Preprint
Review

This version is not peer-reviewed.

Recent Advances in Charmed Baryon Measurements at Belle and Belle II

Submitted:

05 February 2026

Posted:

06 February 2026

You are already at the latest version

Abstract
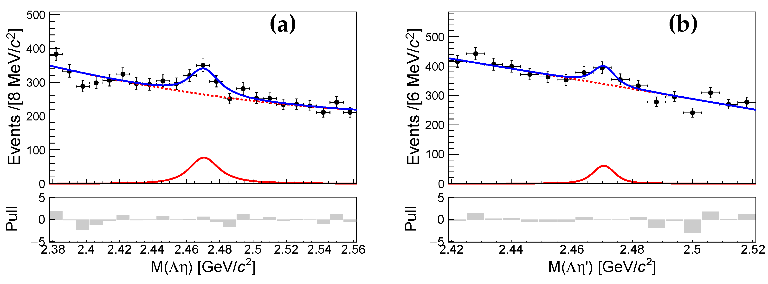
We review recent experimental progress in charmed baryon physics achieved by the Belle and Belle~II experiments, with an emphasis on measurements reported since 2022. Using large $e^{+}e^{-}$ data samples collected at or near the $\Upsilon(4S)$ resonance, Belle and Belle~II have delivered a series of precision results on hadronic weak decays of anti-triplet charmed baryons, providing critical inputs for testing flavor-symmetry approaches and dynamical models. We summarize new and improved branching fraction determinations for $\Xi_c^{0}$, $\Xi_c^{+}$, and $\Lambda_c^{+}$ decays, including channels with neutral hadrons in the final state and the first measurements of several singly Cabibbo-suppressed modes. We also highlight the first determination of the decay asymmetry parameter in $\Xi_c^{0}\to \Xi^{0}\pi^{0}$. In addition, we review the first Belle~II measurements of $CP$ asymmetries in three-body singly Cabibbo-suppressed decays of $\Xi_c^{+}$ and $\Lambda_c^{+}$, and discuss their implications for U-spin sum rules and searches for physics beyond the Standard Model. Finally, we look forward to exploiting the Belle~II data set to perform more stringent tests of decay dynamics.
Keywords: 
;  ;  ;  ;  ;  
Copyright: This open access article is published under a Creative Commons CC BY 4.0 license, which permit the free download, distribution, and reuse, provided that the author and preprint are cited in any reuse.
Prerpints.org logo

Preprints.org is a free preprint server supported by MDPI in Basel, Switzerland.

Subscribe

Disclaimer

Terms of Use

Privacy Policy

Privacy Settings

© 2026 MDPI (Basel, Switzerland) unless otherwise stated