Preprint
Article

This version is not peer-reviewed.

Enhanced Reaction Engineering Approach (REA) for Modeling Continuous and Intermittent Conductive Hydro-Drying of Chili Paste (Capsicum annuum)

Submitted:

08 January 2026

Posted:

09 January 2026

You are already at the latest version

Abstract
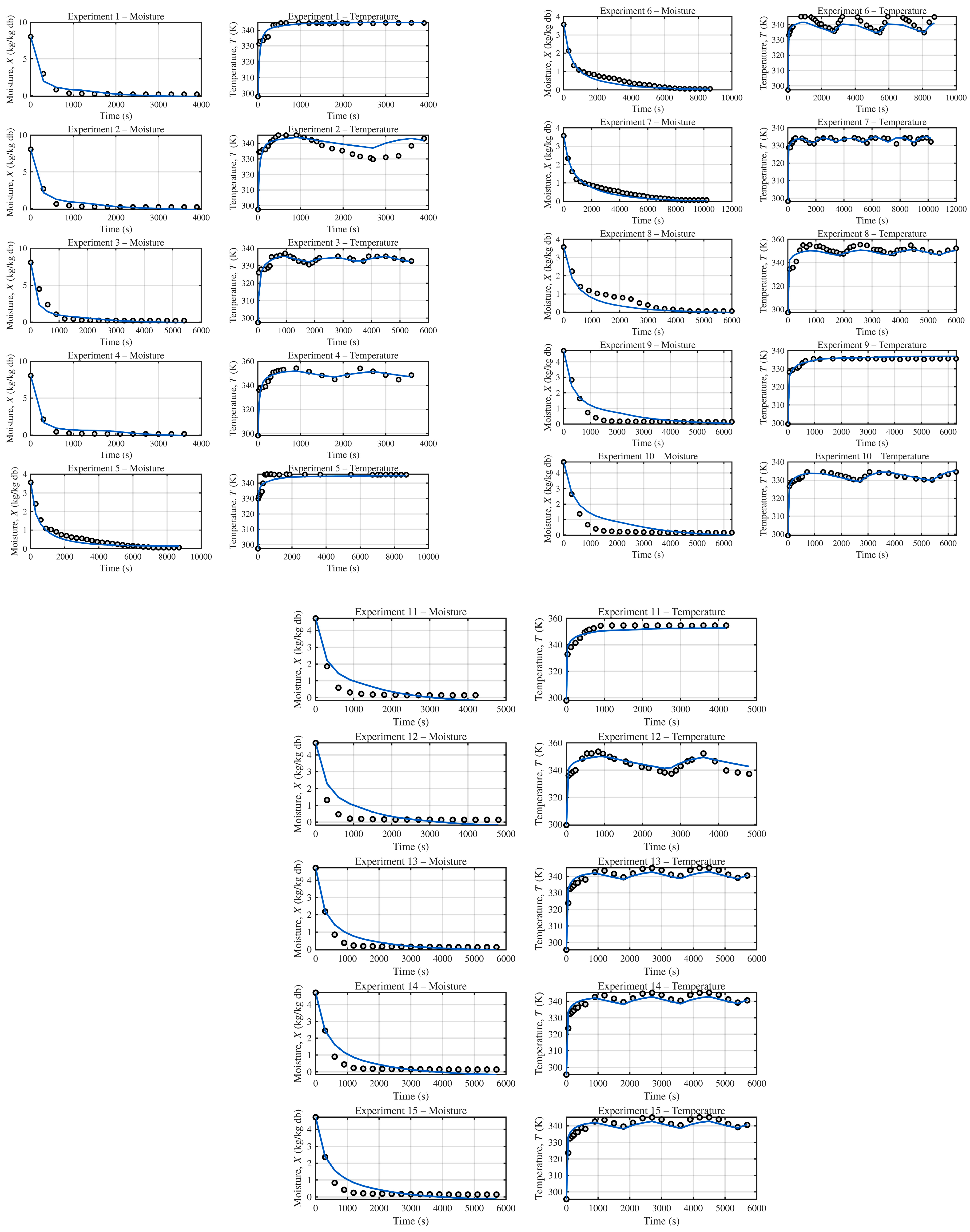
The chili pepper (Capsicum annuum) is among the most widely consumed vegetables worldwide, valued for its sensory and nutritional properties. Still, it is highly vulnera-ble to deterioration due to its elevated moisture content. Effective preservation strate-gies, such as the addition of salt combined with drying, are therefore crucial to main-taining quality and extending shelf life. This study employed a modified Reaction En-gineering Approach (REA) to model the drying kinetics and temperature behavior of chili paste under continuous and intermittent conductive hydro-drying conditions. Thirty experiments were conducted, considering various salt concentrations (0, 7.5 y 15 g salt/100 g paste) , water temperatures in the hydro-dryer, and heating intermit-tency through on/off cycles. The modified REA model accurately predicted both mois-ture and temperature profiles, with determination coefficients of 0.9463 and 0.8820, respectively. In addition to direct validation with the complete dataset, cross-validation between cayenne and jalapeño varieties demonstrated the ability of the model to generalize across different formulations and structural characteristics. These results confirm the robustness of the proposed framework and its suitability as a predictive tool for heterogeneous food matrices. Overall, the model provides a reliable platform for analyzing, designing, optimizing, and controlling hydro-drying processes in semi-solid foods, supporting the development of more efficient and sustainable preservation strategies.
Keywords: 
;  ;  ;  ;  
Subject: 
Engineering  -   Other
Copyright: This open access article is published under a Creative Commons CC BY 4.0 license, which permit the free download, distribution, and reuse, provided that the author and preprint are cited in any reuse.
Prerpints.org logo

Preprints.org is a free preprint server supported by MDPI in Basel, Switzerland.

Subscribe

Disclaimer

Terms of Use

Privacy Policy

Privacy Settings

© 2026 MDPI (Basel, Switzerland) unless otherwise stated