Preprint
Article

This version is not peer-reviewed.

Plant-Derived Amino-Acid vs. Bovine-Derived Protein Human Milk Fortifier in Preterm Infants < 34 Weeks’ Gestation: A Pilot Randomized Controlled Trial

Submitted:

10 February 2026

Posted:

11 February 2026

You are already at the latest version

Abstract
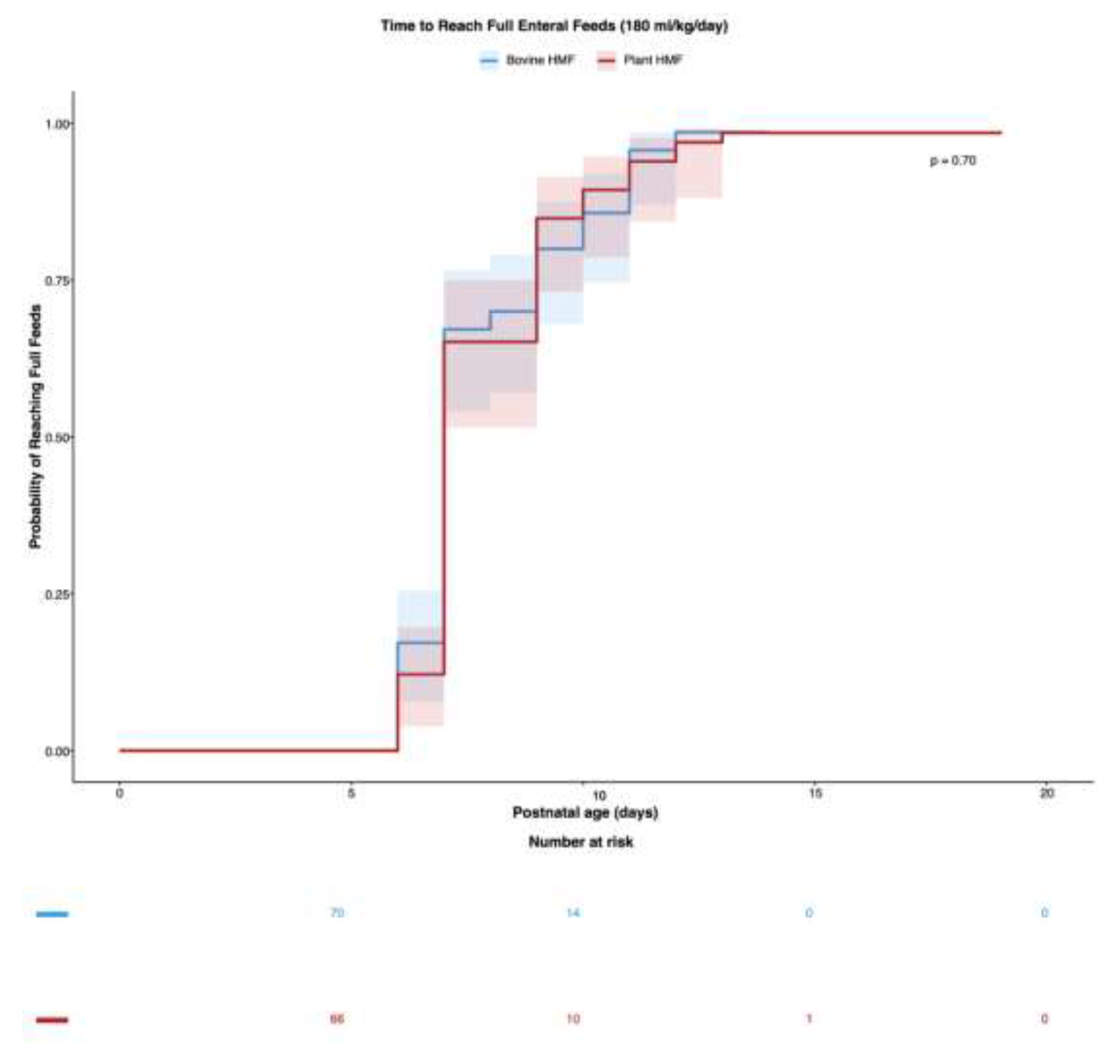
Background: Bovine milk protein-based human milk fortifiers (HMFs) are routinely used in preterm infants in low- and middle-income countries (LMICs) but are associated with potential adverse effects. Plant-derived amino-acid based HMFs are a promising alternative, but comparative data from randomized controlled trials (RCTs) are lacking. This pilot RCT aimed to evaluate the feasibility, safety, and growth outcomes of a novel plant-derived amino-acid based HMF compared to a bovine-derived whole protein based HMF in preterm infants <34 weeks’ gestation. Methods: In this open-label, parallel pilot RCT, preterm infants <34 weeks’ gestation were randomized to a plant-derived amino-acid based HMF (n=66) or a bovine-derived whole protein based HMF (n=70). Primary outcomes were time to reach 180 mL/Kg/day enteral feeds and growth velocities to discharge and 40 weeks’ postmenstrual age (PMA). Feasibility and safety were also assessed. Analysis followed intention-to-treat approach. The trial was registered (CTRI/2025/06/089133). Results: Baseline characteristics were comparable between groups. Time to reach enteral feeds of 180 mL/Kg/day did not differ (adjusted Hazard Ratio 0.93, 95% CI 0.65–1.33; p=0.70). In-hospital weight gain was significantly higher in the plant-derived HMF group (adjusted mean difference 3.20 g/Kg/day, 95% CI 0.46–5.95; p=0.02). This benefit was most evident in exploratory subgroup analyses of infants with birth weight ≥1500g. Length, head circumference growth, and all safety outcomes were similar between groups. Conclusions: The plant-derived amino-acid based HMF was well-tolerated, with a comparable safety profile. Its use was associated with better in-hospital weight gain, indicating it is a potential alternative to bovine-derived whole protein based HMF. These data support the feasibility of definitive trials powered for critical clinical outcomes.
Keywords: 
;  ;  ;  ;  ;  ;  ;  
Copyright: This open access article is published under a Creative Commons CC BY 4.0 license, which permit the free download, distribution, and reuse, provided that the author and preprint are cited in any reuse.
Prerpints.org logo

Preprints.org is a free preprint server supported by MDPI in Basel, Switzerland.

Subscribe

Disclaimer

Terms of Use

Privacy Policy

Privacy Settings

© 2026 MDPI (Basel, Switzerland) unless otherwise stated