Submitted:
04 February 2026
Posted:
04 February 2026
You are already at the latest version
Abstract
Keywords:
1. Introduction
2. Methodology
2.1. Nanofuels Preparation
2.2. Autoignition Tests
3. Results and Discussion
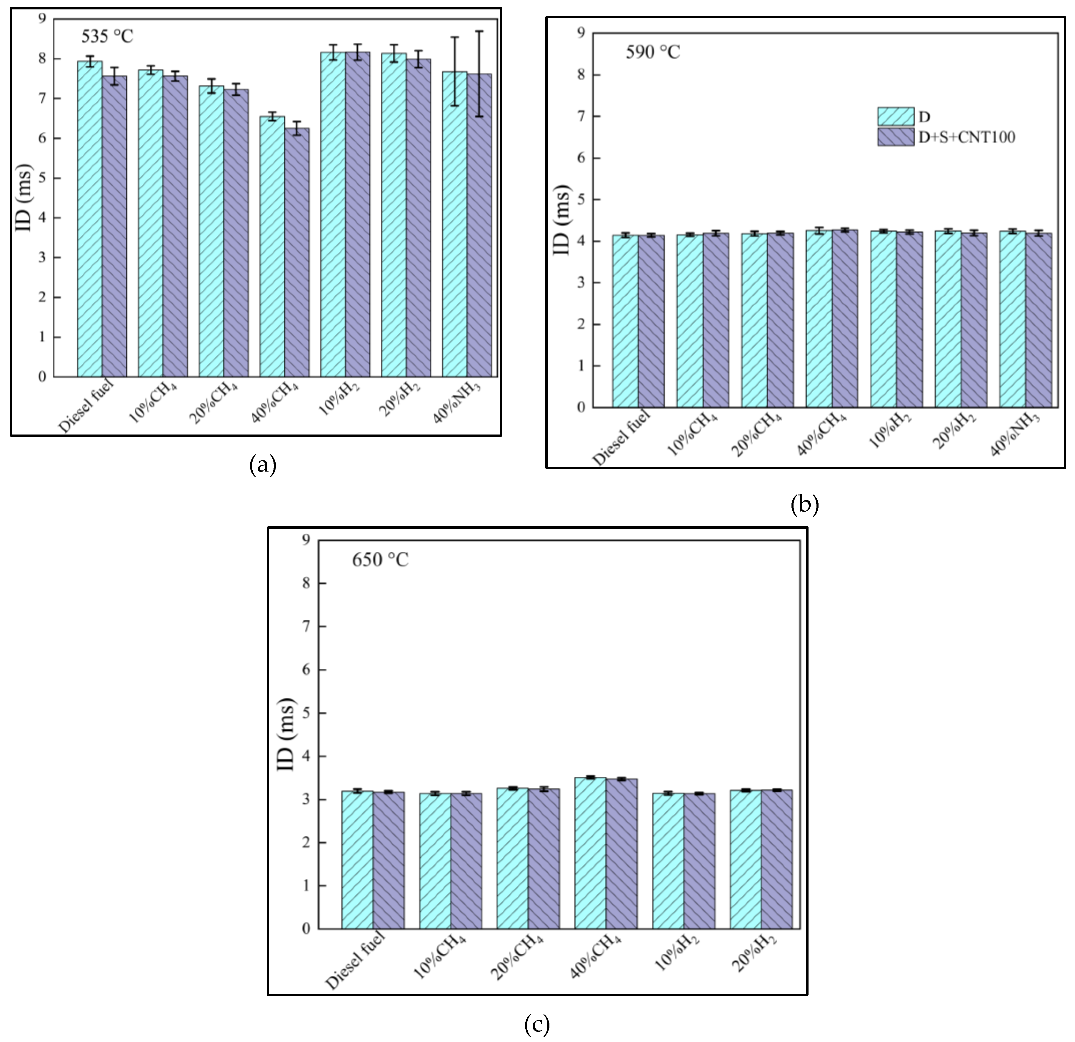
3.1. Effect of CNTs on the Ignition Delay
3.2. Effect of CNTs on the Combustion Rate
5. Conclusions
Author Contributions
Funding
Data Availability Statement
Acknowledgments
Conflicts of Interest
Abbreviations
| Al2O3 | Aluminum oxide |
| CeO2 | Cerium oxide |
| CH4 | Methane |
| CNTs | Carbon Nanotubes |
| CQDs | Carbon quantum dots |
| CuO | Copper oxide |
| CVCC | Constant Volume Combustion Chamber |
| D | Diesel |
| D+S | Diesel and SDBS blends |
| D+S+CNT | Diesel, SDBS and carbon nanotubes blends |
| DCN | Derived Cetane Number |
| GO | Graphene oxide |
| GQD | Graphene quantum dots |
| H2 | Hydrogen |
| HC | Unburned hydrocarbons |
| HCCI | Homogeneous Charge Compression Ignition |
| ID | Ignition Delay |
| LHV | Low Heating Value |
| MWCNTs | Multi-walled Carbon Nanotubes |
| NH3 | Ammonia |
| NTC | Negative Temperature Coefficient |
| RCCI | Reactivity Controlled Compression Ignition |
| SCCI | Stratified Charge Compression Ignition |
| SDBS | Sodium dodecilbenceno sulfonate |
| TiO2 | Titanium dioxide |
| WSD | Smoke point Wear Scar diameter |
| ZnO | Zinc oxide |
References
- Yusof, S. N. A.; Sidik, N. A. C.; Asako, Y.; Japar, W. Mohd. A. A.; Mohamed, S. B.; Muhammad, N. M. A comprehensive review of the influences of nanoparticles as a fuel additive in an internal combustion engine (ICE). Nanotechnol. Rev. 2020, vol. 9(no. 1), 1326–1349. [Google Scholar] [CrossRef]
- Yarveysi, M.; Shadidi, B.; Hajjami, M.; Ardebili, S. M. S.; Alizade, H. Haji Agha. Performance and Emissions Optimization of a Diesel Engine Using Biodiesel–Diesel Blends with Amine-Modified Nanobiochar. Processes 2025, vol. 13(no. 11), 3686. [Google Scholar] [CrossRef]
- Kalghatgi, G. Is it really the end of internal combustion engines and petroleum in transport? Appl. Energy 2018, vol. 225, 965–974. [Google Scholar] [CrossRef]
- Zou, F.; Zeng, H.; Wang, H.; Wang, X.; Xu, Z. Implementation and Parameter Analysis of the Knock Phenomenon of a Marine Dual-Fuel Engine Based on a Two-Zone Combustion Model. Processes 2021, vol. 9(no. 4), 602. [Google Scholar] [CrossRef]
- Yousefi, A.; Guo, H.; Birouk, M. Effect of diesel injection timing on the combustion of natural gas/diesel dual-fuel engine at low-high load and low-high speed conditions. Fuel 2018, vol. 235, 838–846. [Google Scholar] [CrossRef]
- Papadias, D. D.; Peng, J.-K.; Ahluwalia, R. K. Hydrogen carriers: Production, transmission, decomposition, and storage. Int. J. Hydrogen Energy 2021, vol. 46(no. 47), 24169–24189. [Google Scholar] [CrossRef]
- Wang, S. Evaluation of Hydrogen Addition on Combustion and Emission Characteristics of Dual-Fuel Diesel Engines with Different Compression Ratios. Processes 2023, vol. 11(no. 9), 2675. [Google Scholar] [CrossRef]
- Dimitriou, P.; Javaid, R. A review of ammonia as a compression ignition engine fuel. Int. J. Hydrogen Energy 2020, vol. 45(no. 11), 7098–7118. [Google Scholar] [CrossRef]
- Ni, P.; Wang, X.; Li, H. A review on regulations, current status, effects and reduction strategies of emissions for marine diesel engines. Fuel 2020, vol. 279, 118477. [Google Scholar] [CrossRef]
- Ouadha, A.; El-Gotni, Y. Integration of an Ammonia-water Absorption Refrigeration System with a Marine Diesel Engine: A Thermodynamic Study. Procedia Comput. Sci. 2013, vol. 19, 754–761. [Google Scholar] [CrossRef]
- Hernández, J. J.; Cova-Bonillo, A.; Ramos, A.; Wu, H.; Rodríguez-Fernández, J. Autoignition of sustainable fuels under dual operation with H2-carriers in a constant volume combustion chamber. Fuel 2023, vol. 339, 127487. [Google Scholar] [CrossRef]
- Khalife, E.; Balasubramanian, D.; Gharehghani, A.; Papla Venugopal, I.; Ebrahimi, M. Exploring the role of carbon nano additives in compression ignition engines: A comprehensive review on combustion characteristics. Energy Convers. Manag. 2024, vol. 321, 119008. [Google Scholar] [CrossRef]
- Hosseinzadeh-Bandbafha, H. Effects of aqueous carbon nanoparticles as a novel nanoadditive in water-emulsified diesel/biodiesel blends on performance and emissions parameters of a diesel engine. Energy Convers. Manag. 2019, vol. 196, 1153–1166. [Google Scholar] [CrossRef]
- Aalam, C. S.; Saravanan, C. G.; Kannan, M. Experimental investigations on a CRDI system assisted diesel engine fuelled with aluminium oxide nanoparticles blended biodiesel. Alexandria Engineering Journal 2015, vol. 54(no. 3), 351–358. [Google Scholar] [CrossRef]
- Fayad, M. A.; Dhahad, H. A. Effects of adding aluminum oxide nanoparticles to butanol-diesel blends on performance, particulate matter, and emission characteristics of diesel engine. Fuel no. October 2020, 2021, vol. 286. [Google Scholar] [CrossRef]
- Manigandan, S. Comparative study of nanoadditives TiO2, CNT, Al2O3, CuO and CeO2 on reduction of diesel engine emission operating on hydrogen fuel blends. Fuel 2019, vol. 262 2020. [Google Scholar] [CrossRef]
- Javed, S.; Murthy, Y. V. V Satyanarayana; Satyanarayana, M. R. S.; Reddy, R. Rajeswara; Rajagopal, K. Effect of a zinc oxide nanoparticle fuel additive on the emission reduction of a hydrogen dual-fuelled engine with jatropha methyl ester biodiesel blends. J. Clean. Prod. 2016, vol. 137, 490–506. [Google Scholar] [CrossRef]
- Javed, S.; Baig, R. U.; Murthy, Y. V. V. S. Study on noise in a hydrogen dual-fuelled zinc-oxide nanoparticle blended biodiesel engine and the development of an artificial neural network model. Energy 2018, vol. 160, 774–782. [Google Scholar] [CrossRef]
- Feroskhan, M.; Ismail, S.; Gosavi, S.; Tankhiwale, P.; Khan, Y. Optimization of performance and emissions in a biogas–diesel dual fuel engine with cerium oxide nanoparticle addition. Proceedings of the Institution of Mechanical Engineers, Part D: Journal of Automobile Engineering 2019, vol. 233(no. 5), 1178–1193. [Google Scholar] [CrossRef]
- Pugazhendhi, A.; Ali Alharbi, S.; Loganathan, K.; Subbiah, G.; Nithya, S. Enhancing sustainable fuel solutions: Castor oil biodiesel with nanoparticles and ammonia, utilizing as a green substitute for diesel engines. Fuel 2024, vol. 368, 131597. [Google Scholar] [CrossRef]
- Arslan, E.; Raşit Atelge, M.; Kahraman, N.; Ünalan, S.; Çeper, B. A. Examination of the effect on the engine of diesel-nanoparticle mixture with natural gas addition. Fuel 2024, vol. 357. [Google Scholar] [CrossRef]
- Kannaiyan, K.; Sadr, R. The effects of alumina nanoparticles as fuel additives on the spray characteristics of gas-to-liquid jet fuels. Exp. Therm. Fluid Sci. 2017, vol. 87, 93–103. [Google Scholar] [CrossRef]
- Kuszewski, H. Experimental investigation of the effect of ambient gas temperature on the autoignition properties of ethanol–diesel fuel blends. Fuel 2018, vol. 214, 26–38. [Google Scholar] [CrossRef]
- Hernández, J. J.; Cova-Bonillo, A.; Wu, H.; Barba, J.; Rodríguez-Fernández, J. Low temperature autoignition of diesel fuel under dual operation with hydrogen and hydrogen-carriers. Energy Convers. Manag. 2022, vol. 258, 115516. [Google Scholar] [CrossRef]
- Curran, H. J. Developing detailed chemical kinetic mechanisms for fuel combustion. Proceedings of the Combustion Institute 2019, vol. 37(no. 1), 57–81. [Google Scholar] [CrossRef]
- Zhang, H.; Lu, Z.; Wang, T.; Che, Z. Micro-explosion of emulsion droplets with nanoparticles at high temperature. Int. J. Heat Mass Transf. 2024, vol. 219, 124851. [Google Scholar] [CrossRef]
- Jiang, G.; Yan, J.; Wang, G.; Dai, M.; Xu, C.; Wang, J. Effect of nanoparticles concentration on the evaporation characteristics of biodiesel. Appl. Surf. Sci. 2019, vol. 492, 150–156. [Google Scholar] [CrossRef]
- Wang, X.; Dai, M.; Wang, J.; Xie, Y.; Ren, G.; Jiang, G. Effect of ceria concentration on the evaporation characteristics of diesel fuel droplets. Fuel 2019, vol. 236, 1577–1585. [Google Scholar] [CrossRef]
- Gallego, A.; Lapuerta, M.; Hernández, J. J.; Gómez, D.; Herrera, B.; Cacua, K. Technical feasibility analysis of carbon nanotubes in diesel engines: Effects on stability, combustion properties and emissions. Energy Convers. Manag. 2025, vol. 326, 119450. [Google Scholar] [CrossRef]
- Wang, X.; Dai, M.; Xie, Y.; Han, J.; Ma, Y.; Chen, C. Experimental investigation of evaporation characteristics of biodiesel-diesel blend droplets with carbon nanotubes and nanoceria as nanoadditives. Appl. Surf. Sci. 2020, vol. 505, 144186. [Google Scholar] [CrossRef]
- Dai, M.; Wang, J.; Wei, N.; Wang, X.; Xu, C. Experimental study on evaporation characteristics of diesel/cerium oxide nanofluid fuel droplets. Fuel 2019, vol. 254, 115633. [Google Scholar] [CrossRef]
- Mosadegh, S.; Ghaffarkhah, A.; van der Kuur, C.; Arjmand, M.; Kheirkhah, S. Graphene oxide doped ethanol droplet combustion: Ignition delay and contribution of atomization to burning rate. Combust. Flame 2022, vol. 238, 111748. [Google Scholar] [CrossRef]
- Zapata-Hernandez, C.; Durango-Giraldo, G.; Gomez-Echeverri, M.; Buitrago-Sierra, R.; Herrera, B.; Cacua, K. The impact of carbon quantum dots derived from spent coffee grounds on the droplet combustion of diesel/n-butanol blend. Heliyon 2024, vol. 10(no. 21). [Google Scholar] [CrossRef] [PubMed]
- Marlina, E.; Alhikami, A. F.; Waluyo, B.; Sahwahita, S. Rahima; Wardana, I. A study of blending carbon nanoparticles made of coconut shell (fullerene C60) in vegetable oils on the droplet evaporation characteristics. Fuel 2023, vol. 346, 128319. [Google Scholar] [CrossRef]
- Ittoo, B.; Ooi, J. B.; Tran, M. V.; Jaliliantabar, F.; Hasan Najafi, G.; Swamy, V. Effects of dispersed multiwalled carbon nanotubes on the micro-explosion and combustion characteristics of 2-methylfuran – diesel mixture droplets. Fuel 2022, vol. 316. [Google Scholar] [CrossRef]
- Gan, Y.; Lim, Y. S.; Qiao, L. Combustion of nanofluid fuels with the addition of boron and iron particles at dilute and dense concentrations. Combust. Flame 2012, vol. 159(no. 4), 1732–1740. [Google Scholar] [CrossRef]
- Hossain Bhuiyan, M. M.; Siddique, Z. Hydrogen as an alternative fuel: A comprehensive review of challenges and opportunities in production, storage, and transportation. Int. J. Hydrogen Energy 2025, vol. 102, 1026–1044. [Google Scholar] [CrossRef]
- Götz, M. , Renewable Power-to-Gas: A technological and economic review. Renew. Energy 2016, vol. 85, 1371–1390. [Google Scholar] [CrossRef]
- Gallego, A.; Cacua, K.; Gamboa, D.; Rentería, J.; Herrera, B. Ignition Delay and Burning Rate Analysis of Diesel–Carbon Nanotube Blends Stabilized by a Surfactant: A Droplet-Scale Study. Energies (Basel). 2023, vol. 16(no. 23), 7740. [Google Scholar] [CrossRef]
- Lapuerta, M.; Sanz-Argent, J.; Raine, R. R. Ignition Characteristics of Diesel Fuel in a Constant Volume Bomb under Diesel-Like Conditions. Effect of the Operation Parameters. Energy & Fuels 2014, vol. 28(no. 8), 5445–5454. [Google Scholar] [CrossRef]
- Henein, N. A.; Bolt, J. A. Correlation of Air Charge Temperature and Ignition Delay for Several Fuels in a Diesel Engine. 1969. [Google Scholar] [CrossRef]
- McWilliam, L.; Megaritis, A. Experimental investigation of the effect of combined hydrogen and diesel combustion on the particulate size distribution from a high speed direct injection diesel engine. International Journal of Vehicle Design 2009, vol. 50(no. 1/2/3/4), 107. [Google Scholar] [CrossRef]
- Dhanasekaran, C.; Mohankumar, G. Dual fuel mode DI diesel engine combustion with hydrogen gas and DEE as ignition source. Int. J. Hydrogen Energy 2016, vol. 41(no. 1), 713–721. [Google Scholar] [CrossRef]
- Lapuerta, M.; Sanz-Argent, J.; Raine, R. Heat release determination in a constant volume combustion chamber from the instantaneous cylinder pressure. Appl. Therm. Eng. 2014, vol. 63(no. 2), 520–527. [Google Scholar] [CrossRef]
- Alenezi, R. A.; Norkhizan, A. M.; Mamat, R.; Erdiwansyah; Najafi, G.; Mazlan, M. Investigating the contribution of carbon nanotubes and diesel-biodiesel blends to emission and combustion characteristics of diesel engine. Fuel 2021, vol. 285, 119046. [Google Scholar] [CrossRef]
- Zhang, Z. Comparative study of using multi-wall carbon nanotube and two different sizes of cerium oxide nanopowders as fuel additives under various diesel engine conditions. Fuel 2019, vol. 256, 115904. [Google Scholar] [CrossRef]
- Atelge, M. R. Comparative investigation of multi-walled carbon nanotube modified diesel fuel and biogas in dual fuel mode on combustion, performance, and emission characteristics. Fuel 2022, vol. 313, 123008. [Google Scholar] [CrossRef]
- Tingas, E.-A. Hydrogen for Future Thermal Engines . In Green Energy and Technology; Springer International Publishing: Cham, 2023. [Google Scholar] [CrossRef]
- Lang, M.; Su, Y.; Li, X.; Wang, Y.; Zhang, Y.; Zhao, H. Optical study on the effect of ozone addition on a diesel/ammonia dual fuel engine with pilot injection. Process Safety and Environmental Protection 2024, vol. 188, 1437–1449. [Google Scholar] [CrossRef]
- Basha, J. Sadhik; Anand, R. B. An experimental investigation in a diesel engine using carbon nanotubes blended water-diesel emulsion fuel. Proceedings of the Institution of Mechanical Engineers, Part A: Journal of Power and Energy 2011, vol. 225(no. 3), 279–288. [Google Scholar] [CrossRef]
- Arslan, E.; Raşit Atelge, M.; Kahraman, N.; Ünalan, S. A study on the effects of nanoparticle addition to a diesel engine operating in dual fuel mode. Fuel 2022, vol. 326, 124847. [Google Scholar] [CrossRef]
- Wu, Y. Assessing the effects of ammonia (NH3) as the secondary fuel on the combustion and emission characteristics with nano-additives. Fuel 2023, vol. 336, 126831. [Google Scholar] [CrossRef]





| Base fuel | Nanoparticle | Concentration | Temperature | Positive effect reported | Negative effect reported- | References |
|---|---|---|---|---|---|---|
| Diesel/ biodiesel | CNTs CeO2 |
At different blends | 673 K 873 K |
Nanomaterials Accelerate droplet evaporation | CNTs aggregate more easily, and the evaporation process is prolonged |
[30] |
| Diesel | CeO2 | 5 wt %. | 673 K 873 K |
CeO2 accelerates the droplet evaporation and promotes microexplosions | Not reported | [31] |
| Ethanol | Graphene oxide (GO) | 0.1 wt %. | Room temperature | GO enhances the burning rate and promotes microexplosions | GO increases the ignition delay | [32] |
| Diesel/ n-butanol |
CQDs | 95 mg/L | Room temperature | CQDs enhance fuel evaporation. | CQDs lead to an increase in the ignition delay | [33] |
| Crude vegetable oils | Nanocarbon | 5 mg/L | Nanocarbon increases fuel reactivity, droplet temperature, and shortens ignition delay. | [34] | ||
| 2-methylfuran/ diesel |
CNTs | 25 mg/L, 50 mg/L, and 100 mg/L | CNTs decreases fuel ignition delay and increases combustion rate | CNTs increases micro-explosions intensity |
[35] | |
| Diesel | Al2O3 and carbon nanomaterials |
0.05 – 3.0 wt% | Room temperature | Nanomaterials Al2O3 improves microexplosions | The aggregation of particles limits the diffusion of vapor within the droplet. | [26] |
| n-decane and ethanol | Boron and Iron | 0.5 wt% and 5 wt% | Room temperature | The nanomaterials facilitated ignition and increased the burning rate of base fuels | At high particle loading rates, a large agglomerate will form. The large agglomerate may not be ignited, hindering the combustion process of the base fuel | [36] |
| Property | Unit | Diesel fuel (D) | D+SDBS (S) | D+S+CNTs 100 mg/L |
Standard |
|---|---|---|---|---|---|
| Kinematic viscosity at 40 ◦C | cSt | 2.399 | 2.7182 | 2.426 | EN ISO 3104 |
| Derived Cetane number | - | 51.98 | 50.82 | 52.12 | ASTM D7668/EN 16715 |
| Density at 15 °C | kg/m3 | 837 | 837.5 | 838.0 | EN ISO 3675 |
| Lower heating value | MJ/kg | 43.2 | 42.0 | 43.7 | EN 12937 |
| Smoke point | mm | 19.75 | 18.77 | 20.74 | EN 3014 |
| Wear Scar diameter (WSD) | μm | 187.5 | 199.5 | 296.4 | ISO 6508-1 |
| Parameter | Level 1 | Level 2 | Level 3 |
|---|---|---|---|
| Fuel blends | Diesel | Diesel and SDBS at 200 mg/L | Diesel, SDBS and CNTs at 100 mg/L |
| Tested temperature (°C) | 535 | 590 | 650 |
| Initial absolute pressure (bar) | 21 | ||
| Synthetic air (%Vol.) | 21% O2 and 79% N2 | ||
| Fuel injection pressure (bar) | 1000 | ||
| Injection time (μs) | 2500 |
Disclaimer/Publisher’s Note: The statements, opinions and data contained in all publications are solely those of the individual author(s) and contributor(s) and not of MDPI and/or the editor(s). MDPI and/or the editor(s) disclaim responsibility for any injury to people or property resulting from any ideas, methods, instructions or products referred to in the content. |
© 2026 by the authors. Licensee MDPI, Basel, Switzerland. This article is an open access article distributed under the terms and conditions of the Creative Commons Attribution (CC BY) license (http://creativecommons.org/licenses/by/4.0/).
