Preprint
Article

This version is not peer-reviewed.

Optimal Power Structure and Operational Incentives in Live-Streaming Commerce: A Game-Theoretic Analysis of Streamer Influence

Submitted:

20 January 2026

Posted:

21 January 2026

You are already at the latest version

Abstract
The rapid evolution of live-streaming commerce has reshaped retail supply chains, shifting market dominance from manufacturers to influential streamers. Despite this shift, the internal mechanisms selling efforts and paid traffic acquisition—remain underexplored. To bridge this theoretical gap, we develop a game-theoretic framework to model the endogenous power structure, comparing the Streamer-led Top-tier (KS) mode and the Brand-led Ordinary (MS) mode. Our analytical results reveal three key theoretical insights. First and foremost, we identify a strict positive monotonicity between streamer influence and equilibrium decisions. Regardless of the power structure, an increase in influence consistently drives the streamer to intensify operational inputs, while simultaneously inducing the brand to raise the direct selling price. In the second place, consumer sensitivity acts as a positive driver for the Top-tier mode. Higher sensitivity motivates the streamer to scale up selling efforts and paid traffic volume, which corresponds with an optimal increase in the brand's retail price. Moreover, the Top-tier mode exhibits negative sensitivity to operational costs. We prove that rising costs force a significant reduction in the streamer's operational portfolio and a subsequent decrease in the brand's price, indicating that the high-input equilibrium is constrained by cost frictions. From a managerial perspective, numerical experiments reveal a "Consensus on Scale" but a "Conflict on Structure." Specifically, brands maximize profit by collaborating with top-tier streamers, while streamers maximize profit by attaining top-tier influence. However, regarding mode selection, the brand secures significantly higher profitability in the KS mode than in the MS mode, even though the streamer holds channel leadership. Conversely, the streamer generates lower profits in the KS mode than in the MS mode, revealing a "Leadership Trap" where heavy operational burdens outweigh the strategic benefits of dominance.
Keywords: 
;  ;  ;  ;  ;  

1. Introduction

The rise of streaming shopping has changed the shopping industry from the original model of eCommerce to one based on interactive selling in real-time with conversion made immediately via video [1,2].Streaming shopping also combines entertainment and the purchasing of goods together creating a "Fan Economy" where the shopping experience is based not on the platform where a person shops but on its KOL (Key Opinion Leader)[3]. The capabilities of top-tier influencers allow for a large amount of product to be sold in a single session, therefore making these influencers independent distribution centers with a large amount of negotiation power[4]. As a result, there is now a fundamental shift in power in the supply chain[5]. Traditionally, brands acted as Stackelberg leaders in terms of pricing and distribution strategies towards retailers[6]. However, as streamers and KOLs generate significant volumes of private traffic and influence they increasingly demand pricing authority and the role of strategic leadership over brands[7].
This change in power has created an essential strategic question for the brand: Should they attempt to keep their position as the top player to maintain their profits or give up that position to Top-tier streamer so they can take advantage of all the potential extra sales since Top-tier streamers have such an influence over consumers?[8]. The decision is not easy and has a lot of moving parts. By maintaining control as a branded company, they can avoid being penalized for selling products at too low of a price or being force to accept high priced product sales[9], however, they risk limited product sales potential if they fail to leverage everything that the streamer has to offer[10]. Conversely, if they agree to work with a streamer and let them take control of the marketing process, they may receive a tremendous amount of additional sales volume that would not have come to them otherwise; however, they would still need to function as a price follower and accept that they may lose money on every single unit sold[11].
The resolution of this strategic dilemma is made difficult by the imposition of ill-defined operational mechanisms on traffic monetization[12] as traffic sales, are not driven by one variable, but, by the business owner striving and searching for the best balance between transparent selling efforts and costs associated with the traffic that was paid for[13].In past supply chain management research[14], marketing input for streamers has generally been viewed as a single variable rather than differentiating the content-related marketing element from the capital-related traffic acquisition aspect of marketing input. The failure to distinguish these two variables demonstrates a lack of clarity regarding the internal operational logic of the streamer's marketing efforts. Moreover, even though there is a consensus in the academic literature[15] about the significance of the term "streamer influence," there has yet to be a clear definition of that term within the context of the theory of supply chain stability, particularly concerning the ways in which multiple dimensions of streamer influence shape and enable the development of the "fan economy".
In order to address these gaps, this investigation provides an analytic approach to understanding the optimal interaction and motivation between parties in a live-streaming supply chain. There are two distinct power structures within the supply chain: the Streamer-led Top-tier (KS) mode, where the streamer with high influence acts as the Stackelberg leader[8] and the Brand-led Ordinary (MS) mode, where the brand retains dominance[16].In contrast to previous studies, our analytic framework separates the streamer's operational actions such as their level of effort spent on selling items[17] and their volume of paid traffic[18] used to promote their products so that we may compare how the level of streamer influence affects streamers' choice between using selling effort and paid traffic, along with determining which power structure is optimal for the brand.
This research presents three broad contributions to our understanding of the performance of the fan economy. The first contribution is related to the role of influence and its positive, universal nature; we find that regardless of a streamer’s level of influence, as streamers have a greater number of consumers who are influenced, there will be greater demand upon the part of the streamer to improve selling effort level and paid traffic volume. Furthermore, the fan economy demonstrates that consumer sensitivity acts as an efficiency multiplier in the operation of both a top-tier and an emerging brand, and when Consumer has high sensitivity to the streamer's non-price attributes, a greater level of selling effort and paid traffic volume will occur simultaneously with an increase in the brand’s price. Moreover, we reveal the structural susceptibility of the Streamer-led (KS) mode to cost frictions. We find that this high input system is very sensitive to operational costs, and increases in friction will require a reduction in the streamer’s operational portfolio, thereby compelling the brand to reduce its prices in order to reach equilibrium. Finally, our numerical experiments identify the competitive environment as being one of “Consensus on Scale” and “Conflict on Structure”. While both parties agree on the importance of maximizing influence, they disagree on their relative channel leadership. The brand prefers the Streamer-led (KS) mode, which enables the brand to benefit from volume spillover, while the streamer enjoys superior profitability in the Brand-led (MS) mode and avoids the high cost burden generated by the “Leadership Trap”.
The remainder of this paper is organized as follows. Section 2 reviews the related literature. Section 3 describes the model formulation and assumptions. Section 4 derives the equilibrium strategies for the MS and KS power structures. Section 5 presents the theoretical analysis and propositions regarding the impact of influence, consumer sensitivity, and operational costs. Section 6 conducts numerical experiments to visualize the strategic insights and delineate the economic boundaries for mode selection. Finally, Section 7 concludes the paper with managerial implications and directions for future research.

2. Literature Review

Our research is closely related to three streams of literature. Accordingly, this paper will review the literature from three key perspectives: (1) live-streaming commerce and the "Fan Economy," (2) power structures in dual-channel supply chains, and (3) operational effort and traffic acquisition strategies.

2.1. Live-Streaming Commerce and the "Fan Economy"

As the emergence of live-streaming commerce has advanced at a lightning pace, retailer-consumer interactions have evolved from transactional relationships to interactive, live socially engaged consumers with retailer. Shang et al. [19] explore the influence of e-commerce live broadcast background adaptation on consumers' purchase intention and its related internal psychological mechanism. The results show that the positive effect of perceived value on perceived pleasure is greater than that of perceived trust, although perceived trust is the premise of improving perceived value. Complementing this, Duong et al. [20] use the theory of trust transfer to describe the evolving relationship between trust created under e-commerce conditions and its impact on customers’ overall trust levels with regards to purchasing goods from live streaming channels. The summary of the previous studies indicates that, from a consumer's perspective, trust is created and transmitted via digital networks and is viewed as being transferred from the individual to the company or brand through the consumer’s actions and presence on these networks thereby providing the initial basis for the consumer sensitivity parameter in our model.
The effectiveness of live streaming as a Sales Channel is not uniform across streamers due to the large number of different attributes; these attributes vary from streamer to streamer, and thus the impact that a streamer's fans and their ability to influence others is influenced by both the streamer’s physical and virtual attributes. Fan & Zhang [21] provide evidence of variability within the KOL-based market by examining how short video and live-streaming are integrated into commerce and how this affects both KOLs and manufacturers' abilities to charge premium prices for their products. In this study it was found that high-influence KOLs can help manufacturers charge higher prices for their products, while low-influence KOLs force manufacturers to take different strategic actions. Chen et al. [22]elaborate this further by analyzing a dataset of over 55, 000 shows to find that a large fan base does not always help, as the positive effect of fan base only exists conditionally. Moreover, the definition of a "streamer" is expanding: Gao et al. [23] found that "coolness factors" of virtual streamers drive purchase intention; at the same time. S. Liu et al. [24]studied the partial and full uncertainty elimination effects of AI avatar streamers and real human streamers, respectively. In general, published research confirms the viewpoint of "streamer influence" as a multi-dimensional variable that has a structural impact on value creation.
The differing levels of influence from Streamers and sensitivity from consumers will result in Strategic Supply Chain Configurations, such as Channel Leadership and Marketing Modes, being determined endogenously, or internally. Wan et al. [25] used Stackelberg game to discover how a Streamer's Social Influence will determine what type of marketing strategy will yield optimal results. Similarly, Xin et al. [26]find that when consumers react positively towards live-streamed products, it is beneficial for the brand manufacturer to employ special live streaming. Ji et al. [27] broaden the application of live channel pricing strategies; they find that decision-makers are more likely to offer a live channel promotion and raise the price of the traditional online channel under the dynamic price scheme. K. Li et al. [28] indicate that live-streaming channels attract consumers with high patience and encourage their engagement.
Even though there has been much investigation into operational strategy and consumer behavior, a common theoretical framework does not exist in the literature to quantitatively combine Streamer Influence ( τ ) and Consumer Sensitivity ( γ ) with supply chain equilibrium models. Previous literature acknowledges the significance of the fan economy but has not adequately explored how both core parameters work together to create a "Scale Effect" to operational inputs and to drive the "Efficiency" of value creation.

2.2. Power Structures in Supply Chains

The hierarchy of decision-making authority within a supply chain serves as the primary governance cause of profit allocation and operational efficiency which is referred to as power structures. Prior to the evolution of supply chain research from looking at supply chain power structures in a static manner with single decision-maker types into an analysis of the strategic impact of having different channel leaders within different operational and informational environments with dynamic supply chains. Traditionally, the focus of supply chain research has been on the three primary configurations of manufacturing Stackelberg, retailing Stackelberg, and vertical Nash, attempting to discover which configuration creates the highest outcomes for particular members within supply chain organizations.
The preferences of supply chain participants for a specific type of power structure are not constant and can change in response to the dynamics of the marketplace and other external factors, such as information regarding inventory policies and levels of transparency within the supply chain. M. Li & Mizuno[29] examined this premise using a periodic review system and discovered that the manufacturers prefer the manufacturer Stackelberg structure when the wholesale price is high. In contrast, when the wholesale price is low, the manufacturers prefer to operate under the Vertical Nash structure. Hu et al. [30]reveal that information asymmetry affects dual-channel supply chains differently depending on the power structure of each member in a dual-channel supply chain. Wu et al. [31] find that the introduction of big data-driven credit payment services creates a divergence in preferences; generally, retailers experience positive benefits from this development; however, manufacturers' preferences for either a manufacturer Stackelberg or retailer Stackelberg will fluctuate depending upon whether the trade-off leans toward opportunity costs or consumer demand. Wang et al. [32]extended this concept into group decision making and investigates a two-stage consensus feedback mechanism that considers different power structures.
Having channel leadership does not assure companies superior profits, which means businesses will sometimes need to give away their channel power de-emphasized and focus on maximizing profits. According to Xiao et al. [33] find that the retailer when finding store brand introduction is favorable may express preferences for power, abdicate power initiatively, or strive to be the game follower to improve profitability. In addition, followers may deliberately engage in misrepresentation in order to defend against dominance from their leader. G. Zhang et al. [34] explore the issue of misuse of information in dual-channel sales processes, where the follower is often pressed to resort to such activity to balance out their leader's power as a means of surviving or gaining an advantage. While this type of activity may net the follower personal gain, it also has an adverse effect on the overall profitability of the entire supply chain.
Sustainability mandates and emerging technology will change how traditional established power structures understand each other’s relationships. Yuan et al. [35] conducted a study on the adoption of blockchain and discovered that suppliers have strong reasons to adopt blockchain because of its transparency, but retailers' adoption of blockchain will depend on many aspects, such as how convenient consumers find shopping, the preferences of consumers, and where the retailers fit into their competitive landscape. Tao et al. [36] reveal that, under two different supply chain structures, while both suppliers and consumers will benefit from the use of blockchain technology, there are some circumstances under which a supplier may actually have disincentives to maintain high levels of product quality because they are incentivized by the use of blockchain technology; therefore, this outcome would ultimately harm the consumer. In the realm of sustainability, N. Zhao et al. [37] state that the manufacturer encroachment (a display of power) and low-carbon propaganda provide motivation for manufacturers to increase renewables investments.
In contrast to the extensive analysis of traditional Manufacturer-Stackelberg and Retailer-Stackelberg structures, existing literature has largely overlooked the unique power dynamics of the "Fan Economy," particularly the trade-offs between the Streamer-led Top-tier mode and the Brand-led Ordinary mode. Current models often fail to explain the strategic rationale behind a brand's decision to cede channel leadership to a high-influence streamer. Furthermore, there is a lack of rigorous analysis regarding the "Strategic Mode Selection" boundaries, specifically determining the exact commission rate thresholds (e.g., η ) that dictate the shift in structural preference. This study addresses this theoretical gap, giving a full explanation of how these power constructs operate within economic confines and suggesting what the most beneficial business strategy might look like under an economically viable market setting.

2.3. Operational Effort and Traffic Acquisition Strategies

The generation of value in live-streamed media is defined by two primaries but interrelated operational processes: 1) making sales through both the quality of the content and the level of interaction with viewers; and 2) managing the traffic to a livestream by effectively coordinating the flow of viewers. Whereas in traditional retail "effort" may be considered a general cost associated with enhancing demand for a product, there are several complex variables that influence the overall value created as well as the specific values assigned to the various activities that constitute a livestream. There has been increasing interest among researchers in understanding how these relationships work, and recent research has led to a better understanding of both the internal effort utilized to convert viewers, as well as the external strategies and tactics used to attract them to a livestream.
The effectiveness of selling is now more reliant on the balance of providing entertainment versus information, both of which will increase consumer immersion but also lead to increased risk for the company’s operations. Gu et al. [38] the streamer’s expected profit per attending consumer first decreases and then increases with higher entertainment bandwidth, forming a U-shaped relationship. Lv et al. [39]indicates that informativity, entertainment, and interactivity all had a positive effect on Immersion; and Immersion had a positive effect on viewers’ interest in tourism products and live streaming. Feng et al. [40] found that live social interactions have a "persuasion effect" that negatively influences customers' behaviors in terms of product returns. Wang et al. [41] found that the moderating effect of intelligent recommender systems on the relationship between perceived value and engagement with live streaming as well as purchase intention was positive, whereas the moderating effect of intelligent recommender systems on the relationship between perceived cost and purchase intention was negative.
New traffic acquisition methodologies have exceeded traditional forms of advertising with non-price mechanisms and hybrid methodologies that take advantage of content creation strategies; however, the ability of streamers using these methods to actively acquire traffic is highly dependent on the existing level of influence. W. Zhang et al. [42]show that "lucky draws" (or sweepstakes) are popular tools for increasing traffic, and while they may increase sales immediately after being promoted, the negative impacts of removing the promotion on future buyer behavior may outweigh the positive effects. The benefit from lucky draw is based on the popularity of the streamer promoting the lucky draw. Streamers who are less well-known are more likely to see an increase in customer purchases than top-tier streamers. K. Zhao et al. [43] examine the phenomenon of "content switching" on platforms such as Twitch, identifying both direct (positive) spillover from new streamers to viewers (direct spillover) and indirect (positive) spillover through increased visibility of that category (indirect spillover) exist; Zheng et al. [44]explore that e-commerce online retailer should investigate what really engages purchasers rather than simply relying on “likes” as a proxy for engagement since their analysis reveals that "like" behaviors produced no statistically significant results in actual customer acquisition.
As supply chains face increasing complexity in aligning their operational incentives with mitigating any agency issues, Hybrid commitment models and Dynamic compensation plans are starting to be adopted to assist with screening for the capability of streamers. Xiao et al. [45]investigate how commitments affect both parties (i.e., sellers and live-streamers). They demonstrate that by having a commitment regarding sales efforts, both parties benefit each other. Furthermore, hybrid commitments motivate sellers to store larger quantities of inventory and also produce additional effort from live-streamers when compared to either a sales commitment or an effort commitment by itself. Live-streamers always prefer hybrid commitments, while sellers prefer the sales-only commitment. Yang et al. [46] find that well-structured incentive plans can help eliminate poor-performing streamers and also bring in high talent streamers; Du et al. [47] demonstrate that if a live streaming channel does not meet the minimum required level of the streamer’s sales ability and potential consumer size of the live streaming channel to the total consumer size, it would turn negative for the manufacturer to integrate that channel into their business practices.
While empirical studies provide rich details on streamer behaviors, theoretical models rarely integrate both "Selling Effort" ( θ ) and "Paid Traffic Volume" ( δ ) as simultaneous decision variables subject to convex costs. Consequently, the literature has not yet systematically connected these operational dimensions to the cost sensitivity of the supply chain. Specifically, how the operational cost coefficients ( C 1 , C 2 ) constrain the optimal strategies in the high-input KS mode remain unclear. There is a lack of analytical modeling that investigates how this cost frictions interact with streamer influence to determine the stability of the equilibrium. This paper integrates these operational decisions into a game-theoretic framework to examine the sensitivity of optimal strategies to cost shocks and to derive implications for lowering operational friction.
Table 1. Summary of key studies related to this study.
Table 1. Summary of key studies related to this study.
Key Related Studies Streamer
Influence
Streamer
Sales Effort
Traffic Acquisition Power
Structure
Wan et al. [25]
Fan & Zhang [21]
M. Li & Mizuno [29]
Xiao et al. [33]
Wu et al. [31]
Yang et al. [46]
Xiao et al. [45]
Feng et al. [40]
W. Zhang et al. [42]
This study

3. Problem Description

3.1. Notations

To facilitate the subsequent model formulation and analysis, Table 2 summarizes the key parameters and decision variables used in our model.

3.2. Problem

We consider a dual-channel supply chain[6] consisting of a single brand (referred to as "the brand") and a single live-streaming influencer (referred to as "the streamer"). The brand distributes a product through two distinct channels: a traditional direct sales channel (e.g., an official website) and a live-streaming channel hosted by the streamer. A core structural characteristic of this supply chain is the linkage in pricing strategies. Consistent with the industry practice where live-streaming is positioned as a discount-driven promotional channel, the retail price in the live-streaming channel, denoted as p s , is strictly tied to the direct channel price P d via a discount rate λ , such that P s = ( 1 λ ) P d . This setup captures the "lowest price" value proposition inherent to live commerce while allowing the brand to control the baseline pricing structure.
To capture the market dynamics, we adopt linear demand functions to isolate the specific impacts of price and non-price attributes[48]. The total market base is set to 1, with a (the intrinsic market's share) representing the part of the direct channel and 1 a   representing the part of the live-streaming channel.[49]. As price differences can affect consumer purchasing decisions, these effects are measured using the cross-price sensitivity coefficient β [50]. A key component of our model has been the endogenizing of the "Fan Economy" in the demand for live streaming. In addition to price, we believe that demand is affected by the streamer influence ( τ )[51], selling efforts level( θ )[52], and paid traffic volume ( δ )[53]. Thus, our definition of the demand functions for the Direct Channel ( D d )and for the Live-Streaming Channel ( D s ) explains the effects of these inputs:
D d = a P d + β P s
D s = ( 1 a ) P s + β P d + γ ( τ + θ ) + δ
The parameter τ in Equation (2) represents the level of influence on the streamer as it is used to classify streamer types based upon the structural criterion of influencer types.,The Top-Tier Streamer ( τ = τ H ) has a high level of influencer type while the Ordinary Streamer ( τ = τ L ) has a low level of influencer type   ( τ H > τ L ) [51].The parameter γ ( τ + θ ) in this equation is defined with respect to the demand created by the organic fan base and indicates that the streamer's effort to sell ( θ ) is magnified by his/her natural level of influence ( τ ) and their fans' sensitivity ( γ ).In contrast, paid traffic volume( δ ) is modeled as an additive term independent of γ , reflecting that purchased traffic increases visibility mechanically regardless of fan loyalty.
Regarding the cost structure, the streamer generates revenue solely through a commission rate η paid by the brand but incurs operational costs for marketing activities. To reflect the law of diminishing marginal returns, we model these costs as convex quadratic functions. The cost of selling effort is given by 1 2 C 1 θ 2 , where C 1 represents the cost coefficient of selling effort. Similarly, the cost of acquiring external traffic is 1 2 C 2 δ 2 , where C 2 represents the market efficiency.
Based on the demand and cost structures described above, the general profit functions for the brand ( π b ) and the streamer ( π s ) are formulated as follows:
π b = ( P d c ) D d + ( ( 1 η ) P s c ) D s
π s = η P s D s 1 2 C 1 θ 2 1 2 C 2 δ 2
The interaction is modeled as a Stackelberg game under complete information. The sequence of moves is strictly determined by the supply chain power structure, which depends on the streamer's influence type. In the Streamer-led Top-tier (KS) mode ( τ H ), the streamer acts as the leader, moving first to determine the selling effort level θ and paid traffic volume δ ; the brand acts as the follower, observing these decisions and subsequently setting the direct retail price p d . In contrast, In the Brand-led Ordinary (MS) mode ( τ L ), the brand acts as the leader, moving first to set the direct retail price p d ; the streamer acts as the follower, observing the price and subsequently determining the selling effort θ and paid traffic volume δ . To visually summarize these structural distinctions, Figure 1 illustrates the specific decision sequences and channel interactions for both the Streamer-led (KS) and Brand-led (MS) modes. The specific equilibrium analyses for these two modes are detailed in Section 4.

4. Model Formulation and Optimal Decision-Making

In this chapter, we investigate the equilibrium strategies of the supply chain members under two distinct power structures: the Streamer-led Top-tier Mode (KS) and the Brand-led Ordinary Mode (MS) . We utilize a Stackelberg game framework to model the strategic interaction between the brand and the streamer. The solution concept employed is the Subgame Perfect Nash Equilibrium (SPNE), derived via backward induction. We first analyze the scenario where a top-tier streamer ( τ H ) acts as the leader, corresponding to the KS mode, followed by the scenario where the brand acts as the leader over an ordinary streamer ( τ L ).

4.1. Streamer-led Top-tier Mode (KS)

In the Streamer-led Top-tier Mode (KS), the streamer acts as the Stackelberg leader with high influence ( τ H ), while the brand acts as the follower. The decision sequence dictates that the streamer first determines the optimal selling effort ( θ ) and paid traffic volume ( δ ), anticipating the brand's pricing reaction; subsequently, the brand sets the direct retail price ( P d ).
To explicitly capture the market power of the top-tier streamer, the demand function for the live-streaming channel (from Eq. 2) is instantiated with the high influence parameter τ = τ H . Thus, the effective demand functions faced by the supply chain in the KS mode are:
D d K S = a P d K S + β P s K S
D s K S = ( 1 a ) P s K S + β P d K S + γ ( τ H + θ K S ) + δ K S
We solve the game using backward induction. In the second stage, given the streamer's decisions, the brand determines the retail price to maximize its profit. The brand's optimization problem in the KS mode is given by:
π b K S = ( P d K S c ) D d K S + [ ( 1 η ) P s K S c ] D s K S
In the first stage, the streamer acts as the leader, choosing the optimal operational inputs to maximize her profit while anticipating the brand's response. The streamer's optimization problem is:
π s K S = η P s K S D s K S 1 2 C 1 ( θ K S ) 2 1 2 C 2 ( δ K S ) 2
To ensure that the derived solution represents a unique profit-maximizing point rather than a saddle point, we require that the second-order sufficiency conditions hold. Specifically, the Hessian matrix of the streamer’s profit function with respect to the decision variables θ and δ must be negative definite. This requires that the principal minors satisfy H 1 < 0 and H 2 > 0 , implying that the operational cost coefficients C 1 and C 2 are sufficiently large relative to the revenue sensitivity parameters to ensure strict concavity.
Proposition 1.
In the Streamer-led Top-tier Mode (KS), provided that the Hessian matrix is negative definite, the unique Subgame Perfect Nash Equilibrium strategies for the streamer's selling effort , paid traffic volume , and the brand's direct retail price are given by:
θ K S = C 2 γ η ( 1 + λ ) ( c ( 1 + β ) ( 1 + β ( 1 + λ ) ) ( 2 + λ ) + a ( 2 + η 2 ( 1 + λ ) 3 + β ( 1 + λ ) ( 2 + ( 4 + η ) η ( 1 + λ ) + 3 λ ) + λ ( 5 + ( 3 + λ ) λ ) 2 η ( 1 + λ ) ( 2 + ( 2 + λ ) λ ) ) ( 1 + η ) ( 1 + λ ) ( 3 + β ( 3 + η ) ( 1 + λ ) + η ( 1 + λ ) 2 ( 2 + λ ) λ ) ( 1 + γ τ H ) ) C 2 γ 2 ( 1 + η ) η ( 1 + λ ) 2 ( 3 + β ( 3 + η ) ( 1 + λ ) + η ( 1 + λ ) 2 ( 2 + λ ) λ ) + C 1 ( ( ( 1 + η ) η ( 1 + λ ) 2 ( 3 + β ( 3 + η ) ( 1 + λ ) + η ( 1 + λ ) 2 ( 2 + λ ) λ ) ) + 2 C 2 ( 2 + β ( 2 + η ) ( 1 + λ ) + η ( 1 + λ ) 2 ( 2 + λ ) λ ) 2 )
δ K S = C 1 η ( 1 + λ ) ( c ( 1 + β ) ( 1 + β ( 1 + λ ) ) ( 2 + λ ) + a ( 2 + η 2 ( 1 + λ ) 3 + β ( 1 + λ ) ( 2 + ( 4 + η ) η ( 1 + λ ) + 3 λ ) + λ ( 5 + ( 3 + λ ) λ ) 2 η ( 1 + λ ) ( 2 + ( 2 + λ ) λ ) ) ( 1 + η ) ( 1 + λ ) ( 3 + β ( 3 + η ) ( 1 + λ ) + η ( 1 + λ ) 2 ( 2 + λ ) λ ) ( 1 + γ τ H ) ) C 2 γ 2 ( 1 + η ) η ( 1 + λ ) 2 ( 3 + β ( 3 + η ) ( 1 + λ ) + η ( 1 + λ ) 2 ( 2 + λ ) λ ) + C 1 ( ( ( 1 + η ) η ( 1 + λ ) 2 ( 3 + β ( 3 + η ) ( 1 + λ ) + η ( 1 + λ ) 2 ( 2 + λ ) λ ) ) + 2 C 2 ( 2 + β ( 2 + η ) ( 1 + λ ) + η ( 1 + λ ) 2 ( 2 + λ ) λ ) 2 )
P d K S = C 2 γ 2 ( 1 + η ) η ( a + c ( 1 + β ) ( 2 + λ ) ) ( 1 + λ ) 2 + C 1 ( ( 1 + η ) η ( a + c ( 1 + β ) ( 2 + λ ) ) ( 1 + λ ) 2 2 C 2 ( 2 + β ( 2 + η ) ( 1 + λ ) + η ( 1 + λ ) 2 ( 2 + λ ) λ ) × ( 1 + c ( 1 + β ) ( 2 + λ ) + γ τ H η ( 1 + λ ) ( 1 + a γ τ H ) + λ ( 1 + a γ τ H ) ) ) 2 C 1 ( 1 + η ) η ( 1 + λ ) 2 ( 3 + β ( 3 + η ) ( 1 + λ ) + η ( 1 + λ ) 2 ( 2 + λ ) λ ) 2 C 2 γ 2 ( 1 + η ) η ( 1 + λ ) 2 ( 3 + β ( 3 + η ) ( 1 + λ ) + η ( 1 + λ ) 2 ( 2 + λ ) λ ) + 4 C 1 C 2 ( 2 + β ( 2 + η ) ( 1 + λ ) + η ( 1 + λ ) 2 ( 2 + λ ) λ ) 2
The proof is relegated toAppendix A. □
The equilibrium strategies derived in Proposition 1 illuminate the strategic distinctiveness of the Streamer-led power structure, where the top-tier streamer acts as a dominant strategic driver rather than a passive sales agent. Unlike the ordinary follower in the MS mode, the leader in the KS mode internalizes the brand's pricing reaction function into their optimization problem, thereby strategically pre-committing to specific levels of selling effort ( θ K S ) and traffic investment ( δ K S ). The analytical solution reveals that the streamer’s high influence ( τ H ) functions as a structural multiplier, amplifying the marginal revenue product of operational inputs and incentivizing aggressive investment despite convex costs. The streamer is predicting that, in response to a surge in demand, the brand will rationally increase the price ( P d K S ) of its product, thereby allowing the streamer to benefit from the additional revenue created by this increased price. As a result, the streamer has positioned the supply chain to operate within a "high value", "high demand" environment. In this way, the streamer is able to maximize the potential of the "Fan Economy" ( γ ) compared to the established Margins-Driven model of pricing.

4.2. Brand-led Ordinary Mode (MS)

In the Brand-led Ordinary Mode (MS), the MS model has the balance of power with the brand and streamers who have little influence in this model ( τ L ). The decision sequence is reversed compared to the KS mode: the brand acts as the Stackelberg leader, first determining the direct retail price ( P d ); subsequently, the streamer acts as the follower, observing the price and determining the optimal selling effort ( θ ) and paid traffic volume ( δ ).
Reflecting the limited capability of the ordinary streamer, the live-streaming demand function incorporates the low influence parameter τ = τ L Consequently, the specific demand functions in the MS mode are expressed as:
D d M S = a P d M S + β P s M S
D s M S = ( 1 a ) P s M S + β P d M S + γ ( τ L + θ M S ) + δ M S
We solve the game using backward induction. In the second stage, observing the brand's pricing decision, the ordinary streamer determines her operational inputs to maximize her own profit. The streamer's optimization problem in the MS mode is given by:
π s M S = η P s M S D s 1 2 C 1 ( θ M S ) 2 1 2 C 2 ( δ M S ) 2
To ensure that the streamer's reaction functions yield a unique maximum, we require the second-order sufficiency conditions to be satisfied. The Hessian matrix of the streamer’s profit function with respect to θ and δ must be negative definite. Similar to the KS mode, this implies that the operational cost coefficients must satisfy specific conditions ( H 1 < 0 and H 2 > 0 ) to guarantee strict concavity.
In the first stage, the brand acts as the leader, anticipating the streamer's reaction functions θ ( P d ) and δ ( P d ) . The brand chooses the optimal retail price to maximize its total profit from both channels. The brand's optimization problem is:
π b M S = ( P d M S c ) D d M S + ( 1 η ) P s M S c D s M S
Proposition 2.
In the Brand-led Ordinary Mode (MS), the unique Subgame Perfect Nash Equilibrium strategies for the brand's direct retail price ( P d M S ), the streamer's selling effort ( θ M S ), and paid traffic volume( δ M S ) are given by:
θ M S = γ η ( 1 + λ ) ( c C 1 η ( 1 + λ ) + c C 2 γ 2 η ( 1 + λ ) + C 1 C 2 ( 1 + c ( 1 + β ) ( 2 + λ ) + γ τ L η ( 1 + λ ) ( 1 + a γ τ L ) + λ ( 1 + a γ τ L ) ) ) C 1 ( 2 C 1 ( 1 + η ) η ( 1 + λ ) 2 2 C 2 γ 2 ( 1 + η ) η ( 1 + λ ) 2 + 2 C 1 C 2 ( 2 + β ( 2 + η ) ( 1 + λ ) + η ( 1 + λ ) 2 ( 2 + λ ) λ ) )
δ M S = η ( 1 + λ ) ( c C 1 η ( 1 + λ ) + c C 2 γ 2 η ( 1 + λ ) + C 1 C 2 ( 1 + c ( 1 + β ) ( 2 + λ ) + γ τ L η ( 1 + λ ) ( 1 + a γ τ L ) + λ ( 1 + a γ τ L ) ) ) C 2 ( 2 C 1 ( 1 + η ) η ( 1 + λ ) 2 2 C 2 γ 2 ( 1 + η ) η ( 1 + λ ) 2 + 2 C 1 C 2 ( 2 + β ( 2 + η ) ( 1 + λ ) + η ( 1 + λ ) 2 ( 2 + λ ) λ ) )
P d M S = c C 1 η ( 1 + λ ) + c C 2 γ 2 η ( 1 + λ ) + C 1 C 2 ( 1 + c ( 1 + β ) ( 2 + λ ) + γ τ L η ( 1 + λ ) ( 1 + a γ τ L ) + λ ( 1 + a γ τ L ) ) 2 C 1 ( 1 + η ) η ( 1 + λ ) 2 2 C 2 γ 2 ( 1 + η ) η ( 1 + λ ) 2 + 2 C 1 C 2 ( 2 + β ( 2 + η ) ( 1 + λ ) + η ( 1 + λ ) 2 ( 2 + λ ) λ )
The proof is relegated toAppendix B. □
The equilibrium strategies derived in Proposition 2 highlight the structural passivity of the ordinary streamer in the MS mode. Unlike the KS mode, where the leader strategically pre-commits to operational levels to shape the market, the ordinary streamer's optimal effort ( θ M S ) and traffic ( δ M S ) are derived from best-response functions conditional on the brand's retail price ( P d M S ). The analytical solution indicates that the streamer’s marketing intensity is strictly constrained by operational efficiency and the marginal revenue dictated by the brand's pricing signal. Lacking the high influence ( τ L ) to induce the brand into a volume-centric strategy, the ordinary streamer adopts a reactive stance. Throughout the establishment of retail pricing for the purpose of maximizing direct channel margins, the brand views its use of live streaming as a distribution channel, which is supplemental to its retail channel (and not the main source of profit creation). Due to the lack of an influence multiplier effect, the supply chain reverts to a traditional brand-centric supply chain hierarchy, thus limiting the ability of streamers to drive market growth, as they do not possess the authority to make strategic promotional decisions.

5. Model Analysis

The following will present an in-depth analysis regarding how three market parameter types affect optimal decision-making within the live streaming environment: streamer influence ( τ ), consumer sensitivity ( γ ), and operational costs( C 1 & C 2 ).The quantitative comparison will provide a view of the equilibrium strategies (including direct pricing   P d , selling effort level θ , and volume of paid traffic   δ ). By decoupling the studies based on the two power structures (KS and MS), it will be possible to identify what specifically will be the operational mechanisms that will create value for each of the live streaming supply chains.

5.1. Impact of Streamer Influence

The nature of the streamer influence( τ ), where they have the ability to drive traffic and their fan base is the main differentiating factor and the primary thing that determines the difference between the different market positions of the streamer. To identify the baseline “Scale Effect," we will establish how variations in streamer influence( τ ) have an impact on both of power structures and have an effect on the optimal operational strategies for each of the two power structures used by streamers.
Proposition 3.
Regardless of the specific power structure, an increase in streamer influence consistently acts as a positive driver for operational inputs and retail prices. Specifically, the optimal direct price, selling effort, and paid traffic volume exhibit strict monotonicity with respect to influence in both modes:
(i) In the KS Mode:
P d K S τ H > 0 , θ K S τ H > 0 , δ K S τ H > 0
(ii) In the MS Mode:
P d M S τ L > 0 , θ M S τ L > 0 , δ M S τ L > 0
The proof is relegated toAppendix C. □
In proposition 3, the influence of streamer is regarded as a universal "scale multiplier" that transcends the hierarchy of power. Economic logic shows that there is a strong "asset-flow complementarity" between the streamer's social capital (influence) and operational traffic. The influence of streamers has improved the marginal output of enterprise marketing input. If the streamer has top-tier influence, the effort to convert paid traffic into sales will be much greater than that of the streamer with low influence. Therefore, maximizing profits through rational and profit-maximizing choices can not only increase the volume of operating activities, but also maximize revenue. Regardless of the decision-making order in the "scale strategy", the inherent participation of a larger fan base will naturally increase the participation.
In addition, due to the expansion of the scope of operation, the scope of operation of streaming media companies provides more positive "positive spillover" for the brand's pricing strategy. The increase in marketing activities related to the increase in streamer sales and paid traffic has made the overall demand curve move up significantly. This upward movement is called the "demand expansion effect", that is, the trade-off between brand profits and sales is significantly reconfigured. Due to the influence of anchors, brand products have attracted more potential consumers, and the elastic constraints of brand demand have become smaller. Therefore, brands can increase direct sales prices and obtain a lot of value brought by the influence of streamers while continuing to maintain high sales. Therefore, price increases generally pull all members of the supply chain into the "high-flow and high-value balance", further strengthening the premise that inherent influence is the first driving force of market size.

5.2. Impact of Consumer Sensitivity

The intensity of the "Fan Economy" is captured by the parameter   ( γ ) , which reflects how much consumers appreciate the non-price qualities of the streamer and their level of effort to engage with them. This situation informs our theoretical approach to how "Sensitivity to Fan Engagement" drives the decision-making process of a top-tier streamer ( τ H ), whose powerful influence network causes the system to respond strongly to consumer engagement factors.
Proposition 4.
In the KS Mode, an increase in consumer sensitivity ( γ ) serves as a global multiplier for value generation. Consequently, as consumer sensitivity increases, the optimal selling effortlevel,paid traffic volume, and direct pricing will be strictly positively monotonically correlated to consumer sensitivity:
P d K S γ > 0 , θ K S γ > 0 , δ K S γ > 0
The proof is relegated toAppendix D. □
Proposition 4 outlines the "Amplifier" Mechanism of the Fan Economy, showing how sensitivity reveals previously hidden economic value from influences. By possessing a large fanbase that can respond to the high-level of influence, consumer sensitivity acts as a Multiplying Factor or Conversion Efficiency Multiplier for all the different types of monetization techniques that streamer uses. Consumers with a greater "sensitivity" will be more significantly impacted by the product that's available through the streamer. The "high" marginal utility created for fans by their streaming and social media activities will turn those fans into actual buyers. With increased marginal returns and an increasing reliance on the "Aggressive Operational Posture," the streamer has intensified its internal efforts in selling, but has also intensified its external efforts in terms of traffic acquisition as it expands its market. The result has been a positive feedback of the interplay between these two types of operational intensities, and this positive feedback is driving the maximal monetization of the streamer’s influence assets.
Correspondingly, as a result of increased momentum in operational activities, the brand is positioned to benefit strategically from 'Price-Volume Leverage.' The brand has lost its 'channel leadership' position in KS mode, but by virtue of this loss, the brand is able to take advantage of the tremendous amount of positive 'spillover' (ongoing effects) provided by the aggressive expansion of the streamer of operations and traffic, which pushes out on the combined Demand Curve significantly, thus creating a 'Volume Compensation Effect'. The increase in demand essentially mitigates the usual price elasticity faced by the brand, allowing the brand to increase direct sales prices to capture and retain increased surplus value. Therefore, when the Supply Chain operates in a highly consumer sensitive environment, this creates a situation where all of its selling effort level( θ K S ) , paid traffic volume( δ K S ) , and direct pricing( P d K S ) increase simultaneously at an optimum level referred to as "Performance Equilibrium".

5.3. Impact of Operational Costs

In addition, we will investigate how sensitive equilibrium strategies are to operational frictions, including the cost coefficient of selling effort( C 1 ) and the cost coefficient of paid traffic volume( C 2 ). These two parameters measure the marginal resistance to creating value.
Proposition 5.
In the KS Mode, optimal strategies are always negatively sensitive to the operational cost coefficients. In this case, the system is characterized as having a "High-Effort, High-Sensitivity" to operational costs. An increase in either operational cost ( C 1 & C 2 ) will reduce the direct pricing ( P d K S ) , selling effort level  ( θ K S ) , and volume of paid traffic   ( δ K S ) across the supply chain as a whole.:
(i) Sensitivity to Selling Effort Cost ( C 1 ): A marginal increase in selling effort cost ( C 1 ) will cause an equally large reduction in all areas: P d K S ,   θ K S , and δ K S .
P d K S C 1 < 0 , θ K S C 1 < 0 , δ K S C 1 < 0
(ii) Sensitivity to Paid Traffic Volume Cost ( C 2 ): Likewise, a marginal increase in paid traffic volume cost ( C 2 ) will produce what could be considered a systemic impact; reduction of all strategic decision-making variables across the board: P d K S ,   θ K S , and δ K S .
P d K S C 2 < 0 , θ K S C 2 < 0 , δ K S C 2 < 0
The proof is relegated toAppendix E. □
In Proposition 5, we show that the KS Mode is very sensitive regarding costs. High Input Systems are not just capital-intensive, but they require heavy operational input to support them under a full range of conditions. Additionally, the KS Mode relies heavily on its dominance and the large volume of viewers to maintain this level of dominance. Therefore, due to the mathematically derived results, any increase in friction( C 1 & C 2 ) results in a reconfiguration across its entire operational portfolio, not just within the given localized market space, to preserve its profitability margins.
Furthermore, operational contraction can further lead to a "chainwide" collapse of the entire supply chain. When streamer reduces its operational inputs( θ , δ ), this leads to reduced demand resulting in an inward shift in the aggregate demand curve (the opposite of the expansion effect mentioned in Proposition 4). The brand has no choice but to reduce their selling price of product (i.e., both direct and spillover sales) to keep pace with the lower volume of sales in order to maintain sales velocity. Proposition 5 shows that while the KS model contains great potential for performance, It only works if there is sufficiently low friction to maintain this equilibrium.

6. Numerical Analysis

In this section, we examine the multiple experiments numerically that were used to validate the theoretical propositions presented in Section 5. By performing these analysis, we can also quantitatively measure the effects of all major market variables, such as streamer influence ( τ ), consumer sensitivity ( γ ), operational costs ( C 1 , C 2 ), and contract terms ( η , λ ).
In order to clearly delineate the Streamer Influence from that of the cooperative mode, our methodology consists of four distinct logical steps. In Section 6.1, there will be a comparison between the KS model and the MS model. The disparity between these two models will illustrate the total profits attributable to the enormous amount of Streamer Influence. In Section 6.2, we have addressed the effects of different forms of streaming on an individual's experience by identifying where the KS mode would provide the same or similar level of influence as the MS mode through an analysis of the effect of streaming in each mode and providing evidence of a "Leadership Trap" created by KS mode and the "Free-Rider" advantages to a brand. In Section 6.3, we will evaluate when the brand should strategically transition to the KS mode and in what fashion; we will then correlate these analysis results with an economic construct of supply-chain members; as the members have a "Consensus on Scale" in terms of accumulating influence but a "Conflict on Structure" in terms of selecting the streaming mode, we will demonstrate how this applies to different types of supply chain relationships.
Based on literature[51,54,55]and practices found within business; we established our baseline parameter set to guarantee both numerical stability and economic viability.. We adopt the following baseline parameter set for our simulations: market share potential a = 0.6 , production cost c = 0.2 , cross-price elasticity β = 0.6 , consumer sensitivity γ = 1.3 , commission rate η = 0.3 , discount rate λ = 0.2 , effort cost coefficient C 1 = 3.0 , and traffic cost coefficient C 2 = 5.0 . Unless explicitly stated, the numerical stability and economic viability remains constant as all specific parameters are varied to assess the effect on system performance.

6.1. Analysis of Scale Effect: Top-tier vs. Ordinary Streamers

6.1.1. Impact of Consumer Sensitivity

This research directly compares the profitability of a Top-tier Streamer (KS Mode: τ H = 2.0 ) to that of an Ordinary Streamer (MS Mode: τ L = 0.1 ) in order to explore the impact of consumer sensitivity ( γ ) on the creation of value at various levels of influence. This allows us to calculate the "Scale Effect" of fan economies.
The Figure 2 shows the progression and flow of equilibrium profits to both the brand and the streamer based on how much they are going to be able to influence consumer purchasing behavior when the Sensitivity Parameter increases from 0.5 to 2.0. The results confirm what has been expected, namely that the equilibrium profits of all supply chain members grow, though at different rates for the same two supply chains; indicating a very different approach to how each supply chain member delivers value, and demonstrating why the Top-tier (KS) mode provides so much unique additional value.
The KS structure produces a much faster increase in profit than the MS structure. The profit curves for both the brand and streamer operating with the KS model (Red Lines) are rapidly rising, resulting in a rapidly widening disparity between them and their MS counterparts (Green Lines). The conclusion of this analysis is that high consumer sensitivity is acting as a strong "multiplier" for the effect of streamer influence. In the KS model, the top-tier streamer has the influence necessary to convert enthusiasm from fans into real economic value, and thus use that high degree of influence to create a tremendous volume of profits. The flat trajectory of the MS curves illustrates that the possibilities for economic success resulting from the fan economy are primarily dormant for ordinary streamers without significant influence; therefore, without the catalyst of substantial streamer influence, it is not possible to monetize high consumer sensitivity.
Additionally, results show higher profits generated for the Brand under high consumer sensitivity in the KS model than in the MS model. Therefore, it is reasonable to infer that within those industries where fan engagement is at its peak, the cost of giving up the leadership position for an improved efficiency is significantly lower when compared to the KS structure, which provides access to the "fan dividend" which is not accessible through the MS structure, allowing the Brand and the Streaming Service to both benefit from an increased market surplus.

6.1.2. Impact of Cost Coefficients

Continuing the comparison between Top-tier and Ordinary streamers, we examine how operational costs impact the supply chain's profitability. Figure 3(a) and 3(b) depict the impact of the selling effort cost coefficient ( C 1 ) and the paid traffic volume cost coefficient ( C 2 ), respectively. It's expected that all members in the supply chain will experience reduced profits with an increase in one of the cost parameters, but conducting a comparative analysis of the operational drivers for the KS model provides further insights about what's happening within the supply chain among the various tiers.
The results presented in Figure 3(a) indicate that the Top-tier (KS) mode has a sensitivity to the costs associated with exerting selling effort ( C 1 ) . Profit curves for the KS system (red lines) are rapidly declining, demonstrating the KS structure functions as a "High-Effort" system—while the top-tier streamer has significant inherent influence, they capitalize on this inherent influence mainly by exerting great amounts of selling effort to attain maximum conversion rates, thus their profitability is directly affected by the cost efficiency of this effort. Conversely, the Ordinary (MS) mode (green lines) exhibits much less variability of profit curves (being nearly flat) compared to variations of selling effort costs. This indicates that ordinary streamers tend to operate at a low investment equilibrium based on the limitations of their traffic base, thus they do not require as much amount of selling effort expendable and as such do not respond as much to cost fluctuations.
The comparison of this graph (Figure 3(b)) reveals significant differences in profit sensitivity regarding traffic acquisition costs and KS profit margins. The slope of the KS profit margin curve compared to the curve of the effort cost scenario shows that KS profits decrease as their associated acquisition costs rise, but also that the rate at which they decrease is far less steep relative to the effort cost scenario. As a result of this trend, we can conclude that while the paid traffic volume is one of the contributing factors, it is not the primary driver of top-tier performers' strategies; it is actually the strong organic influence a top-tier performer obtains through their existing fan base that enables top-tier streamers to further concentrate efforts on leveraging their organic stock of influence rather than relying heavily on acquisition of paid traffic. Hence, the outperformance of KS mode(s) can be seen to be largely attributable to the aggressive use of a streamer's organic stock of influence (through the sale of effort) as opposed to the excessive expenditures for paid traffic volume.
Furthermore, the KS mode provides both the Brand and the Streamer with considerably higher profit levels versus the MS Mode in both cases above. This clearly demonstrates "Scale Effect", because although operational Costs are increasing with both the Brand and Streamer, the massive streamer influence allows KS Mode to continue to offer the best value for the Brand and Streamer as compared to the MS Mode at this time.

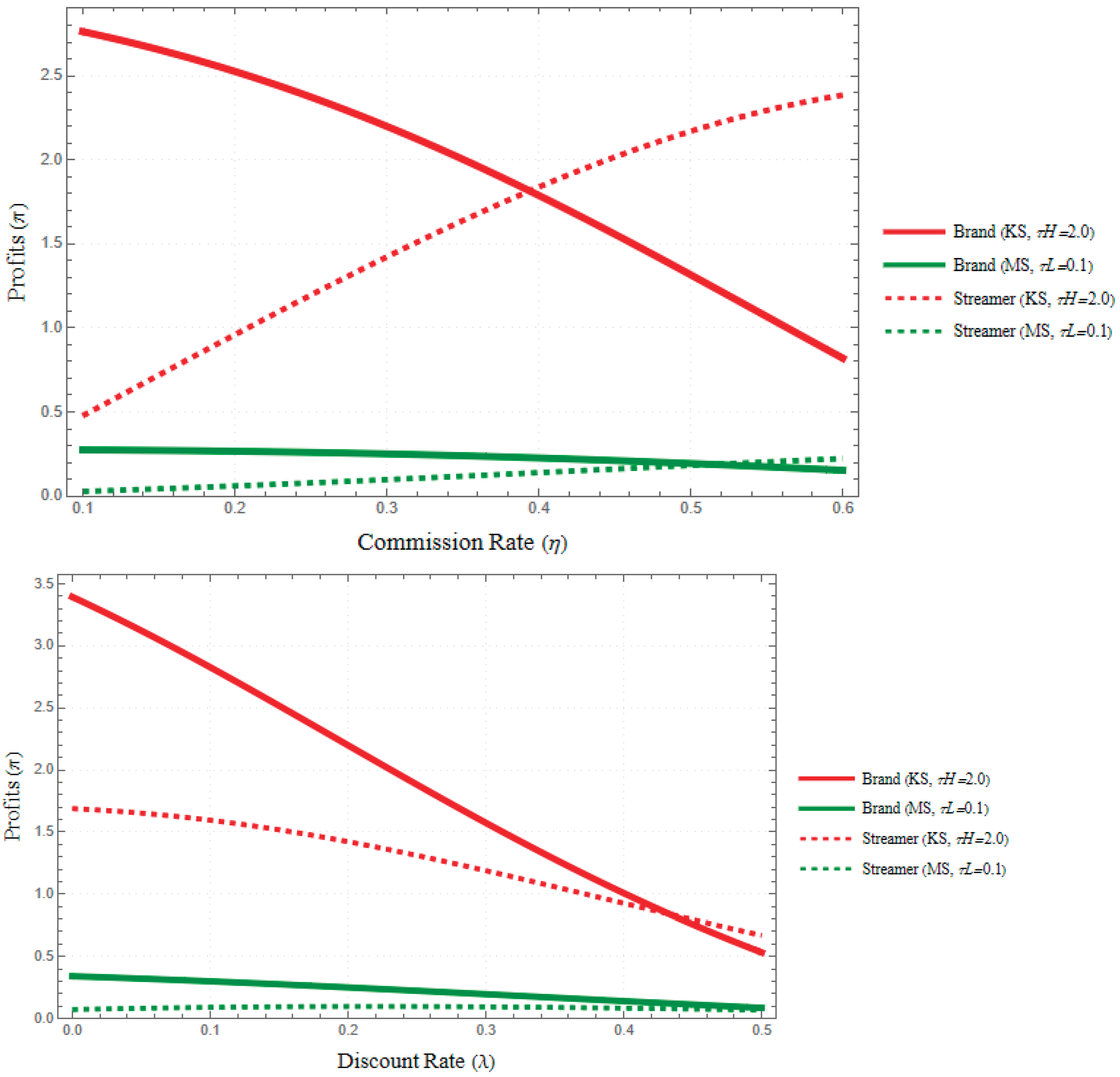
6.1.3. Impact of Contract Parameters

As a means of concluding our discussion on the differences in streamer incidences due to the KS and MS modes, we examine how the type of contract they sign influences the allocation of the surplus generated by streamer influence. The impact of the commission rate ( η ) and the price discount rate ( λ ) are visually represented in Figure 4(a) and (b), respectively.
Figure 4a shows a clear difference in the rate of increase on the commission. In the Ordinary (MS) mode (Green Lines), the profits have almost total inertia, with the profit curves being pretty much flat (i.e., no curvature). Therefore, the adjustment of the revenue-sharing ratio will have little to no impact on the total system performance of ordinary streamers for the majority of their traffic streams; this is due to the "Influence Constraint". In contrast, we can see that the Top-tier (KS) mode (Red Lines) will have a much higher susceptibility to the terms of the contract. As the commission increases from the KS mode, we see a steep increase in streamer profit and a steep decrease in brand profit. Within the observed range, the brand’s profit in the KS mode (Red Solid Line) remains consistently higher than in the MS mode (Green Solid Line). This confirms that the "Volume Compensation Effect" driven by the top-tier streamer is robust enough to offset even high commission payments, rendering the KS mode the strictly superior strategy for the brand regardless of the specific split.
Figure 4(b) depicts the impact of the price discount rate ( λ ), revealing a unique vulnerability in the Top-tier mode we term the "Volume Amplification of Margin Loss." As the discount rate increases, profits for all parties trend downward, confirming that the margin squeeze effect generally outweighs the demand expansion effect. However, the brand’s profit curve in the KS mode (Red Solid Line) plummets much more rapidly compared to the streamer’s curve. Because the top-tier streamer generates massive sales volume ( τ H = 2.0 ), even a marginal reduction in unit price is amplified by the high volume, leading to a colossal reduction in the brand's total profit. Consequently, at sufficiently high discount levels, a profit reversal occurs where the streamer begins to earn more than the brand. This indicates that although the KS model generates value by increasing volume, it also places a tight constraint on the brand's profitability. Significant discounting can heavily harm the brand, diminishing the benefits gained from the partnership.

6.2. Comparative Evaluation of Profitability at Identical Streamer Influence Levels

Building on the Section 5 about streamer influence being the driving force behind absolute profitability, we now shift focus away from scaling factors and towards analyzing how supportive power structures function as being internally efficient. For this section's analysis we take into account that approximately the same level of streamer influence was placed on KS and MS mode, allowing us to directly compare KS and MS modes under these circumstances. In doing so we attempt to hold constant the "Scale Effect," thus isolating what is structurally affecting all participants in the supply chain. The goal is to establish how a brand's profitability changes once lost in relation to first-mover advantage (i.e., "Influence Compensation Effect"), as well as establishing whether streamers truly profit by assuming the leadership role (i.e., "Leadership Trap").

6.2.1. The Influence Compensation Effect and the Leadership Trap

A thorough examination of the structural effects on both parties due to this transfer of power requires isolating the role of streamer influence on the guaranteed profit levels of each party. To do so, we keep the commission rate and all other cost variables at their original or baseline level, which allows us to create an analysis to compare changes in the KS and MS mode (Figure 5) and provides an initial basis to support the conclusions regarding the existence of an "Influencer Compensation Effect" (for the brand) and a "Leadership Trap" (for the Influencer).
Figure 5 illustrates the evolution of optimal profits for both the brand and the streamer as the influence parameter τ increases from 0 to 10. As predicted by our theoretical derivations, the profits for all parties increase monotonically with influence, confirming that an increase in streamer influence significantly enhances the total profitability of the supply chain. However, a comparative analysis at equivalent influence levels reveals that the KS and MS modes have differential impacts on the profits of the brand and the streamer.
For the brand, the numerical results demonstrate a structural dominance: the brand’s profit in the KS mode (Red Solid Line) consistently surpasses that in the MS mode (Green Solid Line). It can be concluded that "Influence Compensation" is a well-established concept. The KS mode allows for higher high-volume sales due to the high influence of the streamer despite brand not holding the price leadership status as they do under MS mode and ultimately compensates for the loss of price leadership in that market in the process. The KS mode essentially provides the brand an asymmetrical cost structure, whereby the streamer takes greater responsibility for powering the market; however, the majority of the revenue generated will be captured by the brand.
Conversely, there is a clear disconnect between the streamer’s profits and that streamer’s level of influence in the market, which has produced what we refer to as a ‘Leadership Trap.’ Profit levels typically increase with increased influence levels, as shown in Figure 5; however, at equivalent levels of influence, streamers in the KS mode earn lower profits than in the MS mode (Green Dashed Line). The unanticipated nature of this outcome is due to the way that the decision paths drive motivation. Streamers operating in the KS mode (Leader) will motivate themselves to maximize the amount of costs associated with generating high selling effort level and volume of traffic paid in order to increase demand for their product offerings. But in the MS mode, the streamer operates as a Follower. In this position, the streamer optimizes their investment level in response to the brand's wholesale price, leading to a more conservative strategy that avoids the excessive expenditures characteristic of the leadership role.

6.2.2. Profit Distribution Landscapes: The Interplay of Influence and Commission Rates

To visualize how the "Scale Effect" and "Structural Efficiency" interact under different contract terms, we synthesize the two critical decision levers—Streamer Influence ( τ ) and Commission Rate ( η )—into a 3D profit landscape (Figure 6).
In Figure 6, the Red Surfaces represent the KS mode, while the Green Surfaces represent the MS mode. To distinguish between the players, the brand’s profits are depicted as solid opaque surfaces, while the streamer’s profits are depicted as transparent mesh surfaces. The 3D visualization clearly demonstrates two key findings: the KS mode is consistently the most profitable option for the brand, while the streamer's profit fluctuates significantly depending on the specific parameters.
First, regarding the brand's profitability, the landscape shows that the KS mode consistently yields higher returns than the MS mode. The Red Solid Surface (KS Brand Profit) is situated consistently above the Green Solid Surface (MS Brand Profit) across the entire observed range. This observation indicates that the "Influence Compensation Effect" is robust. Whether the partner is a rising star (moderate τ ) or a super-influencer (high τ ), and regardless of the commission rate (within the feasible range η ), the brand maximizes its absolute profit by delegating channel leadership to the streamer. The KS structure increases efficiency and, therefore, the total surplus created, to the benefit of the brand itself.
However, at the same time, the distribution of profits from the KS structure undergoes a profound change. A significant effect of this is found when we compare the Red Solid Surface (Brand) to the Red Mesh Surface (Streamer) and notice that we have a critical inflection point. The inflection point occurs when examining the lower left-hand quadrant of the graph (low influence, low commission); the brand is earning much more than the streamer (Solid > Mesh). Nevertheless, as we shift into the maximum end of the Streamer influence (high τ ), combined with the higher commission rates (high η ), we see the Red Mesh Surface rise at a significant rate; eventually, it pierces through the Red Solid Surface and towers over it. In this situation, the streamer would have a greater profit margin than the brand. It appears that in this instance, although the KS mode offers the brand a very high structural efficiency, the streamer gains the title of the primary beneficiary.

6.3. Strategic Mode Selection: Economic Boundaries and Decision Maps

Though we can conclude from the analysis in section 6.2 that KS mode provide the greater return for the brand in general, we need an economic framework that enables us to identify any exceptions to this. This section isolates the interaction between the streamer influence ( τ ) and the commission rate ( η ) and is designed to map out the precise boundaries at which the brand should strategically switch between KS and MS modes.
In the graph presented in Figure 7(a), we can see an indication of brand preference based off the quantified profit difference ( Δ π b = π b K S π b M S ) between the two different market type models (KS vs MS). In the graph, profit differences have consistently shown a strong preference for the KS model, where as long as the commission rates continue to be in the normal commercial range ( e . g . , η 0.6 ), the profit difference is positive and the growth rate of profit differences increases dramatically as the influence of streamers increases. The data support the position that for the brand, the amount of profit received by adopting the KS mode will greatly outweigh the profit received by adopting the MS mode. The only time the brand would be well served by switching to the MS mode is if the streamer’s commission were to reach a level ( e . g . , η > 0.75 )that would cause the brand’s profits to drop drastically. However, this would indicate that the streamer is taking advantage of the brand to capture virtually all of the surplus from the supply chain, a scenario not likely to last long nor be accepted in a real-world commercial negotiation.
The dominance that the KS mode exhibits was verified by the strategic selection map illustrated in the Figure 7(b), which shows the equilibrium boundary between a brand's preferred modes - Each zone (Decision Area) is distinct from the other, with little overlap, but when comparing the areas of the two zones, there is an important take-away: The KS Preference Zone (lower right) occupies the vast majority of the space available for all possible combinations of parameters, while the MS Preference Zone (upper left) only exists for the theoretical edge-cases where the commission required by the streamers would be excessive. Therefore, the implications of this analysis are: The KS Mode provides maximum profit for the brand. Therefore, partnering with streamers using the KS Mode is a dominant strategy for the brand.

6.4. Strategic Synthesis: Consensus on Scale and Conflict on Structure

From the synthesis of the numeric analysis, two key takeaways have been distilled about streamer influence and power structure.
On the one hand, the analysis indicates that streamer influence has the capability to create value for both the brand and the streamer. It is apparent that regardless of the type of power structure utilized, streamer influence serves as the main driver of value; thus, it is in the strategic interests of both the brand and the streamer to maximize the level of influence generated through partner selection and audience accumulation.
On the other hand, the choices of power structure between the two parties differ greatly. The KS mode is the best option for brands since it provides the most profit when partnered with High-Influence Streamers. The MS mode provides Streamers with the highest profit, producing better returns than the KS mode at the same level of Influence.

7. Conclusion and Managerial Implications

This study develops a Game Theory Framework to analyze and model the ways that Live Streaming Supply Chains operate and how the brand reaches equilibrium points. The goal was to develop a comparative assessment of the KS mode and MS mode. The decision models incorporated streamer influence, consumer sensitivities, and operational decisions; we conclude with the following principal findings of our research.

7.1. Main Research Conclusions

This paper provides the first major theoretical contribution that explains how streamers influence the operational strategy of brands. Our analysis shows that there is a direct positive relationship between streamer influence and the equilibrium decisions of the brand and the streamer for each of the power structures provided in Proposition 3. More specifically, as streamer influence increases, the streamer will increase both their level of selling effort and their volume of paid traffic investments. Likewise, in both KS and MS modes, the brand will increase the direct selling price as a result of increased streamer influence. Therefore, this suggests that regardless of the leadership structure used by the brand, higher streamer influence will ultimately lead to the brand and streamer increasing their marketing investments and prices at the same time.
We evaluate the interaction between market factors. The second consideration is the impact of consumer sensitivity to the streamer's non-price attributes on the optimal decisions in the KS mode. Proposition 4 shows that an increase in consumer sensitivity ( γ ) has a positive effect on the KS mode optimal decisions of the supplier and streamer. A rise in consumer sensitivity leads to an increase in the streamer selling effort and volume of paid traffic. Because of this consumer sensitivity, the optimal retail prices are expected to increase proportionally. Therefore, in a high-sensitivity market environment, the most rational strategy for the brand and the streamer is to spend more on marketing efforts and increase the selling price.
We also analyze how changes in an organization's cost structure affect how sensitive the KS mode is to these changes. Proposition 5 shows that KS mode is negatively sensitive to the size of an organization's cost coefficients( C 1 , C 2 ). That is to say, when an organization experiences an increase in its operational costs, its optimal decision based upon the KS mode for streamer is to reduce its inputs (effort/traffic). In turn, this means that an organization's KS mode will require lower direct selling prices from its brand because it will now have fewer viable operating opportunities. Therefore, due to rising operational costs, equilibrium levels of KS modes will be limited, thus restricting their scale of operation.
Our analysis of the strategic mode selection provides further confirmation of the economic limits for the decision-making process of the brand in conjunction with the theoretical findings. Using numeric maps, we show that a brand will primarily choose to adopt the KS mode as the most effective strategy. Our findings indicate that in the comparative advantage calculation, the brand achieved a much greater level of profitability with the KS mode than with the MS mode, as the revenue generated from increased sales volume was sufficient to cover the associated commission costs. However, a brand only selects the MS mode in the case of very niche circumstances, which is primarily due to exorbitant commission rates. In other words, a brand should consider working with only the top-tier streamer when entering into sustainable partnerships in order to optimize the efficiency of their system.

7.2. Implications for Management

For the brand, based on our findings, we propose the following strategy to maximize the impact of top-tier partnerships: "Leverage Spillover by Top-Tier Streamer." Based on our numerical analyses, it is apparent that partnering with top-tier streamers provides a much higher economic return than partnering with ordinary streamers, so the first step for the brand should be identifying and securing top-tier streamers. In regard to the mode of partnership chosen, our results show that the KS mode provides a better economic benefit than the MS mode. As explained in Proposition 3, while the KS mode requires relinquishing direct control of the channels, the advantage of the KS mode is the potential for "Positive Spillover Effects," which is a significant factor to consider as the top-tier streamer’s high influence is expanding aggregate demand, thereby enabling brands to increase direct selling prices while maintaining strong sales volumes. Therefore, brands should stop focusing on becoming the absolute leader in the supply chain and begin utilizing the capitalizing on revenue growth from the influence of the streamer and the high levels of sensitivity in the fan economy to use the KS mode with confidence.
For streamers, Influence growth and cost efficiency should be the priority for streamers. Theoretical analysis suggests that the key factor for maximizing the absolute returns of a streamer is through increasing the streamer's personal level of influence. The streamer should consistently invest in his or her personal growth in order to develop a large, loyal, and profitable fan base over the long term. Second, regarding the power structure, our results reveal a preference conflict: while brands prefer the KS mode, streamers often achieve better cost-efficiency in the MS mode (as followers). If streamers undertake the leadership role (KS mode) to accommodate the brand, they must be aware of the high sensitivity to operational costs (as shown in Proposition 5). Since the KS mode requires high levels of selling effort and traffic investment, streamers must prioritize cost control. To sustain this high-input strategy, it is critical to negotiate higher commission rates or propose fixed slotting fees to cover the increased operational expenditures.
For the broader live-streaming industry and platform operators, the results underscore the necessity of "Lowering Operational Friction." First, platforms should view high-influence streamers as strategic assets that drive the entire ecosystem's value. The industry should shift from passive traffic distribution to active incubation, helping mid-tier streamers accrue the influence required for profitability. Second, addressing the findings in Proposition 5, platform operators must recognize that the high-performance KS mode is constrained by operational costs ( C 1 , C 2 ). To prevent the reduction in operational scale caused by cost shocks, platforms should focus on reducing the technical and traffic acquisition costs for streamers. By providing efficient data tools and subsidized traffic mechanisms, the ecosystem can maintain the low-friction environment necessary to sustain the high-input, high-return equilibrium of the fan economy.

8. Limitations and Future Research

This research has several assumptions that can be explored in future studies. One limitation is the assumption of a deterministic demand function; therefore, it does not take into account the uncertainty of demand while hosting live streaming. Future studies with stochastic demand could explore how influence impacts inventory risk sharing and return policies. Furthermore, we treated the price discount rate and commission rate as exogenous parameters to focus on operational decisions. Endogenizing these contract terms in a bargaining framework could reveal further dynamics regarding how surplus is distributed between the brand and the streamer. Moreover, our model focuses on a single-period static game. A dynamic multi-period model could better capture the long-term accumulation of streamer influence and the reputation effects that are critical in the evolving landscape of live-streaming commerce.

Author Contributions

Conceptualization, Y.Z. and H.T.; methodology, Y.Z., T.Y., and H.T.; formal analysis, Y.Z., T.Y., and H.T.; writing—original draft preparation, Y.Z. and T.Y.; writing—review and editing, H.T.; supervision, H.T.; project administration, H.T. All authors have read and agreed to the published version of the manuscript.

Funding

This research received no external funding.

Data Availability Statement

The original contributions presented in this study are included in the article. Further inquiries can be directed to the corresponding author.

Conflicts of Interest

The authors declare no conflicts of interest.

Appendix A

Appendix A. Proof of Proposition 1

We employ backward induction to solve for the Subgame Perfect Nash Equilibrium in the Streamer-led Top-tier (KS) mode. The game sequence is as follows: first, the streamer (leader) decides the selling effort θ and paid traffic volume δ ; subsequently, observing the streamer's decisions, the brand (follower) sets the direct retail price P d .
Step 1: The Brand's Reaction Function (Stage 2)
Given the streamer's decisions ( θ , δ ) and the price linkage P s = ( 1 λ ) P d , we substitute Eqs. (5) and (6) into the brand's profit function Eq. (7). The brand maximizes its profit with respect to p d . The first-order condition (FOC) is given by:
π b K S P d = 0
Since the demand functions are linear, π b K S is strictly concave with respect to P d . Solving the FOC yields the brand's best response function, denoted as P d ( θ , δ ) .
Step 2: The Streamer's Optimal Decisions (Stage 1)
Anticipating the brand's reaction, the streamer maximizes π s K S (Eq. 8) by incorporating the reaction function P d ( θ , δ ) . The decision problem becomes:
max θ , δ π s K S ( P d ( θ , δ ) , θ , δ )
We take the partial derivatives with respect to θ and δ :
π s K S θ = 0 , π s K S δ = 0
Provided that the Hessian matrix of the streamer’s profit function is negative definite (ensuring joint concavity), the solution to this system of simultaneous equations yields the optimal selling effort θ K S * and paid traffic volume δ K S * .
Step 3: Equilibrium Results
Substituting the optimal θ K S * and δ K S * back into the brand's reaction function P d ( θ , δ ) yields the equilibrium price P d K S . The explicit expressions for θ K S * (Eq. 9), δ K S * (Eq. 10), and P d K S (Eq. 11) are obtained through standard algebraic simplification.
This completes the proof of Proposition 1. □

Appendix B. Proof of Proposition 2

Similar to the proof of Proposition 1, we employ backward induction to solve for the equilibrium. However, the sequence of moves is reversed in the Ordinary (MS) mode: the brand (leader) first sets the retail price p d , and subsequently, the streamer (follower) determines the selling effort θ and paid traffic volume δ .
Step 1: The Streamer's Reaction (Stage 2)
Taking the brand’s price P d as given, the streamer maximizes π s M S (Eq. 14). Provided that the Hessian matrix of the streamer’s profit function is negative definite (ensuring joint concavity), the optimal response functions θ ( P d ) and δ ( P d ) are uniquely determined by the first-order conditions:
π s M S θ = 0 , π s M S δ = 0
Step 2: The Brand's Optimization (Stage 1)
The brand anticipates these reactions and maximizes its profit π b M S (Eq. 15) by solving:
max P d π b M S ( P d , θ ( P d ) , δ ( P d ) )
Solving the condition π b M S P d = 0 yields the equilibrium price P d M S (Eq. 18). Substituting this back into the streamer's reaction functions yields the equilibrium inputs θ M S * (Eq. 16) and δ M S * (Eq. 17).
This completes the proof of Proposition 2. □

Appendix C. Proof of Proposition 3

Proof. Based on the equilibrium solutions derived in Section 4, we examine the sensitivity of the equilibrium decisions to streamer influence.
(i) For the KS Mode:
Taking the first-order partial derivatives of the optimal solutions in Eqs. (9), (10), and (11) with respect to τ H , it is straightforward to verify that:
θ K S τ H > 0 , δ K S τ H > 0 , P d K S τ H > 0
(ii) For the Ordinary (MS) Mode:
Similarly, taking the first-order partial derivatives of the optimal solutions in Eqs. (16), (17), and (18) with respect to τ L , it is straightforward to verify that:
θ M S τ L > 0 , δ M S τ L > 0 , P d M S τ L > 0
This completes the proof of Proposition 3. □

Appendix D. Proof of Proposition 4

Proof. We examine the impact of consumer sensitivity ( γ ) on the equilibrium decisions in the KS mode. Taking the first-order partial derivatives of the optimal solutions in Eqs. (9), (10), and (11) with respect to γ , it is straightforward to verify that:
θ K S γ > 0 , δ K S γ > 0 , P d K S γ > 0
This completes the proof of Proposition 4. □

Appendix E. Proof of Proposition 5

Proof. We investigate the sensitivity of the Top-tier (KS) equilibrium decisions to the operational cost coefficients ( C 1 for selling effort and C 2 for paid traffic volume ).
(i) Sensitivity to Selling Effort Cost ( C 1 ):
Taking the first-order partial derivatives of the optimal solutions in Eqs. (9), (10), and (11) with respect to C 1 , it is straightforward to verify that:
θ K S C 1 < 0 , δ K S C 1 < 0 , P d K S C 1 < 0
(ii) Sensitivity to Paid Traffic Volume Cost ( C 2 ):
Similarly, taking the derivatives with respect to C 2 , it is straightforward to verify that:
θ K S C 2 < 0 , δ K S C 2 < 0 , P d K S C 2 < 0
This completes the proof of Proposition 5. □

References

  1. Lu, B.; Chen, Z. Live streaming commerce and consumers’ purchase intention: An uncertainty reduction perspective. Information & Management 2021, vol. 58(no. 7), 103509. [Google Scholar] [CrossRef]
  2. Zhang, H.; Sui, R.; Zha, X. The key opinion leader introduction and pricing strategy for live streaming e-commerce platforms considering the impact of network effects. Journal of Retailing and Consumer Services 2025, vol. 82, 104077. [Google Scholar] [CrossRef]
  3. Lin, W.; Cai, Y.; Su, Y.; Lin, Q.; Lai, Q. Influence of key opinion leader on the brand advocacy of agricultural product: taking Taobao live streaming as an example. Curr Psychol 2025, vol. 44(no. 10), 9390–9406. [Google Scholar] [CrossRef]
  4. Yang, R.; Xu, C.; Lyu, S. Impact of pricing power and network externality in a dual-channel live-streaming supply chain. Electron Commer Res 2025. [Google Scholar] [CrossRef]
  5. Li, T.; Xu, S.; Tan, Q.; Teng, W. Livestream Scheme Selection in the E-Commerce Supply Chain: Under Agency and Resale Sales Modes. Systems 2025, vol. 13(no. 5), 397. [Google Scholar] [CrossRef]
  6. Xu, S.; Tang, H.; Lin, Z.; Lu, J. Pricing and sales-effort analysis of dual-channel supply chain with channel preference, cross-channel return and free riding behavior based on revenue-sharing contract. International Journal of Production Economics 2022, vol. 249, 108506. [Google Scholar] [CrossRef]
  7. Liu, W.; Cao, X.; Niu, X.; Fang, X.; Choi, T.-M. Supply chain strategies in the presence of livestream e-commerce: channel leadership and low-carbon promotion. Ann Oper Res 2023. [Google Scholar] [CrossRef]
  8. Zhang, Y.; Xu, Q. Power structures unleashed: driving product and live content innovation in live streaming commerce. Electron Commer Res 2024. [Google Scholar] [CrossRef]
  9. Bai, S.; Xu, Y.; He, H.; Yu, D. Under the context of competition between platform sales and live streaming sales, who has the pricing power of products? Humanit Soc Sci Commun 2024, vol. 11(no. 1), 1168. [Google Scholar] [CrossRef]
  10. Zhu, X.; Zhu, H.; Guo, Y.; Ding, L. Live streaming e-commerce supply chain decisions considering dominant streamer under agency selling and reselling formats. Electron Commer Res 2025, vol. 25(no. 2), 1173–1198. [Google Scholar] [CrossRef]
  11. Song, J.; He, Y.; Duan, Y. Loss leader strategy in the live streaming considering cross-product and cross-channel spillover effects. International Journal of Production Economics 2025, 109803. [Google Scholar] [CrossRef]
  12. Zhang, W.; Liu, C.; Ming, L.; Cheng, Y. The Sales Impacts of Traffic Acquisition Promotion in Live-Streaming Commerce. Production and Operations Management 2025, vol. 34(no. 12), 3830–3846. [Google Scholar] [CrossRef]
  13. Xia, L.; Zhang, M.; Wang, J.; Hou, P. Platform traffic support strategies under dual live-streaming channels. Transportation Research Part E: Logistics and Transportation Review 2025, vol. 203, 104349. [Google Scholar] [CrossRef]
  14. Addo, P.C.; Fang, J.; Asare, A.O.; Kulbo, N.B. Customer engagement and purchase intention in live-streaming digital marketing platforms. The Service Industries Journal 2021, vol. 41(no. 11–12), 767–786. [Google Scholar] [CrossRef]
  15. Guo, Y.; Zhang, K.; Wang, C. Way to success: Understanding top streamer’s popularity and influence from the perspective of source characteristics. Journal of Retailing and Consumer Services 2022, vol. 64, 102786. [Google Scholar] [CrossRef]
  16. Zhang, X.; Zhang, G.; Sun, H.; Shi, C.; Zhang, G. Operational decisions of live-streaming platform supply chain based on control power: considering the dual preferences of consumers. Production Planning & Control 2023, 1–30. [Google Scholar] [CrossRef]
  17. Xiao, Y.; Yu, J.; Zhou, S.X. Commit on Effort or Sales? Value of Commitment in Live-streaming E-commerce. Production and Operations Management 2024, vol. 33(no. 11), 2241–2258. [Google Scholar] [CrossRef]
  18. Li, H.; Lu, J. The Ineffectiveness of ‘Volume Guarantee’ Mode in Live-Streaming: A Nash Bargaining Analysis with Social Network Effects and Traffic Costs. JTAER 2025, vol. 20(no. 4), 314. [Google Scholar] [CrossRef]
  19. Shang, Q.; Ma, H.; Wang, C.; Gao, L. Effects of Background Fitting of e-Commerce Live Streaming on Consumers’ Purchase Intentions: A Cognitive-Affective Perspective. PRBM 2023, vol. Volume 16, 149–168. [Google Scholar] [CrossRef]
  20. Duong, N.T.; Lin, H.-H.; Wu, T.-L.; Wang, Y.-S. Understanding Consumer Trust Dynamics and Purchase Intentions in a Multichannel Live Streaming E-Commerce Context: A Trust Transfer Perspective. International Journal of Human–Computer Interaction 2025, vol. 41(no. 14), 9123–9136. [Google Scholar] [CrossRef]
  21. Fan, X.; Zhang, L. Social E-commerce Operations: Is it wise to adopt short video and live-streaming together? Omega 2026, vol. 138, 103440. [Google Scholar] [CrossRef]
  22. Chen, H.; Dou, Y.; Xiao, Y. Understanding the role of live streamers in live-streaming e-commerce. Electronic Commerce Research and Applications 2023, vol. 59, 101266. [Google Scholar] [CrossRef]
  23. Gao, W.; Jiang, N.; Guo, Q. How cool virtual streamer influences customer in live-streaming commerce? An explanation of stereotype content model. Journal of Retailing and Consumer Services 2025, vol. 82, 104139. [Google Scholar] [CrossRef]
  24. Liu, S.; Xu, X.; Cheng, T.C.E. Equilibrium analysis of live-streaming e-commerce supply chain in the AI era. International Journal of Production Research 2025, 1–19. [Google Scholar] [CrossRef]
  25. Wan, Q.; Chen, J.; Yu, C.; Lu, M.; Liu, D. Optimal marketing strategies for live streaming rooms in livestream e-commerce. Electron Commer Res 2024. [Google Scholar] [CrossRef]
  26. Xin, B.; Hao, Y.; Xie, L. Strategic product showcasing mode of E-commerce live streaming. Journal of Retailing and Consumer Services 2023, vol. 73, 103360. [Google Scholar] [CrossRef]
  27. Ji, G.; Fu, T.; Li, S. Optimal selling format considering price discount strategy in live-streaming commerce. European Journal of Operational Research 2023, vol. 309(no. 2), 529–544. [Google Scholar] [CrossRef]
  28. Li, K.; Yao, S.; Li, Y.; Tang, F.; Wang, Z. Deliberate shortage in live-streaming commerce. Omega 2025, vol. 131, 103201. [Google Scholar] [CrossRef]
  29. Li, M.; Mizuno, S. Dynamic pricing and inventory management of a dual-channel supply chain under different power structures. European Journal of Operational Research 2022, vol. 303(no. 1), 273–285. [Google Scholar] [CrossRef]
  30. Hu, X.; Cai, J.; Yue, X. Power structure preferences in a dual-channel supply chain: Demand information symmetry vs. asymmetry. European Journal of Operational Research 2024, vol. 314(no. 3), 920–934. [Google Scholar] [CrossRef]
  31. Wu, H.; Li, G.; Liu, M.; Zhang, M. Launching big data-driven credit payment services? Role of power structure in a dual-channel supply chain. Ann Oper Res 2025, vol. 348(no. 1), 29–53. [Google Scholar] [CrossRef]
  32. Wang, S.; Wu, J.; Chiclana, F.; Sun, Q.; Herrera-Viedma, E. Two-Stage Feedback Mechanism With Different Power Structures for Consensus in Large-Scale Group Decision Making. IEEE Trans. Fuzzy Syst. 2022, vol. 30(no. 10), 4177–4189. [Google Scholar] [CrossRef]
  33. Xiao, Y.; Niu, W.; Zhang, L.; Xue, W. Store brand introduction in a dual-channel supply chain: The roles of quality differentiation and power structure. Omega 2023, vol. 116, 102802. [Google Scholar] [CrossRef]
  34. Zhang, G.; Zhao, S.; Yang, Y.; Li, C. Information Misreporting Behavior and Optimal Pricing Strategy in Dual-Channel Supply Chain Under Different Dominant Power Structures. Mathematics 2025, vol. 13(no. 23), 3863. [Google Scholar] [CrossRef]
  35. Yuan, M.; Qiu, R.; Sun, M.; Shao, S.; Fan, Z.-P.; Xu, H. Blockchain implementation decisions in a dual-channel supply chain under different market power structures. International Journal of Production Research 2025, vol. 63(no. 14), 5238–5262. [Google Scholar] [CrossRef]
  36. Tao, F.; Wang, Y.-Y.; Zhu, S.-H. Impact of blockchain technology on the optimal pricing and quality decisions of platform supply chains. International Journal of Production Research 2023, vol. 61(no. 11), 3670–3684. [Google Scholar] [CrossRef]
  37. Zhao, N.; Wang, J.; Pan, Y.; Wang, Q.; Min, J. Joint encroachment and low-carbon propaganda decisions in a platform supply chain under cap-and-trade regulations. International Journal of Production Research 2025, vol. 63(no. 22), 8320–8346. [Google Scholar] [CrossRef]
  38. Gu, Z.; Zhao, X.; Wu, D.J. A Model of Shoppertainment Live Streaming. Management Science 2025, vol. 71(no. 8), 6816–6835. [Google Scholar] [CrossRef]
  39. Lv, X.; Zhang, R.; Su, Y.; Yang, Y. Exploring how live streaming affects immediate buying behavior and continuous watching intention: A multigroup analysis. Journal of Travel & Tourism Marketing 2022, vol. 39(no. 1), 109–135. [Google Scholar] [CrossRef]
  40. Feng, X.; Rong, Y.; Tian, X.; Wang, M.; Yao, Y. When Persuasion Is Too Persuasive: An Empirical Analysis of Product Returns in Livestream e-Commerce. Production and Operations Management 2025, vol. 34(no. 12), 3978–3997. [Google Scholar] [CrossRef]
  41. Wang, S.; Esperança, J.P.; Wu, Q. Effects of Live Streaming Proneness, Engagement and Intelligent Recommendation on Users’ Purchase Intention in Short Video Community: Take TikTok (DouYin) Online Courses as an Example. International Journal of Human–Computer Interaction 2023, vol. 39(no. 15), 3071–3083. [Google Scholar] [CrossRef]
  42. Zhang, W.; Liu, C.; Ming, L.; Cheng, Y. The Sales Impacts of Traffic Acquisition Promotion in Live-Streaming Commerce. Production and Operations Management 2025, vol. 34(no. 12), 3830–3846. [Google Scholar] [CrossRef]
  43. Zhao, K.; Lu, Y.; Hu, Y.; Hong, Y. Direct and Indirect Spillovers from Content Providers’ Switching: Evidence from Online Livestreaming. Information Systems Research 2023, vol. 34(no. 3), 847–866. [Google Scholar] [CrossRef]
  44. Zheng, R.; Li, Z.; Na, S. How customer engagement in the live-streaming affects purchase intention and customer acquisition, E-tailer’s perspective. Journal of Retailing and Consumer Services 2022, vol. 68, 103015. [Google Scholar] [CrossRef]
  45. Xiao, Y.; Yu, J.; Zhou, S.X. Commit on Effort or Sales? Value of Commitment in Live-streaming E-commerce. Production and Operations Management 2024, vol. 33(no. 11), 2241–2258. [Google Scholar] [CrossRef]
  46. Yang, X.; Gou, Q.; Wang, X.; Zhang, J. Does bonus motivate streamers to perform better? An analysis of compensation mechanisms for live streaming platforms. Transportation Research Part E: Logistics and Transportation Review 2022, vol. 164, 102758. [Google Scholar] [CrossRef]
  47. Du, Z.; Fan, Z.-P.; Sun, F.; Liu, Y. Open the live streaming sales channel or not? Analysis of strategic decision for a manufacturer. Ann Oper Res 2023. [Google Scholar] [CrossRef]
  48. Xu, S.; Tang, H.; Huang, Y. Inventory competition and quality improvement decisions in dual-channel supply chains with data-driven marketing. Computers & Industrial Engineering 2023, vol. 183, 109452. [Google Scholar] [CrossRef]
  49. Xie, L.; Dai, L.; Hou, P.; Chen, P. Retailer Live Streaming Strategy in the Face of Manufacturer Encroachment Within Electronic Retailing. IEEE Trans. Eng. Manage. 2025, vol. 72, 1668–1684. [Google Scholar] [CrossRef]
  50. Xu, S.; Tang, H.; Lin, Z. Inventory and Ordering Decisions in Dual-Channel Supply Chains Involving Free Riding and Consumer Switching Behavior with Supply Chain Financing. Complexity 2021, vol. 2021, 1–23. [Google Scholar] [CrossRef]
  51. Luo, F.; Chen, S.; Xu, T.; Iqbal, M. Self-broadcasting or cooperating with an anchor? Strategy and dynamic system research on different sales modes in live commerce supply chain. Electron Commer Res 2025. [Google Scholar] [CrossRef]
  52. He, P.; He, Y.; Ma, S. Strategic implications of consumer overconfidence for pricing and live-streaming in a platform service supply chain. International Journal of Production Research 2025, 1–21. [Google Scholar] [CrossRef]
  53. Liang, Y.; Ren, X. Strategic KOL-platform marketing cooperation in livestream commerce. International Journal of Production Research 2025, 1–19. [Google Scholar] [CrossRef]
  54. Sun, M.; Zhao, Q.; Peng, C.; Li, L. Should KOL live streaming be adopted? A target-oriented newsvendor analysis of supply chain performance. International Journal of Production Research 2025, 1–25. [Google Scholar] [CrossRef]
  55. Zhao, C.; Li, Y.; Zhang, Y.; Li, L.; Wang, K. Honesty, Deception, or Collusion? Quality Information Disclosure in Live Streaming Commerce. Manage Decis Econ 2025, p. mde.70038. [Google Scholar] [CrossRef]
Figure 1. Decision Sequences and Channel Structures in the KS and MS Modes.
Figure 1. Decision Sequences and Channel Structures in the KS and MS Modes.
Preprints 195273 g001
Figure 2. Impact of consumer sensitivity ( γ ) on the equilibrium profits under different power structures.
Figure 2. Impact of consumer sensitivity ( γ ) on the equilibrium profits under different power structures.
Preprints 195273 g002
Figure 3. a). Impact of C 1 on equilibrium profits. 3(b). Impact of C 2 on equilibrium profits.
Figure 3. a). Impact of C 1 on equilibrium profits. 3(b). Impact of C 2 on equilibrium profits.
Preprints 195273 g003
Figure 4. a). Impact of η on equilibrium profits. 4(b). Impact of λ on equilibrium profits.
Figure 4. a). Impact of η on equilibrium profits. 4(b). Impact of λ on equilibrium profits.
Preprints 195273 g004
Figure 5. Impact of streamer influence ( τ ) on the equilibrium profits of the brand and the streamer.
Figure 5. Impact of streamer influence ( τ ) on the equilibrium profits of the brand and the streamer.
Preprints 195273 g005
Figure 6. Profit landscape illustration depicting how streamer influence ( τ ) combined with commission rates ( η ) impacts the profits of the brand and the streamer across KS and MS modes.
Figure 6. Profit landscape illustration depicting how streamer influence ( τ ) combined with commission rates ( η ) impacts the profits of the brand and the streamer across KS and MS modes.
Preprints 195273 g006
Figure 7. (a) Impact of commission rate ( η ) on the brand profit difference .(b) Strategic mode selection map for the brand.
Figure 7. (a) Impact of commission rate ( η ) on the brand profit difference .(b) Strategic mode selection map for the brand.
Preprints 195273 g007aPreprints 195273 g007b
Table 2. Notations and Explanations.
Table 2. Notations and Explanations.
Parameters Definitions
a Base   market   share   of   the   direct   channel   ( 0 < a <1)
1 a Base market share of the live-streaming channel
c Unit production cost of the product
η Commission   rate   paid   to   the   streamer   ( 0 < η <1)
λ Price   discount   rate   in   the   live - streaming   channel   ( 0 < λ <1)
β Cross - price   sensitivity   coefficient   ( 0 < β <1)
γ Consumer sensitivity to streamer's non-price attributes (Fan Economy intensity)
τ Streamer' s inherent influence
( τ H :   Top - tier   Streamer ,   τ L :Ordinary Streamer)
C 1 Cost coefficient of selling effort
C 2 Cost coefficient of paid traffic volume investment
Decision variables
P d Retail price in the direct channel (Brand's decision)
θ Selling effort level (Streamer's decision)
δ Paid traffic volume (Streamer's decision)
Dependent Variables
P s Retail price in the live-streaming channel, where
P s = ( 1 λ ) P d
D d Market demand in the direct channel
D s Market demand in the live-streaming channel
π b Profit of the brand
π s Profit of the streamer
Disclaimer/Publisher’s Note: The statements, opinions and data contained in all publications are solely those of the individual author(s) and contributor(s) and not of MDPI and/or the editor(s). MDPI and/or the editor(s) disclaim responsibility for any injury to people or property resulting from any ideas, methods, instructions or products referred to in the content.
Copyright: This open access article is published under a Creative Commons CC BY 4.0 license, which permit the free download, distribution, and reuse, provided that the author and preprint are cited in any reuse.
Prerpints.org logo

Preprints.org is a free preprint server supported by MDPI in Basel, Switzerland.

Subscribe

Disclaimer

Terms of Use

Privacy Policy

Privacy Settings

© 2026 MDPI (Basel, Switzerland) unless otherwise stated