Preprint
Article

This version is not peer-reviewed.

Adaptive Actor-Critic Optimal Tracking Control for a Class of High-Order Nonlinear Systems with Partially Unknown Dynamics

Submitted:

25 January 2026

Posted:

05 February 2026

You are already at the latest version

Abstract
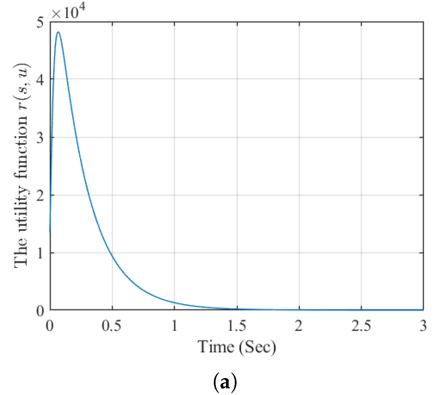
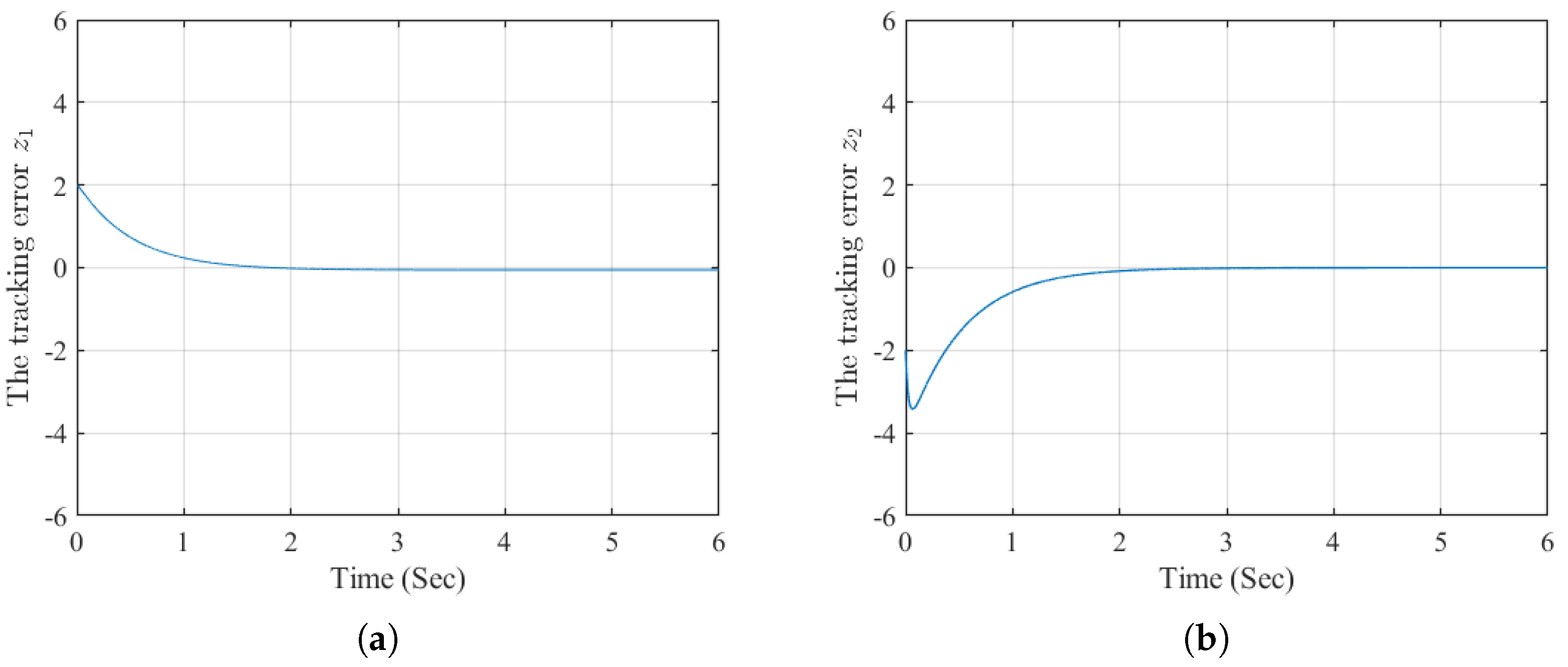
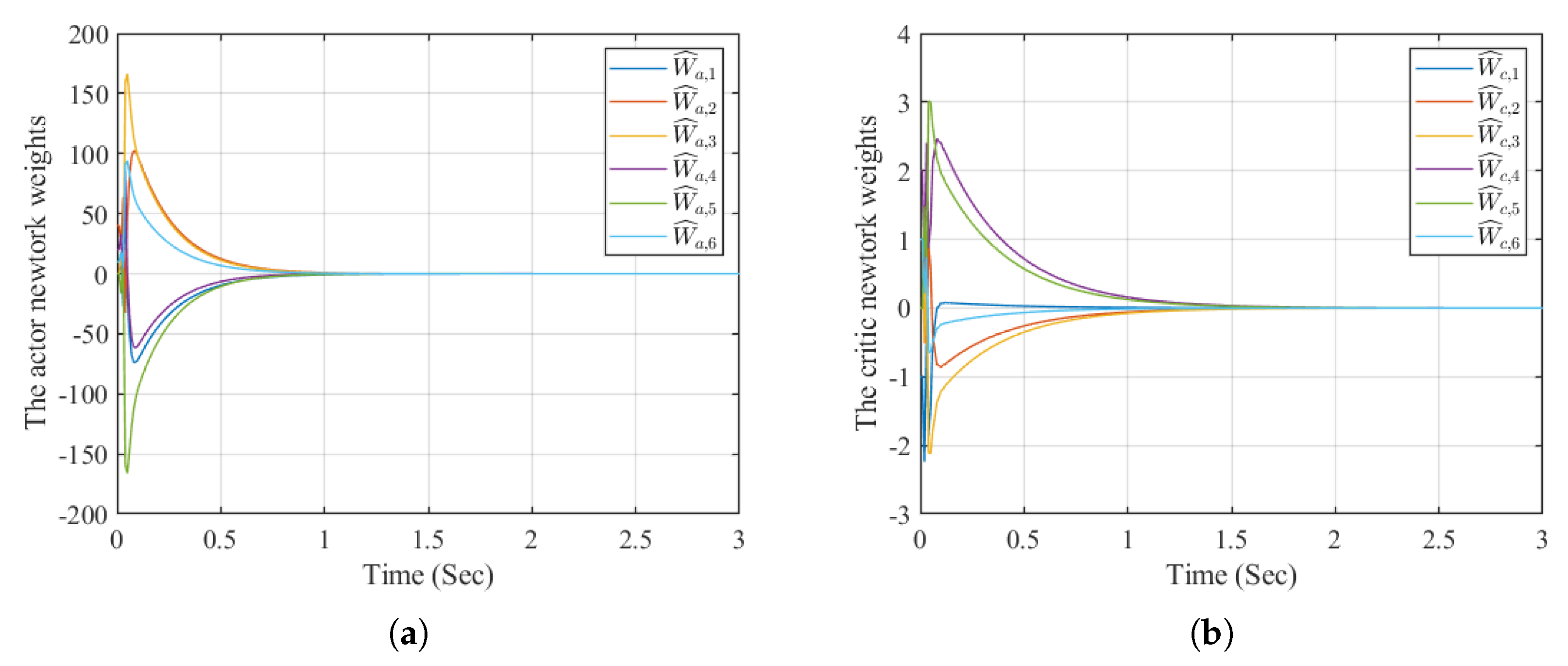
This study develops an adaptive optimal tracking control law using neural network (NN)-based reinforcement learning (RL) for high-order partially unknown nonlinear systems. By designing a cost function associated with the sliding mode surface (SMS), the original tracking control problem is equivalently transformed into solving the optimal control problem related to the tracking Hamilton-Jacobi-Bellman (HJB) equation. Since the analytical solution of the HJB equation is generally intractable, we employ a policy iteration algorithm derived from the HJB equation, where both the partial derivative of the optimal tracking cost function and the optimal control law are approximated by NNs. The proposed RL framework achieves simplification through actor-critic training laws derived under the condition that a simple function is zero. Finally, two simulative examples are provided to demonstrate the effectiveness and advantages of the proposed adaptive optimal tracking control method.
Keywords: 
;  ;  ;  
Copyright: This open access article is published under a Creative Commons CC BY 4.0 license, which permit the free download, distribution, and reuse, provided that the author and preprint are cited in any reuse.
Prerpints.org logo

Preprints.org is a free preprint server supported by MDPI in Basel, Switzerland.

Subscribe

Disclaimer

Terms of Use

Privacy Policy

Privacy Settings

© 2026 MDPI (Basel, Switzerland) unless otherwise stated