Submitted:
14 December 2025
Posted:
15 December 2025
You are already at the latest version
Abstract
Keywords:
MSC: 93-10; 34H20
1. Introduction
2. The Mathematical Model
- H1:
- The logistic growth is assumed for crop biomass with r as the intrinsic growth rate and K as the maximum crop biomass [10,27]. In addition, we consider the impact of nutrients on the quick recovery of crops. Let c be the efficacy of the nutrients to enhance the carrying capacity of crop biomass. The modified carrying capacity of crop biomass due to awareness is [31]. The crop population is consumed by both susceptible pests (S) and infected pests (I) at the rates and , respectively. Here, as the infected pests are weak and will consume the crops at a lower rate [10]. The dynamics of crop biomass is governed by the following equation:
- H2:
- The susceptible pest population increases due to consumption of crop biomass, with a conversion efficiency . However, it decreases due to natural mortality and infection caused by contact with infected pests [10]. Thus, we have the following equation for the susceptible pest population:
- H3:
- Infected pests grow through infection of susceptible pests and interactions with the hosts. Also, the infected pests increase due to additional applications influenced by awareness campaigns. Their population is reduced by natural death and infection-induced mortality. Thus, the dynamics of infected pest population is modeled by the equation below:
- H4:
- The level of agricultural awareness is influenced by various factors. Awareness campaigns increase the level of awareness through media platforms such as social networks and television at a rate . The impact of pest damage also increases awareness, directly proportional to the density of the total population of pests, modeled by the term [10]. Over time, the level of awareness decreases due to inactivity or lack of involvement at a rate . The local awareness rate is the rate at which local awareness is generated or influenced. These factors play a dynamic role in shaping agricultural awareness.
3. Analytical Results
3.1. Existence of Equilibria and Their Stability
- i)
- The crop- and pest-free equilibrium, ,
- ii)
- The pest-free steady state, . Here, and .
- iii)
-
The susceptible pest-free equilibrium, , whereand is the positive root ofwhere, , andSince , a positive root of (6) exists when Thus the feasibility conditions of are and .
- iv)
- The infected-pest-free equilibrium, , where and is the positive root of the quadratic equation:where, Since , a positive value of exists when , i.e., when
- v)
-
The coexisting equilibrium, , whereand satisfies the quadratic equation:withThe existence of positive roots of equation (9) is addressed in the following proposition.
3.2. Basic Reproduction Number
3.3. Jacobian Matrix and Characteristic Equation
3.4. Stability of Equilibria
- i)
- The crop- and pest-free steady state, is unstable everywhere.
- ii)
- The pest-free equilibrium is stable when and unstable otherwise.
- iii)
-
The equilibrium point will be stable for the following condition to hold,and the cubic equation is stable according to the R-H criteria that is ,, and
- iv)
- Stability of the equilibrium holds under the following conditions:
- v)
- The following conditions guarantee the stability of the coexisting equilibrium :
- i)
-
The Jacobian matrix at the crop- and pest-free steady state, is given byThe matrix gives the following characteristic equation:One eigenvalue of the above matrix is positive, hence the axial equilibrium is unstable.
- ii)
-
At the pest-free steady state, the Jacobian matrix takes the form asThis yields the characteristic equation in as below:Roots of the above equation are obtained as , , and . Clearly, all eigenvalues will be negative whenever the following conditions met:
- iii)
-
We construct the Jacobian matrix for the susceptible pest-free equilibrium aswhere,The equilibrium point is stable if and the cubic equation is stable according to the R-H criteria, that is ,, and
- iv)
-
We determine the Jacobian matrix at infected pest-free equilibrium to be:Here,The matrix yields the characteristic equation as below:Here,Using Routh-Hurwitz criteria, we can conclude that the equilibrium is stable when (13) holds.
- v)
-
At the interior equilibrium point , the Jacobian matrix corresponding to the system (4) takes the following form:Here,We compute the characteristic equation of the matrix as below:The coefficients of (22) are as follows:Applying Routh–Hurwitz criterion on equation (22), we get the conditions for roots with negative real parts as follows:Thus the interior equilibrium is stable if and only if the conditions in (27) are satisfied.
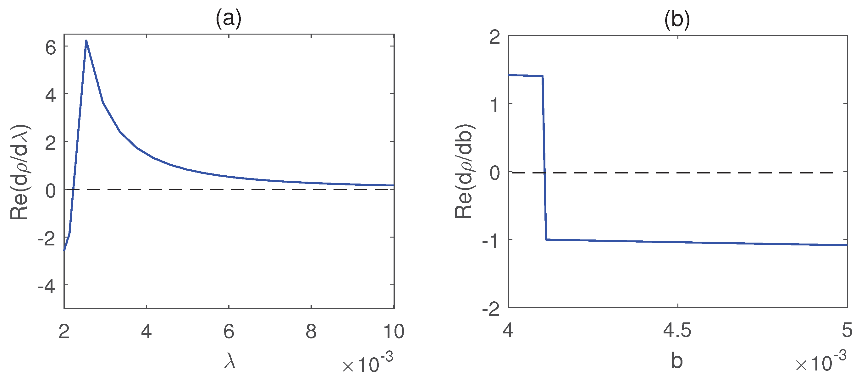
3.5. Existence of Hopf-Bifurcation
- (1)
- .
- (2)
- .
4. The Optimal Control Problem
4.1. Characteristic of the Optimal Control Triplet
4.2. The Adjoint System
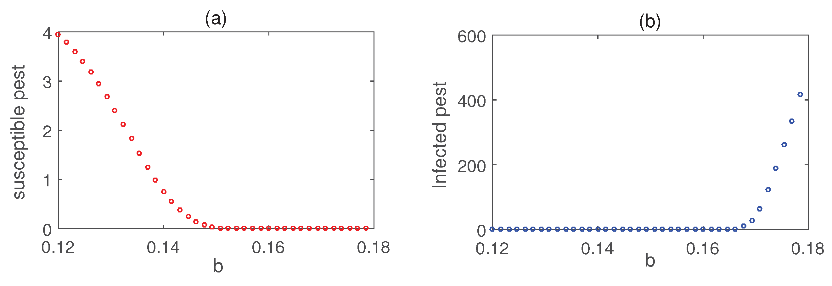
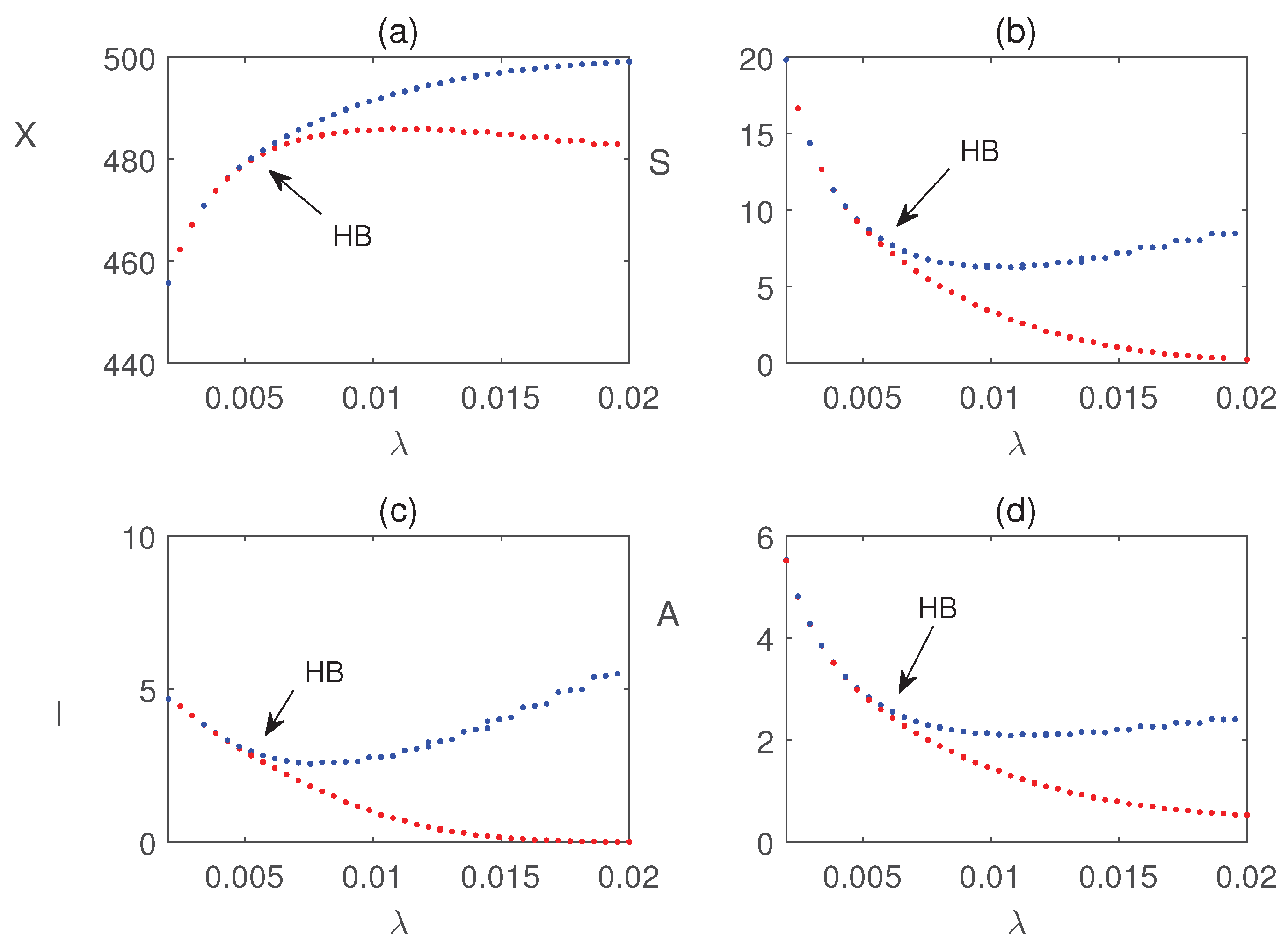
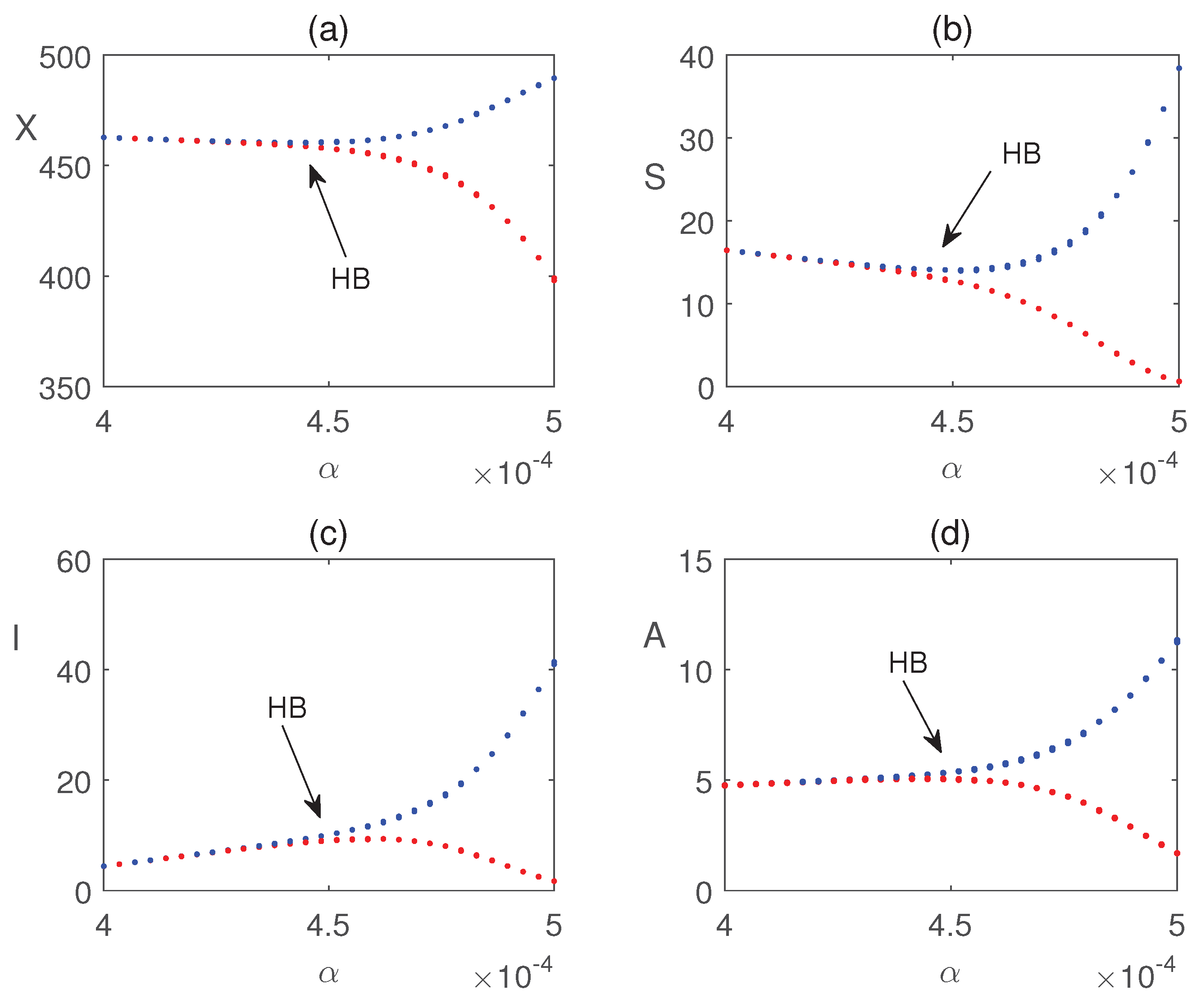
5. Numerical Simulations
5.1. Local Sensitivity for
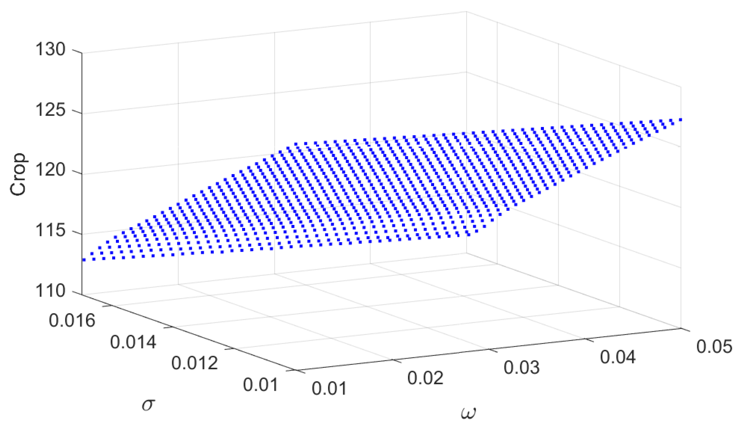
5.2. Global Sensitivity Analysis
5.3. Dynamics Without Optimal Control
5.4. Results from the Optimal Control Problem
5.5. Pest Reduction Ratio, Crop Yield Increase and Control Cost Reduction Rate
- (i)
- Pest Reduction Ratio (PRR): It is defined as follows:
- (ii)
- Crop Yield Increase (CYI): It is defined as follows:
- (iii)
- Control Cost Reduction Rate (CCRR): It is defined as follows:
- (iv)
- Awareness Efficiency (AE): Yield gain per unit awareness cost.
- (v)
- Infected Release Efficiency (IRE): Pest reduction per unit infected-release cost.
6. Conclusions
Data Availability Statement
Acknowledgments
Conflicts of Interest
References
- Popp, J.; Pető, K.; Nagy, J. Pesticide productivity and food security. A review. Agron. Sustain. Dev. 2013, 33, 243–255. [Google Scholar] [CrossRef]
- Baker, B.P.; Green, T.A.; Loker, A.J. Biological control and integrated pest management in organic and conventional systems. Biological Control 2020, 140, 104095. [Google Scholar] [CrossRef]
- Rajamani, M.; Negi, A. Biopesticides for pest management. Sustainable bioeconomy: Pathways to sustainable development goals 2021, 239–266. [Google Scholar] [CrossRef]
- Bakhtiar, T.; Fitri, I.R.; Hanum, F.; Kusnanto, A. Mathematical model of pest control using different release rates of sterile insects and natural enemies. Mathematics 2022, 10, 883. [Google Scholar] [CrossRef]
- Liu, X.; Cao, A.; Yan, D.; Ouyang, C.; Wang, Q.; Li, Y. Overview of mechanisms and uses of biopesticides. Int. J. Pest Management 2019, 67(1), 65–72. [Google Scholar] [CrossRef]
- Rumble, J.N.; Settle, Q.; Irani, T. Assessing the content of online agricultural awareness campaigns. J. Appl. Commun. 2016, 100(3), 10. [Google Scholar] [CrossRef]
- Raghuvanshi, R.; Ansari, M.A. A study of farmers’ awareness about climate change and adaptation practices in India. Int. J. Agricultural Sciences 2017, 3(6), 154–160. [Google Scholar] [CrossRef]
- Panda, S. Farmer education and household agricultural income in rural India. Int. J. Social Economics 2015, 42(6), 514–529. [Google Scholar] [CrossRef]
- Al Basir, F.; Adhurya, S.; Ray, S. Impact of periodic farming awareness campaign through media for crop pest control management: A mathematical study. In Advances in Mathematical and Computational Modeling of Engineering Systems; CRC Press, 2023; pp. 143–157. [Google Scholar] [CrossRef]
- Al Basir, F.; Banerjee, A.; Ray, S. Role of farming awareness in crop pest management-A mathematical model. J. Teoret. Biol. 2019, 461, 59–67. [Google Scholar] [CrossRef]
- Ali, S.; Riaz, A.; Mamtaz, S.; Haider, H. Nutrients and Crop Production. Current Research in Agriculture and Farming 2023, 4(2), 1–15. [Google Scholar] [CrossRef]
- Nadeem, F.; Hanif, M.A.; Majeed, M.I.; Mushtaq, Z. Role of macronutrients and micronutrients in the growth and development of plants and prevention of deleterious plant diseases-a comprehensive review. International Journal of Chemical and Biochemical Sciences 2018, 13, 31–52. [Google Scholar]
- Shrivastav, P.; Prasad, M.; Singh, T.B.; Yadav, A.; Goyal, D.; Ali, A.; Dantu, P.K. Role of nutrients in plant growth and development; Sources, impacts and management: Contaminants in agriculture, 2020; pp. 43–59. [Google Scholar]
- Pandey, N. Role of plant nutrients in plant growth and physiology. In Plant nutrients and abiotic stress tolerance; Springer Singapore: Singapore, 2018; pp. 51–93. [Google Scholar] [CrossRef]
- Dordas, C. Role of nutrients in controlling plant diseases in sustainable agriculture. A review. Agron. Sustain. Dev. 2008, 28, 33–46. [Google Scholar] [CrossRef]
- Sideris, T.C. Ordinary differential equations and dynamical systems; Atlantis Press: Paris, 2013; Available online: https://link.springer.com/book/10.2991/978-94-6239-021-8.
- Fleming, W. H.; Rishel, R. W. Deterministic and stochastic optimal control; Springer-Verlag: Berlin, 1975. [Google Scholar]
- Silva, C.J.; Torres, D.F.; Venturino, E. Optimal spraying in biological control of pests. Math. Model. Nat. Pheno. 2017, 12, 51–64. [Google Scholar] [CrossRef]
- Tambo, J.A.; Mugambi, I.; Onyango, D.O.; Uzayisenga, B.; Romney, D. Using mass media campaigns to change pesticide use behaviour among smallholder farmers in East Africa. J. Rural Studies 2023, 99, 79–91. [Google Scholar] [CrossRef]
- Remoundou, K.; Brennan, M.; Hart, A.; Frewer, L.J. Pesticide risk perceptions, knowledge, and attitudes of operators, workers, and residents: a review of the literature. Hum. Ecol. Risk Assess. 2014, 20(4), 1113–1138. [Google Scholar] [CrossRef]
- Waichman, A.V.; Eve, E.; da Silva Nina, N.C. Do farmers understand the information displayed on pesticide product labels? A key question to reduce pesticides exposure and risk of poisoning in the Brazilian Amazon. Crop protection 2007, 26, 576–583. [Google Scholar] [CrossRef]
- Way, M.J.; Van Emden, H.F. Integrated pest management in practice—pathways towards successful application. Crop protection 2000, 19, 81–103. [Google Scholar] [CrossRef]
- Karlsson Green, K.; Stenberg, J.A.; Lankinen, A. Making sense of Integrated Pest Management (IPM) in the light of evolution. Evolutionary Applications 2020, 13, 1791–1805. [Google Scholar] [CrossRef]
- Misra, A.K.; Yadav, A.; Bonyah, E. A fractional model for insect management in agricultural fields utilizing biological control. Int. J. Dyn. Control. 13, 1–17. [CrossRef]
- Djouda, B.S.; Ndjomatchoua, F.T.; Moukam Kakmeni, F.M.; Tchawoua, C.; Tonnang, H.E. Understanding biological control with entomopathogenic fungi—Insights from a stochastic pest–pathogen model. Chaos. 2021, 31, 023126. [Google Scholar] [CrossRef] [PubMed]
- Pathak, S.; Maiti, A. Pest control using virus as control agent: A mathematical model. Nonlinear Anal. Model. Control. 2012, 17, 67–90. [Google Scholar] [CrossRef]
- Ghosh, S.; Bhattacharyya, S.; Bhattacharya, D.K. The role of viral infection in pest control: a mathematical study. Bull. Math. Biol. 2007, 69, 2649–2691. [Google Scholar] [CrossRef]
- Al Basir, F.; Chowdhury, J.; Das, S.; Ray, S. Combined impact of predatory insects and bio-pesticide over pest population: Impulsive model-based study. Energy Ecol. Environ. 2022, 7, 173–185. [Google Scholar] [CrossRef]
- Abraha, T.; Al Basir, F.; Obsu, L.L.; Torres, D.F. Pest control using farming awareness: Impact of time delays and optimal use of biopesticides. Chaos Soliton Fractal. 2021, 146, 110869. [Google Scholar] [CrossRef]
- Nyangau, P.; Muriithi, B.; Diiro, G.; Akutse, K.S.; Subramanian, S. Farmers’ knowledge and management practices of cereal, legume and vegetable insect pests, and willingness to pay for biopesticides. Int. J. Pest Manage. 2022, 68, 204–216. [Google Scholar] [CrossRef]
- Basir, F.A.; Venturino, E.; Roy, P.K. Effects of awareness program for controlling mosaic disease in Jatropha curcas plantations. Math. Method. Appl. Sciences 2017, 40, 2441–2453. [Google Scholar] [CrossRef]
- Basir, F.A.; Noor, M.H. A model for pest control using integrated approach: impact of latent and gestation delays. Nonlinear Dynamics 2022, 108(2), 1805–1820. [Google Scholar] [CrossRef]
- Al Basir, F.; Samanta, S.; Tiwari, P.K. Bistability, generalized and zero-Hopf bifurcations in a pest control model with farming awareness. J. Biol. Systems 2023, 31(01), 115–140. [Google Scholar] [CrossRef]
- Bamisile, B.S.; Akutse, K.S.; Siddiqui, J.A; Xu, Y. Model application of entomopathogenic fungi as alternatives to chemical pesticides: Prospects, challenges, and insights for next-generation sustainable agriculture. Frontiers in Plant Science. 2021, 12, 741804. [Google Scholar] [CrossRef]
- Roberts, D.W.; Hajek, A.E. Entomopathogenic fungi as bioinsecticides. In Frontiers in industrial mycology; Springer: Boston, 1992; pp. 144–159. [Google Scholar] [CrossRef]
- Tan, Y.; Chen, L. Modelling approach for biological control of insect pest by releasing infected pest. Chaos Soliton. Fractal. 2009, 39, 304–315. [Google Scholar] [CrossRef]
- Al Basir, F.; Nieto, J.J.; Halder, T.N.; Raezah, A. A. Effects of biopesticides and nutrient in the dynamics of a delay model for awareness-based crop pest control. Int. J. Dynam. Control 2025, 13, 214. [Google Scholar] [CrossRef]
- Reja, S.; Ghosh, S.; Ghosh, I.; Paul, A.; Bhattacharya, S. Investigation and control strategy for canine distemper disease on endangered wild dog species: A model-based approach. SN Appl. Sci. 2022, 4, 176. [Google Scholar] [CrossRef]
- Sarwardi, S.; Reja, S.; Al Basir, F.; Raezah, A.A. Delay-induced bubbling in a harvested plankton–fish model: A study on the role of two fish predators. Nonlinear Dyn. 2025, 113, 22143–22165. [Google Scholar] [CrossRef]
- Marino, S.; Hogue, I.B.; Ray, C.J.; Kirschner, D.E. A methodology for performing global uncertainty and sensitivity analysis in systems biology. J. Theor. Biol. 2008, 254, 178–196. [Google Scholar] [CrossRef] [PubMed]


















| Parameters | Definitions | Values | Units |
|---|---|---|---|
| r | Growth rate of crop biomass | 0.1 | |
| K | Maximum carrying capacity of crop biomass | 500 | g |
| Consumption rate of crop biomass by susceptible pests | 0.0004 | g | |
| Infection rate of susceptible pests by infected pests | 0.0025 | ||
| Conversion efficacy of susceptible pests | 0.6 | — | |
| Conversion efficacy of infected pests | 0.59 | — | |
| d | Natural death rate of pests | 0.1 | |
| Mortality of infected pests due to infection | 0.05 | ||
| Ineffectiveness rate of awareness campaign | 0.12 | ||
| Global awareness campaign rate | 0.05 | ||
| c | Efficacy of nutrient application | 0.01 | g |
| Fraction of nutrient uptake | 0.5 | — | |
| b | Rate of application of infected pests | 0–0.005 | pests |
| Scenario | PRR | CYI | CCRR | Control Cost | AE | IRE |
|---|---|---|---|---|---|---|
| Baseline (no control) | – | – | – | 0 | – | – |
| Optimal control | 0.47 | 0.22 | 0.28 | 35.4 | 1.85 | 0.91 |
Disclaimer/Publisher’s Note: The statements, opinions and data contained in all publications are solely those of the individual author(s) and contributor(s) and not of MDPI and/or the editor(s). MDPI and/or the editor(s) disclaim responsibility for any injury to people or property resulting from any ideas, methods, instructions or products referred to in the content. |
© 2025 by the authors. Licensee MDPI, Basel, Switzerland. This article is an open access article distributed under the terms and conditions of the Creative Commons Attribution (CC BY) license (http://creativecommons.org/licenses/by/4.0/).
