Case (A) Potential profile for simulation without LaB6 slab with applied potential ϕ A = 100 V across the cathode and anode, p 0 = 1   t o r r and x 0 = 20   m m . The potential drop between points B and C is the positive anode fall, while the potential drop between origin and point A is the cathode fall. In Case (B), the thermionic electrons are emitted from LaB6, p 0 = 1   t o r r and x 0 = 20   m m . A potential dip near the LaB6 surface can reach -5800 volts. The electric potential dip of -5800V near the cathode and the electric potential of 100V at the anode lead to the acceleration of electrons(ions) toward the anode(cathode), and hence the two-stream instability leads to potential peaks and dips variation with peaks and dips of a few hundred volts.
Figure 3. Case (A) Potential profile for simulation without LaB6 slab with applied potential ϕ A = 100 V across the cathode and anode, p 0 = 1   t o r r and x 0 = 20   m m . The potential drop between points B and C is the positive anode fall, while the potential drop between origin and point A is the cathode fall. In Case (B), the thermionic electrons are emitted from LaB6, p 0 = 1   t o r r and x 0 = 20   m m . A potential dip near the LaB6 surface can reach -5800 volts. The electric potential dip of -5800V near the cathode and the electric potential of 100V at the anode lead to the acceleration of electrons(ions) toward the anode(cathode), and hence the two-stream instability leads to potential peaks and dips variation with peaks and dips of a few hundred volts.
Preprints 198146 g003
Figure 4. Simulation results of Case B in Figure 3 showing the formation of electrostatic waves due to the two-stream instability. We show the time histories of (a)electron and (b)proton number densities, (c) and (d) velocities, and (e) electric potential as color contours. The snapshot at t = 0.9   a n d   2.4   n s is shown on the bottom right panel in (f). The electric potential peak reaches the maximum value (~12.0kV) when t=2.4 ns.
Figure 4. Simulation results of Case B in Figure 3 showing the formation of electrostatic waves due to the two-stream instability. We show the time histories of (a)electron and (b)proton number densities, (c) and (d) velocities, and (e) electric potential as color contours. The snapshot at t = 0.9   a n d   2.4   n s is shown on the bottom right panel in (f). The electric potential peak reaches the maximum value (~12.0kV) when t=2.4 ns.
Preprints 198146 g004
Figure 5. Solution of electron-ion two-stream instability. The real part ω r and the corresponding growth rate ω i are plotted as a function of normalized wave number k V 0 / ω p e .
Figure 5. Solution of electron-ion two-stream instability. The real part ω r and the corresponding growth rate ω i are plotted as a function of normalized wave number k V 0 / ω p e .
Preprints 198146 g005
Figure 6. (a) The electric potential as a function of x at different simulation times, t= 0.9, 1.0, …, 1.2ns for Case (B) in Figure 3. There are four wave peaks and four dips. (b) The growth rate γ of electric potential Peak 2 (denoted by pentagrams) is plotted as a function of time, ranging from 2.4 × 10 9 8.5 × 10 9 s 1 .
Figure 6. (a) The electric potential as a function of x at different simulation times, t= 0.9, 1.0, …, 1.2ns for Case (B) in Figure 3. There are four wave peaks and four dips. (b) The growth rate γ of electric potential Peak 2 (denoted by pentagrams) is plotted as a function of time, ranging from 2.4 × 10 9 8.5 × 10 9 s 1 .
Preprints 198146 g006
Figure 7. Simulation results (Case B in Figure 3) of ion and electron number densities ( n i ,   n e ) , velocities ( U i , U e ) , and electric potential ( ϕ ) profiles at time t = 0.9, 1.0, 1.1 and 1.2 ns. In this case, the boundary electron density near x = 0 increases to approximately 4 × 10 19 m 3 due to continuous electron emission from LaB6 slab.
Figure 7. Simulation results (Case B in Figure 3) of ion and electron number densities ( n i ,   n e ) , velocities ( U i , U e ) , and electric potential ( ϕ ) profiles at time t = 0.9, 1.0, 1.1 and 1.2 ns. In this case, the boundary electron density near x = 0 increases to approximately 4 × 10 19 m 3 due to continuous electron emission from LaB6 slab.
Preprints 198146 g007
Figure 8. Base on the results of 48 cases in Table 1, the ϕ p e a k variations are plotted as function as x 0 (top panels). The ϕ d i p   variation as function as x 0 (bottom panels). The red hollow circles denote the simulations with 1 torr. The blue hollow circles denote the simulations with 5 torr.
Figure 8. Base on the results of 48 cases in Table 1, the ϕ p e a k variations are plotted as function as x 0 (top panels). The ϕ d i p   variation as function as x 0 (bottom panels). The red hollow circles denote the simulations with 1 torr. The blue hollow circles denote the simulations with 5 torr.
Preprints 198146 g008
Figure 9. Simulation results (Case 47 in Table 1) of ion and electron number densities ( n i ,   n e ) , velocities ( U i , U e ) , and electric potential ( ϕ ) profiles at time t = 2.0, 2.2, 2.4 and 2.6 ns. In this case, the boundary electron density near x = 0 increases to approximately 2.5 × 10 19 m 3 due to continuous electron emission from LaB6 slab. At t = 2.6 ns, ϕ p e a k = 15   k V , and maximum ϕ d i p = 15   k V .
Figure 9. Simulation results (Case 47 in Table 1) of ion and electron number densities ( n i ,   n e ) , velocities ( U i , U e ) , and electric potential ( ϕ ) profiles at time t = 2.0, 2.2, 2.4 and 2.6 ns. In this case, the boundary electron density near x = 0 increases to approximately 2.5 × 10 19 m 3 due to continuous electron emission from LaB6 slab. At t = 2.6 ns, ϕ p e a k = 15   k V , and maximum ϕ d i p = 15   k V .
Preprints 198146 g009
Figure 10. (a) Schematic diagram of the proton transportation in a molecular H 2 gas with density 10 23 m 3 . A uniform electric field E = 5 × 10 7 V / m   ( 5 × 10 6 V / m ) is applied across the acceleration layer with length 1mm (10mm). The number of entry protons in the Geant4 simulation ranges from 1,055,090 to 6,219,673. (b-f) Energy distribution of outgoing protons for the incident proton with energy ε i n = 0.01, 0.1, and 1 keV with acceleration layer lengths of (b-d) 1 mm and (e-g) 10 mm. In all cases the acceleration electric potential across the chamber is 50kV. The mean value ε f and standard deviation S ε f of the outgoing energy are also shown.
Figure 10. (a) Schematic diagram of the proton transportation in a molecular H 2 gas with density 10 23 m 3 . A uniform electric field E = 5 × 10 7 V / m   ( 5 × 10 6 V / m ) is applied across the acceleration layer with length 1mm (10mm). The number of entry protons in the Geant4 simulation ranges from 1,055,090 to 6,219,673. (b-f) Energy distribution of outgoing protons for the incident proton with energy ε i n = 0.01, 0.1, and 1 keV with acceleration layer lengths of (b-d) 1 mm and (e-g) 10 mm. In all cases the acceleration electric potential across the chamber is 50kV. The mean value ε f and standard deviation S ε f of the outgoing energy are also shown.
Preprints 198146 g010
Table 1. The parameters of 48 simulation cases with the presence of thermionic current of 10A associated with the electron emission from LaB6.
Table 1. The parameters of 48 simulation cases with the presence of thermionic current of 10A associated with the electron emission from LaB6.
No. p ( t o r r ) n n   ( 10 23 m 3 ) ϕ A ( V ) x 0 ( m m ) ϕ p e a k   ( k V ) ϕ d i p ( k V )
1 1 0.33 100 2 2.5 0.8
2 5 1.65 100 2 0.8 1.5
3 1 0.33 100 5 3 1.8
4 5 1.65 100 5 0.9 1.6
5 1 0.33 100 8 6 2.8
6 5 1.65 100 8 2 2.5
7 1 0.33 100 10 9 3.2
8 5 1.65 100 10 0.6 3.5
9 1 0.33 100 20 11 6
10 5 1.65 100 20 0.1 5
11 1 0.33 100 30 12 8.1
12 5 1.65 100 30 0.1 6
13 1 0.33 100 40 10 11
14 5 1.65 100 40 N a N N a N
15 1 0.33 100 50 15 15
16 5 1.65 100 50 N a N N a N
17 1 0.33 300 2 2.5 0.8
18 5 1.65 300 2 0.9 0.8
19 1 0.33 300 5 3 2.1
20 5 1.65 300 5 1.3 1.7
21 1 0.33 300 8 7 2.8
22 5 1.65 300 8 1.1 2.5
23 1 0.33 300 10 10 3.1
24 5 1.65 300 10 1.1 2.5
25 1 0.33 300 20 10 6
26 5 1.65 300 20 0.3 4
27 1 0.33 300 30 10 8
28 5 1.65 300 30 0.3 5
29 1 0.33 300 40 10 10
30 5 1.65 300 40 N a N N a N
31 1 0.33 300 50 11 15
32 5 1.65 300 50 N a N N a N
33 1 0.33 500 2 2.5 0.8
34 5 1.65 500 2 2.5 0.8
35 1 0.33 500 5 3.1 2.1
36 5 1.65 500 5 1.7 1.5
37 1 0.33 500 8 7 2.8
38 5 1.65 500 8 2 2
39 1 0.33 500 10 11 3.2
40 5 1.65 500 10 1.5 2.5
41 1 0.33 500 20 11 6
42 5 1.65 500 20 0.5 5
43 1 0.33 500 30 12 8.1
44 5 1.65 500 30 0.5 5
45 1 0.33 500 40 12 11
46 5 1.65 500 40 N a N N a N
47 1 0.33 500 50 15 15
48 5 1.65 500 50 N a N N a N
* Case 9 is presented as Case B in Figure 3(b), 4, 6, and 7. The largest ϕ p e a k   i s   15   k V (Case 47). The largest ϕ d i p   i s   15   k V (Case 47). “Nan” denotes the program crash.
Disclaimer/Publisher’s Note: The statements, opinions and data contained in all publications are solely those of the individual author(s) and contributor(s) and not of MDPI and/or the editor(s). MDPI and/or the editor(s) disclaim responsibility for any injury to people or property resulting from any ideas, methods, instructions or products referred to in the content.
Copyright: This open access article is published under a Creative Commons CC BY 4.0 license, which permit the free download, distribution, and reuse, provided that the author and preprint are cited in any reuse.
Prerpints.org logo

Preprints.org is a free preprint server supported by MDPI in Basel, Switzerland.

Subscribe

Disclaimer

Terms of Use

Privacy Policy

Privacy Settings

© 2026 MDPI (Basel, Switzerland) unless otherwise stated