Submitted:
03 February 2026
Posted:
05 February 2026
You are already at the latest version
Abstract

Keywords:
1. Introduction
2. Results and Discussion
2.1. Fenamates and Salicylates
2.2. Figures, Tables, and Schemes
2.2. Acetates
2.3. Propionates
2.4. Pharmacophore Structure
3. Materials and Methods
3.1. Bibliographic Search
3.2. QSAR Analysis
3.3. Molecular Docking
3.5. Statistical Analysis
4. Conclusions
Supplementary Materials
Author Contributions
Funding
Institutional Review Board Statement
Informed Consent Statement
Data Availability Statement
Acknowledgments
Conflicts of Interest
Abbreviations
| ANOVA | Analysis of variance |
| COX | Cyclooxygenase |
| D | Distribution coefficient |
| DFT | Density functional theory |
| E | Energy |
| HOMO | High-occupied molecular orbital |
| Ka | Acidity constant |
| LUMO | Low-unoccupied molecular orbital |
| m | Dipolar moment |
| MMFF | Merck molecular force field |
| MR | Molar refractivity |
| MW | Molecular weight |
| NSAIDs | Non-steroidal anti-inflammatory drugs |
| P | Partition coefficient |
| PAF | Platelet-activating factor |
| Q2 | Predictability coefficient |
| QSAR | Quantitative structure-activity relationship |
| SAR | Structure-activity relationship |
| TPSA | Topological polar surface area |
| V | Volume |
References
- Brunton, L.L.; Knollman, B.C. Goodman & Gilman: Las bases farmacológicas de la terapéutica, pp 774-775, 829-83, 14ª ed; McGraw-Hill Education: México, 2022. [Google Scholar]
- Hajeyah, A.A.; Griffiths, W.J.; Wang, Y.; Finch, A.J.; O’Donnell, V.B. The Biosynthesis of Enzymatically Oxidized Lipids. Front. Endocrinol. 2020, 11, 591819. [Google Scholar] [CrossRef]
- Wallace, J.L.; Del Soldat, P. The therapeutic potential of No-NSAIDs. Fundam. Clin. Pharmacol. 2003, 17(1), 11–20. [Google Scholar] [CrossRef]
- Montinari, M.R.; Minelli, S.; De Caterina, R. The first 3500 years of aspirin history from its roots – A concise summary. Vasc. Pharmacol. 2019, 113, 1–8. [Google Scholar] [CrossRef] [PubMed]
- Asirvatham, S.; Dhokchawle, B.V.; Tauro, S.J. Quantitative structure activity relationships studies of non-steroidal anti-inflammatory drugs: A review. Arab. J. Chem. 2019, 12(8), 3948–3962. [Google Scholar] [CrossRef]
- Hadjipavlou-Litina, D. Quantitative structure - activity relationship (QSAR) studies on non steroidal anti-inflammatory drugs (NSAIDs). Curr. Med. Chem. 2000, 7(4), 375–388. [Google Scholar] [CrossRef]
- Delgado, A.; Minguillón, C.; Joglar, J. Introducción a la Química terapéutica, 2ª ed; Diaz de Santos, España.
- James, D. The multisystem adverse effects of NSAID therapy. J. Am. Ostepath. Assoc. 1999, 99(11), 1–7. [Google Scholar] [CrossRef] [PubMed]
- Sostres, C.; Gargallo, C.J.; Arroyo, M.T.; Lanas, A. Adverse effects of non-steroidal anti-inflammatory drugs (NSAIDs, aspirin and coxibs) on upper gastrointestinal tract. Best Pract. Res. Clin.Gastroenterol. 2010, 24(2), 121–132. [Google Scholar] [CrossRef]
- Crofford, L.J. Use of NSAIDs in treating patients with arthritis. Arthritis Res. Ther. 2013, 15 Suppl 3(S3), S2. [Google Scholar] [CrossRef] [PubMed]
- Tomić, M.; Micov, A.; Pecikoza, U.; Stepanović-Petrović, R. Clinical uses of nonsteroidal anti-inflammatory drugs (NSAIDs) and potential benefits of NSAIDs modified-release preparations. In Microsized and Nanosized Carriers for Nonsteroidal Anti-Inflammatory Drugs; Bojan, Čalija, Ed.; Elsevier, Serbia, 2017; pp. 1–29. [Google Scholar]
- Alvarado, J.C.B.; Víquez, M.M. Fisiopatología y seguridad del uso de AINEs selectivos y no selectivos: balance de riesgos. Rev. Méd. Univ. Costa Rica. 2011, 5(1), 39–57. [Google Scholar] [CrossRef]
- Marcén, B.; Sostres, C.; Lanas, A. AINE y riesgo digestivo. Aten. Primaria. 2016, 48(2), 73–76. [Google Scholar] [CrossRef]
- Giménez-Bastida, J.A.; Boeglin, W.E.; Boutaud, O.; Malkowski, M.G.; Schneider, C. Residual cyclooxygenase activity of aspirin-acetylated COX-2 forms 15R-prostaglandins that inhibit platelet aggregation. The FASEB Journal. 2018, 33(1), 1033–1041. [Google Scholar] [CrossRef]
- Patrono, C. Low-dose aspirin for the prevention of atherosclerotic cardiovascular disease. Eur. Heart J. 2024, 45(27), 2362–2376. [Google Scholar] [CrossRef]
- Lucido, M.J.; Orlando, B.J.; Vecchio, A.J.; Malkowski, M.G. Crystal Structure of Aspirin-Acetylated Human Cyclooxygenase-2: Insight into the Formation of Products with Reversed Stereochemistry. Biochem. 2016, 55(8), 1226–1238. [Google Scholar] [CrossRef] [PubMed]
- Lipinski, C.A.; Lombardo, F.; Dominy, B.W.; Feeney, P.J. Experimental and computational approaches to estimate solubility and permeability in drug discovery and development settings. Adv. Drug Deliv. Rev. 1997, 23(1-3), 3–25. [Google Scholar] [CrossRef]
- Veber, D.F.; Johnson, S.R.; Cheng, H.; Smith, B.R.; Ward, K.W.; Kopple, K.D. Molecular Properties That Influence the Oral Bioavailability of Drug Candidates. J. Med. Chem. 2002, 45(12), 2615–2623. [Google Scholar] [CrossRef]
- Robles-Navarro, A.; Cárdenas, C.; Fuentealba, P. Electronegativity under Confinement. Molecules 2021, 26(22), 6924. [Google Scholar] [CrossRef]
- Matsunaga, N.; Rogers, D.W.; Zavitsas, A.A. Pauling’s Electronegativity Equation and a New Corollary Accurately Predict Bond Dissociation Enthalpies and Enhance Current Understanding of the Nature of the Chemical Bond. J. Org. Chem. 2003, 68(8), 3158–3172. [Google Scholar] [CrossRef]
- Calvello, R.; Panaro, M.A.; Carbone, M.L.; Cianciulli, A.; Perrone, M.G.; Vitale, P.; Malerba, P.; Scilimati, A. Novel selective COX-1 inhibitors suppress neuroinflammatory mediators in LPS-stimulated N13 microglial cells. Pharmacol. Res. The Official Journal of the Italian Pharmacological Society 2012, 65(1), 137–148. [Google Scholar] [CrossRef]
- Cryer, B.; Feldman, M. Cyclooxygenase-1 and cyclooxygenase-2 selectivity of widely used nonsteroidal anti-inflammatory drugs. Am. J. Med. 1998, 104(5), 413–421. [Google Scholar] [CrossRef] [PubMed]
- Chowdhury, M.A.; Abdellatif, K.R.A.; Dong, Y.; Das, D.; Yu, G.; Velázquez, C.A.; Suresh, M.R.; Knaus, E.E. Synthesis and biological evaluation of salicylic acid and N-acetyl-2-carboxybenzenesulfonamide regioisomers possessing a N-difluoromethyl-1,2-dihydropyrid-2-one pharmacophore: Dual inhibitors of cyclooxygenases and 5-lipoxygenase with anti-inflammatory activity. Bioorg. Med. Chem. Lett. 2009, 19(24), 6855–6861. [Google Scholar] [CrossRef]
- Mitchell, J.A.; Akarasereenont, P.; Thiemermann, C.; Flower, R.J.; Vane, J.R. Selectivity of nonsteroidal antiinflammatory drugs as inhibitors of constitutive and inducible cyclooxygenase. PNAS 1993, 90(24), 11693–11697. [Google Scholar] [CrossRef] [PubMed]
- Medchemexpress.com. Available online: https://www.medchemexpress.com/aspirin.html?locale=es-ES (accessed on 15 January 2026).
- (s/f). Caymanchem.com. Available online: https://www.caymanchem.com/product/70260 (accessed on 15 January 2026).
- Warner, T.D.; Giuliano, F.; Vojnovic, I.; Bukasa, A.; Mitchell, J.A.; Vane, J.R. Nonsteroid drug selectivities for cyclo-oxygenase-1 rather than cyclo-oxygenase-2 are associated with human gastrointestinal toxicity: a full in vitro analysis. PNAS 1999, 96(13), 7563–7568. [Google Scholar] [CrossRef]
- Perrone, M.G.; Centonze, A.; Miciaccia, M.; Ferorelli, S.; Scilimati, A. Cyclooxygenase inhibition safety and efficacy in inflammation-based psychiatric disorders. Molecules 2020, 25(22), 5388. [Google Scholar] [CrossRef] [PubMed]
- Ouellet, M.; Percival, M.D. Effect of inhibitor time-dependency on selectivity towards cyclooxygenase isoforms. Biochem. J. 1995, 306 Pt 1, 247–251. [Google Scholar] [CrossRef] [PubMed]
- (S/f). Medkoo.com. Available online: https://www.medkoo.com/products/45720 (accessed on 17 January 2026).
- (s/f). Caymanchem.com. Available online: https://www.caymanchem.com/product/21447/flufenamic-acid. (accessed on 17 January 2026).
- Drago, S.; Imboden, R.; Schlatter, P.; Buylaert, M.; Krähenbühl, S.; Drewe, J. Pharmacokinetics of transdermal etofenamate and diclofenac in healthy volunteers. Basic Clin. Pharmacol. Toxicol. 2017, 121(5), 423–429. [Google Scholar] [CrossRef]
- Madhava, G.; Ramana, K.V.; Sudhana, S.M.; Rao, D.S.; Kumar, K.H.; Lokanatha, V.; Rani, A.U.; Raju, C.N. Aryl/heteroaryl substituted celecoxib derivatives as COX-2 inhibitors: Synthesis, anti-inflammatory activity, and molecular docking studies. Med. Chem. (Shariqah (United Arab Emirates)) 2017, 13(5), 484–497. [Google Scholar] [CrossRef]
- Narsinghani, T.; Chaturvedi, S.C. QSAR analysis of meclofenamic acid analogues as selective COX-2 inhibitors. Bioorg. Med. Chem. Lett. 2006, 16(2), 461–468. [Google Scholar] [CrossRef]
- Kalgutkar, A.S.; Rowlinson, S.W.; Crews, B.C.; Marnett, L.J. Amide derivatives of meclofenamic acid as selective cyclooxygenase-2 inhibitors. Bioorg. Med. Chem. Lett. 2002, 12(4), 521–524. [Google Scholar] [CrossRef]
- Du, L.; Du, S.; Li, J.; Wang, H. Design, synthesis and biological evaluation of novel 2- (indole arylamide) benzoic acid analogs as dual COX-2 / 5-LOX inhibitors. Research Square 2022, preprint. [Google Scholar] [CrossRef]
- (S/f-b). Medchemexpress.com. Available online: https://www.medchemexpress.com/mefenamic-acid.html (accessed on 17 January 2026).
- (s/f). Caymanchem.com. Available online: https://www.caymanchem.com/product/70550/meclofenamate-(sodium-salt) (accessed on 17 January 2026).
- Cryer, B.; Feldman, M. Cyclooxygenase-1 and cyclooxygenase-2 selectivity of widely used nonsteroidal anti-inflammatory drugs. Am. J. Med. 1998, 104(5), 413–421. [Google Scholar] [CrossRef] [PubMed]
- Huntjens, D.R.H.; Danhof, M.; Della; Pasqua, O.E. Pharmacokinetic–pharmacodynamic correlations and biomarkers in the development of COX-2 inhibitors. Rheumatology 2005, 44(7), 846–859. [Google Scholar] [CrossRef] [PubMed]
- (s/f). Scbt.com. Available online: https://www.scbt.com/es/p/mefenamic-acid-61-68-7 (accessed on 18 January 2026).
- (s/f). Glpbio.com. Available online: https://www.glpbio.com/sp/mefenamic-acid.html (accessed on 18 January 2026).
- Lees, P.; Landoni, M.F.; Giraudel, J.; Toutain, P.L. Pharmacodynamics and pharmacokinetics of nonsteroidal anti-inflammatory drugs in species of veterinary interest. J. Vet. Pharmacol. Ther. 2004, 27(6), 479–490. [Google Scholar] [CrossRef] [PubMed]
- Yoon, S.-H.; Cho, D.-Y.; Choi, S.-R.; Lee, J.-Y.; Choi, D.-K.; Kim, E.; Park, J.-Y. Synthesis and biological evaluation of salicylic acid analogues of celecoxib as a new class of selective cyclooxygenase-1 inhibitor. Biol. Pharm. Bull. 2021, 44(9), 1230–1238. [Google Scholar] [CrossRef] [PubMed]
- Roos, J.; Oancea, C.; Heinssmann, M.; Khan, D.; Held, H.; Kahnt, A.S.; Capelo, R.; la Buscató, E.; Proschak, E.; Puccetti, E.; Steinhilber, D.; Fleming, I.; Maier, T.J.; Ruthardt, M. 5-Lipoxygenase is a candidate target for therapeutic management of stem cell–like cells in acute myeloid leukemia. Cancer Res. 2014, 74(18), 5244–5255. [Google Scholar] [CrossRef]
- Riendeau, D.; Percival, M.D.; Brideau, C.; Charleson, S.; Dubé, D.; Ethier, D.; Falgueyret, J.P.; Friesen, R.W.; Gordon, R.; Greig, G.; Guay, J.; Mancini, J.; Ouellet, M.; Wong, E.; Xu, L.; Boyce, S.; Visco, D.; Girard, Y.; Prasit, P.; Chan, C.C. Etoricoxib (MK-0663): preclinical profile and comparison with other agents that selectively inhibit cyclooxygenase-2. J. Pharmacol Exp. Ther. 2001, 296(2), 558–566. [Google Scholar] [CrossRef] [PubMed]
- Munir, A.; Khushal, A.; Saeed, K.; Sadiq, A.; Ullah, R.; Ali, G.; Ashraf, Z.; Ullah; Mughal; Saeed, E.; Jan, M.; Rashid, U.; Hussain, I.; Mumtaz, A. Synthesis, in-vitro, in-vivo anti-inflammatory activities and molecular docking studies of acyl and salicylic acid hydrazide derivatives. Bioorg. Chem. 2020, 104(104168), 104168. [Google Scholar] [CrossRef] [PubMed]
- Knights, K.M.; Mangoni, A.A.; Miners, J.O. Defining the COX inhibitor selectivity of NSAIDs: implications for understanding toxicity. Expert Rev. Clin. Pharmacol. 2010, 3(6), 769–776. [Google Scholar] [CrossRef]
- Dannhardt, G.; Ulbrich, H. In-vitro test system for the evaluation of cyclooxygenase-1 (COX-1) and cyclooxygenase-2 (COX-2) inhibitors based on a single HPLC run with UV detection using bovine aortic coronary endothelial cells (BAECs). Inflamm. Res. 2001, 50(5), 262–269. [Google Scholar] [CrossRef] [PubMed]
- Gardner, S.H.; Hawcroft, G.; Hull, M.A. Effect of nonsteroidal anti-inflammatory drugs on β-catenin protein levels and catenin-related transcription in human colorectal cancer cells. Br. J. Cancer. 2004, 91(1), 153–163. [Google Scholar] [CrossRef]
- Kim, S.J.; Reddy, R. Critical appraisal of ophthalmic ketorolac in treatment of pain and inflammation following cataract surgery. Clin. Ophthalmol. 2011, 5, 751–758. [Google Scholar] [CrossRef]
- Pradilla, O.E. Ciclooxigenasa 3: La nueva iso-enzima en la familia. MedUNAB 2004, 7(21), 181–4. [Google Scholar]
- (S/f). Caymanchem.com. Available online: https://cdn.caymanchem.com/cdn/insert/19187.pdf (accessed on 18 January 2026).
- Mohanapriya, A.; Achuthan, D. Comparative QSAR analysis of cyclo-oxygenase 2 inhibiting drugs. Bioinformation 2012, 8(8), 353–358. [Google Scholar] [CrossRef]
- Hardin, H. Etoricoxib: A new COX-2 inhibitor. Farma Note 2004, 20(3), 1–6. [Google Scholar]
- (S/f-c). Medchemexpress.com. Available online: https://www.medchemexpress.com/etodolac.html (accessed on 18 January 2026).
- (S/f). Axonmedchem.com. Available online: https://www.axonmedchem.com/product/3451 (accessed on 18 January 2026).
- (S/f-d). Abcam.com. Available online: https://www.abcam.com/en-mx/products/biochemicals/etodolac-cox-2-inhibitor-nsaid-ab141086. (accessed on 22 February 2024).
- Kato, M.; Nishida, S.; Kitasato, H.; Sakata, N.; Kawai, S. Cyclooxygenase-1 and cyclooxygenase-2 selectivity of non-steroidal anti-inflammatory drugs: investigation using human peripheral monocytes. J. Pharm. Pharmacol. 2001, 53(12), 1679–1685. [Google Scholar] [CrossRef]
- Roberts, J.S.; Ma, C.; Robertson, S.Y.T.; Kang, S.; Han, C.S.; Deng, S.X.; Zheng, J.J. R-etodolac is a more potent Wnt signaling inhibitor than enantiomer, S-etodolac. Biochem. Biophys. Rep. 2022, 30(101231), 101231. [Google Scholar] [CrossRef]
- (S/f-c). Medchemexpress.com. Available online: https://www.medchemexpress.com/etodolac.html (accessed on 18 January 2026).
- Etodolac, *!!! REPLACE !!!*. (s/f). Axonmedchem.com. Available online: https://www.axonmedchem.com/product/3451 (accessed on 18 January 2026).
- S/f-d). Abcam.com. Available online: https://www.abcam.com/en-mx/products/biochemicals/etodolac-cox-2-inhibitor-nsaid-ab141086 (accessed on 22 February 2024).
- (s/f-b). Glpbio.com. Available online: https://www.glpbio.com/sp/etodolac.html (accessed on 18 January 2026).
- Cheng, Z.; Nolan, A.M.; McKellar, Q.A. Measurement of cyclooxygenase inhibition in vivo: a study of two non-steroidal anti-inflammatory drugs in sheep. Inflammation 1998, 22(4), 353–366. [Google Scholar] [CrossRef] [PubMed]
- Beretta, C.; Garavaglia, G.; Cavalli, M. COX-1 and COX-2 inhibition in horse blood by phenylbutazone, flunixin, carprofen and meloxicam: an in vitro analysis. Pharmacol. Res. 2005, 52(4), 302–306. [Google Scholar] [CrossRef] [PubMed]
- Sivakumar, P.; Doble, M. COX-2 enzyme and its inhibitors. Curr. Bioact. Compd. 2006, 2(2), 161–178. [Google Scholar] [CrossRef]
- Riendeau, D.; Percival, M.D.; Boyce, S.; Brideau, C.; Charleson, S.; Cromlish, W.; Ethier, D.; Evans, J.; Falgueyret, J.P.; Ford-Hutchinson, A.W.; Gordon, R.; Greig, G.; Gresser, M.; Guay, J.; Kargman, S.; Léger, S.; Mancini, J.A.; O’Neill, G.; Ouellet, M.; Chan, C.-C. Biochemical and pharmacological profile of a tetrasubstituted furanone as a highly selective COX-2 inhibitor. Br. J. Pharmacol. 1997, 121(1), 105–117. [Google Scholar] [CrossRef]
- flurbiprofen (CAS 5104-49-4). (s/f). Caymanchem.com. Available online: https://www.caymanchem.com/product/70250 (accessed on 18 January 2026).
- (S)-Flurbiprofen. (s/f). Apexbt.com. Available online: https://www.apexbt.com/s-flurbiprofen.html (accessed on 18 January 2026).
- (S/f-c). Medchemexpress.com. Available online: https://www.medchemexpress.com/flubiprofen.html (accessed on 18 January 2026).
- (S/f-f). Tocris.com. Available online: https://www.tocris.com/products/flurbiprofen_1769 (accessed on 18 January 2026).
- (S/f-c). Medchemexpress.com. Available online: https://www.medchemexpress.com/ibuprofen.html (accessed on 18 January 2026).
- (S/f-g). Selleckchem.com. Available online: https://www.selleckchem.com/products/Ibuprofen(Advil).html (accessed on 18 January 2026).
- Dvorakova, M.; Langhansova, L.; Temml, V.; Pavicic, A.; Vanek, T.; Landa, P. Synthesis, inhibitory activity, and in silico modeling of selective COX-1 inhibitors with a quinazoline core. ACS Med. Chem. Lett. 2021, 12(4), 610–616. [Google Scholar] [CrossRef] [PubMed]
- (S/f-h). Selleckchem.com. Available online: https://www.selleckchem.com/products/Indomethacin(Indocid).html (accessed on 18 January 2026).
- (S/f-c). Medchemexpress.com. Available online: https://www.medchemexpress.com/Indomethacin.html (accessed on 18 January 2026).
- (S/f). Caymanchem.com. Available online: https://www.caymanchem.com/product/16407/(s)-ketoprofen. (accessed on 20 January 2026).
- (S/f). Glpbio.com. Available online: https://www.glpbio.com/sp/s-ketoprofen.html (accessed on 20 January 2026).
- (S/f-i). Medchemexpress.com. Available online: https://www.medchemexpress.com/S-__addition__-Ketoprofen.html?locale=es-ES (accessed on 20 January 2026).
- Rao, R.; Kumar, R.; Sarwal, A.; Sinha, V.R. Ocular Inflammation and NSAIDs: An Overview with Selective and Non-Selective COX Inhibitors. p. Corpus ID: 40708527. Available online: https://thepharmstudent.com/issue_2015/8.Rao_et_al.pdf?i=1 (accessed on 20 January 2026).
- Gouda, A.M.; Ali, H.I.; Almalki, W.H.; Azim, M.A.; Abourehab, M.A.S.; Abdelazeem, A.H. Design, synthesis, and biological evaluation of some novel pyrrolizine derivatives as COX inhibitors with anti-inflammatory/analgesic activities and low ulcerogenic liability. Molecules 2016, 21(2), 201. [Google Scholar] [CrossRef]
- Waterbury, L.D.; Silliman, D.; Jolas, T. Comparison of cyclooxygenase inhibitory activity and ocular anti-inflammatory effects of ketorolac tromethamine and bromfenac sodium. Curr Med Res Opin. 2006, 22(6), 1133–1140. [Google Scholar] [CrossRef] [PubMed]
- (S/f-j). Selleckchem.com. Available online: https://www.selleckchem.com/products/Ketorolac-Tromethamine(Toradol).html (accessed on 20 January 2026).
- (S/f-k). Medchemexpress.com. Available online: https://www.medchemexpress.com/ketorolac-d5.html?locale=es-ES (accessed on 20 January 2026).
- (S/f). Caymanchem.com. Available online: https://www.caymanchem.com/product/11348/(s)-ketorolac (accessed on 20 January 2026).
- Krzyżak, E.; Szkatuła, D.; Wiatrak, B.; Gębarowski, T.; Marciniak, A. Synthesis, Cyclooxygenases Inhibition Activities, and Interactions with BSA of N-substituted 1H-pyrrolo[3,4-c]pyridine-1,3(2H)-diones Derivatives. Molecules 2020, 25(12), 2934. [Google Scholar] [CrossRef]
- Chan, C.C.; Boyce, S.; Brideau, C.; Charleson, S.; Cromlish, W.; Ethier, D.; Evans, J.; Ford-Hutchinson, A.W.; Forrest, M.J.; Gauthier, J.Y.; Gordon, R.; Gresser, M.; Guay, J.; Kargman, S.; Kennedy, B.; Leblanc, Y.; Leger, S.; Mancini, J.; O’Neill, G.P.; Oullet, M.; Patrick, D.; Percival, M.D.; Perrier, H.; Pasit, P.; Rodger, I.; et al. Rofecoxib [Vioxx, MK-0966; 4-(4-Methylsulfonylphenyl)-3- phenyl-2-(5H)-furanone]: A Potent and Orally Active Cyclooxygenase-2 Inhibitor. J Pharmacol Exp Ther. 1999, 290(2), 551–560. [Google Scholar] [CrossRef] [PubMed]
- Escolar, M.; Sádaba, B.; Honorato, J. Meloxicam. Revista De Medicina De La Universidad De Navarra 2017, 41(2), 51–55. [Google Scholar] [CrossRef]
- Hinz, B.; Cheremina, O.; Besz, D.; Zlotnick, S.; Brune, K. Impact of naproxen sodium at over-the-counter doses on cyclooxygenase isoforms in human volunteers. Int. J. Clin. Pharmacol. Ther. 2008, 46(4), 180–186. [Google Scholar] [CrossRef]
- Duggan, K.C.; Walters, M.J.; Musee, J.; Harp, J.M.; Kiefer, J.R.; Oates, J.A.; Marnett, L.J. Molecular basis for cyclooxygenase inhibition by the non-steroidal anti-inflammatory drug naproxen. J. Biol. Chem. 2010, 285(45), 34950–9. [Google Scholar] [CrossRef]
- (S/f-p). Selleckchem.com. Available online: https://www.selleckchem.com/datasheet/Naproxen-Sodium(Aleve)-S162601-DataSheet.html (accessed on 20 January 2026).
- (S/f-q). Medchemexpress.com. Available online: https://www.medchemexpress.com/Naproxen.html?locale=es-ES (accessed on 20 January 2026).
- (S/f). Scbt.com. Available online: https://www.scbt.com/es/p/naproxen-22204-53-1 (accessed on 20 January 2026).
- Franzone, J.S.; Natale, T.; Cirillo, R. Effect of a new anti-inflammatory drug (oxametacine) on the prostaglandin biosynthesis. Farmaco Sci. 1980, 35(6), 498–503. [Google Scholar] [PubMed]
- Vergin, H.; Ferber, H.; Brunner, F.; Kukovetz, W.R. Pharmakokinetik und Biotransformation von Oxametacin bei gesunden Probanden [Pharmacokinetics and biotransformation of oxametacine in healthy volunteers (author's transl)]. In Arzneimittelforschung; German, 1981; Volume 31, 3, pp. 513–518. [Google Scholar] [PubMed]
- Mitchell, J. A.; Akarasereenont, P.; Thiemermann, C.; Flower, R. J.; Vane, J. R. Selectivity of nonsteroidal antiinflammatory drugs as inhibitors of constitutive and inducible cyclooxygenase. PNAS 1993, 90(24), 11693–11697. [Google Scholar] [CrossRef]
- Botting, R.M.; Harvey, T.W.; Vane, J.R. Inhibitors of cyclooxygenases: mechanisms, selectivity and uses. J. Physiol. Pharmacol. 2006, 57 Suppl 5, 113–24. [Google Scholar] [PubMed]
- Liedtke, A.J.; Crews, B.C.; Daniel, C.M.; Blobaum, A.L.; Kingsley, P.J.; Ghebreselasie, K.; Marnett, L.J. Cyclooxygenase-1-Selective Inhibitors Based on the (E)-2′-Des-methyl-sulindac Sulfide Scaffold. J. Med. Chem. 2012, 55(5), 2287–2300. [Google Scholar] [CrossRef]
- Tinsley, H.N.; Mathew, B.; Chen, X.; Maxuitenko, Y.Y.; Li, N.; Lowe, W.M.; Whitt, J.D.; Zhang, W.; Gary, B.D.; Keeton, A.B.; Grizzle, W.E.; Grubbs, C.J.; Reynolds, R.C.; Piazza, G.A. Novel non-cyclooxygenase inhibitory derivative of sulindac inhibits breast cancer cell growth in vitro and reduces mammary tumorigenesis in rats. Cancers 2023, 15(3), 646. [Google Scholar] [CrossRef]
- Vitale, P.; Panella, A.; Scilimati, A.; Perrone, M.G. COX-1 inhibitors: Beyond structure toward therapy. Med. Res. Rev. 2016, 36(4), 641–671. [Google Scholar] [CrossRef] [PubMed]
- Giuliano, F.; Warner, T.D. Ex vivo assay to determine the cyclooxygenase selectivity of non-steroidal anti-inflammatory drugs. Br. J. Pharmacol. 1999, 126(8), 1824–1830. [Google Scholar] [CrossRef]
- (S/f-m). Medchemexpress.com. Available online: https://www.medchemexpress.com/tolmetin.html?locale=es-ES (accessed on 20 January 2026).
- (S/f). Targetmol.com. Available online: https://www.targetmol.com/compound/Tolmetin (accessed on 20 January 2026).
- (S/f). Caymanchem.com. Available online: https://www.caymanchem.com/product/18195 (accessed on 20 January 2026).
- (S/f). Cambridge Bioscience Limited. Available online: https://www.bioscience.co.uk/product~98035 (accessed on 22 January 2026).
- (S/f). Caymanchem.com. Available online: https://www.caymanchem.com/product/70650/niflumic-acid. (accessed on 22 January 2026).
- S/f. Laboratory Chemicals-FUJIFILM Wako Chemicals U.S.A. Corporation. Available online: https://labchem-wako.fujifilm.com/us/product/detail/W01W0114-0734.html (accessed on 22 January 2026).
- Kim, B.M.; Maeng, K.; Lee, K.-H.; Hong, S.H. Combined treatment with the Cox-2 inhibitor niflumic acid and PPARγ ligand ciglitazone induces ER stress/caspase-8-mediated apoptosis in human lung cancer cells. Cancer Lett. 2011, 300(2), 134–144. [Google Scholar] [CrossRef] [PubMed]
- Rao, P.; Knaus, E.E. Evolution of nonsteroidal anti-inflammatory drugs (NSAIDs): cyclooxygenase (COX) inhibition and beyond. J. Pharm. Pharm. Sci. 2008, 11(2), 81s–110s. [Google Scholar] [CrossRef] [PubMed]
- Journal of Chemical Software, Vol.5, No.3 (1999). (s. f.). Available online: https://www.sccj.net/CSSJ/jcs/v5n4/a2/text.html (accessed on 22 January 2026).
- Vishwakarma, R.; Negi, D.S. The development of COX-1 and COX-2 inhibitors: A review. Int. J. Pharm. Sci. Res. 2020, 11(8), 3544–3555. [Google Scholar]
- (S/f). Medchemexpress.com. Available online: https://www.medchemexpress.com/niflumic-acid.html?locale=es-ES (accessed on 22 January 2026).
- Kucherenko, Y.V.; Lang, F. Niflumic acid affects store-operated Ca2+-permeable (SOC) and Ca2+-dependent K+ and Cl− ion channels and induces apoptosis in K562 cells. J. Membr. Biol. 2014, 247(7), 627–638. [Google Scholar] [CrossRef]
- El-Dash, Y.; Khalil, N.A.; Ahmed, E.M.; Hassan, M.S.A. Synthesis and biological evaluation of new nicotinate derivatives as potential anti-inflammatory agents targeting COX-2 enzyme. Bioorg. Chem. 2021, 107, 104610. [Google Scholar] [CrossRef]
- Gomaa, M.; Gad, W.; Hussein, D.; Pottoo, F.H.; Tawfeeq, N.; Alturki, M.; Alfahad, D.; Alanazi, R.; Salama, I.; Aziz, M.; Zahra, A.; Hanafy, A. Sulfadiazine exerts potential anticancer effect in HepG2 and MCF7 cells by inhibiting TNFα, IL1b, COX-1, COX-2, 5-LOX gene expression: Evidence from in vitro and computational studies. Pharmaceuticals 2024, 17(2), 189. [Google Scholar] [CrossRef]
- Bertolini, A.; Ottani, A.; Sandrini, M. Selective COX-2 inhibitors and dual acting anti-inflammatory drugs: Critical remarks. Curr. Med. Chem. 2002, 9(10), 1033–1043. [Google Scholar] [CrossRef] [PubMed]
- Khan, M.N.; Parmar, D.K.; Das, D. Recent applications of azo dyes: A paradigm shift from medicinal chemistry to biomedical sciences. Mini-Rev. Med. Chem. 2021, 21(9), 1071–1084. [Google Scholar] [CrossRef] [PubMed]
- Blanca-López, N.; Soriano, V.; Martin, E.G.; Canto, G.; Blanca, M. NSAID-induced reactions: classification, prevalence, impact, and management strategies. J. Asthma Allergy. 2019, 12, 217–233. [Google Scholar] [CrossRef]
- ChemDraw Prime. Versión 17.1; PerkinElmer, 2018. [Google Scholar]
- PubChem. (s. f.). PubChem. PubChem. Available online: https://pubchem.ncbi.nlm.nih.gov/.
- Dennington, R; Keith, T.A.; Millam, J.M. GaussView; version 6.1. In Semichem Inc.; Shawnee Mission, KS, 2016. [Google Scholar]
- Gaussian, Inc. Wallingford CT, 2016.
- BIOVIA Discovery Studio 2024, v2024.
- Agatonovic-Kustrin, S.; Chan, C.K.Y.; Gegechkori, V.; Morton, D.W. Models for skin and brain penetration of major components from essential oils used in aromatherapy for dementia patients. J. Biol. Struct. Dyn. 2019, 38(8), 2402–2411. [Google Scholar] [CrossRef]
- Kragh, H. The Lorenz-Lorentz Formula: Origin and Early History. Substantia 2018, 2(2), 7–18. [Google Scholar] [CrossRef]
- Molinspiration Cheminformatics. Available online: https://www.molinspiration.com/.
- Spartan ’14, Version 1.2.0; Wavefunction, Inc.: Irvine, CA, USA, 2014.
- Leo, A.; Hansch, C.; Elkins, D. Partition coefficients and their uses. Chem. Rev. 1971, 71(6), 525–616. [Google Scholar] [CrossRef]
- Plachká, K.; Pilařová, V.; Gazárková, T.; Švec, F.; Garrigues, J.; Nováková, L. Advancing Fundamental Understanding of Retention Interactions in Supercritical Fluid Chromatography Using Artificial Neural Networks: Polar Stationary Phases with –OH Moieties. Anal. Chem. 2024, 96(31), 12748–12759. [Google Scholar] [CrossRef]
- Miar, M.; Shiroudi, A.; Pourshamsian, K.; Oliaey, A.R.; Hatamjafari, F. Theoretical investigations on the HOMO–LUMO gap and global reactivity descriptor studies, natural bond orbital, and nucleus-independent chemical shifts analyses of 3-phenylbenzo[d]thiazole-2(3H)-imine and its para-substituted derivatives: Solvent and substituent effects. J. Chem. Res. Synop. 2021, 45, 147–158. [Google Scholar] [CrossRef]
- Domingo, L.R.; Ríos-Gutiérrez, M.; Pérez, P. Applications of the Conceptual Density Functional Theory Indices to Organic Chemistry Reactivity. Molecules 2016, 21(6), 748. [Google Scholar] [CrossRef] [PubMed]
- Talavera-Piña, J.O.; Antonio-Ocampo, A.; Castellanos-Olivares, A.; Wacher-Rodarte, N.H. Regresión lineal simple. Rev. Med. IMSS 1995, 33(3), 347–51. [Google Scholar]
- Madroñero, D.M.; Mondragón, E.I.; Vergel-Ortega, M. Análisis estadístico para validar parámetros de modelos matemáticos por medio método de mínimos cuadrados. Revista Boletín Redipe 2021, 10(5), 343–359. [Google Scholar] [CrossRef]
- Morán-Díaz, J.R.; Jiménez-Vázquez, H.A.; Gómez-Pliego, R.; Arellano-Mendoza, M.G.; Quintana-Zavala, D.; Guevara-Salazar, J.A. Correlation study of antibacterial activity and spectrum of penicillins through a structure-activity relationship analysis. Med. Chem. Res. 2019, 28, 1529–1546. [Google Scholar] [CrossRef]
- Morán-Díaz, J.R.; Neveros-Juárez, F.; Arellano-Mendoza, M.G.; Quintana-Zavala, D.; Lara-Salazar, O.; Trujillo-Ferrara, J.G.; Guevara-Salazar, J.A. QSAR analysis of five generations of cephalosporins to establish the structural basis of activity against methicillin-resistant and methicillin-sensitive Staphylococcus aureus. Mol. Divers. 2024, 28(5), 3027–3043. [Google Scholar] [CrossRef] [PubMed]
- SigmaPlot, Version 15.0; Systat Software, Inc.: San Jose, CA, USA, 2020.
- Schüürmann, G.; Ebert, R.; Chen, J.; Wang, B.; Kühne, R. External Validation and Prediction Employing the Predictive Squared Correlation Coefficient — Test Set Activity Mean vs Training Set Activity Mean. J. Chem. Inf. Model. 2008, 48(11), 2140–2145. [Google Scholar] [CrossRef] [PubMed]







![]() |
|||
|---|---|---|---|
| Propionate | Position 3, χ | Position 4, χ | χ sum |
| NAP | C, 2.55 | C, 2.55 | 5.10 |
| IBU | H, 2.20 | C, 2.55 | 4.75 |
| KP | C=O, 2.55-3.44 | H, 2.20 | 5.19 |
| FEN | O, 3.44 | H, 2.20 | 5.64 |
| FP | F, 3.98 | C, 2.55 | 6.53 |
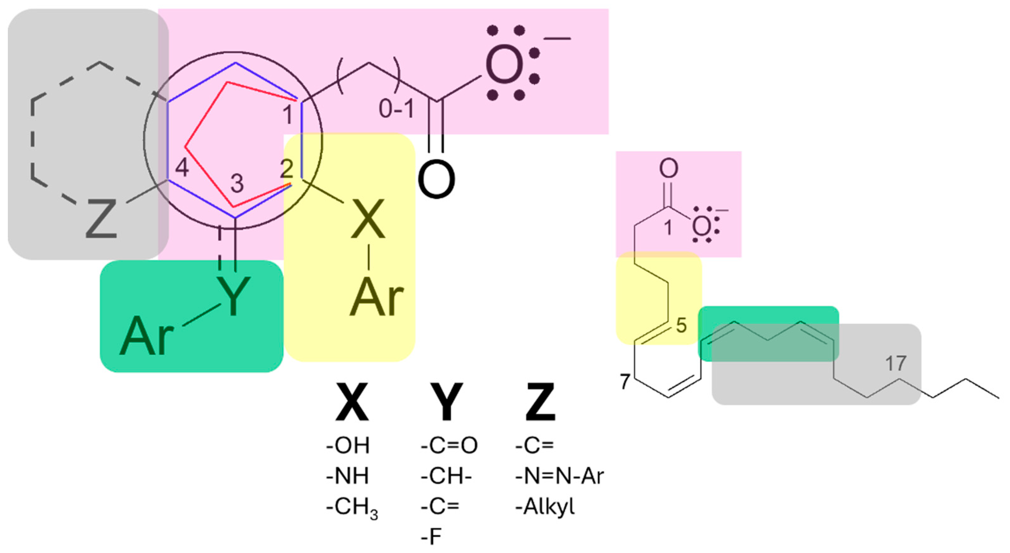
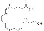
| PHARMACOPHORIC STRUCTURE OF NSAIDs ON COX-1 AND COX-2 | ||||
| Guide moiety | Accessory moiety | |||
| NSAIDs | ||||
| Carboxylate | Aryl contains carboxylate | Position 2 | Position 3 | Position 4 |
| Ser119, Arg120, Tyr355, Ser530 | Val349, Ala527, Ile523 (COX-1), Val523 (COX-2) | Phe381, Phe518, Tyr385, Trp387, Ala527 |
Leu352, Tyr385, Ile523 (COX-1), Val523 (COX-2), Ala527 |
Val349, Leu352, Tyr385, Trp387, Met522, Ile523 (COX-1), Val523 (COX-2), Ala527 |
Arachidonic acid
| ||||
| 1: Arg120, Tyr355 | 1-5: Val349, Ala527, Ser353, Ile523 (COX-1) | 7-17: Leu352, Phe381, Tyr385, Met522 | ||
Disclaimer/Publisher’s Note: The statements, opinions and data contained in all publications are solely those of the individual author(s) and contributor(s) and not of MDPI and/or the editor(s). MDPI and/or the editor(s) disclaim responsibility for any injury to people or property resulting from any ideas, methods, instructions or products referred to in the content. |
© 2026 by the authors. Licensee MDPI, Basel, Switzerland. This article is an open access article distributed under the terms and conditions of the Creative Commons Attribution (CC BY) license (http://creativecommons.org/licenses/by/4.0/).


