Preprint
Article

This version is not peer-reviewed.

Oscillation Detection in Difference Equations with Several Non-Monotone Advanced Arguments via a New Approach

A peer-reviewed article of this preprint also exists.

Submitted:

19 December 2025

Posted:

22 December 2025

You are already at the latest version

Abstract
We investigate the oscillatory behavior of a first-order difference equation with several advanced arguments. New sufficient conditions for oscillation are established, and we show, through carefully constructed counterexamples, that many well-known criteria for equations with a single advanced argument fail to generalize to the several-argument setting, even when each advanced argument is increasing. Several illustrative examples are also provided to demonstrate the sharpness and practical effectiveness of the obtained con- ditions and to highlight their clear improvements over all existing results in the literature
Keywords: 
;  ;  

1. Introduction

Consider the first-order difference equations with several advanced arguments
z ( n ) + r = 1 m c r ( n ) z θ r ( n ) = 0 , n N ,
where N denotes the set of positive integers and z ( n ) = z ( n ) z ( n 1 ) is the backward difference operator. Throughout the paper, the coefficient sequences c r ( n ) , r = 1 , 2 , , m , are assumed to be nonnegative real-valued for all sufficiently large n. Moreover, the integer-valued sequences θ r ( n ) represent advanced arguments and satisfy
θ r ( n ) n + 1 , n N , r = 1 , 2 , , m .
A sequence ( z ( n ) ) n n 0 , for some n 0 N , is said to be a solution of equation (1) if it satisfies the equation for all n n 0 .
The oscillation theory of differential and difference equations provides fundamental insights into the qualitative behavior of dynamical systems across diverse domains, including population dynamics, control systems, biological feedback or feedforward mechanisms [24,31], neural modeling [30,33], and economics, see [2,23,28,29]. The analysis of oscillatory behavior enables researchers to determine whether solutions fluctuate around equilibrium states or converge monotonically, thereby revealing underlying stability properties, periodic tendencies, or chaotic dynamics in physical and biological processes. In discrete systems, oscillation analysis assumes particular significance, as many real-world models evolve through discrete time steps and incorporate delay or advance arguments to capture memory effects or anticipation mechanisms, see [2,23].
The study of oscillation in difference equations plays an essential role in discrete mathematics, and its development has been addressed in a wide range of contributions; see [2,3,4,5,6,7,8,9,10,11,12,13,14,15,16,18,19,20,22,23,25,26,27,32,34,35,36,37]. While classical results typically assume single monotone arguments, realistic systems often involve several advanced arguments that may vary non-monotonically over time. Such complex structures arise naturally in predictive control systems, biological population models with anticipation mechanisms, and signal propagation through feedback networks [10,20,31].
Ladas [27] investigated the oscillatory behavior of the first-order differential equation with non-decreasing delay
y ( t ) + a ( t ) y ( g ( t ) ) = 0 , a C ( [ t 0 , ) , [ 0 , ) ) , t t 0 ,
and established the well-known lim sup-type oscillation criterion
lim sup t g ( t ) t a ( s ) d s > 1 .
Motivated by the continuous case, Chatzarakis and Stavroulakis [21] extended Ladas’ condition to the discrete setting. In particular, they obtained the following discrete analogue of (2):
lim sup n r = n h ( n ) c ( r ) > 1 ,
for the advanced difference equation
z ( n ) c ( n ) z h ( n ) = 0 , n N ,
where { c ( n ) } n 1 is a sequence of nonnegative real numbers and { h ( n ) } n 1 is an integer-valued non-decreasing sequence satisfying
h ( n ) n + 1 .
Subsequently, Chatzarakis, Pinelas, and Stavroulakis [14] extended condition (3) to Eq. (1) and obtained
lim sup n r = 1 m r 1 = n θ min ( n ) c r ( r 1 ) > 1 .
where θ min ( n ) = min 1 r m θ r ( n ) and each θ r ( n ) represents a non-decreasing sequence.
Braverman and Karpuz [9] demonstrated that condition (2) is not valid for both the continuous and the corresponding discrete cases when the assumption of monotonicity is relaxed to allow for general, not necessarily monotone, delay arguments. This finding highlights the limitations of directly extending results from monotone to non-monotone delays and shows that more specific methods are required for equations with non-monotone arguments [25,26].
Despite notable progress in the oscillation theory of delay difference equations, the case involving several advanced arguments remains insufficiently explored. Existing studies [1,9] present only sufficient conditions for the oscillation of all solutions; however, they do not reveal the qualitative differences between equations with one or with several advanced arguments. Following the approach in [9], we construct a counterexample showing that some extensions of condition (3) cannot hold for Eq. (1), even when the advanced arguments are non-decreasing and satisfy θ r ( n ) n + 1 . In this work, we show that there is no constant B > 0 such that any of the following conditions guarantees the oscillation of all solutions of Eq. (1):
lim inf n r = 1 m r 1 = n + 1 θ max ( n ) c r ( r 1 ) > B , θ max ( n ) = max 1 i m θ i ( n ) ,
or
lim inf n r = n + 1 θ k ( n ) c l ( r ) > B , k l , k , l = 1 , 2 , , m .
This paper has two additional goals. First, we develop a new framework for studying oscillatory behavior and obtain new sufficient conditions that extend and unify earlier results (see Table 1 on page 7). Second, we show that, for a certain class of equations of the form (1), some of our criteria guarantee oscillation, while all previously known conditions, whether iterative or not, fail for this class. Finally, we introduced a new concept for difference equations with advanced arguments, namely, the distance between generalized successive zeros of solutions, illustrated through numerical simulations.

2. Main Results

Theorem 1. 
None of the following conditions, for any constant B > 0 , guarantees the oscillation of Eq. (1) when θ r ( n ) is non-decreasing for all r = 1 , 2 , , m and m 2 :
(i)
lim inf n r = 1 m r 1 = n + 1 θ max ( n ) c r ( r 1 ) > B , θ max ( n ) = max 1 r m θ r ( n ) ,
(ii)
lim inf n r = n + 1 θ k ( n ) c l ( r ) > B , k l , k , l = 1 , 2 , , m .
Proof. 
Consider the first–order difference equation with several advanced arguments
z ( n ) 1 e 1 2 e z ( n + 1 ) 1 e 1 2 e M z ( n + M ) = 0 , M > 2 , n N .
It is evident that this equation is a particular case of (1), with
θ 1 ( n ) = n + 1 , θ 2 ( n ) = n + M , c 1 ( n ) = 1 e 1 2 e , c 2 ( n ) = 1 e 1 2 e M .
The above equation possesses a non-oscillatory solution
z ( n ) = e n , n N .
Furthermore, we obtain
r = 1 2 r 1 = n + 1 θ max ( n ) c r ( r 1 ) = r = 1 2 r 1 = n + 1 n + M c r ( r 1 ) = M ( 1 e 1 ) 1 2 e + 1 2 e M > M ( 1 e 1 ) 2 e ,
and similarly,
r = n + 1 θ 2 ( n ) c 1 ( r ) = M ( 1 e 1 ) 2 e .
As the integer M may be taken arbitrarily large, the proof of the theorem is complete. □
In what follows, and throughout the remainder of this work, we assume that ( θ r ( n ) ) n 1 , for r = 1 , 2 , , m , are integer-valued (it is not necessarily assumed to be non-decreasing). Accordingly, we introduce the non-decreasing sequences
ϕ r ( n ) = min r 1 n θ r ( r 1 ) r = 1 , 2 , , m .
Furthermore, for integers p q , we define
C 1 ( p , q ) = r 1 = q + 1 p 1 r = 1 m c r ( r 1 ) , C k ( p , q ) = r 1 = q + 1 p 1 r = 1 m c r ( r 1 ) C k 1 1 θ r ( r 1 ) , r 1 , k = 2 , 3 , .
The following lemma provides an iterative sequence of lower bounds for the ratio z ( p ) z ( q ) , which progressively increases as k increases. The proof of this Lemma, for difference equation with several delays, can be found in [10].
Lemma 1. 
Assume that ( z ( n ) ) is a positive solution of Eq. (1). Then for all p q , k N , we have
z ( p ) z ( q ) C k 1 ( p , q ) .
Proof. 
Dividing Eq. (1) by z ( n ) and taking the product from q + 1 to p, we obtain
0 < z ( q ) z ( p ) = r 1 = q + 1 p 1 r = 1 m c r ( r 1 ) z ( θ r ( r 1 ) ) z ( r 1 ) .
Since the sequence ( z ( n ) ) is positive, it follows from Eq. (1) that z ( n ) is eventually non-decreasing. Consequently,
z ( θ r ( r 1 ) ) z ( r 1 ) 1 .
Hence, from (8) we have
0 < z ( q ) z ( p ) = r 1 = q + 1 p 1 r = 1 m c r ( r 1 ) z ( θ r ( r 1 ) ) z ( r 1 ) r 1 = q + 1 p 1 r = 1 m c r ( r 1 ) .
That is,
z ( p ) z ( q ) r 1 = q + 1 p 1 r = 1 m c r ( r 1 ) 1 = C 1 1 ( p , q ) .
Moreover, since θ r ( r 1 ) r 1 , it follows that
z ( θ r ( r 1 ) ) z ( r 1 ) C 1 1 ( θ r ( r 1 ) , r 1 ) .
Substituting this estimate into (8) and rearranging the terms yields
z ( p ) z ( q ) r 1 = q + 1 p 1 r = 1 m c r ( r 1 ) C 1 1 ( θ r ( r 1 ) , r 1 ) 1 = C 2 1 ( p , q ) .
Proceeding inductively in this manner, we finally arrive at inequality (7). □
Theorem 2. 
(Main oscillation criterion for several non-monotone advanced arguments)
Let k N . Suppose that there exists an unbounded sequence { α i } i 0 such that
lim i r = 1 m r 1 = α i ϕ r ( α i ) C k 1 θ j * ( r 1 ) , ϕ j * ( α i ) c j * ( r 1 ) > 1 for every j * { 1 , 2 , , m } .
Then Eq. (1) is oscillatory.
Proof. 
Assume, for the sake of contradiction, that Eq. (1) possesses a non-oscillatory solution ( z ( n ) ) . Without loss of generality, we may suppose that z ( n ) > 0 for all sufficiently large values of n. Hence, z ( n ) is eventually non-increasing for all sufficiently large n.
Summing Eq. (1) from n to ϕ r ( n ) , r = 1 , 2 , , m , yields
z ( ϕ r ( n ) ) z ( n 1 ) r 1 = n ϕ r ( n ) c 1 ( r 1 ) z ( θ 1 ( r 1 ) ) r 1 = n ϕ r ( n ) c 2 ( r 1 ) z ( θ 2 ( r 1 ) ) r 1 = n ϕ r ( n ) c m ( r 1 ) z ( θ m ( r 1 ) ) = 0 .
By virtue of inequality (7) and the fact that θ j ( r 1 ) ϕ j ( n ) for all r 1 { n , n + 1 , , ϕ r ( n ) } , it follows that
z ( θ j ( r 1 ) ) z ( ϕ j ( n ) ) C k 1 ( θ j ( r 1 ) , ϕ j ( n ) ) .
Substituting this estimate into the previous equality gives
z ( ϕ r ( n ) ) z ( n 1 ) z ( ϕ 1 ( n ) ) r 1 = n ϕ r ( n ) C k 1 ( θ 1 ( r 1 ) , ϕ 1 ( n ) ) c 1 ( r 1 ) z ( ϕ 2 ( n ) ) r 1 = n ϕ r ( n ) C k 1 ( θ 2 ( r 1 ) , ϕ 2 ( n ) ) c 2 ( r 1 ) z ( ϕ m ( n ) ) r 1 = n ϕ r ( n ) C k 1 ( θ m ( r 1 ) , ϕ m ( n ) ) c m ( r 1 ) 0 .
Summing this inequality for r = 1 , 2 , , m , we obtain
m z ( n 1 ) z ( ϕ 1 ( n ) ) r = 1 m r 1 = n ϕ r ( n ) C k 1 ( θ 1 ( r 1 ) , ϕ 1 ( n ) ) c 1 ( r 1 ) 1 z ( ϕ 2 ( n ) ) r = 1 m r 1 = n ϕ r ( n ) C k 1 ( θ 2 ( r 1 ) , ϕ 2 ( n ) ) c 2 ( r 1 ) 1 z ( ϕ m ( n ) ) r = 1 m r 1 = n ϕ r ( n ) C k 1 ( θ m ( r 1 ) , ϕ m ( n ) ) c m ( r 1 ) 1 0 .
Now, according to condition (9), there exists a sufficiently large i such that
r = 1 m r 1 = α i ϕ r ( α i ) C k 1 ( θ j * ( r 1 ) , ϕ j * ( α i ) ) c j * ( r 1 ) > 1 for every j * { 1 , 2 , , m } .
Combining this fact with inequality (11) yields a contradiction that completes the proof. □
Theorem 3. 
Assume that c i ( n ) c ( n ) for n n 0 , n 0 N , i { 1 , 2 , , m } . If
lim sup n r = 1 m r 1 = n ϕ r ( n ) c ( r 1 ) > 1 ,
then, Eq. (1) is oscillatory.
Proof. 
By applying the same approach employed in the proof of Theorem 2, we deduce that
z ( ϕ r ( n ) ) z ( n 1 ) z ( ϕ 1 ( n ) ) r 1 = n ϕ r ( n ) c 1 ( r 1 ) z ( ϕ 2 ( n ) ) r 1 = n ϕ r ( n ) c 2 ( r 1 ) z ( ϕ m ( n ) ) r 1 = n ϕ r ( n ) c m ( r 1 ) 0 ,
where r = 1 , 2 , , m and ( z ( n ) ) is a positive solution of Eq. (1). Using the inequality c i ( n ) c ( n ) for all i { 1 , 2 , , m } , and summing over r = 1 , 2 , , m , we get
r = 1 m z ( ϕ r ( n ) ) m z ( n 1 ) z ( ϕ 1 ( n ) + z ( ϕ 2 ( n ) ) + + z ( ϕ m ( n ) ) ) r = 1 m r 1 = n ϕ r ( n ) c ( r 1 ) 0 ,
that is,
m z ( n 1 ) r = 1 m r 1 = n ϕ r ( n ) c ( r 1 ) 1 r = 1 m z ( ϕ r ( n ) ) 0 .
Consequently,
r = 1 m r 1 = n ϕ r ( n ) c ( r 1 ) 1 .
Therefore,
lim sup n r = 1 m r 1 = n ϕ r ( n ) c ( r 1 ) 1 ,
contradicts (12). □
It is straightforward to reorder the sequences { c r ( n ) } and { θ r ( n ) } , for r = 1 , 2 , , m , associated with Eq. (1), so that the following inequality is eventually satisfied:
r 1 = n ϕ r ( n ) c j * ( r 1 ) r 1 = n ϕ r ( n ) c i * ( r 1 ) , j * i * , 1 i * , j * m .
Theorem 4. 
Let k N and { 1 , 2 , , m } . Assume that there exists an unbounded sequence { α i } i 0 such that
lim i r = m r 1 = α i ϕ r ( α i ) C k 1 θ j * ( r 1 ) , ϕ j * ( α i ) c j * ( r 1 ) > 1 for every j * { , + 1 , , m } .
Then Eq. (1) is oscillatory.
Proof. 
As before, let z ( n ) denote a positive solution of Eq. (1). From Eq. (1), it immediately follows that
z ( n ) r = m c r ( n ) z θ r ( n ) 0 .
Following the same arguments as in the proof of Theorem 2, and using (7) with θ j ( r 1 ) ϕ j ( n ) for all r 1 { n , n + 1 , , θ j ( r ) } , summing from to m yields
( m ) z ( n 1 ) z ( ϕ ( n ) ) r = m r 1 = n ϕ r ( n ) C k 1 ( θ ( r 1 ) , ϕ ( n ) ) c ( r 1 ) 1 z ( ϕ + 1 ( n ) ) r = m r 1 = n ϕ r ( n ) C k 1 ( θ + 1 ( r 1 ) , ϕ + 1 ( n ) ) c + 1 ( r 1 ) 1 z ( ϕ m ( n ) ) r = m r 1 = n ϕ r ( n ) C k 1 ( θ m ( r 1 ) , ϕ m ( n ) ) c m ( r 1 ) 1 0 .
From this and condition (14), we arrive at a contradiction, which completes the proof of the theorem. □
Remark 1. 
It is worth noting that one of the significant consequences of Theorem 1 is that none of the conditions
r = 1 m r 1 = n θ max ( n ) c r ( r 1 ) < A < + , where A > 0 and θ max ( n ) = max 1 r m θ r ( n ) ,
or
r = n + 1 θ k ( n ) c l ( r ) < A < + , where A > 0 , k l , k , l = 1 , 2 , , m ,
where each θ r ( n ) denotes a non-decreasing sequence of positive integers, is a necessary condition for the non-oscillation of Eq. (1).

3. Numerical Results and Simulations

In this section, we provide a comparative analysis between our results and those reported in previous studies, as summarized in Table 1. It is clear that all existing works establish only sufficient conditions for the oscillation of Eq. (1). In contrast, our results not only yield new and sharper oscillation criteria but also reveal that certain formulates are not sufficient to ensure the oscillatory behavior of all solutions of Eq. (1).
We also present two numerical examples to demonstrate the validity and sharpness of the obtained results. The first example applies one of the main theorems to show that a class of difference equations of the form (1) is oscillatory, while previously known criteria fail to detect this behavior; several solution simulations and graphical representations further illustrate the oscillatory nature and identify regions where earlier conditions are ineffective. The second example addresses a qualitative property that, to the best of the authors’ knowledge, has not been previously studied for difference equations advanced arguments, namely the distance between generalized zeros, and the simulations indicate that this distance decreases as the sequence of coefficients increases, highlighting the relevance of this property for a deeper understanding of the solution dynamics.
Example 1. 
Consider the first-order difference equation with several advanced arguments
z ( n ) c 1 ( n ) z ( θ 1 ( n ) ) c 2 ( n ) z ( θ 2 ( n ) ) c 3 ( n ) z ( θ 3 ( n ) ) = 0 , n N ,
where
θ 1 ( n ) = n + 1 , if n = 2 k , n + 3 , if n = 2 k + 1 , k N ,
and
θ 2 ( n ) = n + 1 2 δ , θ 3 ( n ) = n + 1 δ ,
where 0 < δ < 1 3 , and 1 δ denotes the greatest integer less than or equal to 1 δ .
Furthermore, c 1 ( n ) = δ 2 , and
c 2 ( n ) = c 3 ( n ) = a , i f n = α k , α k + 1 , α k + 2 , , α k + 1 δ , 0 , otherwise , k N ,
where a = 2 3 ( δ + ϵ ) , ϵ > 0 , and the sequence { α k } satisfies
α k + 1 > α k + 1 δ + 1 + 1 δ for all N .
It follows directly that condition (13) holds, and
ϕ 2 ( n ) = min r 1 n θ 2 ( r 1 ) = θ 2 ( n ) , ϕ 3 ( n ) = min r 1 n θ 3 ( r 1 ) = θ 3 ( n ) .
Consequently, for j * = 2 , 3 , we obtain
r = 2 3 r 1 = α k ϕ r ( α k ) c j * ( r 1 ) = r 1 = α k ϕ 2 ( α k ) c j * ( r 1 ) + r 1 = α k ϕ 3 ( α k ) c j * ( r 1 ) a 1 2 δ + 1 δ = 2 3 ( δ + ϵ ) · 3 2 δ = 1 + ϵ δ for all k N .
Therefore, condition (14) is satisfied with = 2 , and hence Eq. (17) is oscillatory.
However, as will be demonstrated below, all known iterative and non-iterative oscillation criteria fail to establish the oscillatory behavior of Eq. (17). For example,
r = 1 3 r 1 = α k + 1 δ + 1 θ r α k + 1 δ + 1 c r ( r 1 ) r = 1 3 r 1 = α k + 1 δ + 1 θ min α k + 1 δ + 1 c r ( r 1 ) r = 1 3 r 1 = α k + 1 δ + 1 α k + 1 δ + 1 + 1 δ c r ( r 1 ) = 0 for all k N .
where θ min ( n ) = min 1 r m θ r ( n ) = θ 3 ( n ) . Therefore,
lim inf n r = 1 3 r 1 = n + 1 θ r ( n ) c r ( r 1 ) lim inf n r = 1 3 r 1 = n + 1 θ min ( n ) c r ( r 1 ) = 0 .
Consequently, ([14] Theorem 3.2) cannot be applied to Eq. (17). Furthermore, we observe that
θ ( n ) = min 1 r m θ r ( n ) = θ 1 ( n ) n + 3 ,
and
ϕ ( n ) = min 1 r n ϕ r ( n ) θ ( n ) n + 3 .
Moreover, define
G ( n ) = G 0 ( n ) = r = 1 3 c r ( n ) , G k ( n ) = G ( n ) 1 + r = n + 1 θ ( n ) G ( r ) exp r 1 = r + 1 θ ( r ) G ( r 1 ) r 2 = r 1 + 1 θ ( r 1 ) 1 1 G k 1 ( r 2 ) , k = 1 , 2 , .
Therefore,
G ( n ) = G 0 ( n ) = r = 1 3 c r ( n ) δ 2 + 4 3 ( δ + ϵ ) = W ( δ , ϵ ) ,
and
G 1 ( n ) = G ( n ) 1 + r = n + 1 θ ( n ) G ( r ) exp r 1 = r + 1 θ ( r ) G ( r 1 ) r 2 = r 1 + 1 θ ( r 1 ) 1 1 G 0 ( r 2 ) W ( δ , ϵ ) 1 + 3 W ( δ , ϵ ) exp 3 W ( δ , ϵ ) 1 1 W ( δ , ϵ ) 3 < R 1 ( δ , ϵ ) < + .
Similarly,
G k ( n ) R k ( δ , ϵ ) < + , k = 1 , 2 , .
Consequently,
r = n θ ( n ) G ( r ) r 1 = ϕ ( n ) + 1 ϕ ( r ) 1 1 G k ( r 1 ) 4 W ( δ , ϵ ) 1 1 R k ( δ , ϵ ) 3 < 1
for sufficiently small δ and ϵ . Hence, [17] (Theorem 2.7) is not satisfied.
Likewise, it can be shown that the remaining oscillation conditions are not satisfied for Eq. (17).
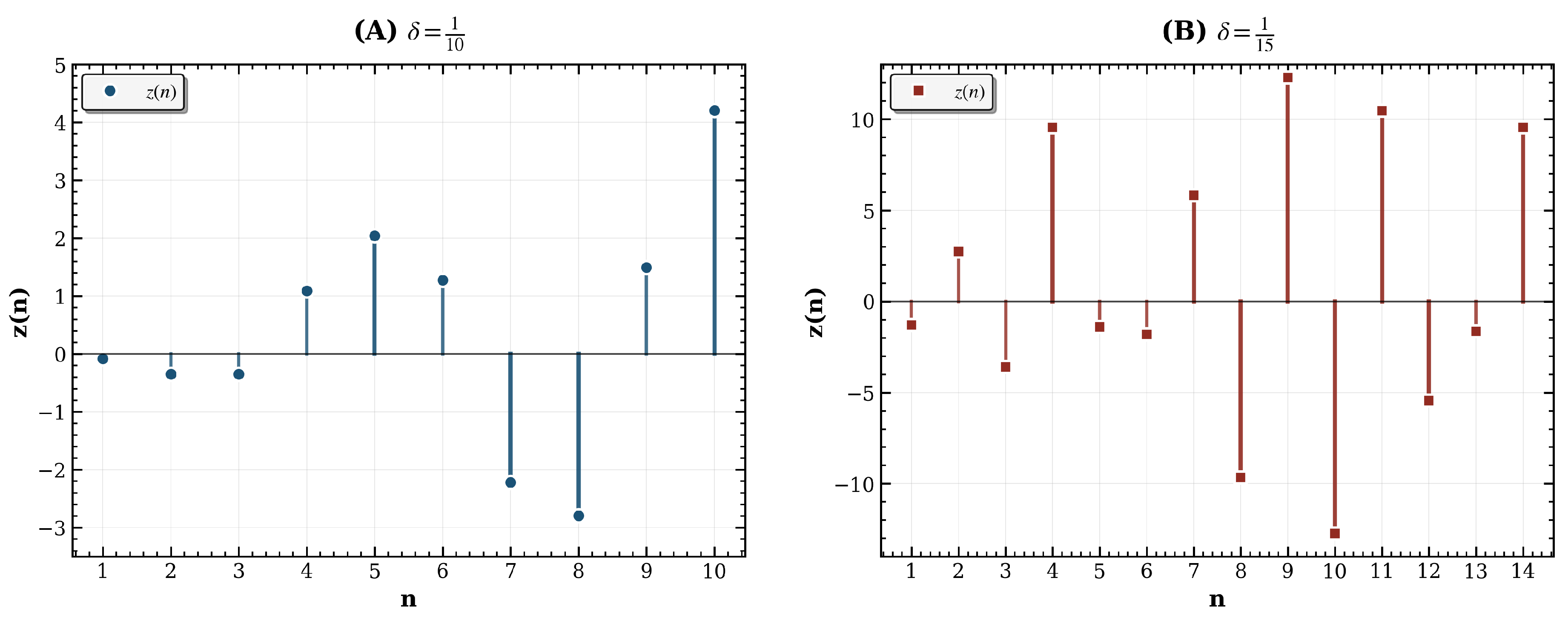
This example demonstrates that condition (14) yields sharper results than existing ones. The numerical results confirm the oscillatory behavior of Eq. (17). As seen in Figure 1, the solution z ( n ) oscillates for δ = 1 10 and δ = 1 15 with ϵ = 10 4 , while smaller δ leads to more sign changes, motivating further study of the distance between generalized zeros (see Example 2).
In addition, we illustrate, through several graphical representations, a comparison between condition (14) and [17] (Theorem 2.7). Specifically, we define the function
F k ( δ ) r = n θ ( n ) G ( r ) r 1 = ϕ ( n ) + 1 ϕ ( r ) 1 1 G k ( r 1 ) 1 ,
where ϵ = 10 4 . We plot the relationship between F k ( δ ) and the parameter δ . As illustrated in Figure 2 and Table 2, the oscillation condition of [17] (Theorem 2.7), for k = 1 , 2 , and 3, is not satisfied on the intervals
[ 0 , 0.08776083032 ] , [ 0 , 0.08584232790 ] , [ 0 , 0.08545505006 ] ,
respectively. However, as shown above, Eq. (17) is oscillatory for all 0 < δ < 1 3 and ϵ > 0 .
Example 2. 
Consider the difference equation with advanced argument
z ( n ) μ z ( n + 1 ) = 0 , n N .
This equation represents a particular case of Eq. (4) with h ( n ) = n + 1 and c ( n ) = μ . Numerical simulations of Eq. (18) reveal a clear dependence between the parameter μ and the distance between consecutive generalized zeros of the solutions. Here, a generalized zero is a positive integer at which the solution is zero or has a different sign than at the preceding integer. The numerical results show that the maximum interval length T, over which the solution remains positive (or negative), decreases as μ increases. Specifically, for μ = 1 3 , 1 2 , 3 4 , a n d 1 , the corresponding lengths are T 5 , 4 , 3 , and 3, respectively (see Figure 3). These findings highlight the importance of examining the spacing between successive generalized zeros in advanced-type difference equations, as such an analysis provides deeper insight into the qualitative oscillatory dynamics of these equations.

Conclusion

In this work, we obtained new oscillation criteria for first–order difference equations with several, not necessarily monotone, advanced arguments. Our results substantially strengthen and extend the existing results in the literature. Theorem 1 shows that there are fundamental differences between equations with a single advanced argument and those with several advanced arguments. Moreover, the analytical approach presented here is sufficiently flexible to be applied to further qualitative investigations, including the study of the distribution of generalized zero and related properties of difference equations with generalized delays or advanced arguments.

Author Contributions

Conceptualization, M.T.N. and E.R.A.; methodology, M.T.N. and E.R.A.; software, M.T.N. and E.R.A.; validation, M.T.N., E.R.A. and G.E.C.; formal analysis, M.T.N. and E.R.A.; investigation, M.T.N. and E.R.A.; resources, M.T.N. and E.R.A.; data curation, M.T.N. and E.R.A.; writing original draft preparation, M.T.N., E.R.A. and G.E.C.; writing, review and editing, M.T.N., E.R.A. and G.E.C.; visualization, M.T.N. and E.R.A.; supervision, E.R.A.; project administration, E.R.A.. All authors have read and agreed to the published version of the manuscript.

Funding

This research was funded by Prince Sattam bin Abdulaziz University, project number PSAU/2025/01/31196. The Article Processing Charge (APC) was also funded by Prince Sattam bin Abdulaziz University.

Institutional Review Board Statement

Not applicable. This study does not involve human participants or animals.

Informed Consent Statement

Not applicable. This study did not involve human participants.

Data Availability Statement

This is a theoretical study in the field of mathematics. No new data were created or analyzed in this work. Therefore, data sharing is not applicable to this article.

Acknowledgments

The authors extend their appreciation to Prince Sattam bin Abdulaziz University for funding this work through project number (PSAU/2025/01/31196).

Conflicts of Interest

The authors declare no conflicts of interest. The funders had no role in the design of the study; in the collection, analyses, or interpretation of data; in the writing of the manuscript; or in the decision to publish the results.

Abbreviations

The following abbreviations are used in this manuscript:
DE Difference Equation
NDE Neutral Difference Equation
1st-order First-order
non-monot. Non-monotone
args. Arguments
e.g. For example (exempli gratia)
i.e. That is (id est)
etc. And so forth (et cetera)
cf. Compare (confer)
lim inf Limit inferior
lim sup Limit superior
w.l.o.g. Without loss of generality
w.r.t. With respect to
resp. Respectively

References

  1. Agarwal, R.P.; O’Regan, D.; Wong, P.J.Y. Positive solutions of differential, difference and integral equations. J. Math. Anal. Appl. 2005, 300, 465–483. [Google Scholar]
  2. Agarwal, R.P.; Grace, S.R.; O’Regan, D. Oscillation Theory for Difference and Functional Differential Equations; Springer: Berlin, Germany, 2013. [Google Scholar]
  3. Attia, E.R. New oscillation results for first-order nonlinear difference equations with retarded arguments. J. Math. Comput. Sci. 2024, 32, 241–255. [Google Scholar] [CrossRef]
  4. Attia, E.R.; Chatzarakis, G.E. Oscillation tests for difference equations with non-monotone retarded arguments. Appl. Math. Lett. 2022, 123, 107551. [Google Scholar] [CrossRef]
  5. Attia, E.R.; El-Matary, B.M. New aspects for the oscillation of first-order difference equations with deviating arguments. Opusc. Math. 2022, 42, 393–413. [Google Scholar] [CrossRef]
  6. Attia, E.R.; El-Matary, B.M.; Chatzarakis, G.E. New oscillation conditions for first-order linear retarded difference equations with non-monotone arguments. Opusc. Math. 2022, 42, 769–791. [Google Scholar] [CrossRef]
  7. Benekas, V.; Garab, Á.; Kashkynbayev, A.; Stavroulakis, I.P. Oscillation criteria for linear difference equations with several variable delays. Opusc. Math. 2021, 41, 613–627. [Google Scholar] [CrossRef]
  8. Berezansky, L.; Braverman, E. On existence of positive solutions for linear difference equations with several delays. Adv. Dyn. Syst. Appl. 2006, 1, 29–47. [Google Scholar]
  9. Braverman, E.; Karpuz, B. On oscillation of differential and difference equations with non-monotone delays. Appl. Math. Comput. 2011, 218, 3880–3887. [Google Scholar] [CrossRef]
  10. Braverman, E.; Chatzarakis, G.E.; Stavroulakis, I.P. Iterative oscillation tests for difference equations with several non-monotone arguments. J. Difference Equ. Appl. 2015, 21, 854–874. [Google Scholar] [CrossRef]
  11. Chatzarakis, G.E.; Koplatadze, R.; Stavroulakis, I.P. Oscillation criteria of first-order linear difference equations with delay argument. Nonlinear Anal. 2008, 68, 994–1005. [Google Scholar] [CrossRef]
  12. Chatzarakis, G.E.; Philos, Ch.G.; Stavroulakis, I.P. An oscillation criterion for linear difference equations with general delay argument. Port. Math. 2009, 66, 513–533. [Google Scholar] [CrossRef]
  13. Chatzarakis, G.E.; Manojlović, J.; Pinelas, S.; Stavroulakis, I.P. Oscillation criteria of difference equations with several deviating arguments. Yokohama Math. J. 2014, 60, 13–31. [Google Scholar]
  14. Chatzarakis, G.E.; Pinelas, S.; Stavroulakis, I.P. Oscillations of difference equations with several deviated arguments. Aequat. Math. 2014, 88, 105–123. [Google Scholar] [CrossRef]
  15. Chatzarakis, G.E.; Kusano, T.; Stavroulakis, I.P. Oscillation conditions for difference equations with several variable arguments. Math. Bohem. 2015, 140, 291–311. [Google Scholar] [CrossRef]
  16. Chatzarakis, G.E.; Jadlovská, I. Improved iterative oscillation tests for first-order deviating difference equations. Int. J. Difference Equ. 2017, 12, 185–210. [Google Scholar]
  17. Chatzarakis, G.E.; Jadlovská, I. Oscillations in difference equations with several arguments using an iterative method. Filomat 2018, 32, 255–273. [Google Scholar] [CrossRef]
  18. Chatzarakis, G.E.; Jadlovská, I. Difference equations with several non-monotone deviating arguments: Iterative oscillation tests. Dyn. Syst. Appl. 2018, 27, 271–298. [Google Scholar] [CrossRef]
  19. Chatzarakis, G.E.; Horvat-Dmitrović, L.; Pašić, M. Oscillation tests for difference equations with several non-monotone deviating arguments. Math. Slovaca 2018, 68, 1083–1096. [Google Scholar] [CrossRef]
  20. Chatzarakis, G.E.; Pašić, M. Improved iterative oscillation tests in difference equations with several arguments. J. Difference Equ. Appl. 2019, 25, 64–83. [Google Scholar] [CrossRef]
  21. Chatzarakis, G.E.; Stavroulakis, I.P. Oscillations of difference equations with general advanced argument. Cent. Eur. J. Math. 2012, 10, 807–823. [Google Scholar] [CrossRef]
  22. Chatzarakis, G.E.; Grace, S.R.; Jadlovská, I. Oscillation tests for linear difference equations with non-monotone arguments. Tatra Mt. Math. Publ. 2021, 79, 81–100. [Google Scholar] [CrossRef]
  23. Elaydi, S.N. An Introduction to Difference Equations, 3rd ed.; Springer: New York, NY, USA, 2005. [Google Scholar]
  24. Karatas, M.; Noblet, V.; Nasseef, M.T.; et al. Mapping the living mouse brain neural architecture: Strain-specific patterns of brain structural and functional connectivity. Brain Struct. Funct. 2024, 226, 647–669. [Google Scholar] [CrossRef] [PubMed]
  25. Karpuz, B. Sharp oscillation and nonoscillation tests for linear difference equations. J. Difference Equ. Appl. 2017, 23, 1929–1942. [Google Scholar] [CrossRef]
  26. Kitić, N.; Öcalan, Ö. Oscillation criteria for difference equations with several arguments. Int. J. Difference Equ. 2020, 15, 109–119. [Google Scholar]
  27. Ladas, G. Sharp conditions for oscillations caused by delays. Appl. Anal. 1979, 9, 93–98. [Google Scholar] [CrossRef]
  28. Li, T.; Frassu, S.; Viglialoro, G. Combining effects ensuring boundedness in an attraction–repulsion chemotaxis model with production and consumption. Z. Angew. Math. Phys. 2023, 74, 109. [Google Scholar] [CrossRef]
  29. Li, T.; Pintus, N.; Viglialoro, G. Properties of solutions to porous medium problems with different sources and boundary conditions. Z. Angew. Math. Phys. 2019, 70, 1–18. [Google Scholar] [CrossRef]
  30. Lupinsky, D.; Nasseef, M.T.; et al. Functional magnetic resonance imaging reveals altered functional connectivity associated with resilience and susceptibility to chronic social defeat stress in the mouse brain. Mol. Psychiatry 2025. [Google Scholar] [CrossRef]
  31. Nasseef, M.T. Measuring Directed Functional Connectivity in Mouse fMRI Networks Using Granger Causality . Doctoral Dissertation, University of Trento, Trento, Italy, 2015. [Google Scholar]
  32. Pinelas, S.; Dix, J.G. Oscillation of solutions to non-linear difference equations with several advanced arguments. Opusc. Math. 2017, 37, 887–898. [Google Scholar] [CrossRef]
  33. Soltanpour, S.; Utama, R.; Chang, A.; Nasseef, M.T.; et al. SST-DUNet: Automated preclinical functional MRI skull stripping using smart Swin transformer and dense UNet. J. Neurosci. Methods 2025. [Google Scholar] [CrossRef]
  34. Stavroulakis, I.P. Oscillations of delay difference equations. Comput. Math. Appl. 1995, 29, 83–88. [Google Scholar] [CrossRef]
  35. Stavroulakis, I.P. Oscillation criteria for delay and difference equations with non-monotone arguments. Appl. Math. Comput. 2014, 226, 661–672. [Google Scholar] [CrossRef]
  36. Wu, H.; Dix, J.G. Oscillation of nabla difference equations with several delay arguments. Int. J. Difference Equ. 2019, 14, 179–194. [Google Scholar] [CrossRef]
  37. Zhang, B.G.; Tian, C.J. Nonexistence and existence of positive solutions for difference equations with unbounded delay. Comput. Math. Appl. 1998, 36, 1–8. [Google Scholar] [CrossRef]
Figure 1. Discrete oscillatory behavior of the solution z ( n ) for different values of the perturbation parameter δ with ϵ = 10 4 . (A) δ = 1 10 : The solution exhibits regular oscillations with moderate variation around zero. (B) δ = 1 15 : The oscillations become more intensive, indicating increased sensitivity to parameter changes. Vertical lines emphasize the discrete character of the sequence, connecting each data point to the abscissa. The distinct oscillatory patterns demonstrate the dependence of the discrete dynamical behavior on the perturbation parameter δ .
Figure 1. Discrete oscillatory behavior of the solution z ( n ) for different values of the perturbation parameter δ with ϵ = 10 4 . (A) δ = 1 10 : The solution exhibits regular oscillations with moderate variation around zero. (B) δ = 1 15 : The oscillations become more intensive, indicating increased sensitivity to parameter changes. Vertical lines emphasize the discrete character of the sequence, connecting each data point to the abscissa. The distinct oscillatory patterns demonstrate the dependence of the discrete dynamical behavior on the perturbation parameter δ .
Preprints 190526 g001
Figure 2. The curves F 1 ( δ ) , F 2 ( δ ) , and F 3 ( δ ) show the ranges of δ for which the condition in [17] (Theorem 2.7) holds or fails. It fails from the origin up to the intersection with the horizontal axis and becomes valid thereafter. From the curves, the valid range increases with δ , reaching its maximum in figure C.
Figure 2. The curves F 1 ( δ ) , F 2 ( δ ) , and F 3 ( δ ) show the ranges of δ for which the condition in [17] (Theorem 2.7) holds or fails. It fails from the origin up to the intersection with the horizontal axis and becomes valid thereafter. From the curves, the valid range increases with δ , reaching its maximum in figure C.
Preprints 190526 g002
Figure 3. Discrete oscillatory behavior of the solution z ( n ) of Eq. (18). The four panels display distinct dynamical regimes governed by the parameter μ . Each discrete value z ( n ) is represented by a colored marker with a vertical line connecting it to the n-axis, emphasizing the discrete nature of the sequence.
Figure 3. Discrete oscillatory behavior of the solution z ( n ) of Eq. (18). The four panels display distinct dynamical regimes governed by the parameter μ . Each discrete value z ( n ) is represented by a colored marker with a vertical line connecting it to the n-axis, emphasizing the discrete nature of the sequence.
Preprints 190526 g003
Table 1. Comparison of existing results with the present study.
Table 1. Comparison of existing results with the present study.
Reference Type of Equation Argument Structure Main Contribution
Braverman & Karpuz (2011) Delay differential and difference equations Single nonmonotone delay argument New oscillation criterion; Monotone-delay results do not extend to non-monotone delay.
Chatzarakis et al.  [15,18,19,20] Difference equations with delay and advanced arguments Several non-monotone arguments Improved sufficient conditions using summation inequalities.
Present study (Nasseef, 2025) Difference equations with advanced arguments Several non-monotone advanced arguments Sharp and generalized oscillation conditions; Monotone-single advanced arguments results can not be extend to several monotone advanced arguments.
Table 2. Computed values of the iterative criteria functions F 1 ( δ ) , F 2 ( δ ) , and F 3 ( δ ) for various parameter δ .
Table 2. Computed values of the iterative criteria functions F 1 ( δ ) , F 2 ( δ ) , and F 3 ( δ ) for various parameter δ .
δ F 1 ( δ ) F 2 ( δ ) F 3 ( δ )
0.067 -0.429338 -0.286404 -0.157764
0.100 0.449848 0.594833 0.754316
0.020 -0.881088 -0.692979 -0.523681
0.040 -0.729753 -0.556778 -0.401100
0.060 -0.520528 -0.368476 -0.231628
0.080 -0.191859 -0.072673 0.034594
Disclaimer/Publisher’s Note: The statements, opinions and data contained in all publications are solely those of the individual author(s) and contributor(s) and not of MDPI and/or the editor(s). MDPI and/or the editor(s) disclaim responsibility for any injury to people or property resulting from any ideas, methods, instructions or products referred to in the content.
Copyright: This open access article is published under a Creative Commons CC BY 4.0 license, which permit the free download, distribution, and reuse, provided that the author and preprint are cited in any reuse.
Prerpints.org logo

Preprints.org is a free preprint server supported by MDPI in Basel, Switzerland.

Subscribe

Disclaimer

Terms of Use

Privacy Policy

Privacy Settings

© 2026 MDPI (Basel, Switzerland) unless otherwise stated