Submitted:
30 January 2026
Posted:
30 January 2026
You are already at the latest version
Abstract
Keywords:
1. Introduction
2. Related Works
2.1. Method of Moments for Surface Current
2.2. Maehly Approximation
3. Methods
3.1. Architecture of WBRCS-Net
3.2. WBRCS-Net for MoM Solutions
3.3. Training WBRCS-Net for Wideband Frequency and Wide Range Incident Angle
3.4. RCS Computation
4. Experiment Settings
4.1. MoM Configuration
4.2. Data and Training Setting
5. Experiment Results
5.1. Demonstration of WBRCS-Net for MoM
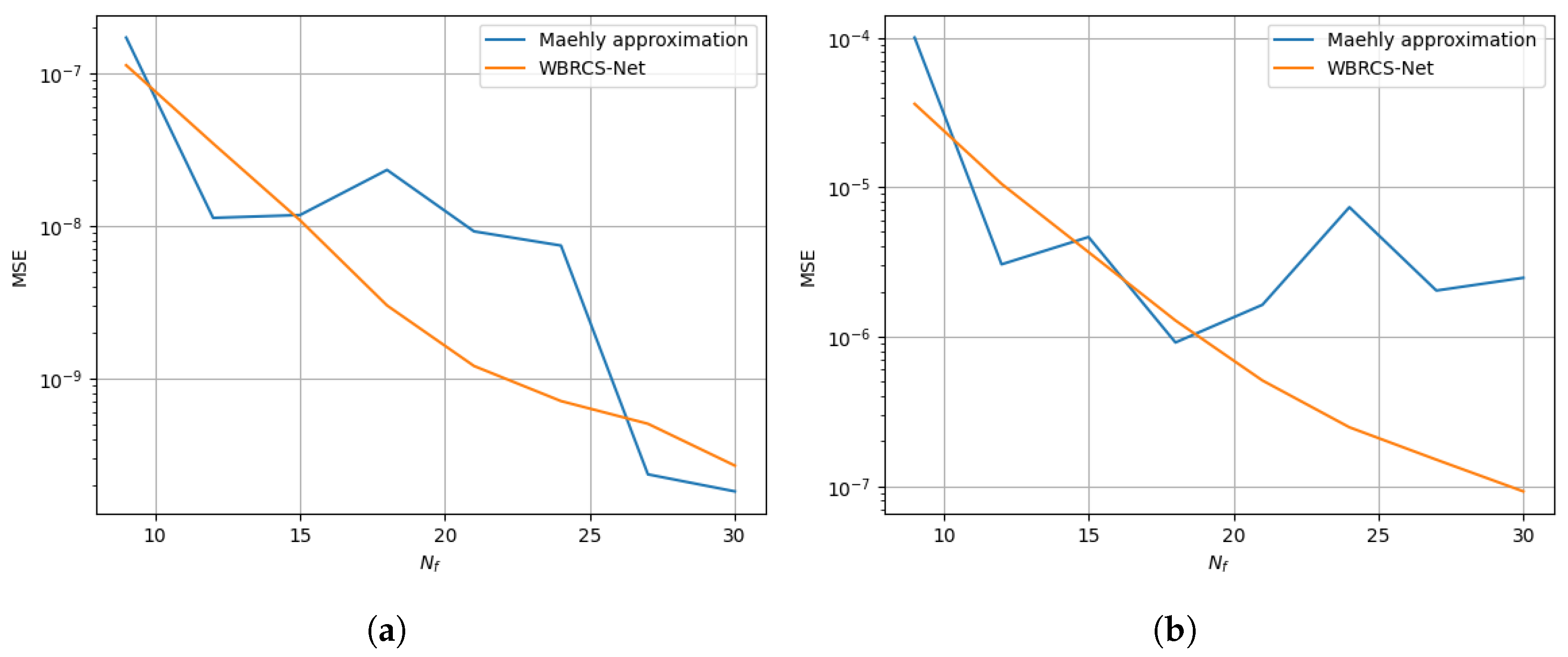
5.2. Wideband RCS Computation on the Sphere
5.3. Wideband RCS Computation on the Cube
5.4. Wideband RCS Computation with Incident Angle on the Cube
6. Conclusions
References
- Gibson, W.C. The Method of Moments in Electromagnetics, 3rd ed.; Chapman and Hall/CRC: Boca Raton, FL, USA, 2021. [Google Scholar] [CrossRef]
- Liu, Z.-H.; Chua, E.K.; See, K.Y. Accurate and efficient evaluation of MoM matrix based on a generalized analytical approach. Prog. Electromagn. Res. 2009, 94, 367–382. [Google Scholar] [CrossRef]
- Sarkar, T.K.; Yang, X.; Arvas, E. A limited survey of various conjugate gradient methods for solving complex matrix equations arising in electromagnetic wave interactions. Wave Motion 1988, 10, 527–546. [Google Scholar] [CrossRef]
- Pocock, M.D.; Walker, S.P. The complex bi-conjugate gradient solver applied to large electromagnetic scattering problems, computational costs, and cost scalings. IEEE Trans. Antennas Propag. 1997, 45, 140–146. [Google Scholar] [CrossRef]
- Newman, E.H. Generation of wide-band data from the method of moments by interpolating the impedance matrix. IEEE Trans. Antennas Propag. 1988, 36, 1820–1824. [Google Scholar] [CrossRef]
- Li, W.; Zhou, H.; Hu, J.; Song, Z.; Hong, W. Accuracy improvement of cubic polynomial inter/extrapolation of MoM matrices by optimizing frequency samples. IEEE Antennas Wireless Propag. Lett. 2011, 10, 888–891. [Google Scholar] [CrossRef]
- Reddy, C.J.; Deshpande, M.D.; Cockrell, K.L.; Beck, G.A. Fast RCS computation over a frequency band using method of moments in conjunction with asymptotic waveform evaluation technique. IEEE Trans. Antennas Propag. 1998, 46, 1229–1233. [Google Scholar] [CrossRef]
- Chen, M.; Wu, X.; Huang, Z.; Sha, W.E.I. Chebyshev approximation for fast frequency-sweep analysis of electromagnetic scattering problem. Chin. J. Electron. 2006, 15, 736–738. Available online: http://hdl.handle.net/10722/148879.
- Chen, M.; Wu, X.; Sha, W.E.I.; Huang, Z. Fast frequency sweep scattering analysis for multiple PEC objects. Appl. Comput. Electromagn. Soc. J. 2007, 22, 250–253. Available online: https://aces-society.org/includes/downloadpaper.php?nf=4dbe68aa89b67796b7c1a2439d954fe5&of=J2007J10.
- Chen, M.; Wu, X.; Huang, Z.; Sha, W.E.I. Accurate computation of wide-band response of electromagnetic scattering problems via Maehly approximation. Microw. Opt. Technol. Lett. 2007, 49, 1144–1146. [Google Scholar] [CrossRef]
- Chen, M.; Wu, X.; Sha, W.E.I.; Huang, Z. Fast and accurate radar cross-section computation over a broad frequency band using the best uniform rational approximation. IET Microw. Antennas Propag. 2008, 2, 200–204. [Google Scholar] [CrossRef]
- Dong, H.-L.; Gong, S.-X.; Zhang, P.-F.; Ma, J.; Zhao, B. Fast and accurate analysis of broadband RCS using method of moments with loop-tree basis functions. IET Microw. Antennas Propag. 2015, 9, 775–780. [Google Scholar] [CrossRef]
- Wang, W.; Wang, H.; Li, Y.; Wang, X.; Fan, Z.; Gong, S. Efficient RCS computation over a broad frequency band using subdomain MoM and Chebyshev approximation technique. IEEE Access 2020, 8, 33522–33531. [Google Scholar] [CrossRef]
- Wang, X.; Gong, H.; Zhang, S.; Liu, Y.; Yang, R.; Liu, C. A hybrid method of adaptive cross approximation algorithm and Chebyshev approximation technique for fast broadband BCS prediction applicable to passive radar detection. Electronics 2023, 12, 295. [Google Scholar] [CrossRef]
- Ling, J.; Gong, S.-X.; Wang, X. A novel two-dimensional extrapolation technique for fast and accurate radar cross section computation. IEEE Antennas Wireless Propag. Lett. 2010, 9, 244–247. [Google Scholar] [CrossRef]
- Li, L.; Hu, J. An efficient second-order neural network model for computing the Moore–Penrose inverse of matrices. IET Signal Processing 2022, 16, 1106–1117. [Google Scholar] [CrossRef]
- Grementieri, L.; Galeone, P. Towards Neural Sparse Linear Solvers. arXiv 2022, arXiv:2203.06944. Available online: https://arxiv.org/abs/2203.06944. [CrossRef]
- Gu, Y.; Ng, M.K. Deep neural networks for solving large linear systems arising from high-dimensional problems. SIAM Journal on Scientific Computing 2023, 45(5), A2356–A2381. [Google Scholar] [CrossRef]
- Zhou, R.; Jiao, D. Efficient neural-network based solution of integral equations for electromagnetic analysis. In Proceedings of the 2024 IEEE International Symposium on Antennas and Propagation and INC/USNC-URSI Radio Science Meeting (AP-S/INC-USNC-URSI 2024), Florence, Italy, 14–19 July 2024; pp. 895–896. [Google Scholar] [CrossRef]
- Rao, S.M.; Wilton, D.R.; Glisson, A.W. Electromagnetic scattering by surfaces of arbitrary shape. IEEE Trans. Antennas Propag. 1982, 30, 409–418. [Google Scholar] [CrossRef]
- Sefi, S. Computational Electromagnetics: Software Development and High Frequency Modeling of Surface Currents on Perfect Conductors. Ph.D. Thesis, KTH Royal Institute of Technology, Stockholm, Sweden, 2005. Available online: http://urn.kb.se/resolve?urn=urn:nbn:se:kth:diva-590.
- Maehly, H.J. Rational approximations for transcendental functions. In Proceedings of the IFIP Congress 1959, Paris, France, 15–20 June 1959; pp. 57–61. Available online: https://unesdoc.unesco.org/ark:/48223/pf0000013303.
- Mason, J.C.; Handscomb, D.C. Chebyshev Polynomials; Chapman and Hall/CRC: Boca Raton, FL, USA, 2002. [Google Scholar] [CrossRef]
- Śmigaj, W.; Betcke, T.; Arridge, S.R.; Phillips, J.; Schweiger, M. Solving boundary integral problems with BEM++. ACM Trans. Math. Softw. 2015, 41, 6:1–6:40. [Google Scholar] [CrossRef]
- Mahafza, B.R. Radar Systems Analysis and Design Using MATLAB, 2nd ed.; Chapman and Hall/CRC: Boca Raton, FL, USA, 2005. [Google Scholar] [CrossRef]













Disclaimer/Publisher’s Note: The statements, opinions and data contained in all publications are solely those of the individual author(s) and contributor(s) and not of MDPI and/or the editor(s). MDPI and/or the editor(s) disclaim responsibility for any injury to people or property resulting from any ideas, methods, instructions or products referred to in the content. |
© 2026 by the authors. Licensee MDPI, Basel, Switzerland. This article is an open access article distributed under the terms and conditions of the Creative Commons Attribution (CC BY) license (http://creativecommons.org/licenses/by/4.0/).