Preprint
Article

This version is not peer-reviewed.

Hierarchical ZnCo CNFs@CNTs as High-Performance Bifunctional Air Electrodes for Rechargeable Zinc-Air Batteries

Submitted:

06 February 2026

Posted:

09 February 2026

You are already at the latest version

Abstract
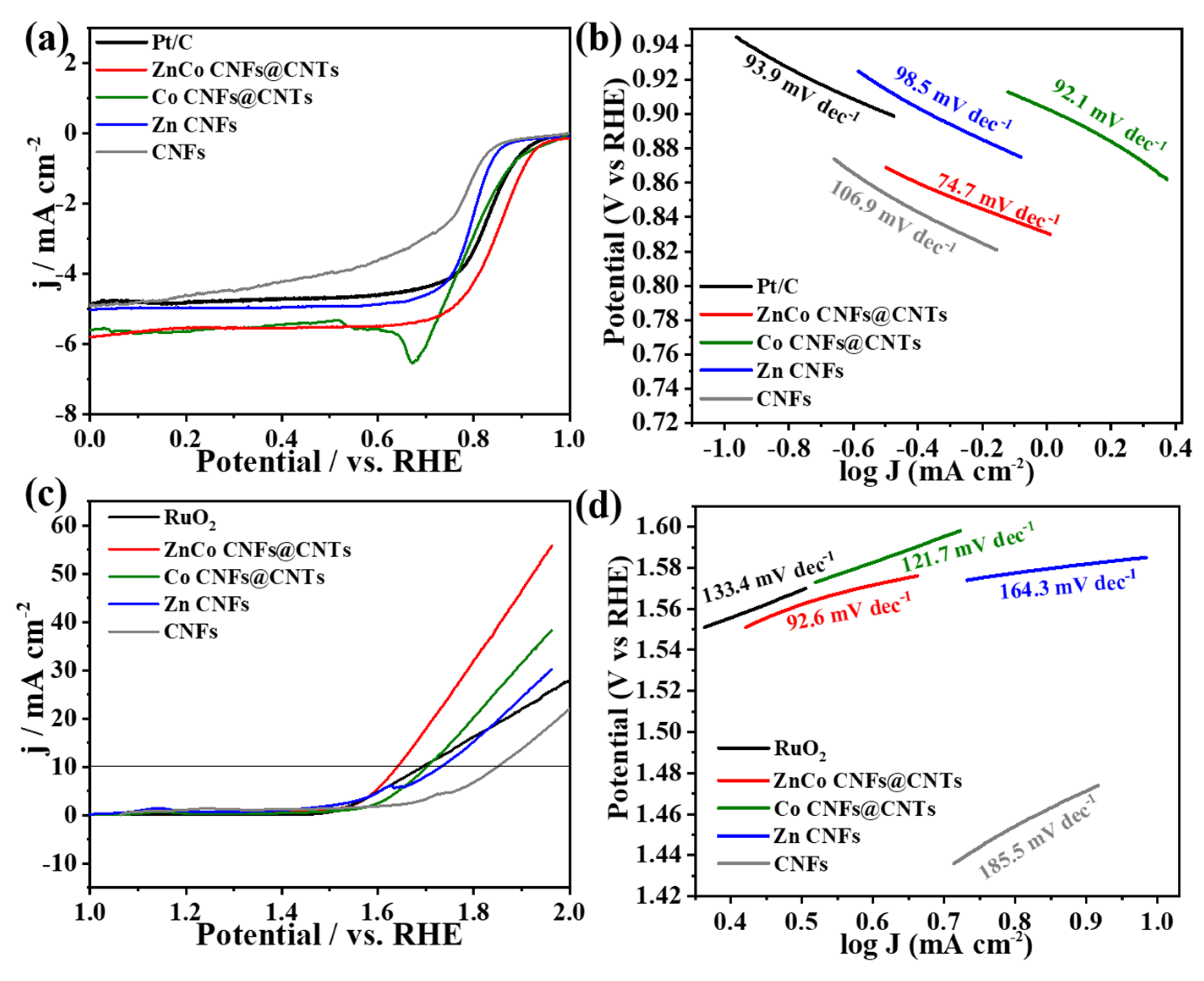
Carbon-based bifunctional oxygen electrocatalysts with rationally designed architectures are essential for high-performance rechargeable zinc-air batteries (ZABs), yet the concurrent optimization of catalytic activity, durability, and mass transport remains challenging. Herein, hierarchical ZnCo carbon nanofibers/carbon nanotubes (CNFs@CNTs) are fabricated via single-nozzle electrospinning followed by melamine-assisted pyrolysis under a ZnCl₂-regulated atmosphere. During thermal treatment, Co species embedded within carbon nanofibers catalyze in situ carbon nanotube growth, while ZnCl₂ vapor modulates the carbonization process and surface chemistry, collectively generating a hierarchical CNFs@CNTs architecture with high surface area and abundant exposed active sites. As a result, ZnCo CNFs@CNTs exhibit outstanding bifunctional ORR/OER activity, surpassing Zn-free and Co-free counterparts. Combined structural and electrochemical analyses reveal that the synergistic interaction between Co active centers and Zn-assisted carbon structural regulation enhances reaction kinetics and long-term stability. When implemented as air electrodes in rechargeable ZABs, ZnCo CNFs@CNTs deliver high power density, reduced charge-discharge polarization, and excellent cycling durability, demonstrating strong practical applicability. This work presents an effective strategy for constructing hierarchical CNFs@CNTs composites via electrospinning and dual-component thermal regulation, offering new insights into the design of high-efficiency bifunctional air electrodes for advanced ZABs.
Keywords: 
;  ;  ;  ;  
Copyright: This open access article is published under a Creative Commons CC BY 4.0 license, which permit the free download, distribution, and reuse, provided that the author and preprint are cited in any reuse.
Prerpints.org logo

Preprints.org is a free preprint server supported by MDPI in Basel, Switzerland.

Subscribe

Disclaimer

Terms of Use

Privacy Policy

Privacy Settings

© 2026 MDPI (Basel, Switzerland) unless otherwise stated