Submitted:
29 January 2026
Posted:
30 January 2026
You are already at the latest version
Abstract
Keywords:
1. Introduction
2. Materials and Methods
2.1. Grapevine Cultivars and Growing Conditions
2.2. Wine Samples
2.3. Climatic Parameters
2.4. Grapevine Adaptation
2.5. Chemical Analyses
2.6. Wine Sensory Profile
2.7. Statistics
3. Results and Discussions
3.1. Climatic Data
3.1.1. Air Temperature and Sunshine Duration
3.1.2. Soil Temperature Assessment
3.1.3. Soil Hygroscopicity
3.1.4. Precipitation
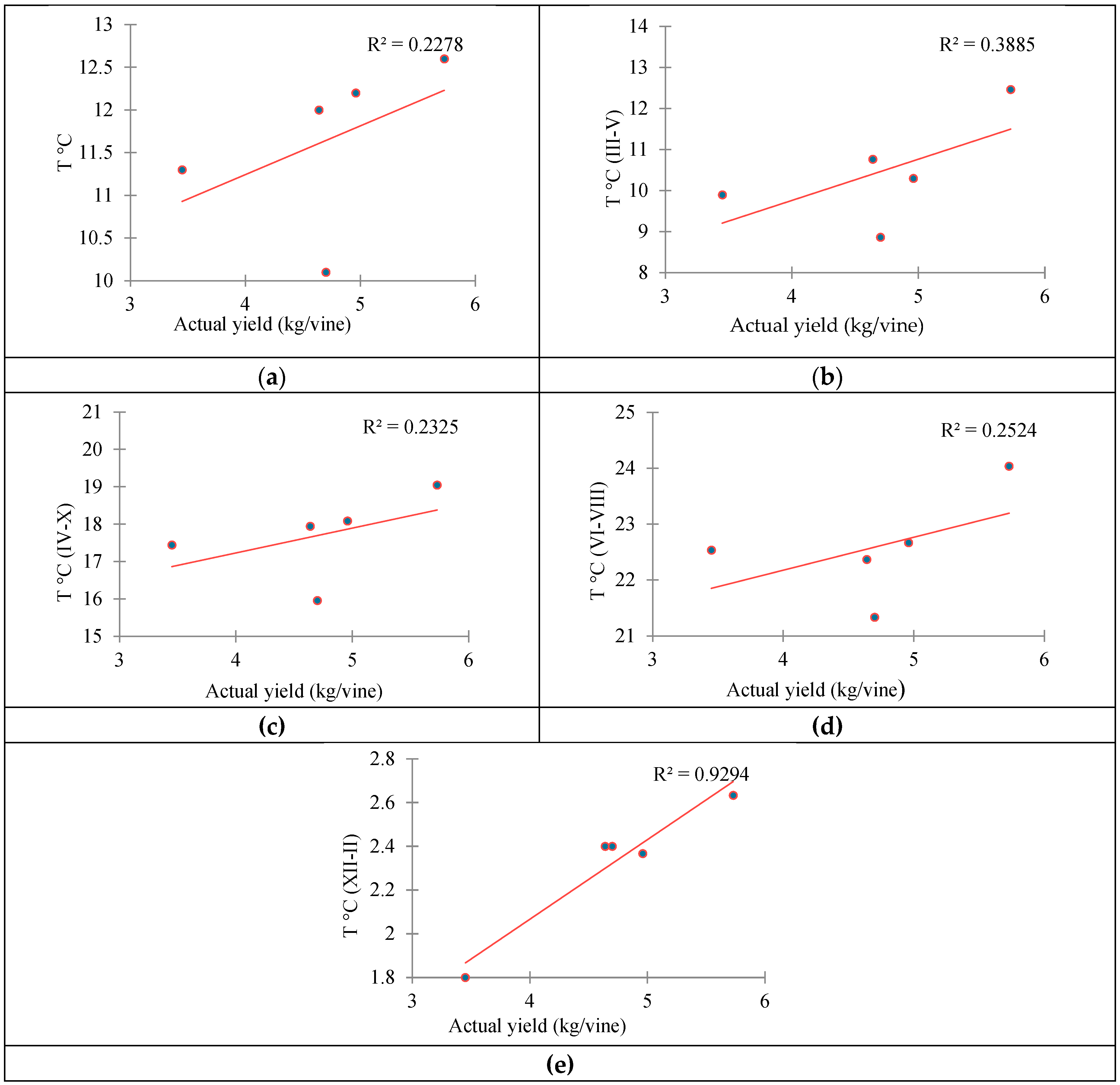
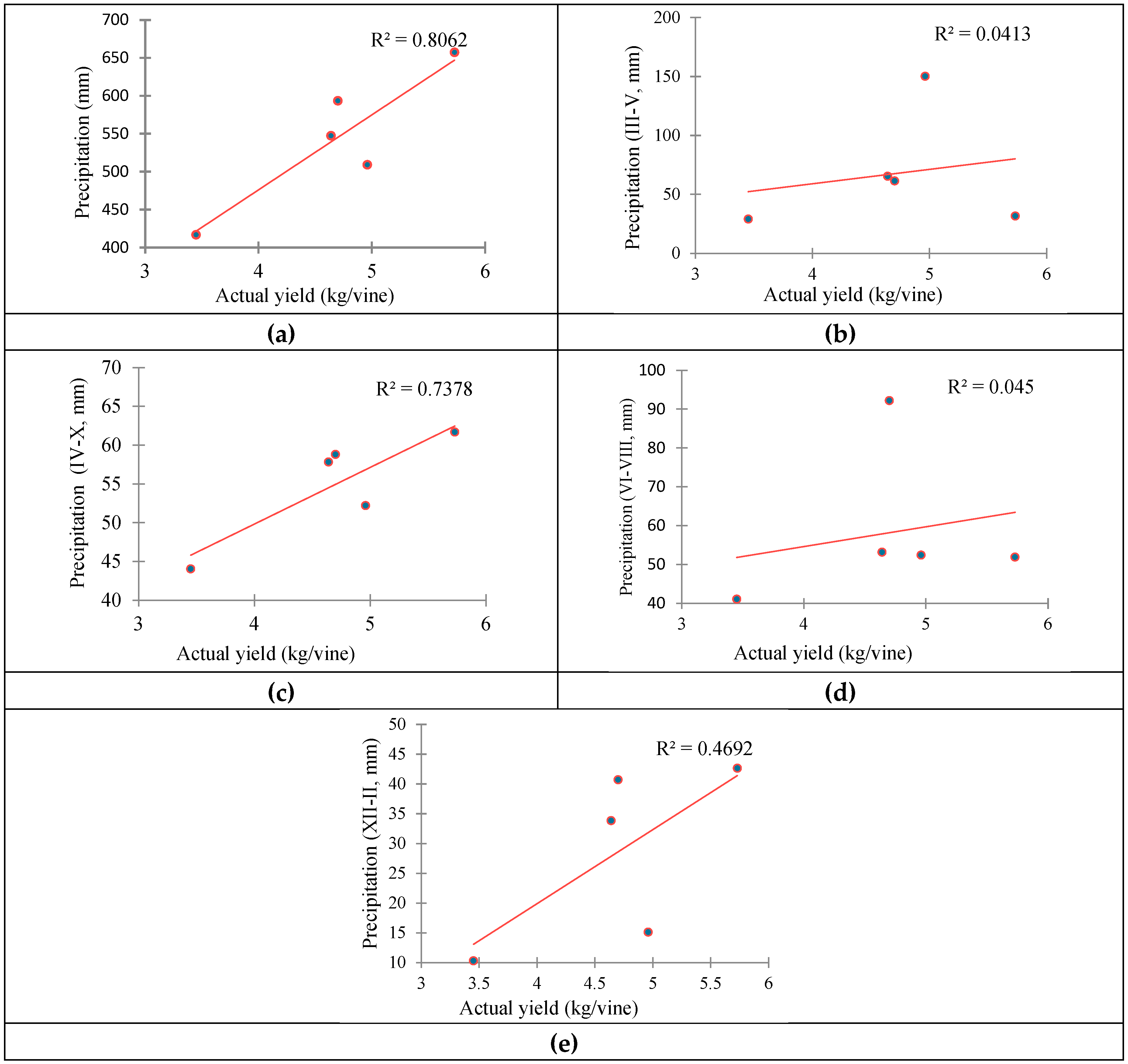
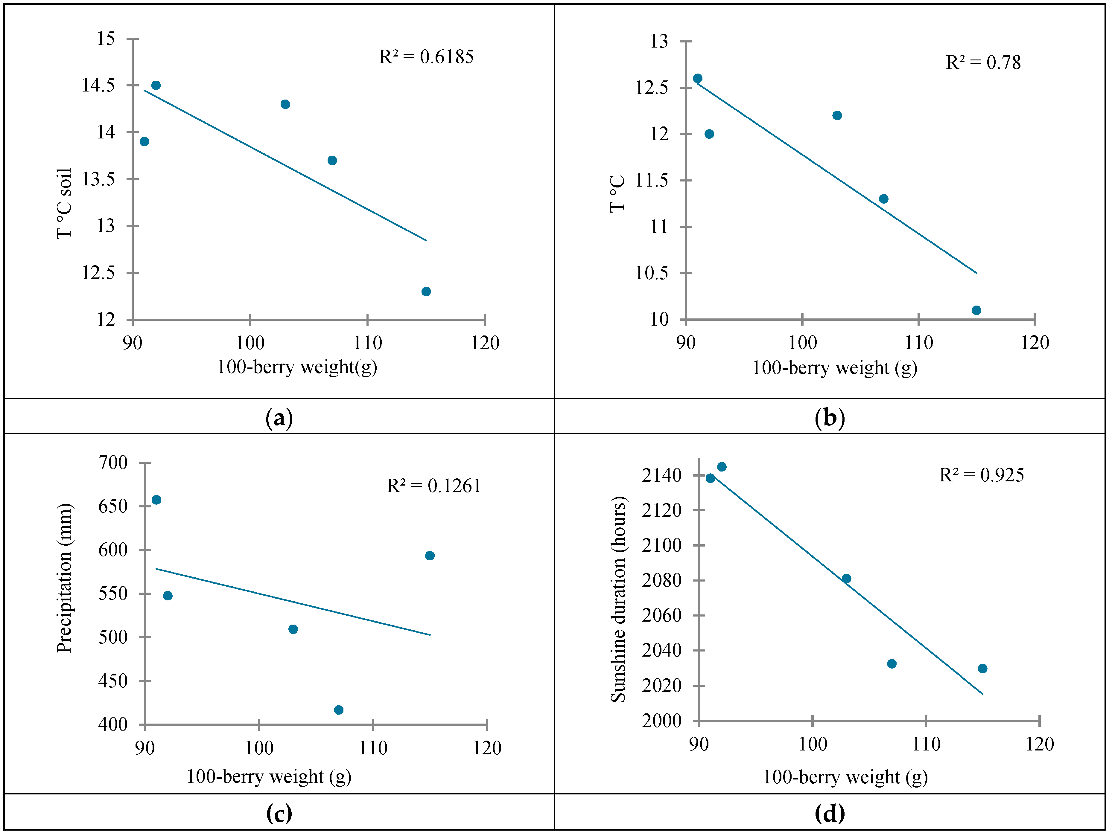
3.2. Influence of Climatic Variability on the Grapevine
3.3. Impact of Climatic Conditions on Physicochemical Parameters of Wine
3.4. Impact of Climatic Conditions on the Sensory Characteristics of Wine
4. Conclusions
Author Contributions
Funding
Institutional Review Board Statement
Informed Consent Statement
Data Availability Statement
Conflicts of Interest
Abbreviations
| H | Soil hygroscopicity |
| T°C soil | Average annual soil temperatures |
| T°C | Average annual air temperatures |
| Pp | Precipitation |
| Sun | Sunshine duration |
| AY | Actual yield |
| W100 | 100-berry weight |
| GS | Grape sugar |
| SO2 | Sulfur dioxide |
| AS | Alcoholic strength |
| GTA | Grape total acidity |
| WTA | Wine total acidity |
| WVA | Wine volatile acidity |
| RS | Reducing sugar |
| D | Density |
| C4H6O6 | Tartaric acid |
| C2H4O2 | Acetic acid |
| OIV | International Organization of Vine and Wine |
References
- Fraga, H. Viticulture and winemaking under climate change. Agronomy 2019, 9(12), 783. [Google Scholar] [CrossRef]
- International Organization of Wine and Vine. Statistical report on world vitiviniculture. Paris, France, 2019. Available online: https://www.oiv.int/public/medias/6782/oiv-2019-statistical-report-on-world-vitiviniculture.pdf (accessed on 11 January 2026).
- Novello, V.; de Palma, L. Climate, soil and grape/wine quality/typicity in different zones or terroirs. In Proceedings of the XIVth international GESCO viticulture congress; Schultz, H., Ed.; Geisenheim: Germany, 2007; pp. 62–73, în. [Google Scholar]
- Costa, R.; Fraga, H.; Fonseca, A.; de Cortazar-Atauri, I.G.; Val, M.C.; Carlos, C.; Reis, S.; Santos, J.A. Grapevine phenology of cv. Touriga franca and Touriga nacional in the Douro wine region: modelling and climate change projections. Agronomy 2019, 9(4), 210. [Google Scholar] [CrossRef]
- Costa, R.; Fraga, H.; Malheiro, A.C.; Santos, J.A. Application of crop modelling to portuguese viticulture: Implementation and added-values for strategic planning. Ciênc. Téc. Vitiviníc. 2015, 30, 29–42. [Google Scholar] [CrossRef]
- Mosedale, J.R.; Abernethy, K.E.; Smart, R.E.; Wilson, R.J.; Maclean, I.M. Climate change impacts and adaptive strategies: Lessons from the grapevine. Glob. Chang. Biol. 2016, 22(11), 3814–3828. [Google Scholar] [CrossRef]
- Hannah, L.; Roehrdanz, P.R.; Ikegami, M.; Shepard, A.V.; Shaw, M.R.; Tabor, G.; Zhi, L.; Marquet, P.A.; Hijmans, R.J. Climate change, wine, and conservation. Proc. Natl. Acad. Sci. U.S.A. 2013, 110(17), 6907–6912. [Google Scholar] [CrossRef]
- Moriondo, M.; Jones, G.V.; Bois, B.; Dibari, C.; Ferrise, R.; Trombi, G.; Bindi, M. Projected shifts of wine regions in response to climate change. Clim. Change 2013, 119, 825–839. [Google Scholar] [CrossRef]
- Parker, A.; García de Cortázar-Atauri, I.; Chuine, I.; Barbeau, G.; Bois, B.; Boursiquot, J.M.; Cahurel, J.Y.; Claverie, M.; Dufourcq, T.; Gény, L.; Guimberteau, G.; Hoffmann, R.W.; Jacquet, O.; Lacombe, T.; Monamy, C.; Ojeda, H.; Panigai, L.; Payan, J.C.; Lovellea, B.R.; Rouchaud, E.; van Leeuwen, C. Classification of varieties for their timing of flowering and é using a modelling approach: A case study for the grapevine species Vitis vinifera L. Agric. For Meteorol. 2013, 180, 249–264. [Google Scholar] [CrossRef]
- Orduna, R.M. Climate change associated effects on grape and wine quality and production. Food Res. Int. 2010, 43(7), 1844–1855. [Google Scholar] [CrossRef]
- Fraga, H.; García de Cortázar Atauri, I.; Santos, J.A. Viticultural irrigation demands under climate change scenarios in Portugal. Agric. Water Manag. 2018, 196, 66–74. [Google Scholar] [CrossRef]
- van Leeuwen, C.; Destrac-Irvine, A.; Dubernet, M.; Duchêne, E.; Gowdy, M.; Marguerit, E.; Pieri, P.; Parker, A.; de Rességuier, L.; Ollat, N. An update on the impact of climate change in viticulture and potential adaptations. Agronomy 2019, 9(9), 514. [Google Scholar] [CrossRef]
- Pons, A.; Allamy, L.; Schuttler, A.; Rauhut, D.; Thibon, C.; Darriet, P. What is the expected impact of climate change on wine aroma compounds and their precursors in grape? OENO One 2017, 51(2), 141–146. [Google Scholar] [CrossRef]
- Rolli, E.; Marasco, R.; Vigani, G.; Ettoumi, B.; Mapelli, F.; Deangelis, M.L.; Gandolfi, C.; Casati, E.; Previtali, F.; Gerbino, R.; Cei, F.P.; Borin, S.; Sorlini, C.; Zocchi, G.; Daffonchio, D. Improved plant resistance to drought is promoted by the root-associated microbiome as a water stress-dependent trait. Environ. Microbiol. 2015, 17(2), 316–331. [Google Scholar] [CrossRef]
- Chitwood, D.H.; Rundell, S.M.; Li, D.Y.; Woodford, Q.L.; Yu, T.T.; Lopez, J.R.; Greenblatt, D.; Kang, J.; Londo, J.P. Climate and developmental plasticity: Interannual variability in grapevine leaf morphology. Plant Physiol. 2016, 170(3), 1480–1491. [Google Scholar] [CrossRef]
- Santillán, D.; Garrote, L.; Iglesias, A.; Sotes, V. Climate change risks and adaptation: new indicators for Mediterranean viticulture. Mitig. Adapt. Strateg. Glob. Chang. 2019, 25(5), 881–899. [Google Scholar] [CrossRef]
- Di Vaio, C.; Marallo, N.; di Lorenzo, R.; Pisciotta, A. Anti-Transpirant effects on vine physiology, berry and wine composition of cv. Aglianico (Vitis vinifera L.) grown in south Italy. Agronomy 2019, 9(5), 244. [Google Scholar] [CrossRef]
- Molitor, D.; Schultz, M.; Mannes, R.; Pallez-Barthel, M.; Hoffmann, L.; Beyer, M. Semi-minimal pruned hedge: a potential climate change adaptation strategy in viticulture. Agronomy 2019, 9(4), 173. [Google Scholar] [CrossRef]
- Shahab, M.; Roberto, S.R.; Ahmed, S.; Colombo, R.C.; Silvestre, J.P.; Koyama, R.; de Souza, R.T. Anthocyanin accumulation and color development of ’Benitaka’ table grape subjected to exogenous abscisic acid application at different timings of ripening. Agronomy 2019, 9(4), 164. [Google Scholar] [CrossRef]
- Zoecklein, B.W. Viognier wine balance. Wines Vines 2013, February, 66–70. [Google Scholar]
- Champy, B. Climate change field reports. J. Wine Econ. 2016, 11(1). [Google Scholar] [CrossRef]
- Dobrei, A.; Dobrei, A.G.; Nistor, E.; Iordanescu, O.A.; Sala, F. Local grapevine germplasm from western of Romania - an alternative to climate change and source of typicity and authenticity. Agric. Sci. Procedia 2015, 6, 124–131. [Google Scholar] [CrossRef]
- Bucur, G.M.; Dejeu, L. Climate change trends in some Romanian viticultural centers. AgroLife Sci. J. https://agrolifejournal.usamv.ro/index.php/agrolife/article/view/130. 2016, 5(2). [Google Scholar]
- Omazić, B.; Prtenjak, M.T.; Prša, I.; Vozila, A.B.; Vučetić, V.; Karoglan, M.; Kontić, J.K.; Prša, Ž.; Anić, M.; Šimon, S.; Güttler, I. Climate change impacts on viticulture in Croatia: Viticultural zoning and future potential. Int. J. Clim. 2020, 40(13), 5634–5655. [Google Scholar] [CrossRef]
- Caccavello, G.; Giaccone, M.; Scognamiglio, P.; Forlani, M.; Basile, B. Influence of intensity of post-veraison defoliation or shoot trimming on vine physiology, yield components, berry and wine composition in Aglianico grapevines. Aust. J. Grape Wine Res. 2017, 23(2), 226–239. [Google Scholar] [CrossRef]
- Filippetti, I.; Movahed, N.; Allegro, G.; Valentini, G.; Pastore, C.; Colucci, E.; Intrieri, C. Effect of post-veraison source limitation on the accumulation of sugar, anthocyanins and seed tannins in Vitis vinifera cv. Sangiovese berries. Aust. J. Grape Wine Res. 2015, 21(1), 90–100. [Google Scholar] [CrossRef]
- Bucur, G.M.; Dejeu, L. Researches on situation and trends in climate change in south part of Romania and their effects on grapevine. Sci. Pap. Ser. B Hortic. 2017, LXI, 243–247. [Google Scholar]
- Ungureanu, G.; Boghita, E.; Ignat, G.; Costuleanu, C.L.; Sandu, A.V.; Bejinariu, C.; Vintu, C.R. Effect of climate change on pedological modifications and soil aridity process in vineyards. Rev. Chim. 2017, 68(11), 2662–2671. [Google Scholar] [CrossRef]
- Nistor, E.; Dobrei, A.G.; Camen, D. Growing season climate variability and its influence on Sauvignon Blanc and Pinot Gris berries and wine quality: study case in Romania (2005–2015). S. Afr. J. Enol. Vitic. 2018, 39(2). [Google Scholar] [CrossRef]
- Onache, A.; Sumedrea, D.I.; Florea, A.; Tănase, A. The influence of climatic conditions on oenological parameters of some wine cultivals from different Romanian vineyard. Rom. J. Hortic. 2020, 1, 103–110. [Google Scholar] [CrossRef]
- Răcoare, H.S.; Tomoioagă, L.L.; Comșa, M.; Muntean, D.M.; Botea, V.; Florean, A.V.; Sîrbu, A.D.; Chedea, V.S. Influence of the climatic conditions of the year 2022 on the grapevine phenology at SCDVV Blaj. Bull. Univ. Agric. Sci. Vet. Med. Cluj-Napoca 2022, 80(1). [Google Scholar] [CrossRef]
- Popescu, A.; Enache, V.; Simion, C.; Ene, D.; Donici, A.; Tabaranu, G. Researches concerning production planning in viticulture under the climate change. Economie 2010, 25(1). [Google Scholar]
- Bucur, G.M.; Dejeu, L. Phenological and some eno-carpological traits of thirteen new romanian grapevine varieties for white wine (Vitis vinifera L.) in the context of climate change. Sci. Pap. Ser. B Hortic. 2024, LXVIII(1), 254–263. [Google Scholar]
- Bucur, G.M.; Dejeu, L. Influence of climate variability on growth, yield and quality of grapes in the south part of Romania. Sci. Pap. Ser. B Hortic. 2014, LVIII, 133–138. [Google Scholar]
- Irimia, L.M.; Patriche, C.V.; Murariu, O.C. The impact of climate change on viticultural potential and wine grape varieties of a temperate wine growing region. Appl. Ecol. Environ. Res. 2018, 16(3), 2663–2680. [Google Scholar] [CrossRef]
- Dușa, D.Ș.; Heizer, R.T.; Heizer, M.G.; Baniță, S.I.; Călugăr, A.; Constantinescu, D.G.; Dobrei, A; Bunea, C.I. Cabernet Sauvignon variety behavioural analysis in Romanian vineyards areas under the climate change influences. Sci. Pap. Ser. B Hortic. 2024, LXVIII(2), 300–307. [Google Scholar]
- Rotaru, L. Soiuri de viţă de vie pentru struguri de vin; Editura Ion Ionescu de la Brad: Iaşi, Romania, 2009. [Google Scholar]
- Cotea, V.D.; Barbu, N.; Grigorescu, C.C.; Cotea, V.V. Podgoriile și vinurile României; Editura Academiei Române: Bucharest, Romania, 2003. [Google Scholar]
- Scutarașu, E.C. Studii privind influenţa folosirii unor preparate enzimatice în tehnologia de obţinere a vinurilor albe în podgoria Iaşi. Doctoral thesis, USV Iași, Romania, 2021. [Google Scholar]
- Cotea, V.D.; Barbu, N.; Grigorescu, C.; Cotea, V.V. Podgoriile și vinurile României; Editura Academiei Române: Bucharest, Romania, 2000. [Google Scholar]
- Cimpoi, V.I. Cercetări privind comportarea în pepinieră a unor soiuri noi de viță de vie obținute la Stațiunea de Cercetare Dezvoltare pentru Viticultură și Vinificație Iași. Doctoral Thesis, USV Iași, Romania, 2021. [Google Scholar]
- Filimon, R.M.; Bunea, C.I.; Filimon, R.V.; Bora, F.D.; Damian, D. Long-therm evolution of the climatic factors and its influence on grape quality in northeastern Romania. Horticulturae 2024, 10(7), 705. [Google Scholar] [CrossRef]
- International Organization of Wine and Vine. Guidelines for studying climate variability on vitiviniculture in the context of climate change and its evolution, Paris, France, 2015a. Available online: https://www.oiv.int/node/3224 (accessed on 11 January 2026).
- International Organization of Wine and Vine. 3rd edition of "OIV Descriptor list of grape vine varieties and Vitis species", Dijon, France, 2023.
- International Organization of Wine and Vine. Compendium of International methods of wine and must analysis, Dijon, France, 2025.
- International Organization of Wine and Vine. Review document on sensory analysis of wine, Paris, France, 2015b. Available online: https://www.oiv.int/public/medias/3307/review-on-sensory-analysis-of-wine (accessed on 11 January 2026).
- ISO 3591: 1977; Sensory Analysis. Apparatus. Wine-Tasting Glass. ISO: Geneva, Switzerland, 1977.
- ISO 8589: 2007; Sensory Analysis. General Guidance for the Design of Test Room. ISO: Geneva, Switzerland, 2007.
- Droulia, F.; Charalampopoulos, I. Future climate change impacts on European Viticulture: A review on recent scientific advances. Atmosphere 2021, 12(4), 495. [Google Scholar] [CrossRef]
- Xu, Y.; Castel, T.; Richard, Y.; Cuccia, C.; Bois, B. Burgundy regional climate change and its potential impact on grapevines. Clim. Dyn. 2012, 39, 1613–1626. [Google Scholar] [CrossRef]
- Alikadic, A.; Pertot, I.; Eccel, E.; Dolci, C.; Zarbo, C.; Caffarra, A.; de Filippi, R.; Furlanello, C. The impact of climate change on grapevine phenology and the influence of altitude: A regional study. Agric. For. Meteorol. 2019, 271, 73–82. [Google Scholar] [CrossRef]
- Shmuleviz, R.; Amato, A.; Commisso, M.; D’Incà, E.; Luzzini, G.; Ugliano, M.; Fasoli, M.; Zenoni, S.; Tornielli, G.B. Temperature affects organic acid, terpene and stilbene metabolisms in wine grapes during postharvest dehydration. Front. Plant Sci. 2023, 14. [Google Scholar] [CrossRef] [PubMed]
- Liu, J.; Zhu, X.; Ullah, N.; Tao, Y. Aroma glycosides in grapes and wine. J. Food Sci. 2017, 82(2), 248–259. [Google Scholar] [CrossRef] [PubMed]
















| Key parameters | Year | |||||
|---|---|---|---|---|---|---|
| 2020 | 2021 | 2022 | 2023 | 2024 | ||
| Fertility | Total shoots/vine | 39 | 54 | 39 | 35 | 54 |
| Fertile shoots/vine | 32 | 35 | 21 | 30 | 43 | |
| Fertile shoots (%) | 82.05 | 64.81 | 53.84 | 85.71 | 79.63 | |
| Number of inflorescences | 43 | 42 | 27 | 42 | 54 | |
| Fertility coeficients: | ||||||
| RF | 1.1 | 0.77 | 0.69 | 1.2 | 1 | |
| AF | 1.34 | 1.2 | 1.29 | 1.4 | 1.26 | |
| Productivity | Average cluster weight (g) | 108 | 112 | 128 | 124 | 117 |
| Productivity indices: | ||||||
| RPI | 118.8 | 86.24 | 81.92 | 148.8 | 117 | |
| API | 144.72 | 134.4 | 135.12 | 173.6 | 146.93 | |
| Number of clusters/vine | 43 | 42 | 27 | 40 | 49 | |
| Actual yield (kg/vine) | 4.64 | 4.7 | 3.45 | 4.96 | 5.73 | |
| Grape quality | Physical characteristics: | |||||
| Cluster volume (mL) | 100 | 100 | 116 | 115 | 110 | |
| Weight of berries/cluster (g) | 99.52 | 102.83 | 118.96 | 115.7 | 109.45 | |
| Rachis weight/cluster (g) | 8.48 | 9.17 | 9.04 | 8.3 | 7.55 | |
| Mechanical composition: | ||||||
| 100-Berry weight (g) | 92 | 115 | 107 | 103 | 91 | |
| Pulp (g) | 73.7 | 96 | 84.08 | 81.23 | 73 | |
| Skin (g) | 10.86 | 11.5 | 12.11 | 12.37 | 10.13 | |
| Seeds (g) | 7.44 | 7.5 | 10.81 | 9.4 | 7.87 | |
| Must composition | Sugar (g/L) | 228 | 230 | 225 | 212 | 220 |
| Total acidity (g/L C4H6O6) | 4.8 | 5.8 | 4.6 | 7 | 5.7 | |
| pH | 3.2 | 2.84 | 3.1 | 3.38 | 3.67 | |
| Year | AS (% alc. vol.) |
TA (g/L C4H6O6) |
VA (g/L C2H4O2) |
Free SO2 (mg/L) |
Total SO2 (mg/L) |
RS (g/L) | D | DE (g/L) |
|---|---|---|---|---|---|---|---|---|
| 2020 | 13.40±0.00 | 4.80±0.02 | 0.32±0.01 | 18±0.00 | 94±0.00 | 0.86±0.02 | 0.9902±0.00 | 18.94±0.01 |
| 2021 | 13.35±0.00 | 5.52±0.01 | 0.28±0.00 | 21±0.00 | 88±0.00 | 2.80±0.01 | 0.9910±0.00 | 18.80±0.00 |
| 2022 | 13.10±0.01 | 4.42±0.00 | 0.34±0.00 | 26±0.00 | 90±0.02 | 1.80±0.00 | 0.9906±0.01 | 18.00±0.00 |
| 2023 | 12.40±0.00 | 6.10±0.02 | 0.26±0.00 | 24±0.00 | 112±0.01 | 1.64±0.00 | 0.9914±0.00 | 18.16±0.01 |
| 2024 | 12.80±0.01 | 5.50±0.00 | 0.30±0.00 | 20±0.00 | 117±0.00 | 2.20±0.01 | 0.9912±0.01 | 18.40±0.00 |
| p-value | <0.0001* | <0.0001* | 0.000* | <0.0001* | <0.0001* | <0.0001* | 1.000 | <0.0001* |
Disclaimer/Publisher’s Note: The statements, opinions and data contained in all publications are solely those of the individual author(s) and contributor(s) and not of MDPI and/or the editor(s). MDPI and/or the editor(s) disclaim responsibility for any injury to people or property resulting from any ideas, methods, instructions or products referred to in the content. |
© 2026 by the authors. Licensee MDPI, Basel, Switzerland. This article is an open access article distributed under the terms and conditions of the Creative Commons Attribution (CC BY) license (http://creativecommons.org/licenses/by/4.0/).
