Preprint
Article

This version is not peer-reviewed.

Genome-Wide Association Study of Genetic Variants Associated with Lower Extremity Amputation Risk in Peripheral Artery Disease

Submitted:

09 February 2026

Posted:

11 February 2026

You are already at the latest version

Abstract
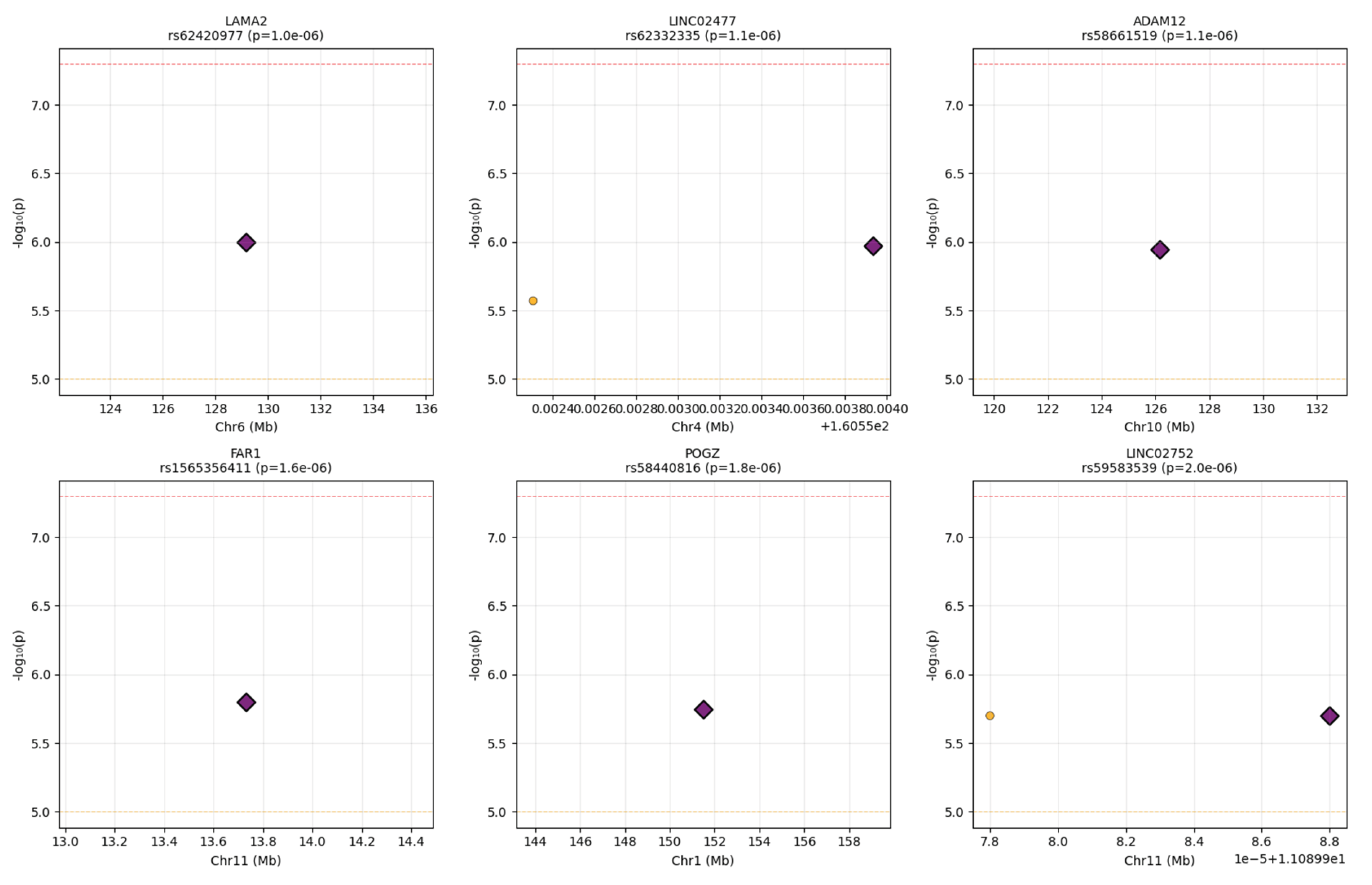
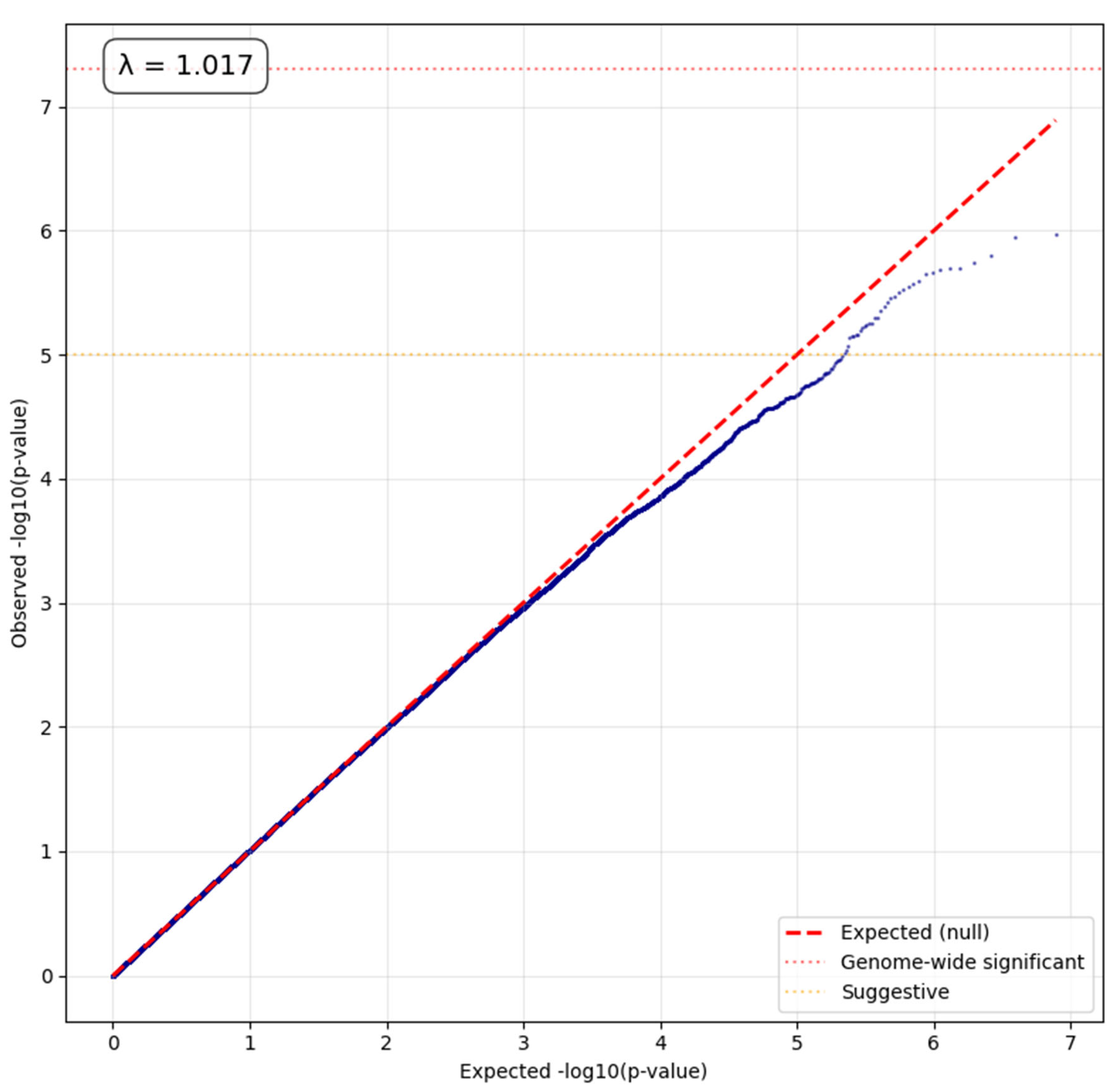
Peripheral artery disease (PAD) is a global health burden affecting over 200 million individuals and is frequently complicated by limb-threatening ischemia, leading to major amputations. Despite known clinical risk factors, the genetic basis underlying amputation risk in PAD remains poorly defined. In this study, we performed a multi-pronged genome-wide association study (GWAS) to identify genetic variants associated with lower extremity amputation in patients with PAD, using data from the All of Us Research Program. Two analytical strategies were employed: a targeted GWAS using ClinVar variants on the full cohort and a comprehensive genome-wide association study using Allele Count/Allele Frequency (ACAF) data on a balanced subset. The ClinVar analysis of 118,871 variants in 14,771 PAD patients (613 with amputation, 14,158 without) identified 3 suggestive associations with a genomic inflation factor of 1.046. The ACAF analysis of 7,784,837 quality-controlled variants in 804 balanced samples (399 cases, 405 controls) yielded 35 suggestive associations (p < 1×10⁻⁵) with a genomic inflation factor of 1.017. No variants achieved suggestive significance in both analyses. These findings highlight candidate loci for further validation and may inform future development of risk prediction tools and targeted interventions to reduce limb loss in PAD.
Keywords: 
;  ;  ;  ;  ;  
Copyright: This open access article is published under a Creative Commons CC BY 4.0 license, which permit the free download, distribution, and reuse, provided that the author and preprint are cited in any reuse.
Prerpints.org logo

Preprints.org is a free preprint server supported by MDPI in Basel, Switzerland.

Subscribe

Disclaimer

Terms of Use

Privacy Policy

Privacy Settings

© 2026 MDPI (Basel, Switzerland) unless otherwise stated