Preprint
Article

This version is not peer-reviewed.

Efficacy and Safety of Sustained-Release Melatonin Capsules (2 mg) in Healthy Adults with Poor Sleep Quality: A Randomized, Double-Blind, Placebo-Controlled Trial

Submitted:

10 February 2026

Posted:

11 February 2026

You are already at the latest version

Abstract
Sleep disturbances and poor sleep quality are growing public health concerns, adversely affecting both physical and mental health. While exogenous melatonin supplements are used to manage the condition, there is limited evidence available on the efficacy of sustained-release (SR) melatonin formulations. This multicenter, randomized, double-blind placebo-controlled clinical trial evaluated the efficacy and safety of melatonin-SR capsules (2 mg) in healthy adults with poor sleep quality. Participants aged 30-60 years having poor sleep quality received melatonin-SR (2 mg) or a placebo capsule at night for 28 days. Changes from baseline till day 28 in polysomnography (PSG)-derived sleep parameters, Pittsburgh Sleep Quality Index (PSQI), WHO-5 Wellbeing Index, sleep diary parameters, and safety profile were evaluated. Of 62 enrolled participants, 59 (melatonin-SR, n=28; placebo, n=31) completed the study. Compared with placebo, melatonin-SR supplementation resulted in significant improvements at day 28 in PSG-derived sleep efficiency (P=0.001), and total sleep time (P=0.001), along with significant reductions in sleep onset latency (P=0.031) and wake after sleep onset (P=0.001). A significant reduction in PSQI global scores was observed in melatonin-SR group, from day 07 onwards (P=0.001). Improvement in subjective psychological well-being was significant from day 14 onwards (P=0.002). A significant improvement in subjective sleep parameters at day 28 (P<0.05) was observed. Reported adverse events in both groups were mild and transient in nature. Supplementation with melatonin-SR 2 mg capsule at night for 28 days was found to be effective and safe in improving objective and subjective sleep quality outcomes, and overall wellbeing in this trial population.
Keywords: 
;  ;  ;  ;  ;  

1. Introduction

Healthy sleep, characterized by multiple dimensions including sleep duration, efficiency, timing, alertness, and quality, is a vital parameter responsible for maintaining health throughout the human life span, as it profoundly influences physical, cognitive, and emotional well-being [1,2]. Epidemiological data indicate that around one in three (estimated 83.6 million) adults in the United States do not achieve adequate sleep on a regular basis [3]. According to the National Health Interview Survey (NHIS) conducted in the United States, nearly, 15% of adults reported difficulty in initiating sleep and 18% reported problems with sleep maintenance. A similar trend of insufficient sleep has been reported in other parts of the world as well [4,5].
Irrespective of the causative factor, sleep disturbances are widely recognized to adversely affect both physical and mental health. Poor sleep quality, characterized by prolonged sleep latency and frequent nocturnal awakenings, is associated with increased fatigue and has been linked to a broad range of adverse health outcomes, including impairments in attention, memory, and learning, as well as an increased risk of mood disorders (such as anxiety and depression) and metabolic disorders (including obesity and diabetes) [5]. Given the close relationship between disrupted sleep and these conditions, impaired sleep has a substantial adverse impact on the overall quality of life [6]. The American Academy of Sleep Medicine (AASM) and the Centers for Disease Control and Prevention (CDC) have identified insufficient sleep and the resulting sleep debt as the significant ‘public health concerns’, underscoring the need for effective and sustainable management strategies [2,3,7].
Several pharmacotherapy options, including benzodiazepine receptor agonists, benzodiazepines or melatonin receptor antagonists, are available for the management of sleep health issues, however, their clinical utility is often limited by safety and tolerability concerns, especially when aimed at long-term use. Commonly reported adverse effects of these pharmaceutical agents include excessive daytime somnolence, cognitive impairment, poor tolerability, and the potential for dependence and withdrawal symptoms, which may compromise long-term adherence to these products [8,9].
Melatonin (N-acetyl-5-methoxytryptamine), an endogenous chronobiotic hormone produced by the pineal gland, plays a central role in synchronizing and promoting the normal sleep-wake cycle by regulating circadian rhythm. Melatonin secretion follows a circadian pattern, with levels rising in the evening to promote sleep onset and declining toward morning [10]. Disruptions in circadian rhythm or alterations in melatonin secretion due to aging, lifestyle factors, stress, or increased exposure to artificial light have been implicated in sleep disturbances, particularly those involving delayed sleep onset and fragmented sleep [11,12,13]. In line with the crucial role of endogenous melatonin in maintenance of healthy sleep, supplementation with exogenous melatonin is being widely investigated and utilized across the globe, for the management of sleep-related complaints, including insomnia and circadian rhythm sleep-wake disorders, as well as sleep disturbances associated with jet lag and night-shift work [14].
While conventional immediate-release melatonin formulations are effective in facilitating sleep onset, their short plasma half-life limits their ability to sustain sleep throughout the night. Consequently, such formulations may have limited impact on sleep maintenance and nocturnal awakenings, underscoring the need for alternative delivery systems that provide prolonged melatonin exposure. To address these limitations, the novel sustained-release formulations of melatonin that can mimic the physiological nocturnal secretion profile have been developed. These formulations are designed to release an initial proportion of the active compound (up to 50%) shortly after administration, followed by a gradual and continuous release over an extended period. This release pattern helps maintain more stable plasma melatonin levels throughout the night and minimizes the peak-and-trough fluctuations commonly associated with immediate-release melatonin products [15,16]. Therefore, these formulations may offer advantages in improving sleep continuity, sleep efficiency, and overall sleep architecture. Melotime is one such scientifically designed sustained-release melatonin formulation (Melatonin-SR) developed to provide uniform release and maintenance of melatonin levels in the plasma throughout the 8-hour sleep period, followed by gradually tapering plasma levels, thus avoiding any spillover of sleep during the waking hours. A comparative pharmacokinetic study between melatonin-SR and immediate-release melatonin reference product after single-dose oral administration in healthy adults demonstrated that melatonin-SR provides higher and sustained plasma melatonin concentrations for an extended period which can help induce and maintain sound sleep for long hours in healthy adults [16].
Despite the growing commercial availability of melatonin supplements, evidence supporting efficacy and safety of these in achieving optimal sleep health from well-designed randomized, placebo-controlled trials, particularly those employing objective sleep assessments, remains limited. Polysomnography (PSG), the gold-standard method for objectively evaluating sleep architecture and physiological parameters during sleep [17], when combined with validated subjective sleep measures, can offer a comprehensive approach for assessing the clinical efficacy of sleep interventions. However, the PSG-based evaluations of sustained-release melatonin supplements have been limited and largely confined to populations with diagnosed sleep disorders, with scarce data in otherwise healthy adults experiencing poor sleep quality [18,19]. To address this evidence gap, the present trial was designed to evaluate the efficacy and safety of melatonin-SR capsules (2 mg) in healthy adults with poor sleep quality, using both objective and subjective sleep assessments, along with quality of life (QoL) evaluation, to help in comprehensively evaluating its clinical benefits.

2. Results

Out of 74 screened participants, 62 were enrolled and randomized to melatonin-SR (N=30) and placebo (N=32) groups. Of these, three participants were discontinued from the study due to non-compliance with the study protocol. As a result, total of 59 participants completed the study and were considered for the final per protocol analysis (Melatonin-SR, n=28 and Placebo, n=31) (Figure 1).
Demographic details of the study participants at baseline are summarized in Table 1. At baseline, the mean values for demographic characteristics and each endpoint were comparable between study groups (P>0.05), indicating that the melatonin-SR and placebo groups were comparable at the start of the study.

2.1. Change in Sleep Study Parameters Assessed Using PSG

Objective assessment of sleep quality parameters was conducted using PSG, and following parameters were evaluated:

2.1.1. Sleep Efficiency Assessment

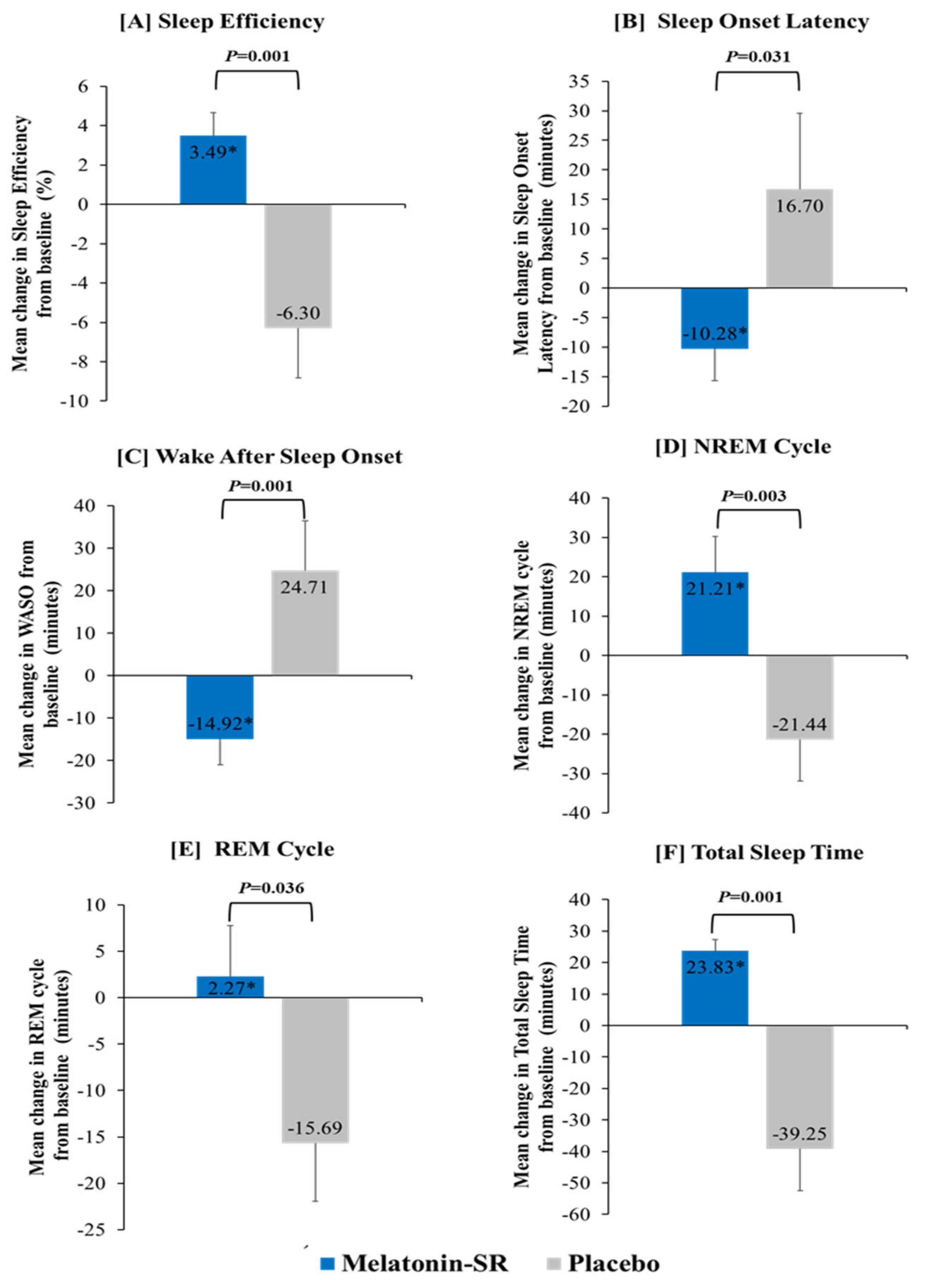
Participants from melatonin-SR group reported statistically significant increase in mean (standard error [SE]) sleep efficiency from baseline to day 28 (80.53 [2.18] vs 84.02 [1.79] %; P=0.006); while those from placebo group reported statistically significant decrease in sleep efficiency (77.19 [2.52] vs 70.89 [2.20] %; P=0.007). A comparative analysis of mean change from baseline to day 28 demonstrated that participants from melatonin-SR group achieved a statistically significantly higher sleep efficiency as compared to those from placebo group (3.49 vs −6.30 %; P=0.001) (Figure 2A).

2.1.2. Sleep Onset Latency (SOL) Assessment

On day 28, the mean (SE) SOL statistically significantly decreased from baseline in the melatonin-SR group (41.65 [6.62] vs 31.37 [7.59] minutes; P=0.041) while numerically increased in the placebo group (49.48 [8.42] vs 66.18 [10.90] minutes; P=0.183). A between-group comparison of mean change from baseline to day 28 demonstrated a statistically significantly greater reduction in SOL in the melatonin-SR group as compared to the mean change observed in the placebo group (−10.28 vs 16.70 minutes; P=0.031) (Figure 2B).

2.1.3. Wake After Sleep Onset (WASO) Assessment

On day 28, the mean (SE) WASO statistically significantly decreased from baseline in the test group (90.26 [10.77] vs 75.34 [8.74] minutes; P=0.021) while significantly increased in the placebo group (108.30 [12.14] vs 133.00 [10.33] minutes; P=0.020). The comparison of mean change values from baseline to day 28 between the groups revealed a statistically significantly greater reduction in WASO duration in the melatonin-SR group compared to that observed in the placebo group (−14.92 vs 24.71 minutes; P=0.001) (Figure 2C).

2.1.4. Non-Rapid Eye Movement (NREM) and Rapid Eye Movement (REM) Cycle Assessment

The mean (SE) NREM sleep duration statistically significantly increased on day 28 from baseline in the melatonin-SR group (NREM: 285.15 [9.56] vs 306.35 [7.49] minutes; P=0.025) while it decreased in the placebo group (NREM: 288.71 [8.40] vs 267.27 [9.95] minutes; P=0.049). The mean (SE) REM sleep duration numerically increased on day 28 from baseline in the test group (80.36 [6.02] vs 82.63 [4.91] minutes; P=0.684) and significantly decreased in the placebo group (79.30 [6.29] vs 63.61 [5.53] minutes; P=0.018). A between-group comparison demonstrated that the mean change from baseline to day 28 for both NREM and REM sleep duration in the test group was statistically significantly higher than that observed in the placebo group (NREM: 21.21 vs −21.44 minutes; P=0.003 and REM: 2.27 vs −15.69 minutes; P=0.036) (Figure 2D and 2E).

2.1.5. Total Sleep Time (TST) Assessment

In participants from melatonin-SR group, the mean TST (SE) statistically significantly increased from baseline to day 28 (365.50 [12.34] vs 389.33 [9.19] minutes; P=0.001); however, in the placebo group it significantly decreased on day 28 (364.54 [11.85] vs 325.29 [11.67] minutes; P=0001). The mean change from baseline to day 28 in the melatonin-SR group was statistically significantly higher than that observed in the placebo group (23.83 vs −39.25 minutes; P=0.001) (Figure 2F).

2.2. Change in Sleep Quality Evaluated Using Pittsburgh Sleep Quality Index (PSQI)

Subjective assessment of sleep quality demonstrated a decreasing trend in the global PSQI scores from baseline till end of the study duration (day 28) in both the study groups. However, compared to the placebo group, participants from the test group demonstrated a statistically significantly higher reduction in PSQI global score from as early as day 07 and sustained till end of the study period, i.e. day 28 (mean change from baseline at day 07: −2.21 vs −0.23, P=0.001; day 14: −4.86 vs −0.65, P=0.001; and day 28: −5.61 vs −0.65, P=0.001) (Figure 3).

2.3. Change in QoL Assessed Using World Health Organization Five-Item (WHO-5) Well-Being Index

Participants in the melatonin-SR group reported statistically significant improvement in mean WHO-5 well-being index score across the study period when compared with baseline (day 07: P=0.017; day 14 and 28: P=0.001); however, those from the placebo group reported a numerical increase from baseline at day 07 (P=0.317) and a significant increase at day 14 (P=0.014), with no further change at day 28. Between-group comparisons of mean change from baseline showed a numerical increase in WHO-5 well-being index score in the test group at day 07 (2.57 vs 0.13; P=0.133). Compared to the placebo group, a statistically significant improvement was observed in the test group from day 14 onward (9.86 vs 0.77; P=0.001) which sustained till end of the study period (day 28: 13.29 vs 0.77; P=0.001) (Figure 4).

2.4. Change in Sleep-Related Parameters Assessed Using Participants’ Sleep Diary

Subjective assessment of different sleep-related parameters was performed by analyzing sleep diary data of each participant and summarized in Table 2. A comparison of mean change values between the study groups revealed a statistically significant reduction in the duration of daytime naps, daytime fatigue levels, lights out time, time taken to fall asleep after lights out, duration of staying awake at night, and midnight awakenings starting from day 07 onwards and a significant reduction in daytime stress levels from day 14 till end of the study (day 28) in the melatonin-SR group compared to placebo (P<0.05). Additionally, in the melatonin-SR group, a statistically significant improvement in sleep duration and rest score was observed from day 07 and sustained till day 28 as compared to the placebo group (P<0.05). Also a significant reduction in daytime sleepiness was observed in the melatonin-SR group, as reflected in significantly lower proportion of participants taking daytime naps compared with placebo, starting as early as day 07 (73.07% vs 100%; P=0.014), which persisted through day 14 (69.23% vs 100%; P=0.007) and day 28 (23.07% vs 96.15%; P=0.001). Additionally, a significantly higher proportion of participants in test group reported being alert during daytime from day 14 onward (Day 14: 100% vs 70.96%; P=0.001 and Day 28: 100% vs 54.83%; P=0.001) compared with placebo.

2.5. Safety Assessment

Clinical safety assessment showed no clinically significant changes in systolic or diastolic blood pressure, pulse rate, body temperature, oxygen saturation (SpO₂), respiratory rate, or findings from physical examinations at the end of the study compared with baseline in either of the study group. During the study, in the melatonin-SR group, total five participants reported nine adverse events (AEs), which included headache (n=04) and dizziness (n=05). In the placebo group, six participants reported total of eight AEs, including headache (n=04) and dizziness (n=04). All AEs were assessed as mild in intensity and deemed unlikely to be related to the IP based on causality assessment. All AEs resolved without sequelae.

3. Discussion

Based on findings from prior pharmacokinetic study demonstrating prolonged plasma melatonin exposure with melatonin-SR formulation, the present study evaluated the clinical efficacy and safety of melatonin-SR in the dose of 2 mg once at night, in improving sleep parameters among healthy adults with poor sleep quality, using both objective PSG-derived outcomes and validated subjective assessment tools. The key observations collectively indicate that a single oral dose of melatonin-SR 2 mg was associated with clinically relevant improvements in sleep health among this study population.
Polysomnography is the most comprehensive and objective method for assessing sleep architecture and related physiological parameters, allowing detailed characterization of sleep continuity, staging, and disturbances [20]. In the present study, PSG assessments demonstrated that melatonin-SR supplementation in a single daily dose resulted in significant improvements in multiple objective sleep parameters compared with placebo, indicating enhanced sleep efficiency, continuity, and architecture. Sleep efficiency improved by 4.33% from baseline in the melatonin-SR group, suggesting it was effective in achieving restorative sleep where a greater proportion of time spent asleep while in bed. This was accompanied by a significant increase (6.52%) in TST from baseline to day 28, corresponding to approximately 6 hours 30 mins of sleep, indicating sustained sleep throughout the night. Furthermore, improvements in sleep architecture were confirmed by significant increases in both NREM (7.44%) and REM (2.82%) sleep durations, reflecting preservation of physiologically restorative sleep stages. According to the National Sleep Foundation guidelines, adults are recommended to achieve at least 7 hours of TST and maintain a sleep efficiency (SE) of ≥85% to support optimal health and daytime functioning [21,22]. After 28 days of supplementation, participants receiving melatonin-SR achieved sleep efficiency exceeding 84% and a TST of approximately 6.5 hours, values approaching the abovementioned recommended thresholds. Collectively, these findings suggest that melatonin-SR may contribute to meaningful improvements in objective sleep outcomes in adults with poor sleep quality.
Furthermore, PSG assessment in this study revealed that melatonin-SR supplementation significantly reduced SOL (−24.68%) and WASO (−16.53%), whereas increases in these parameters were observed in the placebo group. These observations indicate a faster sleep initiation, reduced nocturnal awakenings and less fragmented sleep with this sustained-release formulation, ensuring uninterrupted sleep throughout the night. Collectively, these PSG-derived observations suggest that melatonin-SR confers multidimensional benefits on sleep initiation and maintenance. The observed improvements are consistent with the earlier evaluated pharmacokinetic profile of the test product, which demonstrated prolonged nocturnal melatonin exposure that more closely mimics endogenous melatonin secretion patterns, thereby supporting continuous sleep throughout the night [16]. Importantly, the use of objective PSG assessments strengthens the clinical relevance of the pharmacokinetic study findings.
These results are broadly consistent with prior PSG-based investigations of prolonged-release melatonin. In a study of elderly patients (≥55 years) with primary insomnia, administration of 2 mg prolonged-release melatonin for three weeks resulted in a significant reduction in SOL by 9 minutes compared with placebo (P=0.02), supporting its role in facilitating sleep initiation. However, improvements in sleep continuity and sleep architecture were not observed in this population [18]. A more recent study conducted in 24 healthy older adults (>55 years) without sleep complaints demonstrated that 5 mg melatonin significantly increased sleep efficiency, TST, and sleep duration during both biological day and night, primarily through increases in stage 2 NREM sleep and modest reductions in awakenings [19]. On the contrary, a randomized double-blind placebo-controlled study by Almeida Montes LG, et al. evaluating a low-dose sustained-release melatonin formulation (1 mg) in participants with primary insomnia reported no significant differences in sleep EEG parameters, sleep duration, subjective sleep quality, or adverse effects compared with placebo, suggesting that dose, population characteristics, and formulation design to be crucial factors influencing clinical outcomes [23]. Taken together, these findings, along with the results of the present study, suggest that sustained-release melatonin formulations administered within the 2–5 mg dose range may contribute to improvements in objective sleep parameters.
In addition to objective PSG assessments, subjective sleep quality was evaluated using the validated tool, PSQI, to determine whether participant-reported perceptions of sleep corresponded with physiological sleep improvements. Evaluation of the PSQI global scores demonstrated a progressive and clinically meaningful improvement in subjective sleep quality in the melatonin-SR group over the 28-day study period. A significant reduction from baseline was observed as early as day 07 (% change from baseline: −22.57%), which further decreased at day 14 (−49.64%) and day 28 (−57.30%), compared with the placebo group. These sustained improvements in perceived sleep quality align with the objective PSG findings, indicating concordance between subjective assessments and physiological sleep parameters. Together, these observations further support the clinical efficacy of melatonin-SR in improving overall sleep quality among healthy individuals with poor sleep quality. Previous randomized controlled trials and meta-analyses have consistently shown that melatonin supplementation improves subjective sleep quality as measured by PSQI; however, the magnitude of benefit has generally been modest and often poorly aligned with objective sleep measures. A meta-analysis of 23 randomized clinical trials reported an average PSQI reduction of approximately 1.2 points (95% CI: −1.77, −0.71, P=0.000) with melatonin doses ranging from 2–10 mg across heterogeneous populations, including individuals with sleep disorders (mean reduction: −0.67; 95% CI −0.98, −0.37, P=0.000) and metabolic disorders (mean reduction: −2.74; 95% CI: −3.48, −2.00; P=0.000) [8]. Similarly, in elderly individuals (>65 years) with primary insomnia, prolonged-release melatonin (2 mg) resulted in relatively small but statistically significant PSQI reductions at both 2 weeks (mean reduction: −0.64; 95% CI: −1.25, −0.02; P=0.042) and 26 weeks (mean reduction: −0.70; 95%CI: −1.17, −0.23; P=0.003) [24]. Furthermore, larger reductions have been reported in certain clinical settings, such as hospitalized or critically ill populations [25], although these findings may not be directly comparable due to differences in study design and trial population. Notably, the magnitude and rapid onset of PSQI improvement observed in the present study (reduction by 4.86 points on day 14 and 5.61 points on day 28) exceed the pooled average effects observed across different populations. This pronounced response in healthy individuals with poor sleep quality suggests that sustained-release melatonin may confer greater sleep benefits when administered early in the trajectory of sleep disturbance, particularly in otherwise healthy individuals with sleep disturbances, due to consistent plasma melatonin levels compensating for disturbed endogenous melatonin secretion, resulting in undisturbed sleep.
Poor sleep quality is well recognized to be associated with impairments in QoL, with individuals experiencing disturbed sleep consistently reporting lower well-being compared to individuals with good sleep quality [26]. Therefore, in the present study, QoL was assessed using the WHO-5 Well-Being Index in healthy individuals with poor quality of sleep, to evaluate the broader impact of melatonin-SR supplementation beyond sleep parameters. Participants receiving melatonin-SR demonstrated a positive trend of improvement in overall WHO-5 well-being scores across the study duration with a statistically significant improvement in subjective psychological well-being, from day 14 onward (13.91%), sustained through day 28 (18.76%), compared with the placebo group. These findings suggest that improvements in sleep quality with melatonin-SR may translate into meaningful benefits in overall QoL. Consistent with these observations, prior studies evaluating prolonged-release melatonin in individuals with insomnia have reported improvements in QoL measures, supporting a potential role for sustained-release melatonin formulations in enhancing sleep-related QoL outcomes [24,27].
Lastly, sleep diary assessments provided additional subjective evidence supporting the benefits of melatonin-SR supplementation across multiple sleep-related domains. Compared with placebo, participants in the melatonin-SR group demonstrated significant reductions in daytime napping, daytime fatigue, daytime sleepiness, and nocturnal awakenings from day 07 onward, along with a reduction in daytime stress and improvement in daytime alertness from day 14. These improvements were accompanied by significant increases in sleep duration and restfulness scores from day 07 through the end of treatment, further reinforcing the consistency of subjective sleep improvements observed with melatonin-SR. Collectively, these observations indicate enhanced perceived sleep continuity, nighttime restfulness, and daytime alertness in the melatonin-SR group, reinforcing the objective improvements observed in PSG outcomes. These observations align with the published literature wherein sleep diary assessment was used to capture both nocturnal sleep quality and daytime functioning following prolonged release melatonin supplementation [27,28].
Safety evaluations indicated that melatonin-SR exhibited a favorable tolerability profile, with no clinically meaningful differences observed between the melatonin-SR and placebo groups across assessed safety parameters. All reported adverse events were mild in intensity, transient in nature, and considered unlikely to be related to the IP, with complete resolution and no sequelae. These findings suggest that once-daily administration of 2 mg melatonin-SR is generally well tolerated in healthy adults with poor sleep quality. The observed safety profile is consistent with previously published clinical trials further supporting its suitability for use as a nutraceutical intervention for sleep health [18,27,28,29,30].
To our knowledge, evidence evaluating sustained-release melatonin supplementation in healthy adults with poor sleep quality remains limited, and the present randomized, placebo-controlled trial contributes novel clinical data in this population. The study demonstrated the efficacy of a low-dose (2 mg) melatonin-SR supplement in improving sleep health, thereby adding meaningful evidence to the existing literature on nutraceutical-based sleep interventions. Furthermore, inclusion of PSG, a comprehensive and objective method for assessing sleep architecture and related physiological parameters, in the present study enhanced its methodological rigor by allowing reliable quantification of treatment-related changes in sleep outcomes and by substantiating subjective findings with objective PSG outcomes. Moreover, conducting PSG in a home-based setting facilitated sleep data to be collected under the real-world environment with habitual sleeping conditions at home, thereby reducing sleep disruption caused by unfamiliar laboratory conditions and potentially mitigating first-night effects. The use of multiple validated subjective assessment tools further allowed a holistic evaluation of sleep quality and daytime well-being. It is noteworthy that several sleep parameters worsened in the placebo group over 28 days, which may reflect regression of baseline sleep disturbances; however, melatonin-SR consistently mitigated this decline and produced net improvements across sleep parameters. Nevertheless, the study duration was limited to 28 days, which was appropriate for assessing short-term efficacy and tolerability; however, designing a future trial with longer duration will further help in evaluation of sustained benefits with continued use. Interestingly, this design strengthens the relevance of the findings to a broader, real-world population seeking non-pharmacological sleep support. Future studies with extended follow-up periods and inclusion of diverse sleep phenotypes would further elucidate the long-term clinical utility and generalizability of sustained-release melatonin supplementation.

4. Materials and Methods

4.1. Study Design and Ethical Considerations

This was a multicenter, randomized, double-blind, parallel group, prospective placebo-controlled clinical trial. The trial was conducted at two study sites (Kulkarni Clinic, Kasturba Housing Society, Pune, Maharashtra, India and Dhanwantari Hospital, Rasta Peth, Pune, Maharashtra, India) between 29 April 2025 and 04 September 2025.
Ethics committees at both study sites approved the study protocol (Central Independent Ethics Committee, Maharashtra, India [Registration number: ECR/390/Indt/MH/2024; Approval Date: 09/04/2025] and Jivanrekha Ethics Committee, Maharashtra, India [Registration number: ECR/1580/Inst/MH/2021; Approval Date: 04/05/2025]). The study protocol adhered to the ethical guidelines set forth by the Declaration of Helsinki for research involving human participants. The study was conducted in compliance with the Indian Council of Medical Research (ICMR) guidelines - National Ethical Guidelines for Biomedical and Health Research Involving Human Participants, 2017, International Conference on Harmonization-Good Clinical Practices (ICH-GCP) guidelines E6 (R3), NDCT RULES 2019, and Declaration of Helsinki (Brazil, October 2013). This study was registered with the Clinical Trials Registry-India (CTRI) on 17/04/2025 (CTRI Number: CTRI/2025/04/085087). Each study participant provided written informed consent before initiation of the study.

4.2. Study Population

Healthy adult male and non-pregnant female participants aged between 30 and 60 years, with a body mass index (BMI) ranging from 18.5 to 29.9 kg/m², who reported poor sleep quality (determined by a PSQI global score > 5 at the screening visit), and experienced at least three episodes of sleep disturbances in the preceding month were enrolled for the study. Additional inclusion criteria comprised of participants who were willing to abstain from any digital activity for at least three hours prior to undergoing PSG analysis, and maintain their usual dietary habits, physical activity levels, stable body weight throughout the study duration, avoiding any significant lifestyle modifications. Female participants of childbearing potential were required to use a medically acceptable form of contraception during the study. Women participants who were amenorrheic for at least one year or had undergone hysterectomy and/or bilateral oophorectomy were considered non-childbearing. All laboratory test results and screening assessments of eligible participants were required to be within normal limits or deemed not clinically significant by the Principal Investigator (PI). Lastly, participants who demonstrated willingness to provide written informed consent and to comply with all study procedures, including PSG evaluation, blood sampling, routine urine analysis, and urine pregnancy testing (for women of childbearing potential) both before and after supplementation were included in the study.
The participants were excluded from the study if they had lifestyles that could interfere with sleep patterns, such as shift work or frequent travel across time zones causing jet lag. Other exclusion criteria were participants with history of any sleep disorders related to psychiatric disorders (for example, depression, anxiety, dementia) or secondary medical conditions (such as sleep apnoea, circadian rhythm sleep disorder) or any chronic medical condition that is likely to be the cause of the sleep problem; pregnant, breastfeeding, or women planning pregnancy, post-menopausal women using hormone replacement therapy; those with history of known allergy to investigational products (IP), history or presence of any clinically significant uncontrolled systemic disorder including but not limited to cardiovascular, gastrointestinal, endocrinologic, hematologic, hepatic, immunologic, urologic, pulmonary, dermatologic, renal and/or other major diseases; history or presence of alcohol intake (>2 standard drinks/day) or use of recreational drugs or addiction to nicotine ; excess consumption of tea (≥500 mL/day), coffee (≥400 mL/day), or energy drinks (≥250 mL/day). Participants were also excluded if they were currently using any prescription medicine, herbal supplements, or any over-the-counter product or multivitamins for sleep or anxiety or any other psychological condition, or any other prescription product which has a known side effect of causing somnolence or sleep problems, within one month prior to the screening visit. Individuals who had participated in other clinical trials involving investigational or marketed products within three months prior to screening, or those considered not eligible for participation by the PI, were also excluded.

4.3. Study Products

Test product was Melatonin-SR capsules containing melatonin SR granules 4.44 mg equivalent to 2 mg melatonin (Melotime). Placebo capsules contained only inactive substances and were manufactured as identical capsules that matched the color, size, weight, and shape of the test product. Both test and placebo products were manufactured by Nutriventia Private Limited, Mumbai, India.

4.4. Randomization and Blinding

After confirming eligibility, each participant was assigned a unique randomization number according to the predefined randomization schedule. The randomization schedule was generated by an independent statistician using a computer-generated simple randomization method. Participants were randomized in a 1:1 ratio to receive either melatonin-SR capsules or placebo capsules. The study participants, sponsor, investigators, and all site personnel involved in study conduct, assessments, data entry, and data evaluation were blinded to the treatment assignments until database lock. Blinding was implemented by labeling the IP through an assigned unblinded individual. At the study site, sealed envelopes containing randomization codes and blinded treatment allocation details were securely stored under controlled access in the custody of the PI. Emergency unblinding was permitted only in cases of medical or surgical emergencies where knowledge of the treatment assignment was essential for appropriate clinical management.

4.5. Study Procedure

The study was conducted for approximately 34 days. This included 4 days of screening period (Visit 1 [day -3 to 0]), 28 days of treatment period (Visit 2 [baseline/ day 01), Visit 3 [day 07 ± 2], Visit 4 [day 14 ± 2], and Visit 5 [day 28 ± 2]) (Figure 5). At screening visit, all participants provided written informed consent. Screening evaluations including medical history, physical examinations, demographic and anthropometric measurements, vital signs measurement, urine pregnancy test (for women in reproductive age group), clinical laboratory examinations (including hematology, biochemistry and urine analysis) and PSQI assessment were conducted in all study participants. On the baseline visit (day 01), medical and medication history, physical examination, vital signs assessment and reconfirmation of eligibility criteria were conducted, and all eligible participants were randomized to receive either 2 mg melatonin-SR or placebo capsules. The IP containers containing 34 capsules of either melatonin-SR or placebo were dispensed to each participant. Participants were instructed to take one capsule orally once daily at night 0.5–1.0 hour before sleep (preferably between 09:00–09:30 PM) for 28 days, with water. A home-based PSG was conducted on the night of screening visit (prior to baseline visit) and on day 28 after dosing, by a qualified and certified sleep technician, in accordance with the risk-mitigation plan, to minimize the study dropout rates. This evaluation was considered as baseline PSG assessment. Quality of life was assessed using the WHO-5 Wellbeing Index at baseline visit, days 07, 14, and 28. For day 07 assessment, the WHO-5 questionnaire was administered with an adjusted recall period to reflect the evaluation on day 07. Sleep quality assessment was repeated on days 07, 14 and 28 using PSQI. Additionally, all individuals were given a participant diary which included sleep record section where participants documented their pre- and post- sleep-related activities and daily sleep patterns, and IP intake and AEs record section where they recorded details of IP administration, any AEs experienced, and any concomitant medications taken throughout the study period. They were advised to fill these diaries on daily basis. These diaries were reviewed by the study team at each visit for sleep-related parameters, IP compliance and safety assessment. Unused IPs were collected from participants on day 28. Treatment compliance was considered adequate if participants consumed, on average, at least 80% of the scheduled IP doses. Assessment of physical examinations, vital signs, concomitant medication use and AE monitoring were conducted at all study visits while laboratory clinical assessments were conducted at screening (visit 1) and end of the study (day 28).
During the entire study period, participants were instructed to refrain from taking any medications or supplements, known to interfere with sleep or cause somnolence at the time of enrollment, other than the IP. Use of any concomitant medications not affecting the parameters of the study was allowed at the discretion of the PI. In the event of illness requiring additional medication, participants were required to notify the PI or designated study personnel immediately.

4.6. Endpoints

The primary efficacy endpoint was to evaluate and compare the mean change in sleep efficiency measured by PSG from baseline to end of the treatment (day 28), between the melatonin-SR and placebo groups. The secondary endpoints included the following: i) To compare mean change from baseline to day 28 between the two study groups in PSG-derived sleep parameters including SOL, WASO, Duration of NREM sleep stages and REM sleep stage, and TST; ii) To compare mean change in participant-reported subjective assessments from baseline to interim follow-up visits (i.e. day 07 and 14) until end of the study (day 28) between the melatonin-SR and placebo groups. These included PSQI global score, WHO-5 Well-Being Index, and sleep-related parameters recorded in the participant’s sleep diary. Additionally, safety assessments were conducted which included evaluation of incidence, frequency, and severity of AEs and treatment-emergent adverse events (TEAEs) throughout the study duration.

4.7. Study Assessment Tools

4.7.1. Polysomnography

Polysomnography, the gold-standard diagnostic tool for evaluating sleep-related disorders, was employed in this study to comprehensively assess sleep architecture and identify physiological changes during sleep. This technique utilizes multiple components, each designed to measure specific physiological functions which subsequently aid in evaluating underlying causes of sleep disturbances [17,20,31].
Overnight sleep assessments were conducted using a validated and calibrated home-based portable SOMNOtouch RESP PSG device (manufactured by SOMNOmedics GmbH, Germany). This device includes a headbox with electroencephalogram (EEG), electrooculogram (EOG), and electromyogram (EMG), a combination sensor that captures periodic limb movements, electrocardiogram (ECG) and respiratory efforts (chest/abdominal), and 11 internal channels that measures blood oxygen saturation (SpO2), pulse rate, and plethysmogram. Previous studies have demonstrated that home-based PSG reduces first-night effects by minimizing sleep disruptions caused by unfamiliar environment and provides reliable sleep architecture data comparable to laboratory-based PSG assessment [32,33,34]. A trained sleep technician visited each participant’s residence to apply all required leads and sensors and provided instructions for their removal the following morning upon awakening. Participants were instructed to maintain their usual daytime schedule, abstain from digital device use for three hours before the assessment, avoid napping on the day of the assessment, and refrain from alcohol, caffeine (including coffee, tea, cocoa, and chocolate), sedatives, and stimulants for 24 hours prior to the recording. Participants were advised to consume their regular meals, including dinner, to wear comfortable sleep attire, and they were permitted to keep reading material with them before sleep onset. The sleep parameters evaluated included sleep efficiency (defined as the percentage of total time in bed actually spent asleep), SOL (defined as the duration of time in minutes between lights turned off as the participant attempts to sleep and first sleep epoch), WASO (defined as total periods of wakefulness in minutes occurring after sleep onset until the final awakening), REM and NREM sleep cycle, and TST (defined as total amount of sleep time from sleep onset to sleep offset). Total time required to complete PSG test was approximately 8 hours (The lights-off and beginning of PSG recordings were set at 22:30; the lights-on and termination of PSG recordings were set at 6:30). All recorded data were reviewed and analyzed by the designated sleep specialist or PI to determine sleep architecture, identify sleep disturbances, and overall sleep quality.

4.7.2. Pittsburgh Sleep Quality Index

The PSQI is a widely used validated tool for assessing overall sleep quality and sleep-related behaviors. It involves assessment of seven components which include subjective sleep quality, sleep latency, sleep duration, habitual sleep efficiency, sleep disturbances, use of sleep medications, and daytime dysfunction. Each component is scored on a 0–3 Likert scale, where a score of 0 reflects no difficulty and a score of 3 represents severe difficulty. The component scores are summed to generate a global PSQI score which ranges from 0 to 21. A global score > 5 is considered indicative of poor sleep quality relative to clinical and laboratory measures [35].

4.7.3. WHO-5 Wellbeing Index

The WHO-5 Well-Being Index is a brief, validated questionnaire designed to assess subjective psychological well-being. It consists of five positively worded items that capture how individuals have felt over the preceding two weeks. Each item is rated on a 6-point scale ranging from 0 (“at no time”) to 5 (“all of the time”), yielding a raw total score between 0 and 25, where higher scores reflect greater well-being. As scales measuring health-related quality of life are conventionally translated to a percentage scale from 0 (absent) to 100 (maximal), it is recommended to multiply the raw score by 4. A percentage score below 50 (or a raw score below 13) has been suggested as a cut-off for poor mental well-being, and score of 100 represents best possible mental well-being [21,36,37].

4.7.4. Sleep Diary Assessment

Participants were instructed to complete a daily sleep diary from baseline till day 28 to record both pre-sleep and post-sleep parameters. Sleep diary data were evaluated at baseline, and on days 07, 14, and 28. Participants recorded pre-sleep parameters each night before going to sleep and these included number and duration of daytime naps, number of participants feeling sleepy during day, daytime fatigue level, and daytime stress level. Post-sleep parameters were recorded each morning after awakening. These included lights-off time, time taken to fall asleep after lights out, number of times participants woke up during night, duration of staying awake during the night, number of hours of sleep during night, time of waking up in the morning, and rest score.

4.8. Statistical Analysis

The sample size calculation was done using Statistical Package for Social Sciences (SPSS), version 10.0. Based on the previous study results, assuming the margin of error 1.9 minutes, a power of 80%, and a type one error rate (alpha) of 5%, the number of participants required per group to find an effect of melatonin on sleep parameters evaluated by PSG was estimated as 56 [18]. Considering 10% dropout rate, we aimed to recruit a total of 60 participants (30 participants per group) for this study.
Data were analyzed using SPSS software, version 30.0 (SPSS Inc., Chicago, Ill., USA). The data of all participants who completed all the study visits were considered for per-protocol study analysis. The normality of data was assessed using the Shapiro-Wilk test. Descriptive analysis was used to summarize continuous parameters using the mean, standard deviation (SD) or SE and categorical parameters using frequencies and percentages. The comparison of mean values between baseline and each follow-up visit within each group was performed using the Paired Samples t test for normally distributed parameters and the Wilcoxon signed-rank test for non-normally distributed parameters. Comparative analysis of mean changes from baseline to each follow-up visit between the two groups was performed using an independent sample t test (for normally distributed parameters) or the Mann-Whitney U test (for non-normally distributed parameters). All p-values were reported based on a two-sided significance test, and a P<0.05 was considered statistically significant.

5. Conclusions

The sustained-release melatonin capsules (2 mg) demonstrated consistent efficacy across both objective and subjective sleep assessments in healthy adults with poor sleep quality. PSG assessments showed that melatonin-SR group had significant improvement in sleep efficiency and significantly greater maintenance of NREM and REM sleep stages, with significant reductions in sleep onset latency and nocturnal awakenings as compared to placebo group. These objective improvements were supported by participant-reported outcomes, with significant changes observed in PSQI scores, WHO-5 well-being indices, and sleep diary parameters, reflecting enhanced sleep quality, sleep duration, restfulness, and daytime functioning, along with reductions in sleep fragmentation, daytime sleepiness, fatigue, and stress. Overall, these benefits resulted in improvement in QoL of the participants in the test group. Collectively, the results suggest that 28 days of melatonin-SR supplementation may offer a well-tolerated and effective nutraceutical approach for improving sleep quality and overall well-being in adults experiencing poor sleep quality.

Author Contributions

Conceptualization, S.T., R.S., and A.L.; formal analysis and data curation, M.K., B.J., N.A, and S.T; investigation, M.K. and B.J.; writing—original draft preparation, S.T.; writing—review and editing, all authors; visualization, R.S.; supervision, S.T., A.L. and N.A.; project administration, A.L. and N.A.; funding acquisition, R.S. All authors have read and agreed to the published version of the manuscript.

Funding

This research was funded by Nutriventia Private Limited, India.

Institutional Review Board Statement

Ethics committees at both study sites approved the study protocol (Central Independent Ethics Committee, Maharashtra, India [Registration number: ECR/390/Indt/MH/2024; Approval Date: 09/04/2025] and Jivanrekha Ethics Committee, Maharashtra, India [Registration number: ECR/1580/Inst/MH/2021; Approval Date: 04/05/2025]). The study protocol adhered to the ethical guidelines set forth by the Declaration of Helsinki for research involving human participants. The study was conducted in compliance with the Indian Council of Medical Research (ICMR) guidelines - National Ethical Guidelines for Biomedical and Health Research Involving Human Participants, 2017, International Conference on Harmonization-Good Clinical Practices (ICH-GCP) guidelines E6 (R3), NDCT RULES 2019, and Declaration of Helsinki (Brazil, October 2013).

Informed Consent Statement

Written informed consent was provided by each participant before initiation of the study.

Data Availability Statement

The data that support the findings of this study are available from the corresponding author upon reasonable request.

Acknowledgments

The authors would like to thank all the study participants who were enrolled in this study. The medical writing and editorial support were provided by Tejal Dhotre of Nutriventia Private Limited.

Conflicts of Interest

Ms. Rajat Shah, Dr. Shefali Thanawala, and Ms. Alphy Lopes are employees of Nutriventia Private Limited. Ms. Rajat Shah also has ownership interests. Dr. Milind Kulkarni and Dr. Bharat Jain were the principal investigators in this study. Mr. Niranjan Andhalkar is an employee of ProRelix Services LLP, and received consulting fees from Nutriventia Private Limited. The authors do not have any other conflicts of interest to declare.

Abbreviations

The following abbreviations are used in this manuscript:
AEs Adverse event
AASM American Academy of Sleep Medicine
BMI Body mass index
CDC Centers for Disease Control and Prevention
CTRI Clinical Trials Registry-India
IP Investigational product
ICMR Indian Council of Medical Research
ICH-GCP International Conference on Harmonization-Good Clinical Practices
Melatonin-SR Sustained-release melatonin formulation
NREM Non-rapid eye movement
NHIS National Health Interview Survey
PI Principal investigator
PSG Polysomnography
PSQI Pittsburgh Sleep Quality Index
QoL Quality of life
REM Rapid eye movement
SR Sustained release
SD Standard deviation
SE Standard error
SOL Sleep onset latency
SpO2 Blood oxygen saturation
TEAEs Treatment-emergent adverse events
TST Total sleep time
WASO wake after sleep onset
WHO World Health Organization

References

  1. Buysse, D.J. Sleep health: can we define it? Does it matter? Sleep 2014, 37(1), 9–17. [Google Scholar] [CrossRef] [PubMed]
  2. Ramar, K.; Malhotra, R.K.; Carden, K.A.; Martin, J.L.; Abbasi-Feinberg, F.; Aurora, R.N.; Kapur, V.K.; Olson, E.J.; Rosen, C.L.; Rowley, J.A.; Shelgikar, A.V.; Trotti, L.M. Sleep is essential to health: an American Academy of Sleep Medicine position statement. J Clin Sleep Med. 2021, 17(10), 2115–2119. [Google Scholar] [CrossRef]
  3. Liu, Y.; Wheaton, A.G.; Chapman, D.P.; Cunningham, T.J.; Lu, H.; Croft, J.B. Prevalence of healthy sleep duration among adults — United States, 2014. MMWR Morb Mortal Wkly Rep. 2016, 65, 137–141. [Google Scholar] [CrossRef] [PubMed]
  4. Adjaye-Gbewonyo, D.; Ng, A.E.; Black, L.I. Sleep difficulties in adults: United States, 2020. In NCHS Data Brief; National Center for Health Statistics: Hyattsville, MD, 2022; Volume no 436. [Google Scholar] [CrossRef]
  5. Chattu, V.K.; Manzar, M.D.; Kumary, S.; Burman, D.; Spence, D.W.; Pandi-Perumal, S.R. The global problem of insufficient sleep and its serious public health implications. Healthcare (Basel). 2018, 7(1), 1. [Google Scholar] [CrossRef]
  6. Esmaeilzadeh, S.; Habibolahi, F.; Moher, D.; Basirat, Z.; Gholinia, H.; Golsorkhtabaramiri; Mirabi, M.P. Melatonin and sleep parameters in infertile women with endometriosis: first results from the triple-blind randomized controlled trial of administration of melatonin in chronic pelvic pain and sleep disturbance. PLoS ONE. 2025, 20(4), e0321635. [Google Scholar] [CrossRef] [PubMed]
  7. Hafner, M.; Stepanek, M.; Taylor, J.; Troxel, W.M.; van Stolk, C. Why Sleep Matters-The Economic Costs of Insufficient Sleep: A Cross-Country Comparative Analysis. Rand Health Q. 2017, 6(4), 11. [Google Scholar]
  8. Fatemeh, G.; Sajjad, M.; Niloufar, R.; Neda, S.; Leila, S.; Khadijeh, M. Effect of melatonin supplementation on sleep quality: a systematic review and meta-analysis of randomized controlled trials. J Neurol. 2022, 269(1), 205–216. [Google Scholar] [CrossRef]
  9. Ramar, K.; Olson, E.J. Management of common sleep disorders. Am Fam Physician. 2013, 88(4), 231–238. [Google Scholar]
  10. Cardinali, D.P.; Pévet, P. Basic aspects of melatonin action. Sleep Med. Rev. 1998, 2, 175–190. [Google Scholar] [CrossRef]
  11. Poza, J.J.; Pujol, M.; Ortega-Albás, J.J.; Romero, O. Melatonin in sleep disorders. Neurología (English Edition) 2022, 37(7), 575–585. [Google Scholar] [CrossRef]
  12. Baser, K.H.C.; Haskologlu, I.C.; Erdag, E. Molecular links between circadian rhythm disruption, melatonin, and neurodegenerative diseases: An updated review. Molecules. 2025, 30, 1888. [Google Scholar] [CrossRef]
  13. Verma, A.K.; Singh, S.; Rizvi, S.I. Aging, circadian disruption and neurodegeneration: Interesting interplay. Exp Gerontol. 2023, 172, 112076. [Google Scholar] [CrossRef]
  14. Givler, D.; Givler, A.; Luther, P.M.; Wenger, D.M.; Ahmadzadeh, S.; Shekoohi, S.; Edinoff, A.N.; Dorius, B.K.; Jean Baptiste, C.; Cornett, E.M.; Kaye, A.M.; Kaye, A.D. Chronic Administration of Melatonin: Physiological and Clinical Considerations. Neurol Int. 2023, 15(1), 518–533. [Google Scholar] [CrossRef]
  15. Mun, J.G.; Wang, D.; Doerflein Fulk, D.L.; Fakhary, M.; Gualco, S.J.; Grant, R.W.; Mitmesser, S.H. A Randomized, Double-Blind, Crossover Study to Investigate the Pharmacokinetics of Extended-Release Melatonin Compared to Immediate-Release Melatonin in Healthy Adults. J Diet Suppl. 2024, 21(2), 182–194. [Google Scholar] [CrossRef]
  16. Thanawala, S.; Abiraamasundari, R.; Shah, R. Comparative Pharmacokinetics of Sustained-Release versus Immediate-Release Melatonin Capsules in Fasting Healthy Adults: A Randomized, Open-Label, Cross-Over Study. Pharmaceutics 2024, 16(10), 1248. [Google Scholar] [CrossRef] [PubMed]
  17. Rundo, J.V.; Downey, R., 3rd. Polysomnography. Handb Clin Neurol. 2019, 160, 381–392. [Google Scholar] [CrossRef] [PubMed]
  18. Luthringer, R.; Muzet, M.; Zisapel, N.; Staner, L. The effect of prolonged-release melatonin on sleep measures and psychomotor performance in elderly patients with insomnia. Int Clin Psychopharmacol. 2009, 24(5), 239–249. [Google Scholar] [CrossRef] [PubMed]
  19. Duffy, J.F.; Wang, W.; Ronda, J.M.; Czeisler, C.A. High dose melatonin increases sleep duration during nighttime and daytime sleep episodes in older adults. J Pineal Res. 2022, 73(1), e12801. [Google Scholar] [CrossRef]
  20. Jafari, B.; Mohsenin, V. Polysomnography. Clin Chest Med. 2010, 31, 287–297. [Google Scholar] [CrossRef]
  21. Hirshkowitz, M.; Whiton, K.; Albert, S.M.; Alessi, C.; Bruni, O.; DonCarlos, L.; Hazen, N.; Herman, J.; Katz, E.S.; Kheirandish-Gozal, L.; Neubauer, D.N.; O'Donnell, A.E.; Ohayon, M.; Peever, J.; Rawding, R.; Sachdeva, R.C.; Setters, B.; Vitiello, M.V.; Ware, J.C.; Adams Hillard, P.J. National Sleep Foundation’s sleep time duration recommendations: methodology and results summary. Sleep Health 2015, 1(1), 40–43. [Google Scholar] [CrossRef]
  22. Ohayon, M.; Wickwire, E.M.; Hirshkowitz, M.; Albert, S.M.; Avidan, A.; Daly, F.J.; Dauvilliers, Y.; Ferri, R.; Fung, C.; Gozal, D.; Hazen, N.; Krystal, A.; Lichstein, K.; Mallampalli, M.; Plazzi, G.; Rawding, R.; Scheer, F.A.; Somers, V.; Vitiello, M.V. National Sleep Foundation’s sleep quality recommendations: first report. Sleep Health. 2017, 3(1), 6–19. [Google Scholar] [CrossRef] [PubMed]
  23. Almeida Montes, L.G.; Ontiveros Uribe, M.P.; Cortés Sotres, J.; Heinze Martin, G. Treatment of primary insomnia with melatonin: a double-blind, placebo-controlled, crossover study. J Psychiatry Neurosci. 2003, 28(3), 191–196. [Google Scholar] [CrossRef]
  24. Wade, A.G.; Ford, I.; Crawford, G.; McConnachie, A.; Nir, T.; Laudon, M.; Zisapel, N. Nightly treatment of primary insomnia with prolonged release melatonin for 6 months: a randomized placebo controlled trial on age and endogenous melatonin as predictors of efficacy and safety. BMC medicine 2010, 8, 51. [Google Scholar] [CrossRef]
  25. Kamkar, M.Z.; Mahyar, M.; Maddah, S.A.; Khoddam, H.; Modanloo, M. The effect of melatonin on quality of sleep in patients with sleep disturbance admitted to post coronary care units: A randomized controlled trial. Biomedicine (Taipei). 2021, 11(1), 34–40. [Google Scholar] [CrossRef]
  26. Lee, S.; Kim, J.H.; Chung, J.H. The association between sleep quality and quality of life: a population-based study. Sleep Med. 2021, 84, 121–126. [Google Scholar] [CrossRef]
  27. Wade, A.G.; Ford, I.; Crawford, G.; McMahon, A.D.; Nir, T.; Laudon, M.; Zisapel, N. Efficacy of prolonged release melatonin in insomnia patients aged 55-80 years: quality of sleep and next-day alertness outcomes. Curr Med Res Opin. 2007, 23(10), 2597–2605. [Google Scholar] [CrossRef]
  28. Lemoine, P.; Nir, T.; Laudon, M.; Zisapel, N. Prolonged-release melatonin improves sleep quality and morning alertness in insomnia patients aged 55 years and older and has no withdrawal effects. J Sleep Res. 2007, 16(4), 372–380. [Google Scholar] [CrossRef]
  29. de Seabra, M.L.V.; Bignotto, M.; Pinto, L.R., Jr.; Tufik, S. Randomized, Double-blind Clinical Trial, Controlled with Placebo, of the Toxicology of Chronic Melatonin Treatment. J Pineal Res. 2000, 29, 193–200. [Google Scholar] [CrossRef]
  30. Buscemi, N.; Vandermeer, B.; Hooton, N.; Pandya, R.; Tjosvold, L.; Hartling, L.; Baker, G.; Klassen, T.P.; Vohra, S. The efficacy and safety of exogenous melatonin for primary sleep disorders: A meta-analysis. J Gen Intern Med. 2005, 20, 1151–1158. [Google Scholar] [CrossRef] [PubMed]
  31. BaHammam, A.S.; Gacuan, D.E.; George, S.; Acosta, K.L.; Pandi-Perumal, S.R.; Gupta, R. Polysomnography I: procedure and technology. In Synopsis of sleep medicine; Pandi-Perumal, SR, Ed.; Apple Academic Press: Canada, 2016; p. 443456. [Google Scholar]
  32. Bruyneel, M.; Sanida, C.; Art, G.; Libert, W.; Cuvelier, L.; Paesmans, M.; Sergysels, R.; Ninane, V. Sleep efficiency during sleep studies: results of a prospective study comparing home-based and in-hospital polysomnography. J Sleep Res. 2011, 20 1 Pt 2, 201–206. [Google Scholar] [CrossRef] [PubMed]
  33. Bruyneel, M.; Libert, W.; Ameye, L.; Ninane, V. Comparison between home and hospital set-up for unattended home-based polysomnography: a prospective randomized study. Sleep Med. 2015, 16(11), 1434–1438. [Google Scholar] [CrossRef] [PubMed]
  34. Lehrer, H.M.; Yao, Z.; Krafty, R.T.; vans, M.A.; Buysse, D.J.; Kravitz, H.M.; Matthews, K.A.; Gold, E.B.; Harlow, S.D.; S–amuelsson, L.B.; Hall, M.H. Comparing polysomnography, actigraphy, and sleep diary in the home environment: The Study of Women's Health Across the Nation (SWAN) Sleep Study. Sleep Adv. 2022, 3(1), zpac001. [Google Scholar] [CrossRef]
  35. Buysse, D.; Reynolds, C.; Monk, T. Pittsburgh Sleep Quality Index: a new instrument for psychiatric practice and research. Psychiatry Res. 1989, 28(2), 193–213. [Google Scholar] [CrossRef] [PubMed]
  36. WHO. The World Health Organization-Five Well-Being Index (WHO-5) [Internet]. 2024. Available online: https://www.who.int/publications/m/item/WHO-UCN-MSD-MHE-2024.01.
  37. Topp, C.W.; Østergaard, S.D.; Søndergaard, S.; Bech, P. The WHO-5 Well-Being Index: A Systematic Review of the Literature. Psychother Psychosom. 2015, 84(3), 167–176. [Google Scholar] [CrossRef] [PubMed]
Figure 1. CONSORT flow diagram. Abbreviations: SR, sustained-release.
Figure 1. CONSORT flow diagram. Abbreviations: SR, sustained-release.
Preprints 198389 g001
Figure 2. Comparison of mean change in sleep study parameters from baseline to day 28 between melatonin-SR and placebo using PSG assessment (A) Sleep efficiency; (B) Sleep onset latency; (C) Wake after sleep onset; (D) NREM cycle; (E) REM cycle; (F) Total sleep time. Data presented as mean and SE (Error bars represent SE). * represents statistically significant difference. P-value derived from Wilcoxon Signed-Rank Test for within group analysis and Mann Whitney U Test for between-group analysis of non-normally distributed variables; while P-value derived from Student’s paired t test for within group analysis and Student’s unpaired t test for between group analysis of normally distributed variables. Abbreviations: PSG, polysomnography; REM, rapid eye movement; NREM, non-rapid eye movement; SE, standard error; SR, sustained-release; WASO, wake after sleep onset.
Figure 2. Comparison of mean change in sleep study parameters from baseline to day 28 between melatonin-SR and placebo using PSG assessment (A) Sleep efficiency; (B) Sleep onset latency; (C) Wake after sleep onset; (D) NREM cycle; (E) REM cycle; (F) Total sleep time. Data presented as mean and SE (Error bars represent SE). * represents statistically significant difference. P-value derived from Wilcoxon Signed-Rank Test for within group analysis and Mann Whitney U Test for between-group analysis of non-normally distributed variables; while P-value derived from Student’s paired t test for within group analysis and Student’s unpaired t test for between group analysis of normally distributed variables. Abbreviations: PSG, polysomnography; REM, rapid eye movement; NREM, non-rapid eye movement; SE, standard error; SR, sustained-release; WASO, wake after sleep onset.
Preprints 198389 g002
Figure 3. Comparison of mean change in PSQI score from baseline to day 28 between melatonin-SR and placebo. Data presented as mean and SE (Error bars represent SE). ∆ represents mean change from baseline to the follow-up timepoints (days 07, 14, and 28). * represents P-value <0.05 which indicates statistically significant difference. # shows comparison of mean scores between baseline and each follow-up timepoint (P-value derived from Wilcoxon Signed-Rank test). $ shows comparison of the mean change from baseline to all follow-up timepoints between melatonin-SR and placebo (P-value derived from Mann Whitney U test). Abbreviations: PSQI, Pittsburgh Sleep Quality Index; SE, standard error; SR, sustained-release.
Figure 3. Comparison of mean change in PSQI score from baseline to day 28 between melatonin-SR and placebo. Data presented as mean and SE (Error bars represent SE). ∆ represents mean change from baseline to the follow-up timepoints (days 07, 14, and 28). * represents P-value <0.05 which indicates statistically significant difference. # shows comparison of mean scores between baseline and each follow-up timepoint (P-value derived from Wilcoxon Signed-Rank test). $ shows comparison of the mean change from baseline to all follow-up timepoints between melatonin-SR and placebo (P-value derived from Mann Whitney U test). Abbreviations: PSQI, Pittsburgh Sleep Quality Index; SE, standard error; SR, sustained-release.
Preprints 198389 g003
Figure 4. Comparison of mean change in WHO-5 wellbeing index score from baseline to day 28 between melatonin-SR and placebo. Data presented as mean and SE (Error bars represent SE). ∆ represents mean change from baseline to the follow-up timepoints (days 07, 14, and 28). * represents P-value <0.05 which indicates statistically significant difference. # shows comparison of mean scores between baseline and each follow-up timepoint (P-value derived from Wilcoxon Signed-Rank test). $ shows comparison of the mean change from baseline to all follow-up timepoints between melatonin-SR and placebo (P-value derived from Mann Whitney U test). Abbreviations: SE, standard error; SR, sustained-release; WHO, World Health Organization.
Figure 4. Comparison of mean change in WHO-5 wellbeing index score from baseline to day 28 between melatonin-SR and placebo. Data presented as mean and SE (Error bars represent SE). ∆ represents mean change from baseline to the follow-up timepoints (days 07, 14, and 28). * represents P-value <0.05 which indicates statistically significant difference. # shows comparison of mean scores between baseline and each follow-up timepoint (P-value derived from Wilcoxon Signed-Rank test). $ shows comparison of the mean change from baseline to all follow-up timepoints between melatonin-SR and placebo (P-value derived from Mann Whitney U test). Abbreviations: SE, standard error; SR, sustained-release; WHO, World Health Organization.
Preprints 198389 g004
Figure 5. Study procedure flow-chart. Abbreviations: AEs, adverse events; IP, investigational product; PSG, polysomnography; PSQI, Pittsburgh Sleep Quality Index; WHO, World Health Organization.
Figure 5. Study procedure flow-chart. Abbreviations: AEs, adverse events; IP, investigational product; PSG, polysomnography; PSQI, Pittsburgh Sleep Quality Index; WHO, World Health Organization.
Preprints 198389 g005
Table 1. Demographic characteristics at baseline.
Table 1. Demographic characteristics at baseline.
Parameters Melatonin-SR (N=30) Placebo
(N=32)
Total
(N=62)
P-value
Age (years) 40.63 (8.05) 39.25 (5.62) 39.92 (6.88) 0.439
Sex (n, %)
Men
Women

15 (50.00)
15 (50.00)

20 (62.50)
12 (37.50)

35 (56.50)
27 (43.50)
0.321
Body weight (kg) 66.02 (11.31) 66.09 (9.04) 66.05 (10.12) 0.979
Height (cm) 164.60 (10.21) 164.81 (6.93) 164.71 (8.60) 0.925
BMI (kg/m2) 24.11 (2.35) 24.30 (2.73) 24.20 (2.53) 0.769
Data presented as mean (SD), unless otherwise specified. The data was analyzed using Student t test for all parameters except sex where Fisher's exact test was used. BMI, body mass index; SD, standard deviation; SR, sustained-release.
Table 2. Sleep-related parameters using sleep diary assessment.
Table 2. Sleep-related parameters using sleep diary assessment.
Sleep diary questionnaire Melatonin-SR Placebo
Baseline Day 07 Day 14 Day 28 Baseline Day 07 Day 14 Day 28
Mean number of daytime naps 1.62 (0.57) 1.63 (0.60) 1.33*# (0.49) 1.00*#
(0.00)
1.96 (0.66) 2.00
(0.69)
1.92 (0.74) 2.00
(0.76)
Mean change from baseline - -0.05 -0.33 -1.17*$ - 0.04 -0.04 0.04
Mean duration of daytime naps (minutes) 38.08 (13.86) 37.89*# (18.43) 33.33*# (14.14) 10.00*# (0.00) 38.08 (18.77) 38.08 (18.77) 37.12 (18.88) 39.80 (20.02)
Mean change from baseline - -3.68*$ -8.89*$ -21.67*$ - 0.00 -0.96 1.80
Mean daytime Fatigue Level 2.29 (1.08) 1.96*# (1.43) 1.36*# (1.13) 0.25*# (0.44) 2.23 (0.92) 2.32
(1.01)
2.52 (1.34) 2.65 *# (1.38)
Mean change from baseline - -0.32*$ -0.93*$ -2.04*$ - 0.10 0.29 0.42
Mean daytime Stress Level 2.29 (1.21) 2.04*# (1.48) 1.39*# (1.10) 0.25*# (0.44) 2.23 (0.80) 2.26
(0.86)
2.19 (1.01) 2.42 (1.36)
Mean change from baseline - -0.25 -0.89*$ -2.04*$ - 0.03 -0.03 0.19
Mean Lights out time (hours) 22.98 (0.61) 22.84*# (0.41) 22.45*# (0.44) 21.89*# (0.34) 22.44 (0.70) 22.52 (0.69) 22.45 (0.73) 22.53 (0.46)
Mean change from baseline - -0.14*$ -0.54*$ -1.09*$ - 0.08 0.01 0.09
Mean Time taken to fall asleep after lights out (minutes) 42.50 (13.78) 33.75*# (7.77) 23.57*# (4.88) 14.46*# (3.14) 38.06 (11.38) 43.06*# (13.21) 39.03 (11.06) 41.94*# (14.47)
Mean change from baseline - -8.75*$ -18.93*$ -28.04*$ - 5.00 0.97 3.87
Mean Number of times participants woke up during night 1.82 (0.77) 1.14*# (0.93) 0.50*# (0.51) 0.00*# (0.00) 1.61 (0.99) 1.81
(0.79)
1.87*# (0.99) 1.94*# (1.00)
Mean change from baseline - -0.68*$ -1.32*$ -1.82*$ - 0.19 0.26 0.32
Mean duration of staying awake during the night (minutes) 11.07 (5.83) 5.29*# (5.03) 2.75*# (3.15) 0.00*# (0.00) 10.65 (6.55) 12.90*# (5.59) 14.84*# (8.71) 15.65*# (8.92)
Mean change from baseline - -5.79*$ -8.32*$ -11.07*$ - 2.26 4.19 5.00
Mean number of hours of sleep at night 7.13 (0.43) 7.44*# (0.56) 8.48*# (0.62) 9.45*# (0.50) 8.13 (1.16) 8.10 (1.13) 8.18 (1.10) 8.00*# (1.05)
Mean change from baseline - 0.31*$ 1.36*$ 2.32*$ - -0.03 0.05 -0.13
Mean Time of waking up in morning (Hours) 6.11 (0.42) 6.28*# (0.65) 6.96*# (0.71) 7.34*# (0.51) 6.86 (0.86) 6.91 (0.88) 6.92*# (0.94) 6.81 (0.87)
Mean change from baseline - 0.17*$ 0.86*$ 1.23*$ - 0.05 0.05 -0.05
Mean Rest Score 2.79 (0.42) 3.75*# (0.44) 4.39*# (0.50) 5.00*# (0.00) 3.45 (0.51) 3.29*# (0.74) 3.29*# (0.74) 2.55*# (0.62)
Mean change from baseline - 0.96*$ 1.61*$ 2.21*$ - -0.16 -0.16 -0.90
Data presented as mean (SD). * represents P-value <0.05 which indicates statistically significant difference. # shows comparison of mean scores between baseline and each follow-up timepoint (P-value derived from Wilcoxon Signed-Rank test). $ shows comparison of the mean change from baseline to all follow-up timepoints between melatonin- SR and placebo (P-value derived from Mann Whitney U test). Abbreviations: SD, standard deviation; SR, sustained-release.
Disclaimer/Publisher’s Note: The statements, opinions and data contained in all publications are solely those of the individual author(s) and contributor(s) and not of MDPI and/or the editor(s). MDPI and/or the editor(s) disclaim responsibility for any injury to people or property resulting from any ideas, methods, instructions or products referred to in the content.
Copyright: This open access article is published under a Creative Commons CC BY 4.0 license, which permit the free download, distribution, and reuse, provided that the author and preprint are cited in any reuse.
Prerpints.org logo

Preprints.org is a free preprint server supported by MDPI in Basel, Switzerland.

Subscribe

Disclaimer

Terms of Use

Privacy Policy

Privacy Settings

© 2026 MDPI (Basel, Switzerland) unless otherwise stated