Preprint
Article

This version is not peer-reviewed.

Bound Entanglement Detection in 4 ⊗ 4 Systems via Generalized Choi Maps

Submitted:

04 February 2026

Posted:

06 February 2026

You are already at the latest version

Abstract
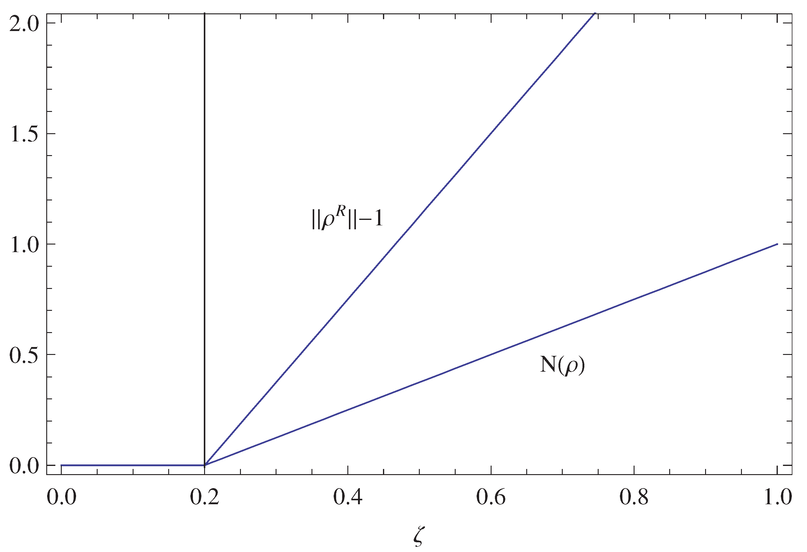
We construct a family of positive but not completely positive linear maps acting on $M_4(\mathcal{C})$, obtained as a natural extension of Kye’s indecomposable maps defined for $M_3(\mathcal{C})$. We rigorously prove positivity of these maps on 'X' states and employ them to identify a one-parameter family of bipartite quantum states living in the vicinity of maximally mixed state to be entangled even though states are positive under partial transposition (PPT). This provides an explicit example of a family of quantum states with both bound entangled states and free entangled states in $4 \otimes 4$ systems, a regime that remains less characterized compared to lower-dimensional cases. The proposed maps detect entanglement and reveal new structural features of the PPT entangled region in higher dimensions. Our results extend the applicability of positive-map–based entanglement detection and contribute to the systematic understanding of bound entanglement beyond the $3\otimes 3$ and $2 \otimes 4$ systems. In addition, we show that generalized Choi maps simply can not detect well known PPT entangled states for $2 \otimes 4$ systems.
Keywords: 
;  ;  
Copyright: This open access article is published under a Creative Commons CC BY 4.0 license, which permit the free download, distribution, and reuse, provided that the author and preprint are cited in any reuse.
Prerpints.org logo

Preprints.org is a free preprint server supported by MDPI in Basel, Switzerland.

Subscribe

Disclaimer

Terms of Use

Privacy Policy

Privacy Settings

© 2026 MDPI (Basel, Switzerland) unless otherwise stated