1. Introduction
Over many centuries, buildings have served not only as spaces for human habitation and activity but also as protective envelopes that shield occupants from diverse environmental factors such as temperature, humidity, wind, and solar radiation, thereby ensuring safe and comfortable living conditions. However, in the twenty-first century, the intensification of global climate change and the depletion of energy resources have fundamentally expanded the role of buildings beyond the provision of living space. Buildings are now increasingly expected to contribute to energy conservation, carbon emission reduction, and even the direct production of energy. It is widely recognized within the international community that approximately 40% of global energy consumption occurs in the building sector, and that a substantial share of carbon dioxide emissions also originates from buildings [
1,
2]. In response to these challenges, governments worldwide have implemented policies that mandate improvements in energy efficiency and the integration of renewable energy technologies within the building sector. The European Union (E.U), for instance, requires newly constructed buildings to achieve nearly zero energy consumption under the Nearly Zero Energy Building (nZEB) regulation. Similarly, South
Korea has mandated that all newly constructed buildings with a gross floor area exceeding 500 m² obtain Zero Energy Building (ZEB) certification by 2030 [
3]. Within this policy-driven context, building-integrated photovoltaics (BIPV) have emerged as a key technology enabling buildings to generate energy autonomously. Beyond their role in energy saving, BIPV systems have increasingly attracted attention as a multidimensional research topic encompassing building functionality, asset value, and architectural aesthetics [
4]. In BIPV systems, colored glass is no longer regarded merely as a decorative element; rather, it is recognized as a critical component that simultaneously influences optical transmittance, color stability, and power generation performance [
5].
The core technology of colored BIPV modules lies in the implementation of color on the front glass. To date, existing approaches can be broadly classified into two categories. The first is a printing-based method using ceramic pigments. While this approach offers advantages in terms of process simplicity and low manufacturing cost, it inherently leads to increased reflectance in order to produce color, resulting in reduced optical transmittance and a corresponding decrease in power generation efficiency. In addition, prolonged exposure to solar radiation may cause color fading or performance degradation [
6]. The second approach is a coating-based method that exploits thin-film interference effects. In this method, thin films such as metal oxides or nitrides are deposited in thicknesses ranging from several tens to several hundreds of nanometers, selectively reflecting or transmitting specific wavelengths to generate the desired color. This technique has gained increasing attention in recent years due to its ability to achieve a wide range of colors while maintaining relatively high optical transmittance [
7]. For example, material combinations with large refractive index contrasts, such as TiN/AlN or MoO₃/WO₃, have been reported to enable the fabrication of high-efficiency colored glass, with color variation readily achieved through precise control of thin-film thickness [
8]. Nevertheless, this approach still faces challenges related to coating uniformity over large-area substrates and long-term color stability, indicating that further technological improvements are required for commercialization.
One promising technique for overcoming these limitations is radio-frequency (R.F) magnetron sputtering, which has recently attracted considerable attention. This physical vapor deposition process involves the ejection of atoms from a target material through ion bombardment generated in a plasma, followed by their deposition onto a substrate. R.F magnetron sputtering can be applied to insulating targets and offers precise control over thin-film thickness. Moreover, it enables uniform coating over large-area substrates and allows the use of a wide range of metallic and metal-oxide targets, thereby providing high flexibility in color implementation [
9]. When metal-oxide thin films with thicknesses below 100 nm are deposited, various colors can be generated through optical interference effects. In particular, deposition on indium tin oxide (ITO) substrates enables the simultaneous achievement of electrical conductivity and optical transparency, making this approach especially advantageous for BIPV applications. R.F sputtering has already been successfully applied in studies of various thin-film photovoltaic technologies, including CdS, CdTe, and Sb₂Se₃, demonstrating its effectiveness. In CdS/CdTe thin-film solar cells, for example, optimal optical and electrical properties have been achieved by controlling the CdS layer thickness within the range of 70–135 nm [
10]. Similarly, studies on Sb₂Se₃-based thin-film solar cells have reported improvements in crystallinity and carrier concentration through the application of RF sputtering [
11]. These previous studies suggest that sputtering techniques can be effectively extended beyond conventional photovoltaic thin-film fabrication to the production of colored glass for BIPV applications.
Despite these advances, many existing studies have focused primarily on specific materials or structures, resulting in a lack of comprehensive analysis of the optical and electrical property variations among samples belonging to the same color family. However, for the successful commercialization of BIPV modules, it is essential to consider multiple factors beyond color realization alone, including power generation efficiency, transmittance, reflectance, and durability. The International Energy Agency (IEA) PVPS Task 15 report explicitly states that market acceptance of colored BIPV is closely linked to visual quality, and that architectural requirements such as transparency, color perception, and indoor visual comfort may conflict with the goal of maximizing power generation performance [
12]. Nevertheless, many previous studies have relied on qualitative color classification or single metrics such as average transmittance, while systematic analyses of color dispersion ranges and color shift directions within the same color family, based on internationally standardized color spaces, remain limited. Against this background, quantitative colorimetric analysis based on the CIELAB and CIE 1931 color spaces has emerged as an essential approach for the design and comparative evaluation of colored BIPV glass. In this study, thin films were deposited onto ITO substrates using R.F magnetron sputtering with various metal targets to fabricate colored glass samples in yellow, red, and blue color families. The optical and electrical properties of these samples were comparatively analyzed. Furthermore, the fabricated colored glass specimens were quantitatively evaluated using CIELAB coordinates (L*, a*, b*) and CIE 1931 chromaticity coordinates (x, y), which were presented in tabular form and chromaticity diagrams. By visually comparing the color distribution ranges and color shift directions of samples within the same color family, this study systematically investigates the effects of deposition materials and process conditions on color implementation characteristics. This approach is expected to provide rational material selection criteria that simultaneously consider aesthetic quality and functional performance in the design stage of colored BIPV glass.
2. Materials and Methods
The experimental procedure consisted of sequential RCA cleaning, R.F magnetron sputtering deposition, optical characterization, and electrical characterization. A schematic illustration of the overall process flow is presented in
Figure 1.
ITO-coated glass substrates with dimensions of 3.0 × 3.0 cm² were used as specimens for the experiments. Prior to deposition, the glass substrates were cleaned using a standard RCA cleaning process. The substrates were ultrasonically cleaned for 10 min each in acetone, methanol, and deionized (D.I) water, followed by drying with nitrogen gas. Thin-film deposition was subsequently carried out using an R.F magnetron sputtering system. A schematic diagram of the R.F magnetron sputtering apparatus used in this study is shown in
Figure 2.
Metal targets of MoO₃, WO₃, Si, TiN, and SiO₂ were employed for the deposition process.
Figure 3 presents optical images of the fabricated colored glass samples exhibiting red color tones after deposition.
Figure 3a shows the sample deposited using a MoO₃ target at an R.F sputtering power of 150 W for 15 min.
Figure 3b shows the sample sequentially deposited using a MoO₃ target at 150 W for 15 min, followed by deposition of a WO₃ layer at 150 W for 30 min.
Figure 3c shows the sample deposited using a Si target at an R.F sputtering power of 150 W for 30 min.
Figure 3d shows the sample deposited using a WO₃ target at an RF sputtering power of 150 W for 30 min.
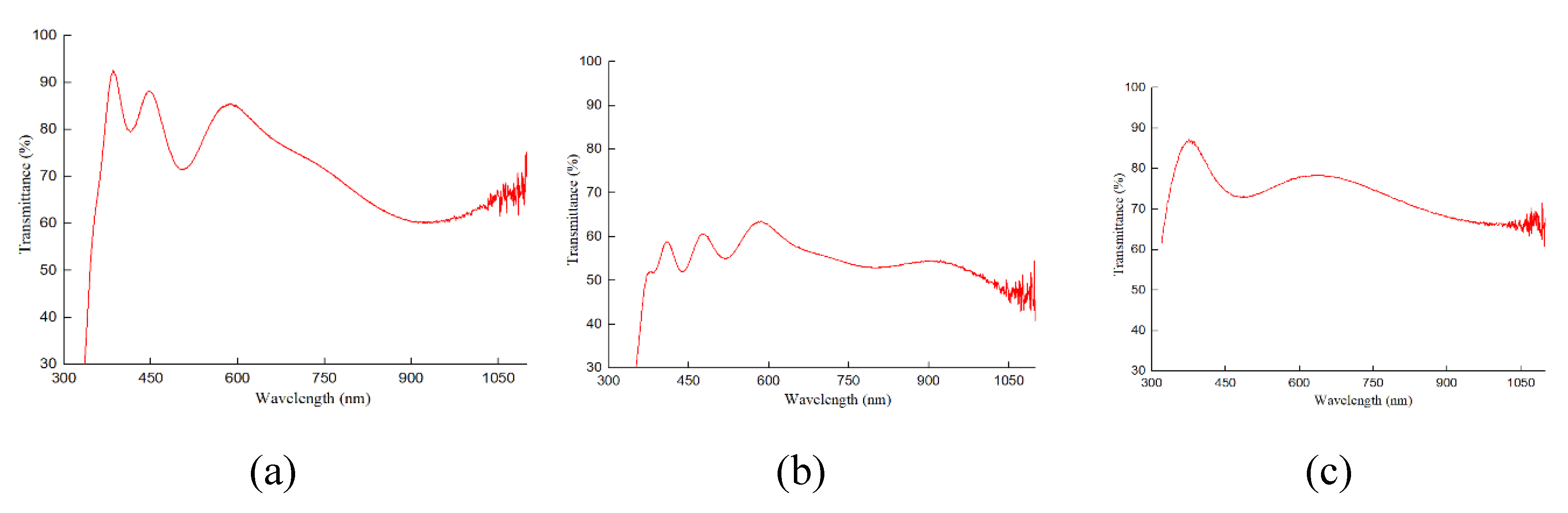
Figure 4 shows the optical transmittance spectra of colored glass samples belonging to the red color family.
Figure 4a presents the transmittance spectrum of the sample deposited using a MoO₃ target at an R.F sputtering power of 150 W for 15 min. The measured optical transmittance exhibited an average value of 90.5% in the visible wavelength range from 350 to 900 nm.
Figure 4b shows the transmittance spectrum of the sample sequentially deposited using a MoO₃ target at 150 W for 15 min, followed by a WO₃ layer deposited at 150 W for 30 min. The average optical transmittance in the 350–900 nm range was 75.4%.
Figure 4c presents the transmittance spectrum of the sample deposited using a Si target at an R.F sputtering power of 150 W for 30 min, yielding an average optical transmittance of 91.2% over the 350–900 nm wavelength range.
Figure 4d shows the transmittance spectrum of the sample deposited using a WO₃ target at an R.F sputtering power of 150 W for 30 min, with an average optical transmittance of 76.9% in the visible region from 350 to 900 nm.
Figure 5 shows optical images of the fabricated colored glass samples in the yellow color family after deposition.
Figure 5a shows the sample deposited using a Si target at an R.F sputtering power of 150 W for 60 min.
Figure 5b shows the sample deposited using a MoO₃ target at an R.F sputtering power of 50 W for 5 min.
Figure 5c shows the sample deposited using a TiN target at an R.F sputtering power of 150 W for 35 min.
Figure 6 shows the optical transmittance spectra of colored glass samples belonging to the yellow color family.
Figure 6a presents the transmittance spectrum of the sample deposited using a Si target at an R.F sputtering power of 150 W for 60 min. The measured optical transmittance exhibited an average value of 87.6% in the visible wavelength range from 350 to 900 nm.
Figure 6b shows the transmittance spectrum of the sample deposited using a MoO₃ target at an R.F sputtering power of 50 W for 5 min. The average optical transmittance in the 350–900 nm range was 78.1%.
Figure 6c presents the transmittance spectrum of the sample deposited using a TiN target at an R.F sputtering power of 150 W for 35 min, yielding an average optical transmittance of 84.3% over the 350–900 nm wavelength range.
Figure 7 shows optical images of the fabricated colored glass samples in the blue color family after deposition.
Figure 7a shows the sample sequentially deposited using a SiO₂ target at an R.F sputtering power of 150 W for 15 min, followed by deposition of a WO₃ layer at 150 W for 30 min.
Figure 7b shows the sample deposited using a WO₃ target at an R.F sputtering power of 200 W for 30 min.
Figure 7c shows the sample deposited using a TiN target at an R.F sputtering power of 200 W for 30 min.
Figure 8 shows the optical transmittance spectra of colored glass samples belonging to the blue color family.
Figure 8a presents the transmittance spectrum of the sample sequentially deposited using a SiO₂ target at an R.F sputtering power of 150 W for 15 min, followed by deposition of a WO₃ layer at 150 W for 30 min. The measured optical transmittance exhibited an average value of 76.3% in the visible wavelength range from 350 to 900 nm.
Figure 8b shows the transmittance spectrum of the sample deposited using a WO₃ target at an R.F sputtering power of 200 W for 30 min. The average optical transmittance in the 350–900 nm range was 55.6%.
Figure 8c presents the transmittance spectrum of the sample deposited using a TiN target at an R.F sputtering power of 200 W for 30 min, yielding an average optical transmittance of 75.8% over the 350–900 nm wavelength range.
Table 1 summarizes the average sheet resistance of samples deposited onto ITO-coated glass substrates using R.F sputtering with various metal targets. The sample deposited using a Si target at an R.F sputtering power of 150 W for 60 min exhibited the lowest average sheet resistance of 36.2 Ω. In contrast, the sample deposited using a WO₃ target at 150 W for 30 min showed the highest average sheet resistance of 3.05 MΩ.
Table 3 summarizes the colorimetric properties of the colored glass specimens measured under a D65 illuminant, including the CIELAB coordinates (L*, a*, b*), the CIE 1931 chromaticity coordinates (x, y), and the color difference (ΔE*ab) relative to the reference specimen (MoO₃/WO₃). The CIE 1931 chromaticity coordinates (x, y) were calculated based on the CIELAB coordinates (L*, a*, b*) obtained from the colorimeter measurements.
First, the measured CIELAB coordinates were converted back to the CIE XYZ tristimulus values using the nonlinear transformation defined by the CIE. In this study, the D65 illuminant and the 2° standard observer were adopted, and the corresponding reference white tristimulus values were set to X
n = 95.047, Y
n = 100.000, and Z
n = 108.883[
13]. The conversion from CIELAB coordinates to XYZ tristimulus values was performed as follows.
Using the calculated XYZ tristimulus values, the CIE 1931 chromaticity coordinates (x, y) were obtained by normalization as follows.
The color difference ΔE*ab represents the distance between a reference specimen and a comparison specimen in the three orthogonal coordinate axes of the CIELAB color space, namely lightness (L*), the red–green axis (a*), and the yellow–blue axis (b*). It is a widely used metric that approximately reflects human visual color perception. The color difference of each specimen was calculated using the CIELAB coordinates (L*, a*, b*) measured by the colorimeter, according to the following equation.
Here, L*ref, a*ref, and b*ref denote the CIELAB coordinates of the MoO₃/WO₃-coated glass selected as the reference specimen, while L*, a*, and b* represent the measured values of the comparison specimen. The above equation calculates the Euclidean distance between two color coordinates in the CIELAB color space, thereby expressing the overall color difference—combining both lightness and chromaticity differences—as a single scalar value.
Table 2.
Components of the ΔE*ab calculation.
Table 2.
Components of the ΔE*ab calculation.
| Symbol |
Description |
Symbol |
Description |
| L* |
Lightness coordinate |
L*ref |
Reference lightness |
| a* |
Red–green axis |
a*ref |
a* value of reference specimen |
| b* |
Yellow–blue axis |
b*ref |
b* value of reference specimen |
While the CIE 1931 color space was used to describe the absolute chromaticity positions of the specimens, color differences were quantified using the CIELAB-based ΔE*ab metric following the standardized procedure defined in ISO/CIE 11664-4: 2019 [
14]. Although more advanced color difference formulas, such as CIE94 and CIEDE2000, have been proposed to improve perceptual uniformity, the ΔE*ab (CIE 1976) formulation remains widely used for comparative colorimetric analysis due to its simplicity, transparency, and standardized implementation, particularly in materials and thin-film coating studies [
15,
16]. Accordingly, the ΔE*ab values reported in this work provide a quantitative index for comparing color shifts induced by different coating combinations under the D65 measurement condition.
As shown in
Table 3, the lightness (L*) of the specimens ranges approximately from 57 to 92, indicating substantial brightness variation depending on deposition composition and sputtering conditions. In addition, as the b* value increases (shift toward the yellow direction), both x and y coordinates tend to increase, whereas specimens with negative b* values (blue color family) are located in a relatively lower x–y region.
Table 3.
Colorimetric coordinates (CIELAB and CIE 1931) and color differences of colored glass specimens measured under the D65 illuminant.
Table 3.
Colorimetric coordinates (CIELAB and CIE 1931) and color differences of colored glass specimens measured under the D65 illuminant.
| Sample |
L* |
a* |
b* |
x |
y |
ΔE*ab |
| MoO3+WO3 150W |
77.107 |
10.203 |
-1.768 |
0.325 |
0.317 |
0 |
| Si 150W 30m |
74.864 |
9.463 |
-2.053 |
0.324 |
0.317 |
2.379 |
| MoO3 150W 15m |
85.185 |
4.428 |
-4.407 |
0.311 |
0.317 |
10.275 |
| WO3 150W 30m |
85.027 |
6.024 |
1.222 |
0.324 |
0.327 |
9.441 |
| Si 150W 60m |
84.072 |
4.668 |
6.685 |
0.333 |
0.339 |
12.272 |
| MoO3 50W 5min |
80.211 |
10.248 |
19.913 |
0.37 |
0.362 |
21.902 |
| TiN 150W 35min |
92.326 |
2.38 |
20.68 |
0.353 |
0.366 |
28.226 |
| SiO2+WO3 150W |
57.482 |
-2.107 |
-17.309 |
0.264 |
0.283 |
27.896 |
| WO3 200W 30m |
65.82 |
1.286 |
-14.312 |
0.281 |
0.293 |
19.086 |
| TiN 200W 30m |
64.409 |
0.17 |
-9.493 |
0.29 |
0.305 |
17.933 |
Figure 9 individually visualizes the CIE 1931 chromaticity diagram for each colored glass specimen to clearly present its absolute chromaticity location. Each diagram is a conceptual illustration in the standard CIE 1931 color space, including the spectral locus and the D65 reference white point, where the chromaticity coordinate of each specimen is marked with a black asterisk. This presentation enables an intuitive understanding of the position occupied by each specimen within the chromaticity space prior to relative comparisons among specimens. As observed in the individual diagrams, the specimens are distributed at different directions and distances with respect to the D65 white point, reflecting differences in their hue components. Specimens located relatively close to the white point exhibit near-neutral color characteristics, whereas specimens farther from the white point show stronger coloration with enhanced chromatic components. Such absolute coordinate-based chromaticity information provides a basis for interpreting color-shift directions and color-family distribution trends in subsequent comprehensive chromaticity analyses. In addition, by presenting each specimen independently, this approach minimizes visual overlap and potential interpretive ambiguity that can occur when multiple specimens are plotted simultaneously on a single chromaticity diagram.
In this study, the MoO₃/WO₃-deposited specimen was selected as the reference specimen for the calculation of color difference (ΔE*ab). This choice was motivated by the observation that the MoO₃/WO₃ specimen exhibited an intermediate level of lightness (L*) and relatively small a* and b* values among the various coating combinations investigated. In addition, its chromaticity coordinate was located near the D65 white point in the CIE 1931 chromaticity diagram. These characteristics indicate that the MoO₃/WO₃ specimen can function as a neutral-like reference state that is not excessively biased toward a specific color family. Furthermore, the MoO₃/WO₃ coating represents an oxide-based composite structure and exhibits intermediate optical response characteristics compared with the single-oxide coatings (MoO₃ and WO₃) and the metal nitride (TiN) coatings included in this study. By adopting the MoO₃/WO₃ specimen as the reference, color shifts induced by alternative coating materials and variations in sputtering conditions can be compared in a relative manner without undue bias toward a specific material system. For these reasons, the MoO₃/WO₃ specimen is considered a more appropriate internal reference for the colorimetric analysis in this study than industrial colorless glass or a specific single-material coating. Accordingly, the ΔE*ab values reported in this work provide not only a measure of absolute color difference but also a consistent metric for interpreting the relative magnitude of color changes within the coating design space spanning oxide, composite, and nitride systems.
By jointly analyzing the quantitative colorimetric indicators summarized in
Table 3 and the chromaticity-space distributions presented in
Figure 9, the color shifts of the colored glass specimens can be interpreted as a multidimensional phenomenon resulting from the combined effects of lightness variation and chromaticity change. This approach enables a systematic comparison of color realization characteristics as a function of coating materials and process conditions.
3. Results
In this study, to provide more precise selection criteria for BIPV design, the optical and electrical properties of colored glass samples in the yellow, red, and blue color families were comparatively analyzed. The samples were fabricated by depositing thin films onto ITO-coated substrates using RF magnetron sputtering with various targets, including MoO₃, WO₃, Si, TiN, and SiO₂. Among the red-colored glass samples, the specimen deposited using a Si target at an RF sputtering power of 150 W for 30 min exhibited the highest average optical transmittance of 91.2% in the visible wavelength range from 350 to 900 nm, with an average sheet resistance of 5.36 kΩ. For the yellow color family, the highest average optical transmittance of 87.6% (350–900 nm) was obtained for the sample deposited using a Si target at 150 W for 60 min, which also showed the lowest average sheet resistance of 36.2 Ω. In the blue color family, the sample sequentially deposited using a SiO₂ target at 150 W for 15 min followed by a WO₃ layer deposited at 150 W for 30 min exhibited the highest average optical transmittance of 76.3% in the 350–900 nm range, with an average sheet resistance of 2.88 MΩ. Overall, the experimental results indicate that the use of a Si target leads to the highest optical transmittance across all three color families—red, yellow, and blue—under the investigated sputtering conditions. These findings suggest that Si-based coatings are particularly effective in achieving high optical transparency while maintaining tunable electrical properties, thereby providing useful guidance for material selection in the design of colored glass for BIPV applications. This section may be divided by subheadings. It should provide a concise and precise description of the experimental results, their interpretation, as well as the experimental conclusions that can be drawn.
These trends are more clearly illustrated in the CIE 1931 chromaticity diagram presented in
Figure 10. Based on the chromaticity coordinates summarized in
Table 3,
Figure 10 visualizes the color distribution of each specimen within the CIE 1931 chromaticity space. Although all specimens are distributed around the D65 white point, they do not appear randomly scattered; instead, they form continuous trajectories within the chromaticity space. In particular, specimens belonging to the yellow color family with b* > 0 are clustered in the upper-right region of the chromaticity diagram, whereas blue color family specimens with b* < 0, including those deposited using TiN-based coatings, are located in the lower-left region. This distribution indicates that color shifts induced by variations in coating materials and sputtering conditions follow a physically consistent pattern within the color space. The color difference ΔE*ab relative to the reference specimen ranges from approximately 2.379 to 28.226, suggesting that perceptible color differences exist even among specimens with similar lightness levels. These results quantitatively demonstrate that changes in sputtering targets and applied power conditions induce not merely subtle hue adjustments but color variations that are clearly distinguishable by human visual perception.
In addition, the chromaticity analysis results presented in
Table 3 and
Figure 10 indicate that the color shifts of the colored glass specimens are not random variations but are systematically induced by the optical properties of the coating materials and changes in the sputtering process conditions. In particular, the continuous migration of chromaticity coordinates observed in the CIE 1931 chromaticity diagram can be interpreted as the cumulative manifestation of wavelength-selective absorption and reflection characteristics of each coating material across the visible spectrum. For MoO₃- and WO₃-based depositions, relatively high L* values were maintained while the b* values gradually increased. This trend is attributed to enhanced absorption in the short-wavelength (blue) region accompanied by dominant transmission or reflection in the longer-wavelength (yellow–red) region. Such behavior is consistent with the general optical response of oxide thin films, in which variations in film thickness and composition lead to shifts in the absorption edge within the visible range. In contrast, TiN-based deposited specimens exhibited both low L* values and negative b* values, resulting in a shift toward the lower-left region of the CIE chromaticity diagram. This behavior can be explained by the metallic optical response of TiN thin films, where increased reflectance in the short-wavelength region and overall visible-light absorption occur simultaneously. These characteristics produce a color-shift trend that is clearly distinguishable from that of oxide-based coatings, highlighting the material-dependent differentiation in color implementation strategies. Furthermore, the continuous movement of chromaticity coordinates observed within the same material family as a function of sputtering power indicates that changes in thin-film thickness and microstructure are linked to interference effects and variations in the effective refractive index. This finding suggests that color variation arises not from selective absorption at a single wavelength but from a complex optical response spanning the entire visible region. Accordingly, both material selection and process condition control are identified as key parameters for systematically tuning color realization in colored glass design.
Future studies employing a broader range of metal targets beyond those investigated in this work, in combination with R.F magnetron sputtering, are expected to clarify how material properties vary within the same color family. Such investigations would provide more refined selection criteria for BIPV module design and contribute to the development of next-generation BIPV modules that simultaneously satisfy architectural aesthetics and energy efficiency requirements.