Submitted:
31 January 2026
Posted:
03 February 2026
You are already at the latest version
Abstract
Keywords:
1. Introduction


2. Materials and Methods
2.1. Reliability Integral Theory (RIT)
2.2. Availability Integral Theory (AIT)

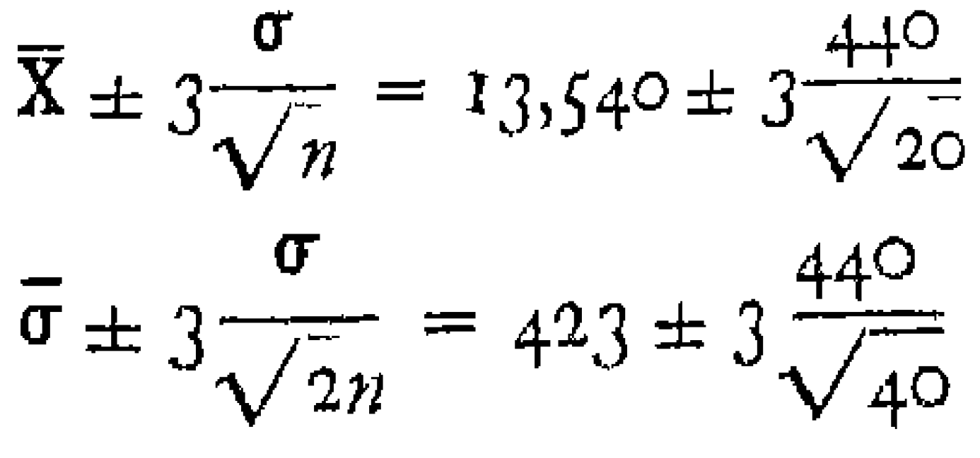
2.3. Statistics and RIT
- a)
- Two points out of the Control Limits, and
- b)
- The points from 8 to 30 have a mean larger than the mean of the first seven points
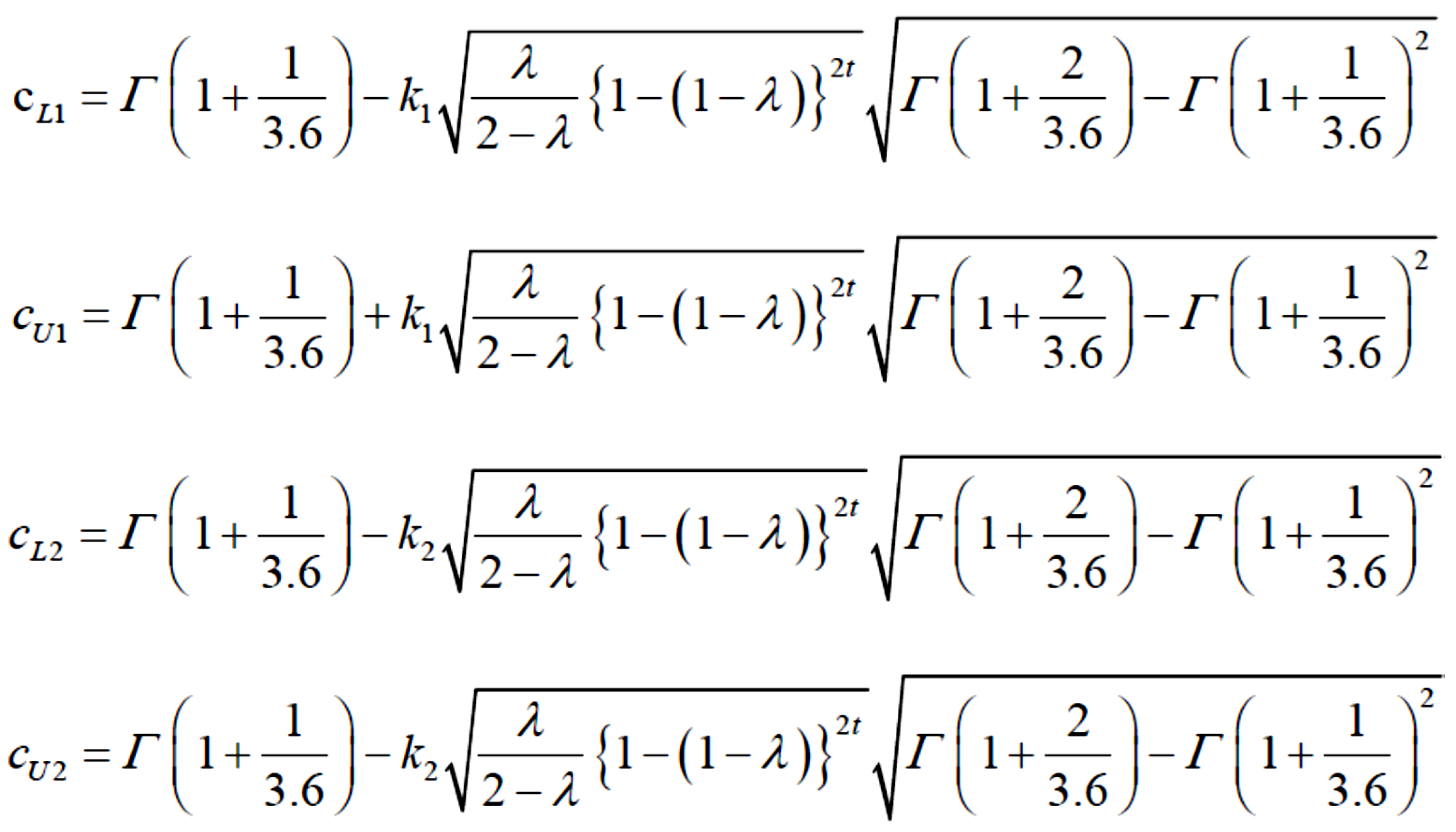
2.4. Control Charts for Process Management





2.5. Control Charts for TBE Data






3. Results

3.1. Some Papers from the “Garden … [52]”
| 69.80 | 69.50 | 68.80 | 70.90 | 69.20 | 70.40 | 71.00 | 71.30 | 70.00 | 70.10 |
| 72.10 | 69.90 | 70.10 | 70.30 | 71.20 | 70.80 | 70.70 | 69.95 | 71.20 | 71.35 |
| 71.35 | 69.90 | 70.25 | 70.50 | 70.28 | 71.30 | 70.20 | 70.35 | 70.15 | 70.10 |










3.2. RIT and the Duane Method (Prediction of the “Future Failure Rate”)









4. Discussion and Conclusions

Funding
Data Availability Statement
Acknowledgments
Conflicts of Interest
Abbreviations
| LCL, UCL | Control Limits of the Control Charts (CCs) |
| L, U | Probability Limits related to a probability 1-α |
| θ | Parameter of the Exponential Distribution |
| θL-----θU | Confidence Interval of the parameter θ |
| RIT | Reliability Integral Theory |
| Prediction | Result of application of RIT, both for Reliability, Availability, Mean Number of Failures M(t), Duane method (proving its nonsense), … |
Appendix A
References
- Saaty, T. (1969) Mathematical Methods of Operations Research, McGraw-Hill.
- Saaty, T., Bram, J. (1964) Nonlinear Mathematics, McGraw-Hill.
- Bellman, R. (1970) Introduction to Matrix Analysis, 2nd ed., McGraw-Hill.
- Various Authors, (1970) Reference Data For Radio Engineers, ITT, Sams H. & Co.
- Åström, K., Murray, R. (2010). Feedback Systems: An Introduction for Scientists and Engineers. Princeton University Press.
- Zadeh, L. Polak, E. (1969) System Theory, McGraw-Hill.
- Papoulis, A. (1991) Probability, Random Variables and Stochastic Processes, 3rd Ed. McGraw-Hill.
- Journals: Quality and Reliability Engineering International, Quality Engineering,, Reliability Engineering and System Safety, IIE Transactions, Quality Technology and Quantitative Management, Quality & Quantity, J. of Applied Statistics, J. of Quality Technology, J. of Statistical Planning and Inference, J. of Statistical Computation and Simulation, International J. of Production Research, J. of the American Statistical Association, International J. for Quality Research, J. of Quality Technology, J. of Statistical Theory and Practice, J. of Statistical Theory and Applications, J. of Applied Probability and Statistics, International J. of Advanced Manufacturing Technology, J. of Systems Science and Information, European J. of Operational Research, J. of Nonparametric Statistics, J, of the Japanese Society of Computational Statistics, Communications in Statistics - Simulation and Computation, Statistics and Probability Letters, Communications in Statistics - Theory and Methods, Computational Statistics, Computational Statistics & Data Analysis,.
- Belz, M. Statistical Methods in the Process Industry: McMillan; 1973.
- Casella, Berger, Statistical Inference, 2nd edition: Duxbury Advanced Series; 2002.
- Cramer, H. Mathematical Methods of Statistics: Princeton University Press; 1961.
- Deming W. E., Out of the Crisis, Cambridge University Press; 1986.
- Deming W. E., The new economics for industry, government, education: Cambridge University Press; 1997.
- Dore, P., (1962) Introduzione al Calcolo delle Probabilità e alle sue applicazioni ingegneristiche, Casa Editrice Pàtron, Bologna.
- Juran, J., Quality Control Handbook, 4th, 5th ed.: McGraw-Hill, New York: 1988-98.
- Kendall, Stuart, (1961) The advanced Theory of Statistics, Volume 2, Inference and Relationship, Hafner Publishing Company.
- Meeker, W., Hahn, G.., Escobar, L. Statistical Intervals: A Guide for Practitioners and Researchers. John Wiley & Sons. 2017.
- Mood, Graybill, Introduction to the Theory of Statistics, 2nd ed.: McGraw Hill; 1963.
- Rao, C. R., (1965) Linear Statistical Inference and its Applications, Wiley & Sons.
- Rozanov, Y., (1975) Processus Aleatoire, Editions MIR, Moscow, (traduit du russe).
- Ryan, T. P., (1989) Statistical Methods for Quality Improvement, Wiley & Sons.
- Shewhart W. A., (1931) Economic Control of Quality of Manufactured Products, D. Van Nostrand Company.
- Shewhart W.A., (1936) Statistical Method from the Viewpoint of Quality Control Graduate School, Washington.
- D. J. Wheeler, “The normality myth”, Online available from Quality Digest.
- D. J. Wheeler, “Probability limits”, Online available from Quality Digest.
- D. J. Wheeler, “Are you sure we don’t need normally distributed data?” Online available from Quality Digest.
- D. J. Wheeler, “Phase two charts and their Probability limits”, Online available from Quality Digest.
- Feller, W. (1967) An Introduction to Probability Theory and its Applications, Vol. 1, 3rd Ed. Wiley.
- Feller, W. (1965) An Introduction to Probability Theory and its Applications, Vol. 2, Wiley.
- Parzen, E. (1999) Stochastic Processes, Society for Industrial and Applied Mathematics.
- Jones, P., Smith, P. (2018) Stochastic Processes An Introduction, 3rd Ed. CRC Press.
- Knill, O. (2009) Probability Theory and Stochastic Processes with Applications, Overseas Press.
- Shannon, Weaver (1949) The Mathematical Theory of Communication, University of Illinois Press.
- Galetto, F., (1981, 84, 87, 94) Affidabilità Teoria e Metodi di calcolo, CLEUP editore, Padova (Italy).
- Galetto, F., (1982, 85, 94) “Affidabilità Prove di affidabilità: distribuzione incognita, distribuzione esponenziale”, CLEUP editore, Padova (Italy).
- Galetto, F., (1995/7/9) Qualità. Alcuni metodi statistici da Manager, CUSL, Torino (Italy).
- Galetto, F., (2010) Gestione Manageriale della Affidabilità”, CLUT, Torino (Italy).
- Galetto, F., (2015) Manutenzione e Affidabilità, CLUT, Torino (Italy).
- Galetto, F., (2016) Reliability and Maintenance, Scientific Methods, Practical Approach”, Vol-1, www.morebooks.de.
- Galetto, F., (2016) Reliability and Maintenance, Scientific Methods, Practical Approach”, Vol-2, www.morebooks.de.
- Galetto, F., (2015) Hope for the Future: Overcoming the DEEP Ignorance on the CI (Confidence Intervals) and on the DOE (Design of Experiments, Science J. Applied Mathematics and Statistics. Vol. 3, No. 3, pp. 70-95, doi: 10.11648/j.sjams.20150303.12.
- Galetto, F., 2019, Statistical Process Management, ELIVA press ISBN 9781636482897.
- Galetto, F., (1989) Quality of methods for quality is important, EOQC Conference, Vienna,.
- Galetto, F., (2015) Management Versus Science: Peer-Reviewers do not Know the Subject They Have to Analyse, Journal of Investment and Management. Vol. 4, No. 6, pp. 319-329, doi: 10.11648/j.jim.20150406.15.
- Galetto, F., (2015) The first step to Science Innovation: Down to the Basics., Journal of Investment and Management. Vol. 4, No. 6, pp. 319-329, doi: 10.11648/j.jim.20150406.15.
- Galetto F., (2021) Minitab T charts and quality decisions, Journal of Statistics and Management Systems, DOI: 10.1080/09720510.2021.1873257.
- Galetto, F., (2012) Six Sigma: help or hoax for Quality?, 11th Conference on TQM for HEI, Israel.
- Galetto, F., (2020) Six Sigma_Hoax against Quality_Professionals Ignorance and MINITAB WRONG T Charts, HAL Archives Ouvert, 2020.
- Galetto, F., (2021) Control Charts for TBE and Quality Decisions, submitted.
- Galetto F. (2022), “Affidabilità per la manutenzione per la disponibilità”, tab edezioni, Roma (Italy), ISBN 978-88-92-95-435-9, www.tabedizioni.it.
- Galetto F. (2021) ASSURE: Adopting Statistical Significance for Understanding Research and Engineering, Journal of Engineering and Applied Sciences Technology, ISSN: 2634 – 8853, 2021 SRC/JEAST-128. DOI: https: //doi.org/ 10.47363/ JEAST/ 2021(3)118.
- Galetto, F., (2022), The Garden of Flowers by Incompetents, Academia.edu.
- Galetto F. (2023) Control Charts, Scientific Derivation of Control Limits and Average Run Length, International Journal of Latest Engineering Research and Applications (IJLERA) ISSN: 2455-7137 Volume – 08, Issue – 01, January 2023, PP – 11-45.
- Galetto, F., (1999) GIQA the Golden Integral Quality Approach: from Management of Quality to Quality of Management, Total Quality Management (TQM), Vol. 10, No. 1.
- Galetto, F., (2004) Six Sigma Approach and Testing, ICEM12 –12th International Conference on Experimental Mechanics, 2004, Bari Politecnico (Italy).
- Galetto, F., (2006) Quality Education and quality papers, IPSI, Marbella (Spain).
- Galetto, F., (2006) Quality Education versus Peer Review, IPSI, Montenegro.
- Galetto, F., (2006) Does Peer Review assure Quality of papers and Education? 8th Conference on TQM for HEI, Paisley (Scotland).
- Montgomery D., (1996, 2009, 2011) Introduction to Statistical Quality Control, Wiley & Sons (wrong definition of the term “Quality”, and many other drawbacks in wrong applications).
- Montgomery D., (2019) “Introduction to Statistical Quality Control”, 8th Wiley & Sons.
- Galetto, F., “Design Of Experiments and Decisions, Scientific Methods, Practical Approach”, 2016, www.morebooks.de.
- Galetto, F., “The Six Sigma HOAX versus the versus the Golden Integral Quality Approach LEGACY”, 2017, www.morebooks.de.
- Galetto, F., “Quality Education on Quality for Future Managers”, 1st Conference on TQM for HEI (Higher Education Institutions), 1998, Toulone (France).
- Galetto, F., “Quality Education for Professors teaching Quality to Future Managers”, 3rd Conference on TQM for HEI, 2000, Derby (UK).
- Galetto, F., “Quality, Bayes Methods and Control Charts”, 2nd ICME 2000 Conference, 2000, Capri (Italy).
- Galetto, F., “Looking for Quality in “quality books”, 4th Conference on TQM for HEI, 2001, Mons (Belgium).
- Galetto, F., “Quality and Control Carts: Managerial assessment during Product Development and Production Process”, AT&T (Society of Automotive Engineers), 2001, Barcelona (Spain).
- Galetto, F., “Quality QFD and control charts: a managerial assessment during the product development process”, Conference ATA, 2001, Florence (Italy).
- Galetto, F., “Business excellence Quality and Control Charts”, 7th TQM Conference, 2002, Verona (Italy).
- Galetto, F., “Fuzzy Logic and Control Charts”, 3rd ICME 2002 Conference, Ischia (Italy).
- Galetto, F., “Analysis of “new” control charts for Quality assessment”, 5th Conference on TQM for HEI, 2002, Lisbon (Portugal).
- Galetto, F., “The Pentalogy, VIPSI, 2009, Belgrade (Serbia).
- Galetto, F., The Pentalogy Beyond, 9th Conference on TQM for HEI, 2010, Verona (Italy).
- Galetto, F., (2021) ASSURE: Adopting Statistical Significance for Understanding Research and Engineering. Journal of Engineering and Applied Sciences Technology. SRC/JEAST-128. DOI: https://doi.org/10.47363/JEAST/2021(3)118.
- Galetto, F., (2024), News on Control Charts for JMP, Academia.edu.
- Galetto, F., Papers and Documents in Academia.edu, 2015-2025.
- Galetto, F., Several Papers and Documents in the Research Gate Database, 2014.
- Giordani, A., (2011), Lezioni di Filosofia della Scienza, EduCatt, ISBN 978-88-8311-787-9.

















| failure | 1 | 2 | 3 | 4 | 5 | 6 | 7 | 8 |
| time_cum (s) | 33 | 76 | 145 | 347 | 555 | 811 | 1212 | 1499 |
Disclaimer/Publisher’s Note: The statements, opinions and data contained in all publications are solely those of the individual author(s) and contributor(s) and not of MDPI and/or the editor(s). MDPI and/or the editor(s) disclaim responsibility for any injury to people or property resulting from any ideas, methods, instructions or products referred to in the content. |
© 2026 by the authors. Licensee MDPI, Basel, Switzerland. This article is an open access article distributed under the terms and conditions of the Creative Commons Attribution (CC BY) license (http://creativecommons.org/licenses/by/4.0/).