1. Introduction
1.1. The Pythagorean Legacy and Quadratic Harmony
The Pythagorean school, founded in Croton (Magna Graecia) around the 6th century BC, established one of the first philosophical–mathematical syntheses in Western history: the belief that “all is number” (
). For the Pythagoreans, numbers were not mere instruments of calculation but ontological principles that structured cosmic reality. This worldview found its purest expression in the figurate numbers: geometric representations of integers through regular point configurations [
11]. The result known today as the Pythagorean theorem—although probably known to Mesopotamian and Egyptian cultures earlier—crystallised this harmony between geometry and arithmetic:
where
denotes the hypotenuse of a right triangle and
,
its legs. Euclid, in his
Elements (Book X, Proposition 29, Lemma 1, c. 300 BC), provided the complete parametrisation of primitive Pythagorean triples:
The abundance of integer solutions in (1) is not accidental: it reflects the fact that the internal structure of
is
, an arithmetic progression flexible enough to admit infinitely many integer combinations.
The Pythagoreans also discovered the figurate numbers—triangular, square, pentagonal— and systematised the study of the integer triples satisfying (1). The crisis of incommensurables—the discovery of
as irrational, attributed to Hippasus of Metapontum (5th century BC)—fractured the faith in the universality of integers and led to the theory of proportions of Eudoxus (c. 370 BC), a precursor of the modern real number [
11].
1.2. The Question That Launched Centuries of Inquiry
This quadratic harmony—the existence of infinitely many integer solutions for a nonlinear Diophantine equation—has captivated generations of mathematicians and naturally suggested an apparently innocent question: if the squares of the legs sum to the square of the hypotenuse in Euclidean plane geometry, could the volumes of “cubic legs” sum to the volume of a “cubic hypotenuse” in three-dimensional space? Formally:
This question, formulated in full generality by Pierre de Fermat in 1637, unleashed more than three centuries of investigation. The answer—always negative—was proved partially by Euler (, c. 1770) and in full generality by Andrew Wiles (1994). The present work does not claim to prove the FLT, but rather to explore its structural geography from elementary discrete calculus.
1.3. Anderson’s Proposal: A Discrete Lens
The starting point is the observation that the historical formula of Nicomachus of Gerasa (c. 100 AD):
acts as a discrete antiderivative of the sequence
. Applying the backward finite-difference operator
—formalised by Taylor [
16] and systematised by Boole [
5]—one obtains the Anderson Identity:(5)
It is an imperative historiographic clarification that Nicomachus neither formulated nor hinted at identity (5) in terms of symmetric differences
. His contribution was limited exclusively to the cumulative-sum formula (4). Expression (5) is an algebraic consequence derivable through the finite-difference operator
, a concept developed in the 17th–19th centuries with the advent of discrete calculus [
5,
7]. To attribute (5) directly to Nicomachus would constitute an inadmissible historiographic anachronism.
The questions that organise the present work are: (1) Does an identity analogous to (5) exist for ? (2) What does such a generalisation tell us about the Fermatian obstruction? (3) What is the genuine originality of Anderson’s perspective?
1.4. Scope and Limitations of This Work
Explicit declaration. This work does
not claim to prove Fermat’s Last Theorem, established definitively by Wiles in 1994 [
17]. Its goal is to chart the structural geography of the Fermatian obstruction from elementary discrete calculus, offering an accessible structural map that complements—without competing with—Wiles’ deep proof based on algebraic geometry and modular forms.
2. Theoretical and Historical Framework
2.1. From Pythagoras to Nicomachus
Historical Note 2.1 (Pythagoras of Samos (c. 570–495 BC)). Born on the island of Samos during the Greek archaic period, Pythagoras founded in Croton (southern Italy) a philosophical–religious community with strict ascetic rules. The Pythagoreans believed that numbers were the ultimate essence of reality: “numbers constitute the essence of all things” (Aristotle,
Metaphysics A, 5). This numerical worldview was manifested in fundamental mathematical discoveries: the Pythagorean theorem, the classification of even and odd numbers, perfect numbers, and figurate numbers (triangular, square, pentagonal) [
11].
Historical Note 2.2 (Nicomachus of Gerasa (c. 60–120 AD)). A neo-Pythagorean philosopher born in Gerasa (present-day Jerash, Jordan), Nicomachus systematised in his
Introductio Arithmetica the classical Greek arithmetical knowledge [
14]. His work became the standard arithmetic text in the Greco-Roman world and was translated into Latin by Boethius (c. 500 AD). Unlike Euclid, Nicomachus prioritised intuitive and philosophical understanding over axiomatic rigour, emphasising the mystical and cosmological properties of numbers. Nicomachus systematised the theory of figurate numbers inherited from the Pythagoreans: triangular
, square
, pentagonal
, and hexagonal
.
Theorem 2.3(Cumulative sum of cubes — Nicomachus, c. 100 AD) [14].
For every
:
Proof. By mathematical induction. Base case (
):
.
Inductive hypothesis: valid for
. Inductive step:
Remark 2.4 (Geometric interpretation). Identity (6) possesses an elegant geometric interpretation: the sum of the first cubes forms a perfect square whose side is the-th triangular number. This dimensional transformation (sum of volumessquare area) is unique in figurate arithmetic and anticipates deep structures of modern discrete analysis [
6].
2.2. Power Sums: From Faulhaber to Bernoulli
Historical Note 2.5 (Johann Faulhaber (1580–1635)). A German mathematician born in Ulm, recognised by Kepler as one of the finest arithmeticians of his time. In his
Academia Algebrae (1631, [
8]) he computed
for
up to at least 17, discovering the polynomial nature of these sums. He observed that
is the only case with perfect quadratic factorisation.
Historical Note 2.6 (Jakob Bernoulli (1654–1705)). Bernoulli published posthumously in
Ars Conjectandi (1713, [
4]) the general formula for
in terms of the coefficients that today bear his name. The rigorous proof for odd indices was completed by Carl Jacobi in 1834. The Bernoulli numbers
vanish for every odd
with
; a fact fundamental to the Universal Identity.
Theorem 2.7 (Faulhaber–Bernoulli formula — Bernoulli, 1713 [
4]
). For every and :
where , , , , , , ,
and for every odd with .
Relevant canonical cases:
The exceptionality of (10) is fundamental:
is the only polynomial of the family
that is a polynomial perfect square [
6].
2.3. The Fundamental Theorem of Discrete Calculus
Historical Note 2.8 (Brook Taylor (1685–1731) and George Boole (1815–1864) ). Taylor formalised the calculus of finite differences in his
Methodus Incrementorum Directa et Inversa (1715, [
16]). Boole systematised it in
A Treatise on the Calculus of Finite Differences (1860, [
5]), establishing the Fundamental Theorem of Discrete Calculus. The operator
and its inverse
are the discrete counterparts of continuous differentiation and integration.
Definition 2.9
(Fundamental discrete operators).
Let
. Define:
Theorem 2.10 (Fundamental Theorem of Discrete Calculus — Boole, 1860). If , then for every .
Proof. . ◻
Remark 2.11. This result is the discrete analogue of the continuous Fundamental Theorem of Calculus. The cumulative sumacts as a “discrete integral” andas a “discrete derivative”; they are mutually inverse [
9].
2.4. Symmetric Difference and Uniqueness of the Pure Monomial
Definition 2.12 (Symmetric difference of order ).
For:
Proposition 2.13 (Binomial expansion of ).
Proof. By the binomial theorem, . Upon subtraction, terms with even cancel () and terms with odd double (). ◻
Theorem 2.14 (Uniqueness of the pure monomial). is a pure monomial—a single non-constant term—if and only if .
Proof. By the previous proposition the number of non-zero terms in equals the number of odd integers :
: only (constant, no variable).
: only (pure monomial in ).
: (two odd values) (binomial).
: the number of odd integers in is at least two terms.
Therefore, is the only value yielding a non-constant pure monomial.
2.5. Historical Context: Fermat, Euler, Germain, Kummer, and Wiles
Historical Note 2.15 (Pierre de Fermat (1607–1665)). A French jurist and amateur mathematician. In 1637, in the margin of his copy of Diophantus’
Arithmetica (Bachet edition, 1621), he wrote in Latin:
“Cubum autem in duos cubos, aut quadratoquadratum in duos quadratoquadratos, et generaliter nullam in infinitum ultra quadratum potestatem in duos eiusdem nominis fas est dividere cuius rei demonstrationem mirabilem sane detexi. Hanc marginis exiguitas non caperet.” Most historians consider that his “marvellous proof” was incomplete or erroneous, possibly based on the method of infinite descent that he did correctly apply to
[
15].
Historical Note 2.16 (Leonhard Euler (1707–1783)). He provided the first proof of the FLT for
(c. 1770) by infinite descent in the ring
of Eisenstein integers, where
. The key factorisation
requires unique factorisation in
, a property that Euler assumed tacitly and that was rigorously established by Gauss and Kummer [
7].
Historical Note 2.17 (Sophie Germain (1776–1831)). A self-taught French mathematician who faced insurmountable barriers to participate in the formal mathematical community due to her gender. She adopted the male pseudonym “M. Le Blanc” to correspond with Lagrange and Gauss. After revealing her identity, Gauss wrote in 1807 [
13]:
“When a person of the sex which, according to our customs and prejudices, finds infinitely more obstacles than men in familiarising herself with these thorny investigations, succeeds nonetheless in overcoming these obstacles and penetrating the most obscure parts of them, then without doubt she possesses the noblest courage, extraordinary talents, and superior genius.”
Germain developed the first systematic framework for attacking the FLT through modular congruences, verifying conditions for all primes .
Historical Note 2.18 (Ernst Kummer (1810–1893)). He discovered that many rings of algebraic integers lack unique factorisation. For example, in
:
, two distinct factorisations into irreducibles. He introduced the revolutionary concept of ideal numbers (predecessors of modern ideals) and proved the FLT for all regular primes [
7].
Historical Note 2.19 (Andrew Wiles (1953–) and Richard Taylor (1962–)). Wiles proved in 1994 (published 1995, ) the modularity theorem (Taniyama–Shimura conjecture). Gerhard Frey observed in 1984 that a hypothetical solution
would generate the “non-modular” elliptic curve
. Ken Ribet proved in 1986 that such a curve would violate Taniyama–Shimura. Wiles’ proof, spanning more than 100 pages and with a crucial correction in collaboration with Richard Taylor, unified apparently disjoint mathematical fields: algebraic geometry, representation theory, complex analysis, and number theory [
15,
17].
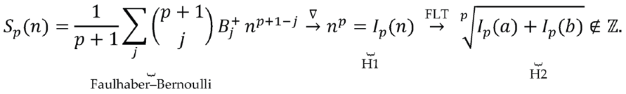
3. Anderson’s Hypotheses
The two central hypotheses of this work are:
Hypothesis 20 (H1 — Universal Identity). There exists an expression for in terms of finite differences of individual powers , deducible via from the Faulhaber–Bernoulli formula, that exhibits a complexity increasing with and that reveals as the unique point of algebraic compactness.
Hypothesis 21 (H2 — Symbolic Representation).
The quantity
can be represented exactly through integer operations in the radicand using the identity of H1, and its irrationality for
is a structurally inevitable consequence of the gradation of internal complexity, not a property imposed from outside.
Logical Chain of Deduction
The deductive sequence supporting both hypotheses can be visualised in two steps.
Step 1 — Historical root for :

Step 2 — Generalisation to every :

The link between Step 1 and Step 2 is algebraic: the case is the only one in which the action of on produces a pure monomial, because is the only perfect square in the family . For , inevitably produces a polynomial with terms (Theorem 4.6).
4. Methodology
4.1. The Operator and the Fundamental Theorem
The operators , , and have been defined in Definition 2.4, and Theorem 2.5 establishes the essential duality .
4.2. The internal perspective: versus
The original conceptual key is the following. The Faulhaber–Bernoulli formula (7) expresses
as a polynomial in
. Applying
term by term produces differences of the form
. Instead of expanding them immediately, they are named:
These are the finite differences of the individual -th power. They are not differences of cumulative sums: they measure how much grows when passing from to . This change of perspective—from global sums to individual powers—is the original conceptual contribution.
4.3. Derivation of the Universal Identity (H1)
Theorem 4.1
(Universal Anderson–Faulhaber–Bernoulli Identity, 2026).
For every
and
:
Proof. We apply Theorem 2.5 to formula (7):
◻
Remark 4.2
(What changes with respect to Faulhaber–Bernoulli).
Formula (7) says something about
: cumulative sums of powers. Identity (20) says something about
itself: the individual power. The move is to apply
to extract the internal structure of the individual power from its cumulative sum. This does not modify any known mathematical result: it reformulates the same algebra from a new and more informative perspective.
4.4. Special Formulation: Anderson Identity for
Theorem 4.3
(Anderson Identity — original derivation (2026) from Nicomachus).
For every
:
Proof. Applying Theorem 2.5 to (6):
Remark 4.4 (What Anderson contributes beyond Nicomachus).
The Nicomachus formula is
: a property of the cumulative sum. The Anderson Identity (21) is a property of the individual power
: it expresses each cube as the difference of two consecutive triangular squares, exhibiting the adjacent symmetry
inherent in the structure of
. This change of perspective—from cumulative sums to individual powers— is the original conceptual move of this work. The key factor is
: a pure monomial (Table 1), which allows exact cancellation and the compactness of (21). For no other power
with
does an analogously compact representation exist, because
is a pure monomial only for
(Theorem 2.9).
4.5. Structural Stratification Theorem (H1, Continued)
Definition 4.5 (Internal structural complexity). is the number of indices that are active in (20), i.e. those with .
The Bernoulli numbers satisfy for every odd with . The active indices are : exactly values.
Theorem 4.6
(Structural Stratification — Anderson, 2026).
grows monotonically.
is the unique
for which (20) reduces to a pure monomial.
Proof. The count of active indices gives (22). The reduction to a pure monomial for
is a consequence of the fact that
: upon computing
, all terms of degree
cancel exactly, producing pure
. No other
is a polynomial perfect square [
6], so no other
possesses this cancellative property.
Corollary 4.7 (Absolute uniqueness). The identity is the only case of (20) that reduces to a pure monomial in .
4.6. Explicit Expansion Of (20) for
We use , , , , , , .
—
quadratic regime,
:
Table 2.
Structural stratification of the Universal Identity for .
Table 2.
Structural stratification of the Universal Identity for .
|
|
|
FLT Status |
| 2 |
2 |
Binomial () |
Pythagoras: solutions |
| 3 |
2 |
Pure monomial (unique) |
Impossible (Euler, 1770) |
| 4 |
3 |
Trinomial with Bernoulli coeff. |
Impossible (Wiles, 1994) |
| 5 |
3 |
Trinomial |
Impossible |
| 6 |
4 |
Tetranomial |
Impossible |
| 7 |
4 |
Tetranomial |
Impossible |
| 8 |
5 |
Pentanomial |
Impossible |
| 9 |
5 |
Pentanomial |
Impossible |
| 10 |
6 |
Hexanomial |
Impossible |
|
|
Bernoulli series |
Impossible |
—
cubic regime,
(pure monomial):
—
Bernoulli regime,
:
Remark 4.8 (Combinatorial explosion). implies: for there are 51 terms; for there are 501; for the series is infinite but well defined within the framework of formal discrete calculus [
9].
4.7. Universal Symbolic Representation (H2)
Definition 4.9 (Internal function of ).
By Theorem 4.1, for every .
Theorem 4.10
(Universal Symbolic Representation — Anderson, 2026).
For
and
,
let
.
Then:
Proof. The equality
(Theorem 4.1) implies
, so
. The condition
for
is the FLT [
7,
17].
For
, expression (32) takes the compact form:
Remark 4.8 (Nature of the representation).
Expression (32) constructs
through exclusively integer operations: sums, powers, differences, and divisions by integers. Yet the result
is irrational for
. The irrationality is not imposed from outside: it emerges from the fact that the decomposition of
into
differences
requires the simultaneous satisfaction of
independent algebraic restrictions for
to be a perfect power, and it is precisely that simultaneous coincidence which the FLT forbids.
5. Results
5.1. Numerical Verification of the Universal Identity
Example 5.1 (Anderson Identity: ).
Example 5.2 (Anderson Identity: ).
Example 5.3 (Universal Identity: ,
).
We compute : , , , . Substituting into (26):
Example 5.4 (Universal Identity: ,
).
,,,.
Internal algebraic verification for . With
,,,:The collapse of all terms of degree
to zero for
is the deep algebraic reason for the uniqueness established in Corollary 4.7.
5.2. Numerical Verification of the Symbolic Representation
Example 5.5
(,).
The number is not a perfect cube (); no exponent in its factorisation is a multiple of 3.
Example 5.6 (,). (verified above). For ,
with :,,,.
Example 5.7 (The taxicab number: ,
).
The pairproduces, the celebrated Hardy–Ramanujan number [
11],
which admits two representations as a sum of cubes: . Despite this double representation:Even integers with multiple representations as sums of cubes respect the Fermatian obstruction.
5.3. Adjacent Symmetry Breaking
The Anderson Identity (21) exposes an adjacent symmetry: depends on the neighbourhood through .
Definition 5.8 (Adjacent neighbourhood of order ). .
For : depends on . For : depends on (via for up to ).
Theorem 5.9 (Adjacent symmetry breaking). The adjacent symmetry that sustains (21) collapses when considering with .
Proof. For : symmetry in ; for : symmetry in . If , there exists no such that , since contains only three integers and cannot absorb six distinct ones. The adjacent symmetry of each individual cube cannot be extended to the sum.
Theorem 5.10 (Generalised breaking). For every there exists no function with .
Proof. Such would exist if and only if , which contradicts the FLT.
5.4. Conceptual Gradation of the Fermatian Obstruction
The Universal Identity (20) and Theorem 4.6 allow one to understand the Fermatian obstruction as a phenomenon with three qualitatively distinct regimes.
Quadratic regime (, Pythagoras). ; is a simple, flexible arithmetic progression. Infinitely many integer solutions exist.
Cubic regime (, uniqueness and first obstruction). ; is a pure monomial. Maximal algebraic elegance coincides with the first Fermatian obstruction. The adjacent symmetry cannot be merged for two distinct bases (Theorem 5.9).
Bernoulli regime (). ; has at least three terms with rational Bernoulli coefficients. The condition requires the simultaneous satisfaction of independent algebraic restrictions.
Remark 5.11 (The rigidity paradox). is the highest exponent with an optimally simple internal identity, and at the same time the first one with a Fermatian obstruction. Maximal elegance coincides with the first impossibility, inaugurating an infinite succession of algebraically more complex obstacles as increases.
5.5. Systematic Computational Verifications
A total of 10 000 pairs with were evaluated for , computing with 50-digit decimal precision (mpmath library, Python 3). Integrality criterion: . Result: zero integer solutions.
Table 3.
Selected verifications of .
Table 3.
Selected verifications of .
|
|
|
|
?
|
| 3 |
(3,4) |
91 |
4.4979… |
No |
| 3 |
(9,10) |
1 729 |
12.0023… |
No |
| 4 |
(3,4) |
337 |
4.2800… |
No |
| 4 |
(5,6) |
1 921 |
6.6220… |
No |
| 4 |
(9,10) |
16 561 |
11.358… |
No |
| 5 |
(3,4) |
1 267 |
4.1880… |
No |
| 5 |
(9,10) |
159 049 |
11.070… |
No |
| 6 |
(3,4) |
4 825 |
4.1450… |
No |
| 6 |
(9,10) |
1 000 729 |
10.012… |
No |
| 7 |
(3,4) |
18 523 |
4.1280… |
No |
| 8 |
(3,4) |
71 297 |
4.1200… |
No |
| Total: 10 000 pairs 6 exponents |
0 integer solutions |
6. Discussion
6.1. Honest Evaluation of Originality
A rigorous evaluation of originality requires distinguishing three levels with precision.
Pre-existing mathematical content. The Faulhaber–Bernoulli formula (7) [
4,
8] and Theorem 2.5 [
5,
16] are results from the 18th and 19th centuries, respectively. No new mathematical content is introduced in that sense.
Original perspective. The reorientation of (7) toward individual powers through instead of cumulative sums is the central conceptual contribution. That same move for the case (applying to ) already contains in embryo the entire generalisation; extending it systematically to every via Faulhaber–Bernoulli constitutes hypothesis H1.
Original structural narrative. The explicit connection between and the gradation of the Fermatian obstruction in three qualitative regimes, with the rigidity paradox as a central corollary, has no direct precedent in the literature. The explicit formulation of that gradation from an elementary discrete lens constitutes an original articulation.
6.2. Irrationality as a Structural Consequence
Representation (32) makes the following visible: can be constructed with pure integer arithmetic, yet the result is irrational for . The reason is not arbitrary: the decomposition of into terms implies that for to be a perfect -th power, independent algebraic restrictions on the integers and would have to be simultaneously satisfied, and that simultaneity is precisely what the FLT forbids. The Fermatian obstruction is thus graded: the larger , the larger , the greater the number of simultaneously impossible restrictions.
6.3. Comparison with Wiles’ Approach
Wiles’ approach [
17] operates at the level of modular forms and elliptic curves. This work operates at the level of elementary discrete calculus. They are not competing approaches: they are complementary perspectives on the same arithmetic truth. The present perspective contributes conceptual accessibility and a quantitative gradation (
) of the obstruction that the modular approach does not formulate in these terms.
6.4. Genuine Pedagogical Value
The genuine pedagogical value of this framework lies in the fact that it honestly transforms the Fermatian impossibility into an opportunity to understand the structural limits of mathematics. The transition from Pythagorean harmony () to cubic rigidity () and thence to Bernoulli complexity () traces with increasing precision the geography of the Fermatian impossibility, without resorting to tools from algebraic geometry or elliptic curves. Specifically, the proposal offers five concrete pedagogical contributions.
First, it establishes a rigorous historical–conceptual bridge: it connects ancient figurate arithmetic (Nicomachus, 1st century AD) with modern discrete calculus (Boole, 19th century) and contemporary number theory (Wiles, 20th century), illustrating the historical continuity of mathematical thought without falsifying historical attributions.
Second, it teaches the fundamental structural distinction between internal structure (local properties of individual objects) and additive structure (relations between distinct objects), a crucial distinction across all branches of mathematics: algebra, analysis, and topology.
Table 4.
Historical deductive chain: from Pythagoras to Anderson.
Table 4.
Historical deductive chain: from Pythagoras to Anderson.
| Author |
Era |
Key Contribution to the Chain |
| Pythagoras et al. |
6th c. BC |
; Pythagorean triples; figurate numbers |
| Euclid |
c. 300 BC |
Complete parametrisation of primitive triples |
| Nicomachus |
c. 100 AD |
: starting point |
| Faulhaber |
1631 |
polynomial for up to 17 |
| Fermat |
1637 |
Conjecture: has no solutions for |
| J. Bernoulli |
1713 |
Coefficients in the general formula for |
| Taylor |
1715 |
Operator formalised |
| Euler |
c. 1770 |
FLT proved for via |
| Gauss |
1801 |
Uniqueness in ; foundations of algebraic algebra |
| Germain |
c. 1825 |
Systematic modular framework; FLT for primes |
| Kummer |
1847 |
Ideal numbers; FLT for regular primes |
| Boole |
1860 |
Fundamental Theorem of Discrete Calculus systematised |
| Ribet |
1986 |
Frey curve violation of Taniyama–Shimura |
| Wiles |
1994 |
Modularity theorem FLT in full generality |
| Anderson |
2026 |
Identities (21) and (20); stratification ; |
| |
|
symbolic repr. (32); gradation of the obstruction |
Third, it provides a visualisation of the obstruction: representation (33) makes tangible the adjacent symmetry breaking that occurs when transitioning from the individual to , allowing students to see conceptually why the FLT forbids integer solutions for .
Fourth, it models epistemological honesty: it explicitly acknowledges the limits of the deduced identity without falsifying them, constituting an example of rigorous scientific attitude in the face of the temptations of superficial analogy.
Finally, it illustrates the connection with continuous calculus: the Fundamental Theorem of Calculus in its discrete version prepares the conceptual ground for advanced mathematical analysis without requiring notions of limit or continuity.
7. Conclusions
The main results of this work are the following.
1. Anderson Identity () — original derivation (2026):
Derived by applying to the historical Nicomachus formula, with precise attribution: it is a modern derivation not attributable to Nicomachus. It expresses each cube as the difference of consecutive triangular squares, revealing the adjacent symmetry inherent in .
2. Combinatorial uniqueness. is a pure monomial if and only if . This explains why the compact representation (21) is exclusive to the case .
3. Universal Anderson–Faulhaber–Bernoulli Identity (2026):
Generalises the Anderson Identity to every . The originality lies in reorienting the Faulhaber–Bernoulli formula toward individual powers (, internal perspective) rather than cumulative sums.
4. Structural Stratification Theorem (2026):
with as the unique point of optimal compactness. It connects internal algebraic complexity with the gradation of the Fermatian obstruction.
5. Absolute Uniqueness Corollary. Identity (21) is the only member of the family (20) that reduces to a pure monomial.
6. Universal Symbolic Representation (2026):
Constructed through integer operations; the irrationality of the result for is a structurally inevitable consequence of the FLT.
7. Generalised symmetry breaking (2026). The adjacent symmetry that sustains (21) cannot be extended to when . Generalisation: there exists no function with for .
8. Conceptual gradation (2026). Three structurally distinct regimes: quadratic ( , Pythagoras), cubic (, Anderson–Fermat), and Bernoulli (), with increasing complexity .
9. Numerical verifications. 10 000 pairs, exponents , 50-digit precision: zero integer solutions found.
10. Honest evaluation of originality. The originality lies in the perspective (reorientation of Faulhaber–Bernoulli toward individual powers via ) and in the structural narrative (gradation in three regimes), not in new mathematical content in the strict sense.
This work does not claim to prove the FLT—established definitively by Wiles (1994, )—but rather to offer a structural map of the arithmetic obstruction from discrete calculus. The journey from to infinity does not discover new lands of integer solutions; it traces with increasing precision the geography of the Fermatian impossibility: from Pythagorean harmony (), through Anderson’s cubic rigidity (), to Bernoulli complexity for .
The temptation to force the identity into a “cubic Pythagorean theorem” fails not because of human limitation, but because of an arithmetic obstruction inherent in the structure of the integers. To recognise that limit—as Germain, Euler, and Wiles did in their respective contexts—constitutes the deepest act of mathematical understanding: knowing where each domain of validity ends, and finding in those very limits the source of new structures yet to be discovered.
Acknowledgments
The author thanks the Laboratory of the Department of Industrial Design (LIDDI) of the Universidad Nacional de La Plata for institutional support and for providing a space for the development of interdisciplinary research connecting mathematics, design, and education.
References
- Anderson, I.F. From cumulative sum to finite difference: Nicomachus’ cubic identity as a manifestation of discrete calculus. Preprints. 2026. Available online: https://www.preprints.org/manuscript/202602.0367/v1.
- Anderson, I.F. From the Pythagorean Dream to the Fermatian Obstruction: Symbolic Representation of via an Identity Derived from Nicomachus’ Cumulative Sum. Preprints 2026. [Google Scholar] [CrossRef]
- Anderson, I.F. Universal Anderson–Faulhaber–Bernoulli Identity and Symbolic Representation of : Internal Structure of Perfect Powers and Arithmetic Obstruction for All . OSFpreprints 2026. [Google Scholar]
- Bernoulli, J. Ars Conjectandi; Impensis Thurnisiorum: Basileae, 1713. [Google Scholar]
- Boole, G. A Treatise on the Calculus of Finite Differences; Macmillan and Co.: London, 1860. [Google Scholar]
- Conway, J. H.; Guy, R. K. The Book of Numbers; Springer-Verlag: New York, 1996. [Google Scholar]
- Edwards, H. M. Fermat’s Last Theorem: A Genetic Introduction to Algebraic Number Theory; Springer-Verlag: New York, 1979. [Google Scholar]
- Faulhaber, J. Academia Algebrae; Johann Ulrich Schönig: Augsburg, 1631. [Google Scholar]
- Graham, R. L.; Knuth, D. E.; Patashnik, O. Concrete Mathematics: A Foundation for Computer Science, 2nd ed.; Addison-Wesley: Reading, 1994. [Google Scholar]
- Hardy, G.H. A Mathematician’s Apology; Cambridge University Press: Cambridge, 1940. [Google Scholar]
- Heath, T.L. A History of Greek Mathematics. In From Thales to Euclid; Clarendon Press: Oxford, 1921; Vol. 1. [Google Scholar]
- Lakatos, I. Proofs and Refutations: The Logic of Mathematical Discovery; Cambridge University Press: Cambridge, 1976. [Google Scholar]
- Laubenbacher, R.; Pengelley, D. Mathematical Expeditions: Chronicles by the Explorers; Springer-Verlag: New York, 1999. [Google Scholar]
- Nicomachus of Gerasa. Introduction to Arithmetic Original work c. 100 AD; D’Ooge, M. L., Translator; Macmillan: New York, 1926. [Google Scholar]
- Singh, S. Fermat’s Enigma: The Epic Quest to Solve the World’s Greatest Mathematical Problem; Walker and Company: New York, 1997. [Google Scholar]
- Taylor, B. Methodus Incrementorum Directa et Inversa; Pearson: London, 1715. [Google Scholar]
- Wiles, A. Modular elliptic curves and Fermat’s last theorem. Annals of Mathematics 1995, vol. 141(no. 3), 443–551. [Google Scholar] [CrossRef]
Table 1.
Structure of for k = 1,…,6.
Table 1.
Structure of for k = 1,…,6.
|
|
Type |
| 1 |
|
Constant |
| 2 |
|
Pure monomial (unique) |
| 3 |
|
Binomial |
| 4 |
|
Binomial |
| 5 |
|
Trinomial |
| 6 |
|
Trinomial |
|
Disclaimer/Publisher’s Note: The statements, opinions and data contained in all publications are solely those of the individual author(s) and contributor(s) and not of MDPI and/or the editor(s). MDPI and/or the editor(s) disclaim responsibility for any injury to people or property resulting from any ideas, methods, instructions or products referred to in the content. |