Preprint
Article

This version is not peer-reviewed.

Multi-Layer Separation Tank Integrating Flocculation and Centrifugation for Treating Sediment-Laden Water with Complex Particles

Submitted:

09 February 2026

Posted:

11 February 2026

You are already at the latest version

Abstract
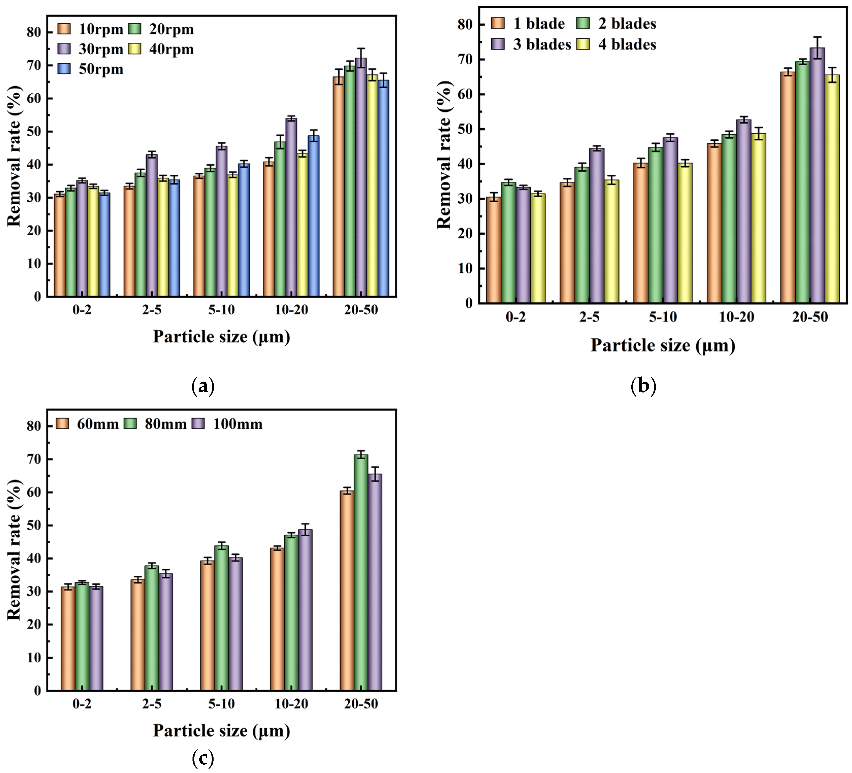
To address the feasible issues in water treatment facilities such as low particle removal and overuse of chemical in flocculation-sedimentation treatment of complex sediment-laden particles in snowmelt and high-intensity rainfall water, this research presents a new multi-layered separation tank. Combining a multi-layer structural design and a synergistic enhancement mechanism flocculation-centrifugation it is possible to engineer the tank to achieve a great improvement in the coexistence. This study methodically examines the impact of the agitator speed, agitator height and the number of blades on the flow field qualities and the effectiveness of the agitator in removing particles in the multi-layer separation tank. Computational fluid dynamics (CFD) simulation validation, comparison with hydro-calculations and laboratory experiments are used in a combined method. Findings show that there is strong agreement between numerical representation and experimental values in determining the optimal conditions of operation and the exact rate of dosage of polyaluminum chloride (PAC) and polyacrylamide (PAM). At these optimised conditions, the system magnetises at a 75.25 percent removal rate of particles whose size ranges are 20–50 μm and turbidity of the effluent decreases to 10.6 NTU in 30 minutes of settling time. The proposed technology is more efficient than conventional coagulation processes in that effluent turbidity is reduced by 22.1% with same dosages of chemical additive indicating a higher performance of the proposed technology.
Keywords: 
;  ;  ;  ;  
Copyright: This open access article is published under a Creative Commons CC BY 4.0 license, which permit the free download, distribution, and reuse, provided that the author and preprint are cited in any reuse.
Prerpints.org logo

Preprints.org is a free preprint server supported by MDPI in Basel, Switzerland.

Subscribe

Disclaimer

Terms of Use

Privacy Policy

Privacy Settings

© 2026 MDPI (Basel, Switzerland) unless otherwise stated