Preprint
Article

This version is not peer-reviewed.

Game Analysis of Cross-Border Electric Vehicle Supply Chain Considering Government Subsidies and Different Transportation Modes

A peer-reviewed article of this preprint also exists.

Submitted:

18 December 2025

Posted:

19 December 2025

You are already at the latest version

Abstract
This paper investigates the coordination between logistics and policy decisions for electric vehicle exports under the Belt and Road Initiative. Focusing on the two modes—maritime shipping and the China Railway Express (CR Express), along with government production subsidies, import tariffs, and service premium, a Stackelberg game model for a cross-border supply chain comprising a domestic manufacturer and an overseas retailer is constructed. The equilibrium outcomes under four scenarios formed by combining subsidy policies and transportation modes (Models NM, NR, GM and GR) are compared through theoretical and numerical analysis. Results show that the CR Express mode exhibits a service-driven nonlinear cost pattern, where its service premium amplifies positive market responses. Its appeal to the manufacturer, however, is tightly constrained by fixed cost. Furthermore, government subsidies can overcome this barrier by synergizing with the service premium, turning the CR Express into a relatively advantageous strategy. Moreover, subsidy efficacy is conditional, de-pending heavily on the service premium level and logistics cost coefficient, leading to a proposed differentiated subsidy framework. This study offers a theoretical basis for corporate logistics strategy and targeted policy design.
Keywords: 
;  ;  ;  ;  ;  

1. Introduction

Against the urgent backdrop of the global energy transition and the imperative to address climate change, the electric vehicle (EV) industry has emerged as a pivotal force driving the transformation of the global transportation system [1,2]. As the world's largest producer and consumer market for EVs, China is actively leveraging the Belt and Road Initiative to expand into overseas markets while maintaining robust domestic growth, thereby exporting green technologies and production capacity [3,4]. Statistics show that China's EV exports to countries along the Belt and Road have grown rapidly, becoming a key growth engine for the industry's globalization. This progress benefits from top-down policy guidance and the trade facilitation arrangements established with partner countries.
However, the operation of China's cross-border EV supply chains faces multiple challenges. Primarily, cross-border trade costs, primarily import tariffs, directly undermine product price competitiveness and erode supply chain profits [5]. Moreover, the strategic complexity of international logistics presents a significant trade-off, as exports predominantly rely on two modes, i.e., maritime shipping and the China Railway Express (CR Express) [6]. The former offers lower costs but longer transit times, while the latter provides faster delivery, higher reliability, and enhances end-consumer perceived value, creating a service premium. Consequently, logistics decisions become a critical factor influencing market demand and overall supply chain performance. Finally, a pressing challenge lies in optimizing the efficacy of government subsidy policies. A key issue is the understanding of variations in the effectiveness of production subsidies across different transportation modes and their precise calibration to maximize incentives, which constitutes a crucial theoretical and practical imperative.
To address the above context, this paper aims to systematically investigate the following three core research questions:
(1) Considering the consumer service premium, how do supply chain members make optimal transportation mode choices in the absence of policy intervention, based on costs, service efficiency, and fixed investments?
(2) How does the introduction of government production subsidies differentially affect pricing, logistics investment, demand, and profit distribution under the two transportation modes, thereby altering the supply chain's equilibrium?
(3) What is the interaction mechanism between subsidy policies and different transportation modes? How can a differentiated policy framework, based on key market parameters, be constructed to enhance subsidy efficiency and overall supply chain competitiveness?
To answer these questions, this paper focuses on a cross-border EV supply chain consisting of a domestic manufacturer and a foreign retailer, specifically examining the interactive effects between transportation mode choice (maritime shipping and CR Express) and government production subsidy policies within the typical context of exports to Belt and Road countries.
The innovative contributions of this paper are threefold. First, it constructs a Stackelberg game model integrating government subsidies, tariff costs, and two heterogeneous transportation modes. Through systematic comparison across four scenarios (Models NM, NR, GM and GR), the model captures the complex interaction between policy and operational decisions. Second, it theoretically reveals the nonlinear amplifying effect of the service premium on market demand and profit under the CR Express mode, as well as its synergistic enhancement mechanism with government subsidies. This deepens the understanding of the value creation pathway associated with high-efficiency logistics modes. Third, the research not only identifies key thresholds for corporate mode selection but also proposes, from a policy design perspective, a differentiated subsidy strategy framework based on service premium and logistics cost parameters. This provides theoretical grounding and decision support for enhancing the precision and effectiveness of public policy.
The remainder of this paper is organized as follows. Section 2 provides a literature review. Section 3 describes the problem and presents the basic assumptions. Section 4 constructs the game-theoretic models for the four scenarios and solves for their equilibria. Section 5 presents the theoretical analysis, deriving and discussing propositions concerning the impact of key parameters, mode comparison, and the conditional effects of subsidies. Section 6 employs numerical experiments to validate the theoretical findings and visually demonstrate decision boundaries. Finally, Section 7 concludes the paper, summarizing managerial insights and suggesting directions for future research.

2. Literature Review

Our research synthesizes insights from and contributes to three streams of literature: (1) cross-border supply chain, (2) tariffs and government subsidies, and (3) international transportation modes. The following review situates our work within these areas, thereby clarifying its distinct contributions.

2.1. Cross-Border Supply Chain

Research on cross-border supply chains extensively examines the coordination challenges arising from operational and policy-induced frictions [7,8,9,10,11]. A primary focus has been on strategic interactions under asymmetric information and conflicting incentives. For instance, Chen (2024) analyzes the "prisoner's dilemma" in order timing within a co-opetitive supply chain, where retailers face a trade-off between securing first-mover advantages and acquiring demand information [9]. Similarly, pricing and channel coordination under tax burdens are critical. Yu et al. (2024) investigate a global manufacturer's pricing dilemma when import taxes incentivize the emergence of unauthorized parallel trade channels, requiring a strategic balance between tax offset and market control [10]. Furthermore, supply risk mitigation is a central theme, with Cui et al. (2025) examining how a domestic manufacturer's multi-sourcing strategy interacts with a foreign supplier's decision on offering medium-quality components, highlighting the interplay between diversification benefits and competitive effects [11].
Another significant stream of literature investigates how external policy frameworks and emerging technologies reshape cross-border supply chain structures and decisions [12,13,14,15,16]. Policy instruments are shown to have complex, conditional effects. Wei et al. (2023) compare how different taxation models (e.g., destination-based vs. origin-based) influence optimal pricing and order quantities in a dual-channel supply chain, with tariffs consistently impacting wholesale prices [12]. Li (2025) further explores the strategic interplay between carbon abatement policies (constraints, trading, tariffs) and import quotas, finding that the welfare-maximizing policy mix depends critically on quota levels [13]. Concurrently, the adoption of digital technologies like blockchain is a major research frontier. Studies such as Jiang et al. (2024) and Mishra et al. (2025) demonstrate blockchain's role in enhancing transparency, trust, and coordination in dual-channel and cold chain contexts, respectively, though its viability depends on investment costs and consumer sensitivity [14,15]. Xie et al. (2025) extends this by analyzing the dynamic stability of pricing decisions under different blockchain adoption modes, revealing how adoption entities reshape profit distribution and system resilience [16].

2.2. Tariffs and Government Subsidies

A substantial body of literature examines the multifaceted impact of tariff policies on supply chain operations [12,17,18,19,20,21]. Studies reveal that the specific design of a tariff instrument significantly influences firm strategies. For instance, Niu et al. (2022) compare ad valorem and specific tariffs, showing that the preference of e-tailers for a particular type depends on their product quality segment, and that a "quality update dilemma" can distort pricing and sales [17]. Beyond the type, the level and structure of tariffs critically shape global sourcing decisions. Research demonstrates that higher tariffs can backfire on policies aimed at reshoring production. Chen et al. (2022) find that raising import tariffs might discourage local sourcing for a global manufacturer due to its integrated supply chain structure and the foreign supplier's strategic response [18]. The impact is also evident in operational metrics; Wei et al. (2023) and Hu et al. (2022) both find that tariffs consistently exert downward pressure on wholesale prices and can erode overall supply chain profits [12,19]. Furthermore, tariffs are often studied in conjunction with other policy tools, such as carbon taxes or import quotas, indicating their role within a broader policy ecosystem that shapes complex operational trade-offs [20,21].
Concurrently, research on government subsidies, particularly for promoting EVs, provides insights into optimal policy design [7,22,23,24,25,26]. Studies explore the efficacy of different subsidy targets, such as subsidizing consumers versus charging infrastructure firms, and consider consumer behavioral factors like "EV anxiety" and environmental benefit in determining optimal subsidy levels [23,24]. A key and highly relevant stream within this literature investigates the interaction between subsidy and tariff policies. Several studies explicitly model this interplay. Yi and Wen (2023) examine a transnational green supply chain and concludes that government subsidies in the exporting country can effectively counteract the negative impact of tariffs imposed by the importing country on product greenness, prices, and profits [25]. Similarly, Fan et al. (2020) analyze the strategic game between domestic and imported EV manufacturers, finding that implementing combined subsidy and tariff policies can improve the profit of the domestic manufacturer and social welfare, especially when technology spillover is significant [7]. These studies confirm that subsidies and tariffs are not independent levers; their effects are interconnected, and a joint analysis is crucial for effective policymaking and strategic firm response. This body of work provides a foundation for our investigation into how production subsidies interact with tariffs in the specific context of transportation mode selection.

2.3. International Transportation Modes

A substantial stream of literature in operations research focuses on the operational optimization and comparative analysis of different international transportation modes [6,27,28,29,30,31,32]. Much of this work employs mathematical programming and simulation models to address routing, scheduling, and cost-efficiency challenges within multimodal networks. For instance, studies like Zhen et al. (2025) and Zhang et al. (2025) delve into the tactical choice between specific maritime shipping subtypes, such as container versus roll-on/roll-off shipping for automobiles or liner versus tramp shipping, analyzing their cost structures and optimal use under demand uncertainty [30,31]. Concurrently, research on port operations and shipping technologies, such as stowage planning and automated guided vehicle scheduling in container terminals, seeks to enhance the efficiency and resilience of the underlying logistics infrastructure [6,32]. These studies provide a foundational understanding of the cost, capacity, and operational flexibility characteristics inherent to different transportation methods, which is essential for modeling their strategic selection.
A distinct and rapidly growing body of research specifically examines the China Railway Express (CR Express) as a transformative logistics mode along the Belt and Road [3,33,34,35]. Scholars have investigated its economic viability, market development, and competitive positioning. Key themes include the role of government subsidies in its initial growth phase and the subsequent need for sustainable, market-driven operations [34]. Furthermore, studies assess the CR Express's performance through lenses such as sustainable development, focusing on infrastructure reliability and trade facilitation [3], and through novel connectivity indices that compare its monetary and time-based costs directly against traditional maritime shipping [35]. This research collectively establishes the CR Express as a strategically important, time-competitive alternative to maritime transport, while also highlighting its unique cost structure and policy-dependent nature. However, it also identifies a gap in systematically modeling how its distinctive service advantage (e.g., speed and reliability) interacts with government subsidies within a coordinated supply chain decision-making framework, which is the focal point of our study.

2.4. Research Gaps

Based on the existing literature, this study aims to address the following key research gaps:
(1)
Current research often examines the impact of policies (e.g., tariffs, subsidies) and operational choices (e.g., transportation modes) in isolation. There is a lack of a unified theoretical framework to systematically reveal how government subsidies and tariffs interact with different transportation modes—specifically, cost-driven maritime shipping versus value-oriented CR Express—and jointly reshape the equilibrium decisions of a cross-border supply chain.
(2)
While the service advantages (e.g., timeliness, reliability) of the CR Express and the resulting market service premium have been noted, its intrinsic mechanism as a nonlinear driver of market demand and its synergistic interaction with external government subsidies have not been thoroughly revealed or quantitatively analyzed within a supply chain game model.
(3)
Existing studies on mode selection or policy design often provide qualitative comparisons or context-specific conclusions, failing to distill universal thresholds for key parameters (e.g., fixed cost, service premium level, logistics cost coefficient). This results in a lack of a clear decision boundary map to guide firms on when the CR Express is more advantageous and to inform governments on designing differentiated subsidy strategies based on market conditions.
This study seeks to bridge these gaps by constructing a game-theoretic model that systematically integrates subsidy-tariff policies with a binary transportation mode choice, explicitly models the service premium of the CR Express, and derives actionable insights in the form of equilibrium comparisons and parameter-based thresholds for optimal decision-making.

3. Problem Description and Assumptions

This study focuses on a cross-border electric vehicle (EV) supply chain consisting of a manufacturer and a retailer. The manufacturer, located in the home country, produces EVs, while the retailer, based in a country along the Belt and Road, is responsible for overseas sales. This two-echelon supply chain structure is illustrated in Figure 1.
The manufacturer sells products to the retailer at a free-on-board (FOB) price w , and the retailer subsequently sells them to overseas consumers at a retail price P . In addition to bearing the unit production cost c m , the manufacturer is also responsible for product logistics. When exporting to countries along the Belt and Road, several transportation modes are typically available, such as railway, maritime shipping, multimodal transport, and road transport. Considering factors such as speed, cost, capacity, and applicability, the supply chain manager needs to determine the optimal logistics level t to meet market requirements. This study examines two mainstream modes: maritime shipping and the China Railway Express (CR Express). Maritime shipping offers lower unit costs but longer transit times, with consumers focusing primarily on the product itself, its price, and basic logistics timeliness. Although the CR Express incurs higher unit costs, its faster and more reliable transportation service provides consumers with higher perceived value, thereby generating a service premium. With reference to classical literature, the manufacturer's logistics cost function is specified as follows: under the maritime shipping mode, it is k t 2 / 2 , where k > 0 is the logistics cost coefficient; under the CR Express mode, there exists a fixed cost F > 0 , making the total logistics cost F + k t 2 / 2 .
The logistics level t directly influences product availability, delivery time, inventory management, transportation cost, and market responsiveness, thereby affecting market demand. This study assumes that the demand for electric vehicles in countries along the Belt and Road is linearly influenced by the retail price P and the logistics level t : product utility is negatively correlated with P and positively correlated with t . Following existing research, the consumer utility functions under the two transportation modes are respectively defined as:
U 1 = v p + δ t
U 2 = v ( 1 + γ ) p + δ t
Here, v represents the consumer’s basic perceived utility for the product, which follows a uniform distribution on the interval [0,1]; γ > 0 denotes the service premium coefficient brought by the CR Express mode; and β > 0 is the consumer’s sensitivity coefficient to the logistics level. A consumer will purchase the product if and only if the utility U > 0 .
Consequently, the market demand functions under the two modes can be derived as:
D 1 = 1 p + δ t
D 2 = 1 p δ t 1 + γ
Considering that most countries along the Belt and Road impose ad valorem import tariffs, the retailer must pay a tariff based on the import value, which includes the product price and the unit logistics surcharge (including freight, insurance and other additional costs), denoted as c r . Given a tariff rate δ , the tariff amount is δ ( w + c r ) . Some countries may implement tariff reduction policies to promote trade. Let the reduction degree be λ ( 0 < λ < 1 ), then the actual tariff paid becomes δ ( 1 λ ) ( w + c r ) . Furthermore, to boost exports, the home government may provide a unit production subsidy μ to the manufacturer, resulting in total government subsidy expenditure of μ D where D represents the market demand. To focus on the impact of tariffs and subsidy policies, this study does not consider exchange rate fluctuations.
The supply chain members engage in a Stackelberg game: the manufacturer, as the leader, first decides the logistics level t and the FOB price w ; the retailer, as the follower, determines the retail price P after observing the manufacturer’s decisions. Both parties aim to maximize their own profits.
Based on the above settings, this study constructs and compares the following four scenario models:
  • Model NM (No subsidy and maritime shipping scenario): The manufacturer adopts maritime shipping without government production subsidy.
  • Model NR (No subsidy and CR Express scenario): No government production subsidy is provided, and the manufacturer adopts the China Railway Express mode.
  • Model GM (With subsidy and maritime shipping scenario): The government provides a unit production subsidy μ , and the manufacturer adopts the maritime shipping mode.
  • Model GR (With subsidy and CR Express scenario): With the unit subsidy μ in place, the manufacturer adopts the CR Express mode.
The superscripts ‘NM’, ‘NR’, ‘GM’ and ‘GR’ denote the four scenarios, respectively. The subscripts ‘M’ and ‘R’ refer to the manufacturer and the retailer, respectively. All key notations used throughout the paper are summarized in Table 1.

4. Model Development and Solution

4.1. Model NM (No Subsidy and Maritime Shipping Scenario)

In this scenario, the government does not provide production subsidies, and the manufacturer adopts the maritime shipping mode. The manufacturer’s profit is derived from the gross profit generated by selling EVs to the retailer, with the final profit being formed after deducting the logistics costs. The retailer’s profit, on the other hand, comes from the gross profit earned by selling EVs to end consumers, and the final profit is determined after paying the relevant import tariffs. The profit functions of the manufacturer and the retailer are given by:
π M N M ( w N M , t N M ) = ( w N M c m ) ( 1 p N M + β t N M ) 1 2 k ( t N M ) 2
π R N M ( p N M ) = ( p N M w N M δ ( 1 λ ) ( w N M + c r ) ) ( 1 p N M + β t N M )
This Stackelberg game is solved by backward induction. First, the retailer's reaction function with respect to the retail price P N M is derived. Next, this reaction function is substituted into the manufacturer’s profit function to solve for the optimal FOB price w N M * and logistics level t N M * . Finally, these optimal values are back-substituted to obtain the optimal retail price P N M * , market demand D N M * , and the optimal profits for both parties π M N M * and π R N M * , which are listed as follows:
t N M * = β 1 δ ( 1 λ ) c r ( 1 + δ ( 1 λ ) ) c m 4 k ( 1 + δ ( 1 λ ) ) β 2
w N M * = c m + 2 k 1 δ ( 1 λ ) c r ( 1 + δ ( 1 λ ) ) c m 4 k ( 1 + δ ( 1 λ ) ) β 2
P N M * = c m + δ ( 1 λ ) ) ( c m + c r ) + 3 ( 1 + δ ( 1 λ ) ) k 1 c m δ ( 1 λ ) ( c m + c r ) 4 k ( 1 + δ ( 1 λ ) ) β 2
D N M * = 2 k 1 c m δ ( 1 λ ) ( c m + c r ) 4 k ( 1 + δ ( 1 λ ) ) β 2
π M N M * = 2 k 2 1 c m δ ( 1 λ ) ( c m + c r ) 2 ( 4 k ( 1 + δ ( 1 λ ) ) β 2 ) 2
π R N M * = 4 ( 1 + δ ( 1 λ ) ) k 2 1 c m δ ( 1 λ ) ( c m + c r ) 2 ( 4 k ( 1 + δ ( 1 λ ) ) β 2 ) 2

4.2. Model NR (No Subsidy and CR Express Scenario)

In this scenario, the government does not provide a subsidy, and the manufacturer adopts the China Railway Express (CR Express) mode, bearing a fixed logistics cost F . The profit functions of both parties are as follows:
π M N R ( w N R , t N R ) = ( w N R c m ) ( 1 P N R + β t N R 1 + γ ) 1 2 k ( t N R ) 2 F
π R N R ( P N R ) = ( P N R w N R δ ( 1 λ ) ( w N R + c r ) ) ( 1 P N R + β t N R 1 + γ )
Using backward induction, we derive the equilibrium results in Model NR, which are listed as follows:
t N R * = β ( 1 + γ ) c m δ ( 1 λ ) ( c m + c r ) 4 k ( 1 + δ ( 1 λ ) ) ( 1 + γ ) β 2
w N R * = c m + 2 k ( 1 + γ ) ( 1 + γ ) c m δ ( 1 λ ) ( c m + c r ) 4 k ( 1 + δ ( 1 λ ) ) ( 1 + γ ) β 2
P N R * = c m + δ ( 1 λ ) ) ( c m + c r ) + 3 ( 1 + δ ( 1 λ ) ) k ( 1 + γ ) c m δ ( 1 λ ) ( c m + c r ) 4 k ( 1 + δ ( 1 λ ) ) ( 1 + γ ) β 2
D N R * = 2 k ( 1 + γ ) ( 1 + γ ) c m δ ( 1 λ ) ( c m + c r ) 4 k ( 1 + δ ( 1 λ ) ) ( 1 + γ ) β 2
π M N R * = 2 k 2 ( 1 + γ ) 2 ( 1 + γ ) c m δ ( 1 λ ) ( c m + c r ) 2 ( 4 k ( 1 + δ ( 1 λ ) ) ( 1 + γ ) β 2 ) 2 F
π R N R * = 4 ( 1 + δ ( 1 λ ) ) k 2 ( 1 + γ ) 2 ( 1 + γ ) c m δ ( 1 λ ) ( c m + c r ) 2 ( 4 k ( 1 + δ ( 1 λ ) ) ( 1 + γ ) β 2 ) 2

4.3. Model GM (With Subsidy and Maritime Shipping Scenario)

In this scenario, the government provides the manufacturer with a unit production subsidy μ , and the manufacturer adopts the maritime shipping mode. The profit functions at this point are as follows:
π M G M ( w G M , t G M ) = ( w G M c m + μ ) ( 1 P G M + β t G M ) 1 2 k ( t G M ) 2
π R G M ( P G M ) = ( P G M w G M δ ( 1 λ ) ( w G M + c r ) ) ( 1 P G M + β t G M )
We use the backward induction method to derive the equilibrium results, listed as follows:
t G M * = β ( 1 c m + μ ) δ ( 1 λ ) ( c m + c r μ ) 4 k ( 1 + δ ( 1 λ ) ) β 2
w G M * = ( c m μ ) + 2 k ( 1 c m + μ ) δ ( 1 λ ) ( c m + c r μ ) 4 k ( 1 + δ ( 1 λ ) ) β 2
P G M * = ( c m μ ) + δ ( 1 λ ) ) ( c m + c r μ ) + 3 ( 1 + δ ( 1 λ ) ) k ( 1 c m + μ ) δ ( 1 λ ) ( c m + c r μ ) 4 k ( 1 + δ ( 1 λ ) ) β 2
D G M * = 2 k 1 δ ( 1 λ ) c r ( ( 1 c m + μ ) δ ( 1 λ ) ( c m + c r μ ) 4 k ( 1 + δ ( 1 λ ) ) β 2
π M G M * = 2 k 2 1 δ ( 1 λ ) c r ( ( 1 c m + μ ) δ ( 1 λ ) ( c m + c r μ ) 2 ( 4 k ( 1 + δ ( 1 λ ) ) β 2 ) 2
π R G M * = 4 ( 1 + δ ( 1 λ ) ) k 2 1 δ ( 1 λ ) c r ( ( 1 c m + μ ) δ ( 1 λ ) ( c m + c r μ ) 2 ( 4 k ( 1 + δ ( 1 λ ) ) β 2 ) 2

4.4. Model GR (With Subsidy and CR Express Scenario)

This scenario combines the government production subsidy with the CR Express transportation mode. The profit functions of the manufacturer and the retailer are as follows:
π M G R ( w G R , t G R ) = ( w G R c m + μ ) ( 1 P G R + β t G R 1 + γ ) 1 2 k ( t G R ) 2 F
π R G R ( P G R ) = ( P G R w G R δ ( 1 λ ) ( w G R + c r ) ) ( 1 P G R + β t G R 1 + γ )
The model is solved using backward induction, yielding the optimal solutions for the retail price, FOB price, logistics level, and the profits of the cross-border supply chain members under Model GR, as shown below:
t G R * = β ( 1 + γ ) δ ( 1 λ ) c r ( 1 + δ ( 1 λ ) ) ( c m μ ) 4 k ( 1 + δ ( 1 λ ) ) ( 1 + γ ) β 2
w G R * = c m + 2 k ( 1 + γ ) ( 1 + γ ) δ ( 1 λ ) c r ( 1 + δ ( 1 λ ) ) ( c m μ ) 4 k ( 1 + δ ( 1 λ ) ) ( 1 + γ ) β 2
P G R * = ( c m μ ) + δ ( 1 λ ) ) ( c m + c r μ ) + 3 ( 1 + δ ( 1 λ ) ) k ( 1 + γ ) δ ( 1 λ ) c r ( 1 + δ ( 1 λ ) ) ( c m μ ) 4 k ( 1 + δ ( 1 λ ) ) ( 1 + γ ) β 2
D G R * = 2 k ( 1 + γ ) ( 1 + γ ) δ ( 1 λ ) c r ( 1 + δ ( 1 λ ) ) ( c m μ ) 4 k ( 1 + δ ( 1 λ ) ) ( 1 + γ ) β 2
π M G R * = 2 k 2 ( 1 + γ ) 2 ( 1 + γ ) δ ( 1 λ ) c r ( 1 + δ ( 1 λ ) ) ( c m μ ) 2 ( 4 k ( 1 + δ ( 1 λ ) ) ( 1 + γ ) β 2 ) 2 F
π R G R * = 4 ( 1 + δ ( 1 λ ) ) k 2 ( 1 + γ ) 2 ( 1 + γ ) δ ( 1 λ ) c r ( 1 + δ ( 1 λ ) ) ( c m μ ) 2 ( 4 k ( 1 + δ ( 1 λ ) ) ( 1 + γ ) β 2 ) 2

4.5. Summary of the Results in the Four Scenarios

This section summarizes the optimal solutions of the four models (NM, NR, GM and GR) from Section 4.1, Section 4.2, Section 4.3 and Section 4.4 to facilitate an overall comparative analysis. To simplify the expressions, the following notation is introduced: Let φ = 1 + δ ( 1 λ ) represents the tariff cost amplification factor, let ε = δ ( 1 λ ) c r represents the fixed tariff cost related to the logistics surcharge. Furthermore, to ensure the negative definiteness of the Hessian matrix for the profit functions, it is assumed that Δ = 2 k φ β 2 (under Models NM and GM) and Δ = 2 k φ ( 1 + γ ) β 2 (under Models NR and GR) always holds. The optimal solutions for each model are consolidated in Table 2.
A comparative analysis of the structures of the optimal solutions in Table 2 reveals the fundamental differences in the mechanisms driven by the two transportation modes and the subsidy policy. First, in terms of the driving logic, the maritime shipping models (Models NM and GM) exhibit a typical cost-linear-driven characteristic. The numerator of their optimal solutions contains only linear combinations of basic parameters such as tariffs ( δ , λ ), logistics cost ( k ), and unit costs ( c m , c r ), while the denominator is the constraint term H without any additional multipliers. This indicates that changes in prices, demand, and profits are directly proportional to cost changes, with no nonlinear amplification effect present in the system.
In contrast, the CR Express models (NR and GR) exhibit a nonlinear pattern driven by the integrated effects of cost and service. The introduction of the service premium coefficient γ , through the ( 1 + γ ) multiplier effect in the numerator, amplifies the linkage strength between costs and demand. Simultaneously, it introduces structural modifications in the denominator. As a result, for the same change in costs, the increase in demand and profit under the CR Express mode can reach ( 1 + γ ) times that of the maritime shipping mode.
Furthermore, the subsidy policy operates differently and generates distinct cooperative effects between the two types of models. In the maritime shipping models (comparing Models NM and GM), the government subsidy μ achieves linear cost reduction merely by substituting for the unit cost ( c m becomes c m μ ), without altering the core structure of the optimal solution. Consequently, the benefits of the subsidy can only be transmitted through the singular channel of price reduction to expand demand. This conversion efficiency is limited and can easily trap the supply chain in pure price competition.
Finally, in the CR Express models (comparing Models NR and GR), the subsidy policy and the service premium γ exhibit a clear synergistic enhancement effect. The subsidy μ not only directly reduces the effective unit cost but, more importantly, by alleviating the constraints imposed by the fixed cost F and high logistics investment, it allows the nonlinear demand-pull effect inherent to the service premium γ to be fully unleashed. The increases in both profit and demand in Model GR are significantly higher than those in Model GM and Model NR.

5. Analysis

5.1. Impact of Key Parameters

This subsection focuses on analyzing the effects of the logistics cost coefficient k and the service premium coefficient γ on the optimal solutions of the models, as detailed in Propositions 1 and 2.
Proposition 1. (Impact of the logistics cost coefficient k ).
For Models NM, NR, GM, and GR, the partial derivatives of their optimal solutions with respect to  k and the differences between these derivatives satisfy the following relationships:
(1) Π * k < 0 ;
(2) Π N R * k < Π N M * k , Π G R * k < Π G M * k .
Where  Π * represent an equilibrium solution under any of the models.
Proposition 1 reveals the comprehensive dampening effect of rising logistics costs on the performance of the cross-border EV supply chain. Specifically, an increase in k directly leads the manufacturer to reduce the optimal logistics investment level t * . To maintain market attractiveness, supply chain members lower product prices ( w * and Ps * ). However, the combined effect of degraded logistics service and price adjustments ultimately causes the final demand D * to contract, thereby squeezing the profits of both the manufacturer and the retailer, π M and π R .Furthermore, the CR Express models exhibit lower sensitivity to changes in k . The fundamental reason is that the consumer service premium γ enhances product value perception and price tolerance, partially buffering the pressure from rising logistics costs and strengthening the supply chain's cost resilience.
The government production subsidy μ , by reducing the manufacturer's net production cost, generally enhances the supply chain's ability to withstand fluctuations in logistics costs (comparing Model GM with NM, and Model GR with NR). It is particularly noteworthy that the combination of the subsidy and the CR Express mode (Model GR) exhibits the greatest buffering capacity, as reflected in its smallest absolute partial derivative value. This suggests that in environments with volatile logistics costs, this combination is the optimal strategy for enhancing supply chain stability and risk resistance.
In the models, the service premium coefficient γ , as the core feature distinguishing the CR Express mode from maritime shipping, appears only in the consumer utility functions of Models NR and GR. Therefore, Proposition 2 specifically focuses on these two scenarios to systematically analyze the mechanism through which gamma influences the supply chain equilibrium solutions.
Proposition 2. (Impact of the service premium coefficient γ ).
For Models NR and GR, the partial derivatives of their optimal solutions with respect to γ and the differences between these derivatives satisfy the following relationships:
(1) w G R * γ ( w N R * γ ) > 0 , t G R * γ ( t N R * γ ) < 0 , P G R * γ ( P N R * γ ) > 0 , D G R * γ ( D N R * γ ) > 0 ;
(2) w G R * γ < w N R * γ ; t G R * γ < t N R * γ , P G R * γ < P N R * γ , D G R * γ < D N R * γ .
Proposition 2 reveals the promoting effect of the service premium γ on supply chain performance under the CR Express mode and its underlying mechanism. An increase in γ directly enhances consumers' perceived value and willingness to pay for the product, enabling the manufacturer and the retailer to raise the FOB price w * and the retail price P * while still stimulating an expansion in market demand D * . This ultimately leads to synchronized growth in profits for both supply chain parties. The partial derivative of the optimal logistics level t * with respect to γ is negative, which reflects the economic rationale of the model setup. Essentially, γ captures the perceived premium that consumers attach to the inherent timeliness advantage of the CR Express, rather than a response to variable logistics investment t * . When consumers highly recognize the timeliness and brand value of the CR Express, the manufacturer can capture a market premium through this reputation effect without continuously increasing marginal logistics costs.
Besides, government production subsidies significantly weaken the marginal effect of the service premium coefficient γ on supply chain decisions. Specifically, under subsidized conditions (Model GR), the impact of γ on wholesale price w * , logistics level t * , retail price P * and market demand D * is less pronounced compared to the unsubsidized scenario (Model NR), i.e., w G R * / γ < w N R * / γ , t G R * / γ < t N R * / γ , P G R * / γ < P N R * / γ and D G R * / γ < D N R * / γ . In terms of the underlying mechanism, subsidies attenuate the role of service premiums primarily through two channels. First, subsidies directly lower the effective cost for firms, thereby expanding the potential market demand base. This reduces the relative impact of a marginal increase in γ on the already enlarged market. Second, subsidies reduce the manufacturer’s effective production cost ( c m μ ), which alters the marginal return calculation for logistics investment. In the absence of subsidies, higher production costs encourage manufacturers to enhance product differentiation by improving logistics levels. Subsidies, however, partly substitute for this need for differentiation, rendering firms less compelled to respond logistically to an increase in the service premium γ .

5.2. Comparative Analysis of Different Transportation Modes

This subsection compares the equilibrium solutions under the maritime shipping (NM/GM) and the CR Express (NR/GR) modes, aiming to reveal the impact mechanism of the service premium and differences in transportation cost structures on supply chain decisions and performance. Let Δ Π N * = Π N R * Π N M * and Δ Π G * = Π G R * Π G M * represent the differences in the model's optimal solutions, and let T = ( ( 1 + δ ( 1 λ ) ) ( c m + δ ( 1 λ ) ( c r + c m ) ) and T = ( ( 1 + δ ( 1 λ ) ) ( ( c m μ ) + δ ( 1 λ ) ( c r + c m μ ) ) represent the tariff and related cost structures, with a detailed analysis presented in Proposition 3.
Proposition 3. (Comparison of different transportation modes)
Across subsidy scenarios, the differences in equilibrium solutions between the maritime shipping models (NM/GM) and the CR Express models (NR/GR) are as follows:
(1) Scenario without subsidies (NM/NR): Δ t N * > 0 if T > T 0 , otherwise Δ t N * < 0 ; and Δ w N * > 0 , Δ P N * > 0 , Δ D N * > 0 , Δ π R N * > 0 ; and Δ π M N * > 0 if F < F 0 , otherwise Δ π M N * < 0 .
(2) Scenario with subsidies (GM/GR): Δ t G * > 0 if T > T 0 , otherwise Δ t G * < 0 ; and Δ w G * > 0 , , Δ P G * > 0 , Δ D G * > 0 , Δ π R G * > 0 ; and Δ π M G * > 0 if F < F 0 , otherwise Δ π M G * < 0 .
Where T 0 = β 2 4 k , F 0 = 2 k 2 ( ( 1 + γ ) 2 ( ( 1 + γ c m ) δ ( 1 λ ) ( c r + c m ) ) 2 ( 4 k ( 1 + γ ) ( 1 + δ ( 1 λ ) ) β 2 ) 2 ( ( 1 c m ) δ ( 1 λ ) ( c r + c m ) ) 2 ( 4 k ( 1 + δ ( 1 λ ) ) β 2 ) 2 ) and F 0 = 2 k 2 ( ( 1 + γ ) 2 ( ( 1 + γ + μ c m ) δ ( 1 λ ) ( c r + c m μ ) ) 2 ( 4 k ( 1 + γ ) ( 1 + δ ( 1 λ ) ) β 2 ) 2 ( ( 1 + μ c m ) δ ( 1 λ ) ( c r + c m μ ) ) 2 ( 4 k ( 1 + δ ( 1 λ ) ) β 2 ) 2 ) .
The comparative analysis in Proposition 3 reveals that, under both scenarios without government subsidy (Models NR and NM) and with government subsidy (Models GR and GM), the CR Express transportation mode demonstrates systematic advantages over traditional maritime shipping in most supply chain performance metrics. Specifically, regardless of the presence of a subsidy, the equilibrium wholesale price w * , retail price P * , market demand D * , and retailer profit π R * under the CR Express mode are significantly higher than those under the maritime shipping mode. This advantage stems primarily from the service premium γ generated by the faster and more stable logistics services provided by the CR Express. This premium directly enhances consumers' willingness to pay, thereby allowing supply chain members to set higher prices and achieve greater market coverage. As a follower, the retailer can fully capitalize on the market expansion benefits brought by this premium, leading to an unconditional increase in its profit.
However, the analysis also uncovers two key conditional differences. First, the comparison results for the logistics level t * is not absolute but depends on system parameters. In the scenario without a subsidy, the logistics investment in the CR Express will be higher only when tariff-related costs ( c m + δ ( 1 λ ) ( c r + c m ) ) are sufficiently high, satisfying 4 k ( ( 1 + δ ( 1 λ ) ) ( c m + δ ( 1 λ ) ( c r + c m ) ) > β 2 ; otherwise, it may be lower than maritime shipping. The economic logic behind this finding is that high tariff costs intensify end-price pressure, motivating manufacturers to enhance product differentiation and support the price premium by improving the logistics service level of the CR Express. Second, the manufacturer's profit advantage is strictly constrained by the inherent fixed cost F of the CR Express. It is only more profitable for the manufacturer to adopt the CR Express when F is below a critical threshold ( F < F 0 ) determined jointly by market scale, service premium, and cost structure.
In summary, the CR Express holds significant potential for enhancing the overall market performance of the supply chain due to its service premium characteristic. However, its successful application depends on specific market conditions (e.g., tariff level δ ) and the firm's cost structure (particularly fixed cost F ). While the production subsidy μ provided by the government does not alter the fundamental direction of the aforementioned comparisons, it can enhance the attractiveness and feasibility of the CR Express mode to a certain extent. It achieves this by reducing the manufacturer's net production cost, effectively lowering the threshold condition for achieving a logistics level advantage, and raising the critical F -value for manufacturer profitability ( F 0 < F 0 ).

5.3. Impact of Government Subsidies on Equilibrium Solutions

This subsection aims to investigate the impact of the government subsidy μ on the supply chain equilibrium solutions, with a particular focus on the moderating role played by the transportation mode (maritime shipping and CR Express). By comparing the partial derivatives of the equilibrium solutions in Models GM and GR with respect to μ , we can reveal how the effectiveness of the subsidy is systematically constrained by key parameters such as the service premium and logistics costs. A detailed analysis is provided in Proposition 4.
Proposition 4. (Conditional effect of government subsidy μ ).
For Models GM and GR, the differences between these partial derivatives of their optimal solutions with respect to  μ satisfy the following relationships:
(1) t G R * μ < t G M * μ if k > k 0 , otherwise t G R * μ > t G M * μ ;
(2) w G R * μ > w G M * μ , P G R * μ > p G M * μ , D G R * μ > D G M * μ , π R G R * μ > π R G M * μ ;
(3) π M G R * μ > π M G M * μ , if γ > γ 0 , otherwise π M G R * μ < π M G M * μ .
Where k 0 = β 2 4 ( ( 1 + δ ( 1 λ ) ) ( c m + δ ( 1 λ ) ( c r + c m ) ) and γ 0 = β 2 ( 2 + c m μ + δ ( 1 λ ) ( c m c r μ ) ) 4 k ( 1 + δ ( 1 λ ) ) 4 k ( 1 + δ ( 1 λ ) ) β 2 + F ( 4 k ( 1 + δ ( 1 λ ) ) β 2 ) 3 8 k 2 ( 1 + δ ( 1 λ ) ) ( 1 + c m μ + δ ( 1 λ ) ( c m c r μ ) ) 2 .
The core insight of Proposition 4 is that the efficacy of government subsidies is not constant but depends on the critical parameter environment of the supply chain operation, i.e., service premium γ and logistics cost coefficient k . The service premium γ is the decisive factor determining whether the CR Express mode can effectively translate subsidies into a competitive advantage. When γ > γ 0 , the subsidy and the service premium generate synergy. This synergy significantly expands demand through price reductions, making the utilization efficiency of subsidies in the CR Express mode comprehensively surpass that in maritime shipping. Conversely, if the perceived timeliness is insufficient ( γ < γ 0 ), the transmission efficiency of subsidies within the CR Express mode is lower.
Moreover,the logistics cost coefficient k influences the intensity with which subsidies incentivize logistics investment. When logistics operations are efficient ( k < k 0 ), subsidies can more effectively encourage the CR Express mode to elevate its logistics level. However, this incentivizing effect is weakened when logistics costs are high ( k > k 0 ).
Based on the above analysis, this part proposes a differentiated subsidy strategy framework based on parameter thresholds, as illustrated in Figure 2. This strategic diagram aims to provide policymakers with a clear decision-making pathway.
  • Region I (High γ , Low k ): The CR Express mode holds a significant advantage in this region. Government should increase subsidy intensity for manufacturers adopting the CR Express to maximize their market and profit benefits.
  • Region II (High γ , High k ): A service premium exists, but high logistics costs suppress logistics investment. Government should prioritize reducing k through investments in logistics infrastructure and technological upgrade support, supplemented by subsidies.
  • Region III (Low γ , Low k ): The market is insensitive to transportation service level, but the logistics system itself is efficient. Government should maintain caution regarding subsidies for the CR Express, as maritime shipping may be the more cost-effective choice.
  • Region IV (Low γ , High k ): The CR Express mode lacks competitive advantages. Government should avoid direct large-scale subsidies for the CR Express and instead consider other logistics modes such as maritime shipping.

6. Numerical Examples

To delve deeper into the quantitative impact of key parameters and policies on decision-making within the electric vehicle cross-border supply chain and to make the theoretical conclusions more intuitive, this section employs numerical simulation for analysis. By assigning reasonable benchmark values to the parameters, we can visualize the changing trends of various equilibrium solutions, verifying the propositions from the previous sections while revealing interactive effects and critical thresholds not easily observed directly in the theoretical model. With reference to relevant industry studies and model feasibility conditions, this section sets the basic parameters as follows: c m = 0.1 , c r = 0.2 , δ = 0.2 , β = 0.4 and λ = 0.3 .

6.1. Impact of Key Parameters on Decisions Under Different Transportation Modes

This subsection uses numerical simulation to compare and analyze how the logistics cost coefficient k and the service premium coefficient γ differentially affect market demand and logistics service levels under the two transportation modes, thereby intuitively revealing the underlying driving logic.
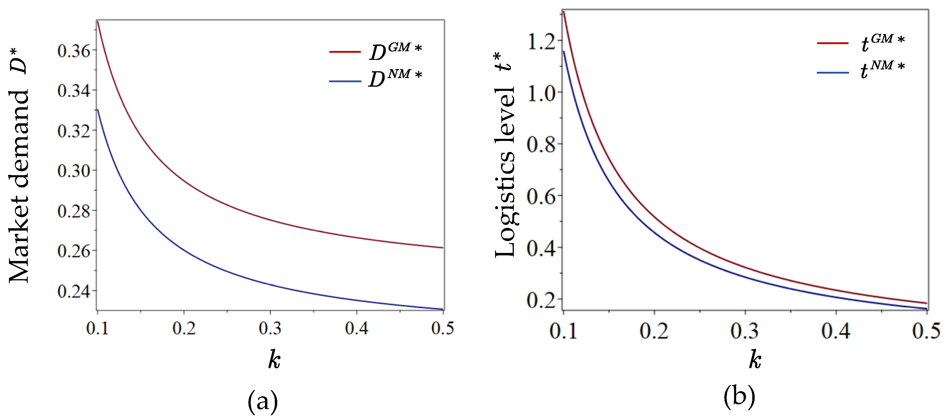
Figure 3(a) shows that market demand D * decreases as k increases in both the no-subsidy (Model NM) and with-subsidy (Model GM) scenarios, verifying the dampening effect of rising costs stated in Proposition 1. Notably, the demand curve under Model GM exhibits an inflection point at approximately k 0.18 beyond which the rate of decline slows significantly. This turning point may suggest that once logistics costs exceed a certain threshold, the cost-substitution effect of the subsidy shifts its focus more towards maintaining basic market demand rather than promoting growth. Figure 3(b) indicates that the optimal logistics level t * is highly sensitive to changes in k , and the curves for Models GM and NM decline nearly in parallel. This confirms that under the maritime shipping mode, while the subsidy can raise the absolute baseline of logistics investment, it cannot alter its fundamental elasticity constrained by the cost coefficient. The system thus exhibits a distinct cost-linear-driven characteristic.
Figure 4, through three-dimensional surfaces, intuitively reveals the joint influence of the logistics cost coefficient k and the service premium coefficient γ on the equilibrium solutions under the CR Express mode. The market demand surface in Figure 4(a) shows that an increase in k similarly leads to demand contraction, but an increase in the service premium γ can effectively buffer this trend, manifested as an elevation of the surface along the γ -axis. Furthermore, comparing the surfaces for Model GR (with subsidy) and Model NR (without subsidy) indicates that the subsidy provides an additional boost to demand across any combination of k and γ . The logistics level surface in Figure 4(b) exhibits a steeper morphology, indicating that t * is far more sensitive to changes in k than D * is. Although increasing γ can marginally alleviate the decline in t * , its effect is quite limited and insufficient to counteract the dominant negative influence of k .

6.2. Change Trends in Profits and Logistics Mode Selection

This subsection focuses on the distribution of supply chain profits, analyzing how logistics costs, fixed costs, and subsidy policies affect the profitability of manufacturers and retailers, and clarifying the boundary conditions for the profit advantage of the CR Express mode.
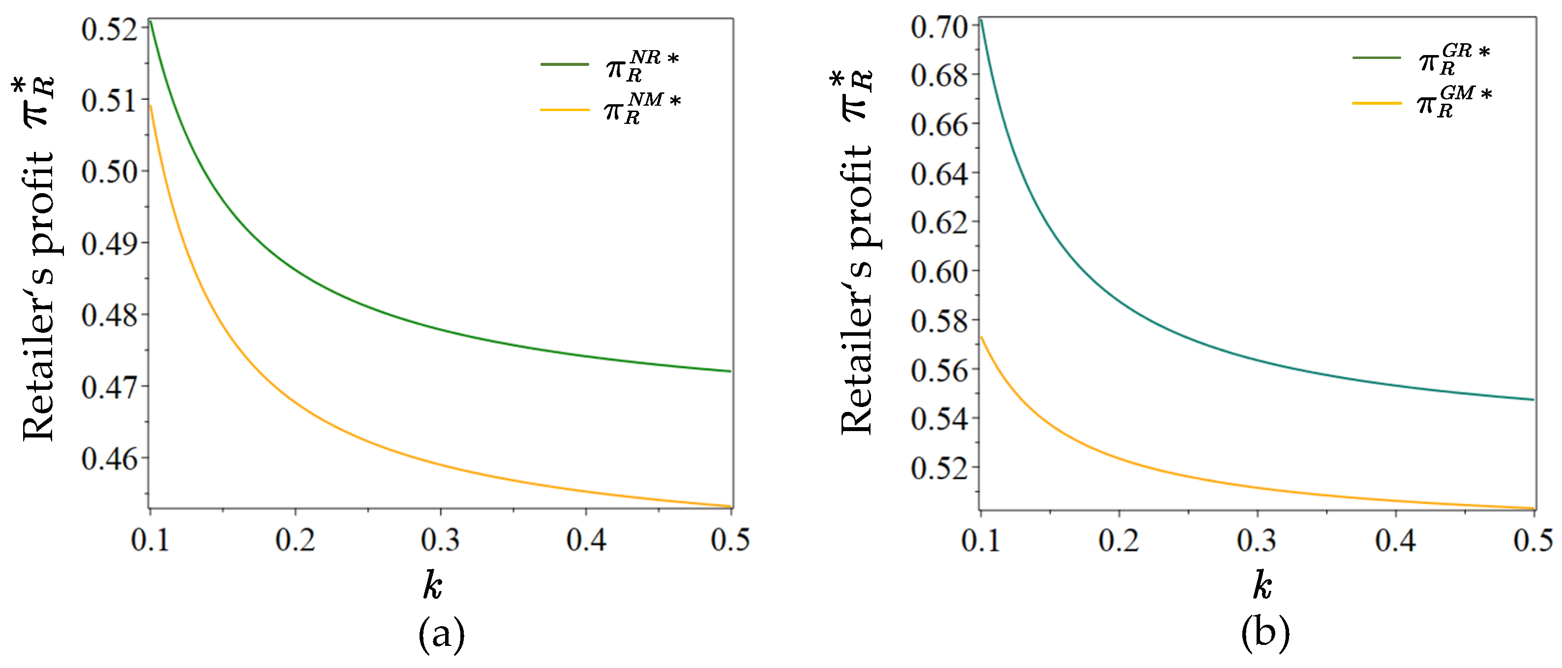
Figure 5 illustrates the trend of retailer’s profit with respect to the logistics cost coefficient k . As shown in Figure 5(a), in the scenario without subsidies, the profits for retailer using the CR Express mode (Model NR) are consistently higher than those using maritime shipping mode (Model NM), and both decline as k increases. This trend is highly synchronized with market demand, confirming that retailer profits are directly derived from sales volume. Figure 5(b) indicates that after introducing government subsidies (Models GM and GR), the baseline of retailer profits shifts upward overall, and the declining trend of the profit curve with increasing k becomes more gradual. This demonstrates that subsidies, transmitted through the supply chain, indirectly enhance the stability of retailer profitability, helping them better cope with fluctuations in logistics costs.
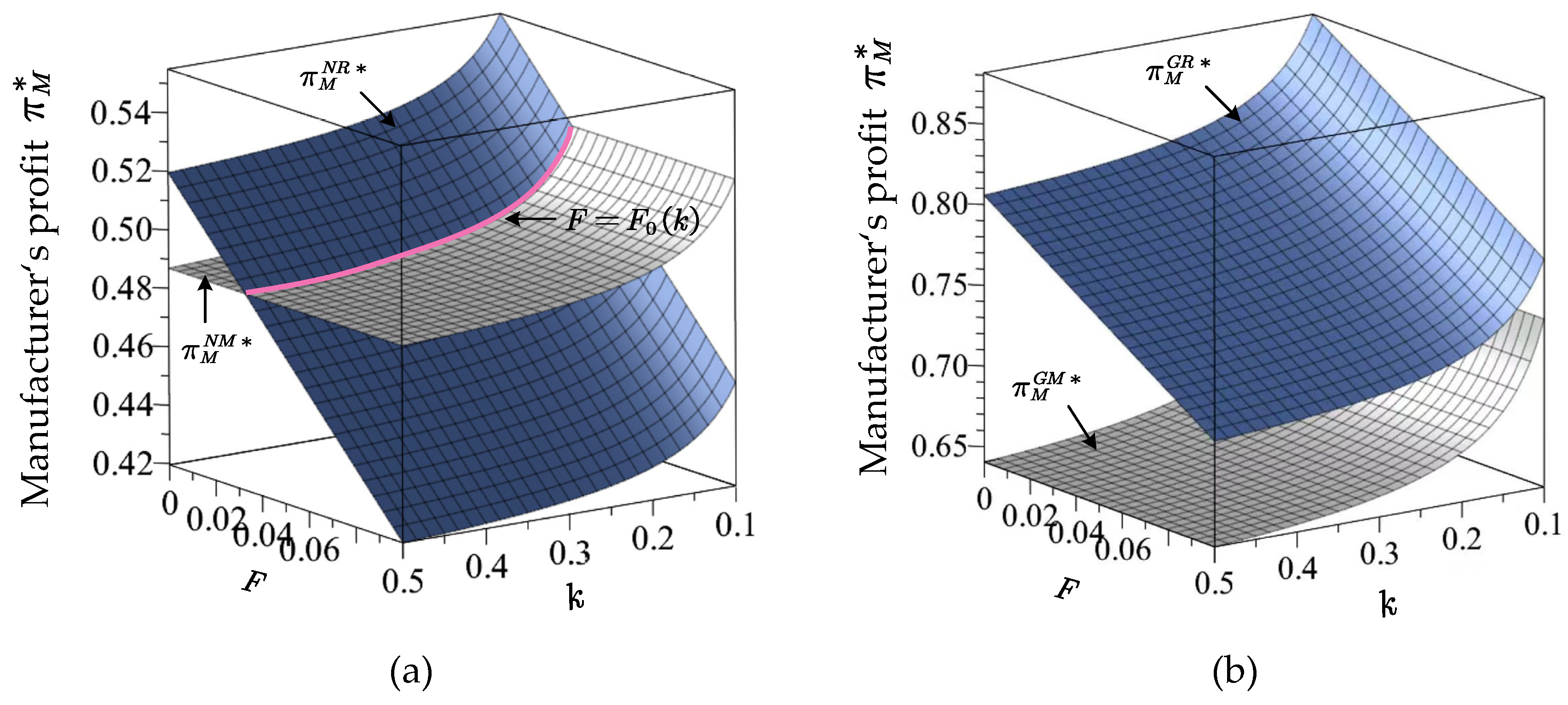
Figure 6 employs three-dimensional surfaces to further examine how manufacturer profit is jointly constrained by the logistics cost coefficient k and the fixed cost F , and how subsidy policy fundamentally reshapes the logic of mode selection. Figure 6(a) clearly illustrates the manufacturer's dilemma in the absence of subsidies. Under maritime shipping (Model NM), its profit is influenced only by k and remains insensitive to F ; in contrast, under the CR Express (Model NR), profit is eroded by both k and F . The pink critical line ( F = F 0 ( k ) ) highlighted in the figure plays a decisive role: when F < F 0 , the profit in Model NR exceeds that in Model NM, whereas when F > F 0 , the relationship reverses. This visually quantifies the conditional advantage outlined in Proposition 3, showing that without policy support, the CR Express is economically viable only when fixed cost is sufficiently controlled. Figure 6(b) demonstrates how subsidies radically alter this dynamic—with subsidies (Models GM and GR), the profit surface for the CR Express (Model GR) lies entirely above that for maritime shipping (Model GM) across all combinations of k and F . Thus, the subsidy mitigates the negative effect of the fixed cost F , thereby raising the critical F -value for manufacturer profitability ( F 0 < F 0 ).

7. Conclusions

This study focuses on a cross-border electric vehicle supply chain consisting of a domestic manufacturer and an overseas retailer. It investigates the interactive effects between transportation mode choice (maritime shipping and the CR Express) and government production subsidy policies in the typical context of exports to countries along the Belt and Road. By constructing Stackelberg game models for four scenarios integrating the subsidy policy with the transportation mode (Models NM, NR, GM and GR), this paper systematically analyzes supply chain equilibrium decisions. From three dimensions—parameter sensitivity, mode comparison, and policy effects—it reveals the differentiated performance of supply chains under different driving logics. The aim is to provide a theoretical basis and managerial insights for corporate strategic decision-making and targeted policy formulation.
Through rigorous theoretical derivation and numerical simulation, the following key conclusions are drawn:
(1) The driving logics of the transportation modes are fundamentally different. The maritime shipping mode exhibits a cost-linear-driven pattern, where its performance is in a simple proportional relationship with cost changes. In contrast, the CR Express mode shows a nonlinear-driven characteristic integrating cost and service level.
(2) The advantages of the CR Express mode are conditional and policy-dependent. In a market scenario without government subsidies, the CR Express can lower retail prices, expand market share, and benefit retailers through its service advantage. However, its profitability for the manufacturer is strictly constrained by the fixed cost F . The introduction of government subsidies can exert a positive influence on this landscape, making it a more viable strategic option.
(3) The efficacy of government subsidies is conditional and follows an optimal path. The effectiveness of subsidy policies is not universal; its efficiency highly depends on key market and operational parameters. The synergy between the subsidy and the CR Express is strongest when the service premium γ is high and the logistics cost coefficient k is low. Conversely, in environments where γ is insufficient or k is excessively high, the transmission efficiency of subsidies is significantly diminished.
Based on these conclusions, this study offers the following implications for supply chain managers and policymakers:
(1) At the corporate operations level, for export businesses targeting markets with high sensitivity to service quality (high γ ) and controllable fixed logistics costs (low F ), priority should be given to adopting the CR Express mode to build a differentiated advantage. When facing widespread pressure from rising logistics costs ( k ), it should be recognized that the CR Express mode possesses a stronger risk-buffering capacity. Furthermore, companies should actively seek and effectively utilize government subsidies, particularly by aligning subsidy resources with the CR Express mode to achieve the dual goals of cost reduction and value enhancement.
(2) At the policy-making level, the government should implement a differentiated subsidy scheme based on parameter thresholds—increasing subsidy intensity for enterprises adopting the CR Express in timeliness-sensitive markets. In regions with weak logistics infrastructure and high systemic costs ( k ), policy focus should prioritize improving the logistics ecosystem and reducing these systemic costs. Additionally, assisting enterprises in identifying the service premium level ( γ ) of different markets can enhance the overall resource allocation efficiency of the supply chain.
Despite offering the aforementioned theoretical and managerial insights, this study is subject to several limitations that suggest productive avenues for future work. First, the model relies on a linear market demand function and assumes a uniform distribution of consumer utility. Future research could incorporate more complex, nonlinear demand patterns and account for consumer heterogeneity. Second, the analysis focuses primarily on a single policy instrument (production subsidies). In practice, tools such as tariff reductions and carbon quotas may interact with subsidies; thus, exploring the optimal design of multi-policy portfolios represents a valuable extension. Finally, the framework is confined to a two-echelon supply chain. Future studies could extend it to more complex network structures involving multi-tier suppliers or competing manufacturers and retailers, thereby offering a more comprehensive depiction of real-world supply chain dynamics.

Author Contributions

Conceptualization, F.L. and J.L.; methodology, F.L.; software, X.H.; validation, F.L.; formal analysis, F.L. and J.L.; investigation, X.H.; resources, F.L., X.H. and J.L.; data curation, F.L.; writing—original draft preparation, F.L.; writing—review and editing, F.L. and J.L.; visualization, J.L.; supervision, J.L.; project administration, X.H.; funding acquisition, F.L. All authors have read and agreed to the published version of the manuscript.

Funding

This research was funded by Jiangxi Provincial Social Science "14th Five-Year Plan" Fund Project (Grant no. 24GL48), Humanities and Social Sciences Research Project of Jiangxi Province (Grant no. GL24209), and Prosperous Philosophy and Social Science Research Project of Jiangxi University of Science and Technology (Grant no. FZ25-ZX-04 and JXUST-SKRC-01).

Institutional Review Board Statement

Not applicable.

Informed Consent Statement

Not applicable.

Data Availability Statement

Data are contained within the article.

Conflicts of Interest

The authors declare no conflict of interest.

References

  1. Tao, M. Dynamics between electric vehicle uptake and green development: Understanding the role of local government competition. Transport Policy 2024, 146, 227–240. [Google Scholar] [CrossRef]
  2. Galati, A.; Adamashvili, N.; Crescimanno, M. A feasibility analysis on adopting electric vehicles in the short food supply chain based on GHG emissions and economic costs estimations. Sustainable Production and Consumption 2023, 26, 49–61. [Google Scholar] [CrossRef]
  3. Yu, Q.; Xiao, Y.; Wang, G.; Cui, D. Sustainable Development of the China Railway Express under the Belt and Road Initiative: Focusing on Infrastructure Reliability and Trade Facilitation. Sustainability 2024, 16, 8167. [Google Scholar] [CrossRef]
  4. Zhang, F.; Yuzhu, T.; Lam, L.; Mian, Z. Analysis of the influencing factors of the trade potential between countries along the 'Belt and Road' and China: a study based on spatial panel data model. Enterprise Information Systems 2025, 19, 2448315. [Google Scholar] [CrossRef]
  5. Waskito, D.; Kurt, R.; Gusti, A.; Bowo, L. Assessing the risk of transporting battery electric vehicles through water transportation modes by integrating system theory and Bayesian Network approach. Ocean Engineering 2025, 34, 122606. [Google Scholar] [CrossRef]
  6. Xiong, C.; Wang, C.; Zhou, S.; Song, X. Dynamic rolling scheduling model for multi-AGVs in automated container terminals based on spatio-temporal position information. Ocean and Coastal Management 2024, 258, 107349. [Google Scholar] [CrossRef]
  7. Fan, Z.; Cao, Y.; Huang, C.; Li, Y. Pricing strategies of domestic and imported electric vehicle manufacturers and the design of government subsidy and tariff policies. Transportation Research Part E 2020, 143, 102093. [Google Scholar] [CrossRef]
  8. Cao, K.; Sun, S. Cross-border fresh produce sourcing and blockchain technology adoption decisions considering spillover effects. Transportation Research Part E 2025, 203, 104356. [Google Scholar] [CrossRef]
  9. Chen, L.; Xu, J. On the "prisoner's dilemma" of order timing in a cross-border and co-opetitive supply chain. Transportation Research Part E 2024, 185, 103529. [Google Scholar] [CrossRef]
  10. Yu, X.; Xiao, T.; Zaccour, G. Pricing and unauthorized channel strategies for a global manufacturer considering import taxes. Transportation Research Part E 2024, 192, 103784. [Google Scholar] [CrossRef]
  11. Cui, J.; Pan, J.; Song, Z. Sourcing and supplying strategies under supply risk of critical components. European Journal of Operational Research 2025, 327, 136. [Google Scholar] [CrossRef]
  12. Li, W.; Tong, M.; Lei, H.; Chen, L. Comparison of different taxation models on cross-border supply chain decisions: Considering disruption forecast and cost differences. Computers & Industrial Engineering 2023, 185. [Google Scholar] [CrossRef]
  13. Li, W.; Kang, J.; Sun, H.; Pang, G. Impact of Carbon Abatement Policies on Cross-Border Supply Chain Remanufacturing: The Role of Import Quotas. IEEE Transactions on Engineering Management 2025, 72, 1281. [Google Scholar] [CrossRef]
  14. Jiang, L.; Yao, A.; Li, W.; Wei, Q. Blockchain technology empowers the cross-border dual-channel supply chain: Introduction strategy, tax differences, optimal decisions. Computers & Industrial Engineering 2024, 195, 110431. [Google Scholar]
  15. Mishra, A.; Kundu, T.; Kapoor, R.; Goh, M. Blockchain adoption in cross-border cold supply chains: Cost, Efficiency and Trust. Transportation Research Part E 2025, 201, 104236. [Google Scholar] [CrossRef]
  16. Xie, F.; Shen, X.; Wang, S. Pricing decisions and stability analysis in blockchain-enabled cross-border dual-channel supply chain. Chaos, Solitons and Fractals 2025, 199, 116680. [Google Scholar] [CrossRef]
  17. Niu, B; Chen, L.; Wang, J. Ad valorem tariff vs. specific tariff: Quality-differentiated e-tailers’ profitability and social welfare in cross-border e-commerce. Omega 2022, 108, 102584. [Google Scholar] [CrossRef]
  18. Chen, K.; Wang, X.; Niu, B.; Chen, Y. The impact of tariffs and price premiums of locally manufactured products on global manufacturers' sourcing strategies. Production and Operations Management 2022, 31, 3474–3490. [Google Scholar] [CrossRef]
  19. Hu, X.; Fu, K.; Chen, Z.; Du, Z. Decision-Making of Transnational Supply Chain Considering Tariff and Third-Party Logistics Service. Mathematics 2022, 10, 770. [Google Scholar] [CrossRef]
  20. Li, W.; Wang, P.; Cheng, W.; Nie, K. Transnational remanufacturing decisions under carbon taxes and tariffs. European Journal of Operational Research 2024, 312, 150–163. [Google Scholar] [CrossRef]
  21. Michael, R.; Wei, H. Holistic analysis of consumer energy decarbonisation options and tariff effects. Applied Energy 2024, 353, 122165. [Google Scholar]
  22. Abhishek, S.; Ranjan, K.; Abhishek, C.; Arqum, M.; Gopalakrishnan, N. Design and selection of government policies for electric vehicles adoption: A global perspective. Transportation Research Part E 2022, 161, 102726. [Google Scholar]
  23. Liu, J.; Li, L.; He, L.; Ma, X.; Yuan, H. Consumers or infrastructure firms? Who should the government subsidize to promote electric vehicle adoption when considering the indirect network and herd effects. Transport Policy 2024, 149, 163–176. [Google Scholar] [CrossRef]
  24. Kunpeng, L.; Lan, W. Optimal electric vehicle subsidy and pricing decisions with consideration of EV anxiety and EV preference in green and non-green consumers. Transportation Research Part E 2023, 170, 103010. [Google Scholar]
  25. Yi, S.; Wen, G. Game model of transnational green supply chain management considering government subsidies. Annals of Operations Research 2023, in press. [Google Scholar] [CrossRef]
  26. Wang, N; Li, X.; Yang, X. The Efficacy of the New Energy Vehicle Mandate Policy on Passenger Vehicle Market in China. World Electric Vehicle Journal 2025, 16, 151. [Google Scholar] [CrossRef]
  27. Yu, M.; Yang, H.; Zhou, Y.; Lai, X.; Wang, G. International multimodal transportation optimization considering bulk cargo containerization. Computers and Operations Research 2025, 182, 107095. [Google Scholar] [CrossRef]
  28. Hu, Y.; Liu, J.; Jin, H.; Wang, S. Liner disruption recovery problem with emission control area policies. Transportation Research Part D 2024, 132, 104227. [Google Scholar] [CrossRef]
  29. Liu, L.; Liu, K.; Shibasaki, R.; Zhang, Y.; Zhang, M. Assessment of the feasibility of vessel trains in the ocean shipping sector. Transportation Research Part D 2024, 130, 104188. [Google Scholar] [CrossRef]
  30. Zhen, L.; Wu, J.; Wang, S.; Li, S.; Wang, M. Optimizing automotive maritime transportation in Ro-Ro and container shipping. Transportation Research Part B 2025, 194, 103175. [Google Scholar] [CrossRef]
  31. Zhang, C.; Yang, F.; Shan, F. Product transportation strategy in the presence of limited shipment capacity and purchase timing. International Journal of Production Research 2025, 63, 2408–2430. [Google Scholar] [CrossRef]
  32. Twiller, J.; Sivertsen, A.; Pacino, D.; Jensen, R. Literature survey on the container stowage planning problem. European Journal of Operational Research 2024, 317, 841–857. [Google Scholar] [CrossRef]
  33. Zeng, M.; Cheng, Z.; Lei, J. Carbon-optimization driven resilience assessment of cascading failure for multimodal transportation networks within the belt and road initiative. Journal of Cleaner Production 2025, 521, 146200. [Google Scholar] [CrossRef]
  34. Feng, F.; Zhang, Z.; Cai, M.; Liu, C. Analyzing and Simulating Evolution of Subsidy–Operation Strategies for Multi-Type China Railway Express Operation Market. Mathematics 2024, 12, 1640. [Google Scholar] [CrossRef]
  35. Guo, L.; Jiang, C.; Hou, W. International multimodal transport connectivity assessment of multimodal transport from mainland China to Europe. Transportation Research Part E 2024, 186, 103564. [Google Scholar] [CrossRef]
Figure 1. Framework of the electric vehicle cross-border supply chain.
Figure 1. Framework of the electric vehicle cross-border supply chain.
Preprints 190372 g001
Figure 2. Framework of the differentiated subsidy strategy.
Figure 2. Framework of the differentiated subsidy strategy.
Preprints 190372 g002
Figure 3. Impact of k under maritime shipping mode. (a) Market demand; (b) Logistics level.
Figure 3. Impact of k under maritime shipping mode. (a) Market demand; (b) Logistics level.
Preprints 190372 g003
Figure 4. Joint impact of k and γ under CR Express mode. (a) Market demand; (b) Logistics level.
Figure 4. Joint impact of k and γ under CR Express mode. (a) Market demand; (b) Logistics level.
Preprints 190372 g004
Figure 5. Trend of retailer's profit with respect to k . (a) Without subsidy; (b) With subsidy.
Figure 5. Trend of retailer's profit with respect to k . (a) Without subsidy; (b) With subsidy.
Preprints 190372 g005
Figure 6. Trend of manufacturer's profit with respect to k and F . (a) Without subsidy; (b) With subsidy.
Figure 6. Trend of manufacturer's profit with respect to k and F . (a) Without subsidy; (b) With subsidy.
Preprints 190372 g006
Table 1. The main notations in this paper.
Table 1. The main notations in this paper.
Symbol Definition
c m Unit production cost
c r Unit logistics surcharge
k Logistics cost coefficient
γ Service premium coefficient brought by the CR Express mode
β Consumer’s sensitivity coefficient to the logistics level
F Fixed cost incurred by CR Express
δ Tariff rate
λ Tariff reduction degree
μ Production subsidy provided by the government
D i Demand for EVs in Scenario i , i { N M , N R , G M , G R }
w i FOB price of EVs in Scenario i , i { N M , N R , G M , G R }
t i Logistics level in Scenario i , i { N M , N R , G M , G R }
P i Retail price of EVs in Scenario i , i { N M , N R , G M , G R }
π j i Profit of j in Scenario i , i { N M , N R , G M , G R } , j { M , R }
Table 2. The equilibrium in four models.
Table 2. The equilibrium in four models.
Outcome NM NR GM GR
t * β 1 ε φ c m Δ β ( 1 + γ ) ε φ c m Δ β 1 ε φ ( c m μ ) Δ β ( 1 + γ ) ε φ ( c m μ ) Δ
w * c m + 2 k 1 ε φ c m Δ c m + 2 k ( 1 + γ ) ( 1 + γ ) ε φ c m Δ ( c m μ ) + 2 k 1 ε φ ( c m μ ) Δ ( c m μ ) + 2 k ( 1 + γ ) ( 1 + γ ) ε φ ( c m μ ) Δ
P * φ c m + ε + 3 φ k 1 ε φ c m Δ φ c m + ε + 3 φ k ( 1 + γ ) ε φ c m Δ φ ( c m μ ) + ε + 3 φ k 1 ε φ ( c m μ ) Δ φ ( c m μ ) + ε + 3 φ k ( 1 + γ ) ( 1 + γ ) ε φ ( c m μ ) Δ
D * 2 k 1 ε φ c m Δ 2 k ( 1 + γ ) 1 + γ ) ε φ c m Δ 2 k 1 ε φ ( c m μ ) Δ 2 k ( 1 + γ ) ( 1 + γ ) ε φ ( c m μ ) Δ
π M * 2 k 2 1 ε φ c m 2 Δ 2 2 k 2 ( 1 + γ ) 2 ( 1 + γ ) ε φ c m 2 Δ 2 F 2 k 2 1 ε φ ( c m μ ) 2 Δ 2 2 k 2 ( 1 + γ ) 2 ( 1 + γ ) ε φ ( c m μ ) 2 Δ 2 F
π R * 4 φ k 2 1 ε φ c m 2 Δ 2 4 A k 2 ( 1 + γ ) 2 ( 1 + γ ) ε φ c m 2 Δ 2 4 φ k 2 1 ε φ ( c m μ ) 2 Δ 2 4 φ k 2 ( 1 + γ ) 2 ( 1 + γ ) ε φ ( c m μ ) 2 Δ 2
Disclaimer/Publisher’s Note: The statements, opinions and data contained in all publications are solely those of the individual author(s) and contributor(s) and not of MDPI and/or the editor(s). MDPI and/or the editor(s) disclaim responsibility for any injury to people or property resulting from any ideas, methods, instructions or products referred to in the content.
Copyright: This open access article is published under a Creative Commons CC BY 4.0 license, which permit the free download, distribution, and reuse, provided that the author and preprint are cited in any reuse.
Prerpints.org logo

Preprints.org is a free preprint server supported by MDPI in Basel, Switzerland.

Subscribe

Disclaimer

Terms of Use

Privacy Policy

Privacy Settings

© 2026 MDPI (Basel, Switzerland) unless otherwise stated