Preprint
Article

This version is not peer-reviewed.

A Multi-Method Examination of Transformational Leadership and Citizenship Behavior: Insights from Explainable Machine Learning

Submitted:

10 February 2026

Posted:

11 February 2026

You are already at the latest version

Abstract
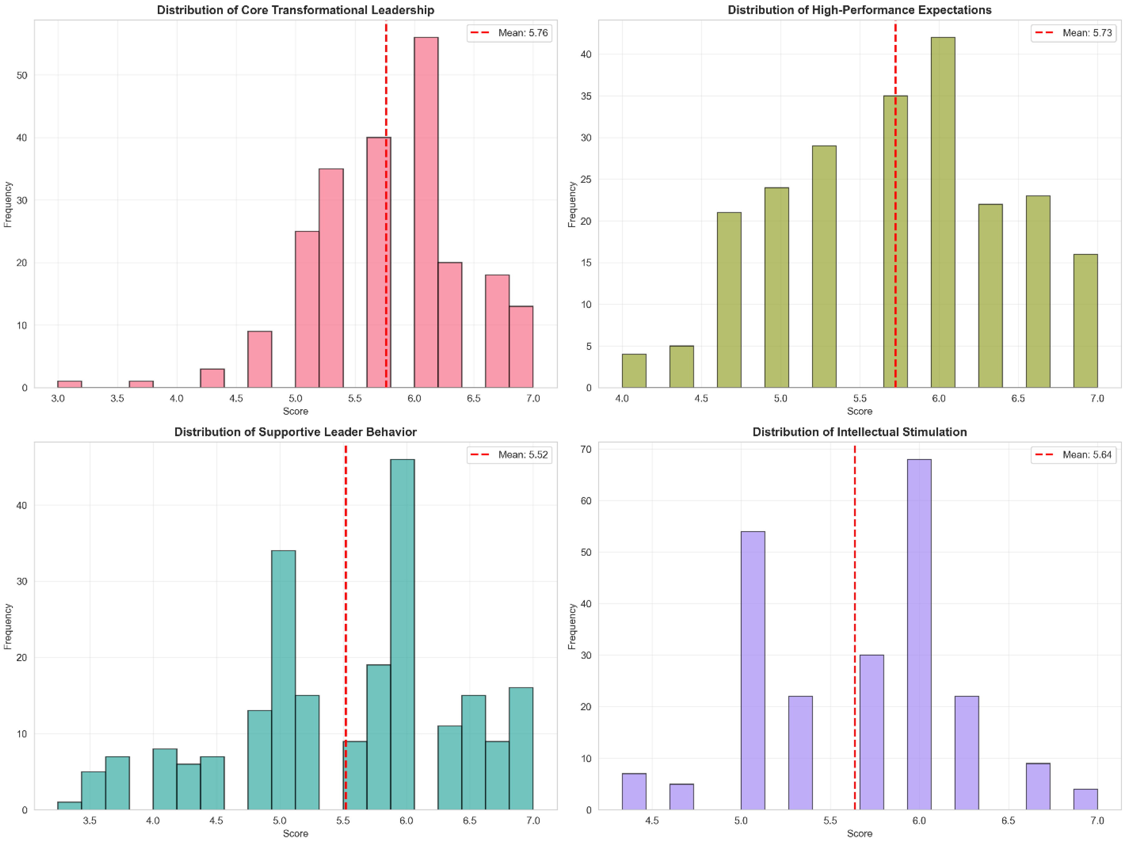
Objective: This study investigates the mediating role of knowledge-based work passion in the relationship between transformational leadership and organizational citizenship behavior (OCB) within knowledge-intensive organizational contexts, employing an innovative multi-method analytical framework that integrates traditional structural equation modeling with advanced machine learning techniques.Methods: Data were collected from 221 employees in a knowledge-intensive organizational environment analogous to General Electric. Transformational leadership was assessed through four dimensions (13 items, α = 0.799-0.956), knowledge-based work passion through eight items (α = 0.980), and OCB through three target-specific dimensions (12 items, α = 0.863-0.943). The analytical strategy comprised six sequential phases: exploratory data analysis, confirmatory factor analysis, structural equation modeling for mediation testing, ensemble machine learning (Random Forest and XGBoost) for predictive modeling and feature importance assessment, k-means clustering for behavioral profile identification, and SHAP analysis for model interpretability.Results: Descriptive analyses revealed elevated mean scores (M = 5.09-6.04) with negative skewness (-0.42 to 0.17), indicating response clustering and potential ceiling effects. Correlation analysis confirmed work passion's strong associations with OCB-Colleagues (r = 0.655, p < .001) and transformational leadership (r = 0.359, p < .001). Machine learning analyses demonstrated differential predictive performance across OCB targets, with OCB-Colleagues showing strongest prediction accuracy (Random Forest R² = 0.324). Feature importance analysis identified work passion as the dominant predictor (69.5% importance for OCB-Colleagues), substantially exceeding individual transformational leadership dimensions. K-means clustering revealed two distinct behavioral profiles, with work passion exhibiting the strongest discriminatory power (F = 234.88, p < .001).Conclusion: Knowledge-based work passion serves as a pivotal mediating mechanism in the transformational leadership-OCB relationship, particularly for colleague-directed citizenship behaviors. The integration of traditional statistical methods with machine learning techniques provides robust evidence for this mediating role while revealing important variations across OCB targets and employee profiles, offering actionable insights for leadership development and human resource management in knowledge-intensive organizations.
Keywords: 
;  ;  ;  
Copyright: This open access article is published under a Creative Commons CC BY 4.0 license, which permit the free download, distribution, and reuse, provided that the author and preprint are cited in any reuse.
Prerpints.org logo

Preprints.org is a free preprint server supported by MDPI in Basel, Switzerland.

Subscribe

Disclaimer

Terms of Use

Privacy Policy

Privacy Settings

© 2026 MDPI (Basel, Switzerland) unless otherwise stated