Submitted:
30 December 2025
Posted:
31 December 2025
You are already at the latest version
Abstract
Keywords:
1. Introduction
- 1)
- An enhanced classification model is proposed by integrating multi-head self-attention with an improved snake optimization (ISO) algorithm. The self-attention mechanism captures correlations among channel impulse response (CIR) features, while the optimization strategy adaptively searches for optimal network parameters, thereby improving classification accuracy and model robustness.
- 2)
- A UKF–BiLSTM model with a bidirectional mutual calibration mechanism is proposed for NLOS error mitigation. The constant turn rate and velocity (CTRV) motion model is adopted to enhance the trajectory modeling capability of the UKF. Specifically, the UKF provides physically constrained and optimized initial estimates for the bidirectional LSTM (BiLSTM), while the BiLSTM learns from historical residuals to dynamically adjust the UKF’s measurement noise statistics. This bidirectional interaction enables adaptive suppression of NLOS-induced errors under complex and time-varying conditions.
2. Related Work
2.1. Physics-Based Methods
2.2. Deep Learning-Based NLOS Mitigation
2.3. Hybrid Model-Based NLOS Mitigation
3. NLOS Identification Model
3.1. Analysis of Parameters Related to NLOS Recognition
3.2. Snake Optimizer
3.3. ISO-MBP Model
4. NLOS Error Mitigation Model
4.1. CTRV Model
4.2. UKF
4.3. BiLSTM
- (1)
- Input layer: The layer is designed to receive input feature vectors,,andat time steps ,and . At each time step, the input integrates multi-source information:
- (2)
- Forward LSTM layer: the layer processes the forward time sequence and computes the forward hidden states:
- (3)
- Backward LSTM layer: the layer processes the backward time sequence and computes the backward hidden states:
- (4)
- Output layer: the forward and backward hidden states are concatenated and passed through a fully connected layer to produce the final output.
4.4. UKF-BiLSTM Bidirectional Mutual Correction Model
- (1)
- Turning motion
- (2)
- Straight-line motion
5. Experimental Analysis
5.1. Dataset Description
5.2. NLOS Identification Experiments
5.2.1. Configuration of Baseline Neural Network Models
5.2.2. Parameter Settings of Intelligent Optimization Algorithms
5.2.3. NLOS Classification Results
5.3. NLOS Error Correction Experiments
5.3.1. Unified Configuration of Comparative Models
5.3.2. Core Model Parameter Settings
6. Conclusions
Author Contributions
Funding
Data Availability Statement
Conflicts of Interest
References
- XU, X; ZHANG, C; PENG, A. Enhanced propagation model constrained RSS fingerprints patching with map assistance for Wi-Fi positioning [J]. Computer Communications 2023, 208, 200–9. [Google Scholar] [CrossRef]
- GALVáN-TEJADA, C E; CARRASCO-JIMéNEZ, J C; BRENA, R F. Bluetooth-WiFi based combined positioning algorithm, implementation and experimental evaluation [J]. Procedia Technology 2013, 7, 37–45. [Google Scholar] [CrossRef]
- LONGKANG, W; BAISHENG, N; RUMING, Z; et al. ZigBee-based positioning system for coal miners [J]. Procedia Engineering 2011, 26, 2406–14. [Google Scholar] [CrossRef]
- MARANO, S; GIFFORD, W M; WYMEERSCH, H; et al. NLOS identification and mitigation for localization based on UWB experimental data [J]. IEEE Journal on selected areas in communications 2010, 28(7), 1026–35. [Google Scholar] [CrossRef]
- BARBIERI, L; BRAMBILLA, M; TRABATTONI, A; et al. UWB localization in a smart factory: Augmentation methods and experimental assessment [J]. IEEE Transactions on Instrumentation and Measurement 2021, 70, 1–18. [Google Scholar] [CrossRef]
- DíEZ-GONZáLEZ, J; FERRERO-GUILLéN, R; VERDE, P; et al. Time-based UWB localization architectures analysis for UAVs positioning in industry [J]. Ad Hoc Networks 2024, 157, 103419. [Google Scholar] [CrossRef]
- YU, K; WEN, K; LI, Y; et al. A novel NLOS mitigation algorithm for UWB localization in harsh indoor environments [J]. IEEE Transactions on Vehicular Technology 2018, 68(1), 686–99. [Google Scholar] [CrossRef]
- TIAN, Y; LIAN, Z; WANG, P; et al. Application of a long short-term memory neural network algorithm fused with Kalman filter in UWB indoor positioning [J]. Scientific reports 2024, 14(1), 1925. [Google Scholar] [CrossRef]
- EANG, C; LEE, S. An integration of deep neural network-based extended Kalman filter (DNN-EKF) method in ultra-wideband (UWB) localization for distance loss optimization [J]. Sensors 2024, 24(23), 7643. [Google Scholar] [CrossRef]
- ZHAOXIA, Z; ZHONGWEI, X; JINGBO, X. Deep learning optimization positioning algorithm based on UWB/IMU fusion in complex indoor environments [J]. Physical Communication 2025, 102702. [Google Scholar] [CrossRef]
- ZHANG, S; WANG, E; ZHU, Z; et al. UKF-FNN-RIC: A highly accurate UWB localization algorithm for TOA scenario [J]. IEEE Transactions on Instrumentation and Measurement 2024. [Google Scholar] [CrossRef]
- ZHANG, C; BAO, X; WEI, Q; et al. A Kalman filter for UWB positioning in LOS/NLOS scenarios. proceedings of the 2016 Fourth International Conference on Ubiquitous Positioning, Indoor Navigation and Location Based Services (UPINLBS), 2016 [C]; IEEE; F. [Google Scholar] [CrossRef]
- GUO, Y; LI, W; YANG, G; et al. Combining dilution of precision and Kalman filtering for UWB positioning in a narrow space [J]. Remote Sensing 2022, 14(21), 5409. [Google Scholar] [CrossRef]
- XU, Y; SHMALIY, Y S; AHN, C K; et al. Robust and accurate UWB-based indoor robot localisation using integrated EKF/EFIR filtering [J]. IET radar, sonar & navigation 2018, 12(7), 750–6. [Google Scholar] [CrossRef]
- LYU, Y; WEI, M; LI, S; et al. A fusion positioning system with environmental-adaptive algorithm: IPSO-IAUKF fusion of UWB and IMU for NLOS noise mitigation [J]. Measurement: Sensors 2025, 38, 101864. [Google Scholar] [CrossRef]
- FENG, D; WANG, C; HE, C; et al. Kalman-filter-based integration of IMU and UWB for high-accuracy indoor positioning and navigation [J]. IEEE Internet of Things Journal 2020, 7(4), 3133–46. [Google Scholar] [CrossRef]
- WANG, Y; LI, X. The IMU/UWB fusion positioning algorithm based on a particle filter [J]. ISPRS International Journal of Geo-Information 2017, 6(8), 235. [Google Scholar] [CrossRef]
- HAN, Y; WEI, C; LI, R; et al. A novel cooperative localization method based on IMU and UWB [J]. Sensors 2020, 20(2), 467. [Google Scholar] [CrossRef] [PubMed]
- POULOSE, A; HAN, D S. UWB indoor localization using deep learning LSTM networks [J]. Applied Sciences 2020, 10(18), 6290. [Google Scholar] [CrossRef]
- NGUYEN, D T A; LEE, H-G; JEONG, E-R; et al. Deep learning-based localization for UWB systems [J]. Electronics 2020, 9(10), 1712. [Google Scholar] [CrossRef]
- HE, S; YANG, B; LIU, T; et al. Multi-Tag UWB Localization with Spatial-Temporal Attention Graph Neural Network [J]. IEEE Transactions on Instrumentation and Measurement 2024. [Google Scholar] [CrossRef]
- TANG, K; YANG, B; DING, K. Deep attention-based network combing geometric information for UWB localization in complex indoor environments [J]. IEEE Access 2024, 12, 31488–97. [Google Scholar] [CrossRef]
- YANG, H; WANG, Y; SEOW, C K; et al. Fuzzy Transformer Machine Learning for UWB NLOS Identification and Ranging Mitigation [J]. IEEE Transactions on Instrumentation and Measurement 2025. [Google Scholar] [CrossRef]
- WANG, E; WANG, Y; ZHANG, S; et al. High-Precision UWB TDOA Localization Algorithm Based on UKF-FNN-CHAN-RIC [J]. IEEE Transactions on Instrumentation and Measurement 2025. [Google Scholar] [CrossRef]
- REN, M; WEI, J; QIN, J; et al. Attention based LSTM framework for robust UWB and INS integration in NLOS environments [J]. Scientific Reports 2025, 15(1), 21637. [Google Scholar] [CrossRef]
- MUTHINENI, K; ARTEMENKO, A; ABODE, D; et al. PosGNN: A Graph Neural Network Based Multimodal Data Fusion for Indoor Positioning in Industrial Non-Line-of-Sight Scenarios [J]. IEEE Open Journal of Vehicular Technology 2025. [Google Scholar] [CrossRef]
- DECAWAVE. DW1000 User Manual [M]; DecaWave Limited: Dublin, Ireland, 2017. [Google Scholar]
- HASHIM, F A; HUSSIEN, A G. Snake Optimizer: A novel meta-heuristic optimization algorithm [J]. Knowledge-Based Systems 2022, 242, 108320. [Google Scholar] [CrossRef]
- BREGAR, K; MOHORČIČ, M. Improving indoor localization using convolutional neural networks on computationally restricted devices [J]. IEEE Access 2018, 6, 17429–41. [Google Scholar] [CrossRef]
- BREGAR, K. Indoor UWB positioning and position tracking data set [J]. Scientific Data 2023, 10(1), 744. [Google Scholar] [CrossRef]









| Env | Type | NLOS Conditions | Preprocessing |
|---|---|---|---|
| 0 | Large residential apartment 9.18 × 12.06 m brick exterior + plasterboard interior |
Few NLOS, only 5 outliers. |
Basic deviation compensation |
| 1 | Compact residential apartment 3.60 × 6.69 m concrete exterior + plaster interior |
Minimal NLOS, no abnormal values. |
Basic deviation compensation |
| 2 | Industrial workshop 21.96 × 11.85 m dense metal equipment |
High NLOS, strong multipath. |
Basic deviation compensation DBSCAN denoising (metal reflection outliers) antenna delay compensation |
| 3 | Office 15.37 × 11.50 m concrete exterior + plasterboard partitions |
Significant NLOS, 22 outliers. |
Basic deviation compensation DBSCAN denoising (partition NLOS outliers) antenna delay compensation |
| Parameter Category | Parameter | BP Model | MBP Model |
|---|---|---|---|
| Network architecture | Input layer | 10 | 10 |
| Hidden layer 1 | 150 | 150 | |
| Hidden layer 2 | 75 | 75 | |
| Output layer | 2 | 2 | |
| Training configuration | Attention mechanism | None | MHSA(6 heads) |
| Optimizer | Adam | Adam | |
| Learning rate | 0.001 | 0.001 | |
| Training epochs | 200 | 200 |
| Parameter Category | Parameter | IPSO-MBP Model | ISO-MBP Model |
|---|---|---|---|
| Basic configuration | Population size() | 10 | 10 |
| Maximum iterations () | 150 | 150 | |
| Parameter search range | |||
| Hybrid strategy | ICMIC chaotic map | ||
| DE scaling factor | |||
| DE crossover probability | |||
| Specific parameters |
| Model | Accuracy | Precision | Recall | F1-Score | Model Parameters(K) |
Training Time(s) | Inference Latency(ms) |
|---|---|---|---|---|---|---|---|
| BP | 85.40% | 86.15% | 84.48% | 85.31% | 13127 | 463 | 0.04 |
| MBP | 88.83% | 92.06% | 85.07% | 88.31% | 103727 | 669 | 0.16 |
| RF | 87.44% | 87.74% | 87.44% | 87.42% | 1324 | 55 | 24.41 |
| IPSO-MBP | 89.36% | 92.26% | 86.00% | 89.02% | 103727 | 1576 | 0.17 |
| ISO-MBP | 91.08% | 93.11% | 88.80% | 90.52% | 103727 | 1282 | 0.16 |
| Item | BiLSTM | CNN-LSTM | UKF-BiLSTM | |
|---|---|---|---|---|
| Input features | UWB ranging | -dim | -dim | -dim |
| UKF state | 5-dim | 5-dim | 5-dim | |
| Historical position | 2-dim | 2-dim | 2-dim | |
| Total feature dimension | +7 | +7 | +7 | |
| Training configurations |
Learning rate | 0.001 | 0.001 | 0.001 |
| Optimizer | Adam | Adam | Adam | |
| Training epochs | 100 | 100 | 100 | |
| Batch size | 32 | 32 | 32 | |
| Sequence length | 10 | 10 | 10 | |
| Hidden size | 64 | 128 | 64 | |
| Core architecture | Two-layer BiLSTM | CNN + three-layer LSTM | UKF–BiLSTM bidirectional mutual calibration |
|
| Model | Parameter Category | Parameter Name | Env0 | Env1 | Env2 | Env3 |
|---|---|---|---|---|---|---|
| BiLSTM | Network structure | Number of layers | 2 | 2 | 2 | 2 |
| Hidden layer size | 64 | 64 | 64 | 64 | ||
| Sequence length | 10 | 10 | 10 | 10 | ||
| Training config | Learning rate | 0.001 | 0.001 | 0.001 | 0.001 | |
| Batch size | 32 | 32 | 32 | 32 | ||
| Training epochs | 100 | 100 | 300 | 100 | ||
| UKF | Initial state | Initial velocity | 0.4m/s | 0.3m/s | 0.8m/s | 0.2m/s |
| Process noise | Velocity noise | 0.15 | 0.1 | 0.3 | 0.08 | |
| Angular velocity noise | 0.08 | 0.05 | 0.12 | 0.03 | ||
| Measurement noise | Measurement noise | 0.25 | 0.15 | 1.4 | 0.3 | |
| UKF params | Sigma params () | (0.1,2,-2) | (0.1,2,-2) | (0.01,2,0) | (0.1,2,-2) | |
| Dynamic calibration | Q/R rate | 0.5/0.3 | 0.4/0.2 | 0.6/0.3 | 0.6/0.4 |
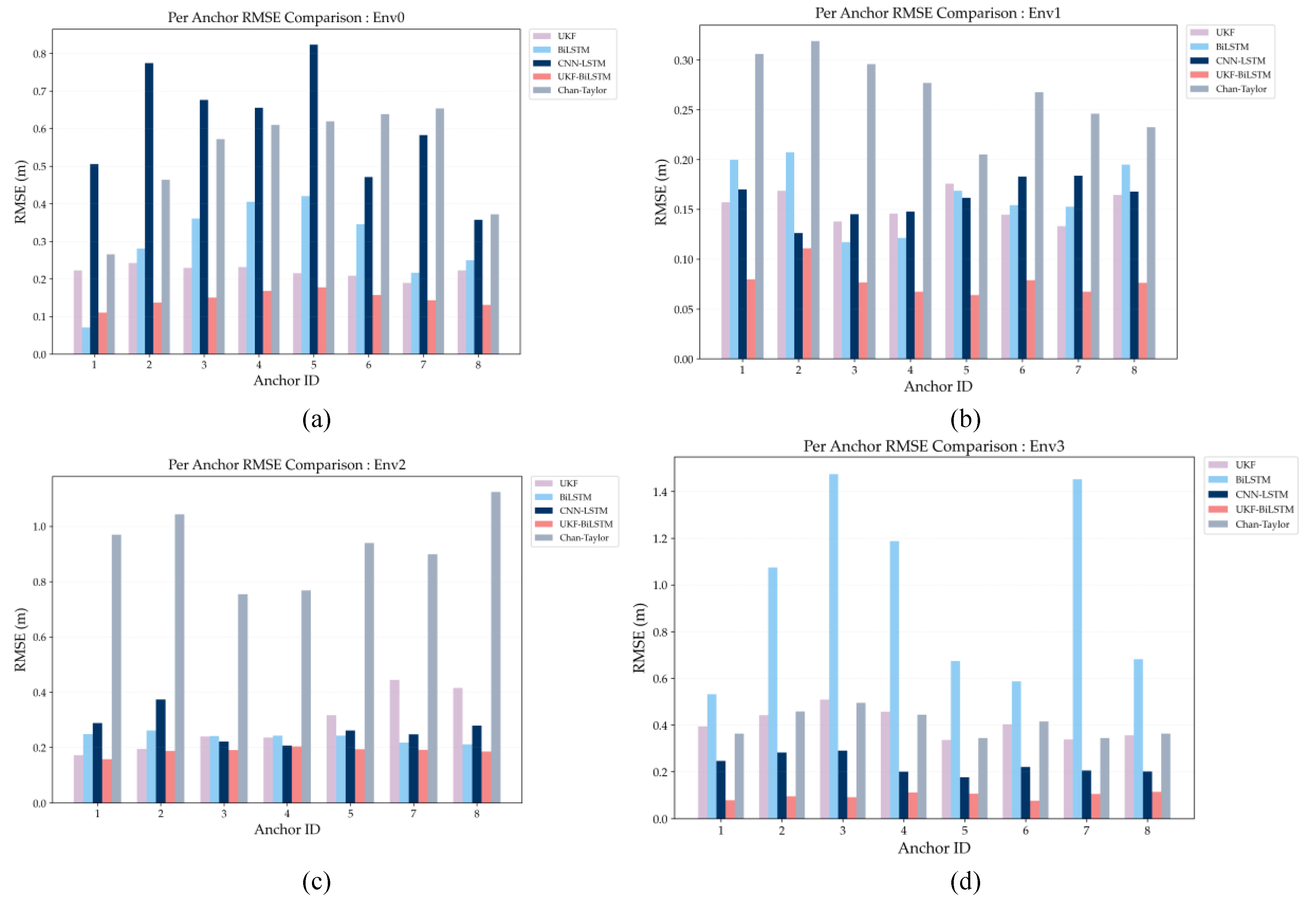
| Anchor | UKF/m | BiLSTM/m | Chan-Taylor/m | CNN-LSTM/m | UKF-BiLSTM/m |
|---|---|---|---|---|---|
| A1 | 0.2228 | 0.0712 | 0.2653 | 0.5054 | 0.1108 |
| A2 | 0.2423 | 0.2809 | 0.4636 | 0.7742 | 0.1368 |
| A3 | 0.2292 | 0.3605 | 0.5717 | 0.6759 | 0.1505 |
| A4 | 0.2318 | 0.4049 | 0.6099 | 0.6554 | 0.1681 |
| A5 | 0.2151 | 0.4202 | 0.6192 | 0.8231 | 0.1774 |
| A6 | 0.2088 | 0.3454 | 0.6387 | 0.4710 | 0.1572 |
| A7 | 0.1896 | 0.2163 | 0.6537 | 0.5826 | 0.1435 |
| A8 | 0.2228 | 0.2496 | 0.3718 | 0.3575 | 0.1308 |
| Anchor | UKF/m | BiLSTM/m | Chan-Taylor/m | CNN-LSTM/m | UKF-BiLSTM/m |
|---|---|---|---|---|---|
| A1 | 0.1572 | 0.1999 | 0.3060 | 0.1700 | 0.0798 |
| A2 | 0.1686 | 0.2074 | 0.3190 | 0.1263 | 0.1110 |
| A3 | 0.1378 | 0.1173 | 0.2958 | 0.1452 | 0.0768 |
| A4 | 0.1458 | 0.1214 | 0.2769 | 0.1479 | 0.0675 |
| A5 | 0.1759 | 0.1688 | 0.2051 | 0.1617 | 0.0640 |
| A6 | 0.1449 | 0.1542 | 0.2677 | 0.1830 | 0.0789 |
| A7 | 0.1330 | 0.1528 | 0.2461 | 0.1838 | 0.0675 |
| A8 | 0.1645 | 0.1950 | 0.2326 | 0.1678 | 0.0762 |
| Anchor | UKF/m | BiLSTM/m | Chan-Taylor/m | CNN-LSTM/m | UKF-BiLSTM/m |
|---|---|---|---|---|---|
| A1 | 0.1720 | 0.2483 | 0.9699 | 0.2879 | 0.1573 |
| A2 | 0.1943 | 0.2614 | 1.0433 | 0.3735 | 0.1874 |
| A3 | 0.2394 | 0.2415 | 0.7547 | 0.2213 | 0.1906 |
| A4 | 0.2359 | 0.2426 | 0.7684 | 0.2065 | 0.2032 |
| A5 | 0.3163 | 0.2430 | 0.9395 | 0.2608 | 0.1933 |
| A6 | None | None | None | None | None |
| A7 | 0.4442 | 0.2172 | 0.8993 | 0.2469 | 0.1910 |
| A8 | 0.4150 | 0.2113 | 1.1244 | 0.2792 | 0.1849 |
| Anchor | UKF/m | BiLSTM/m | Chan-Taylor/m | CNN-LSTM/m | UKF-BiLSTM/m |
|---|---|---|---|---|---|
| A1 | 0.3942 | 0.5320 | 0.3629 | 0.2460 | 0.0795 |
| A2 | 0.4419 | 1.0746 | 0.4576 | 0.2825 | 0.0964 |
| A3 | 0.5085 | 1.4742 | 0.4954 | 0.2906 | 0.0924 |
| A4 | 0.4570 | 1.1876 | 0.4439 | 0.2007 | 0.1123 |
| A5 | 0.3361 | 0.6734 | 0.3446 | 0.1765 | 0.1070 |
| A6 | 0.4036 | 0.5870 | 0.4151 | 0.2202 | 0.0775 |
| A7 | 0.3378 | 1.4528 | 0.3445 | 0.2053 | 0.1068 |
| A8 | 0.3559 | 0.6817 | 0.3631 | 0.2010 | 0.1153 |
Disclaimer/Publisher’s Note: The statements, opinions and data contained in all publications are solely those of the individual author(s) and contributor(s) and not of MDPI and/or the editor(s). MDPI and/or the editor(s) disclaim responsibility for any injury to people or property resulting from any ideas, methods, instructions or products referred to in the content. |
© 2025 by the authors. Licensee MDPI, Basel, Switzerland. This article is an open access article distributed under the terms and conditions of the Creative Commons Attribution (CC BY) license (http://creativecommons.org/licenses/by/4.0/).