Submitted:
28 November 2025
Posted:
02 December 2025
You are already at the latest version
Abstract
Keywords:
1. Introduction
2. Experimental and Data Processing
3. Theoretical Background
3.1. Simulation of -Scan Measurements
3.1.1. Simple Approach
3.1.2. Complicated Approach
3.2. Simulation of MD Events in a Collected Full Data Set
4. Results and Discussion
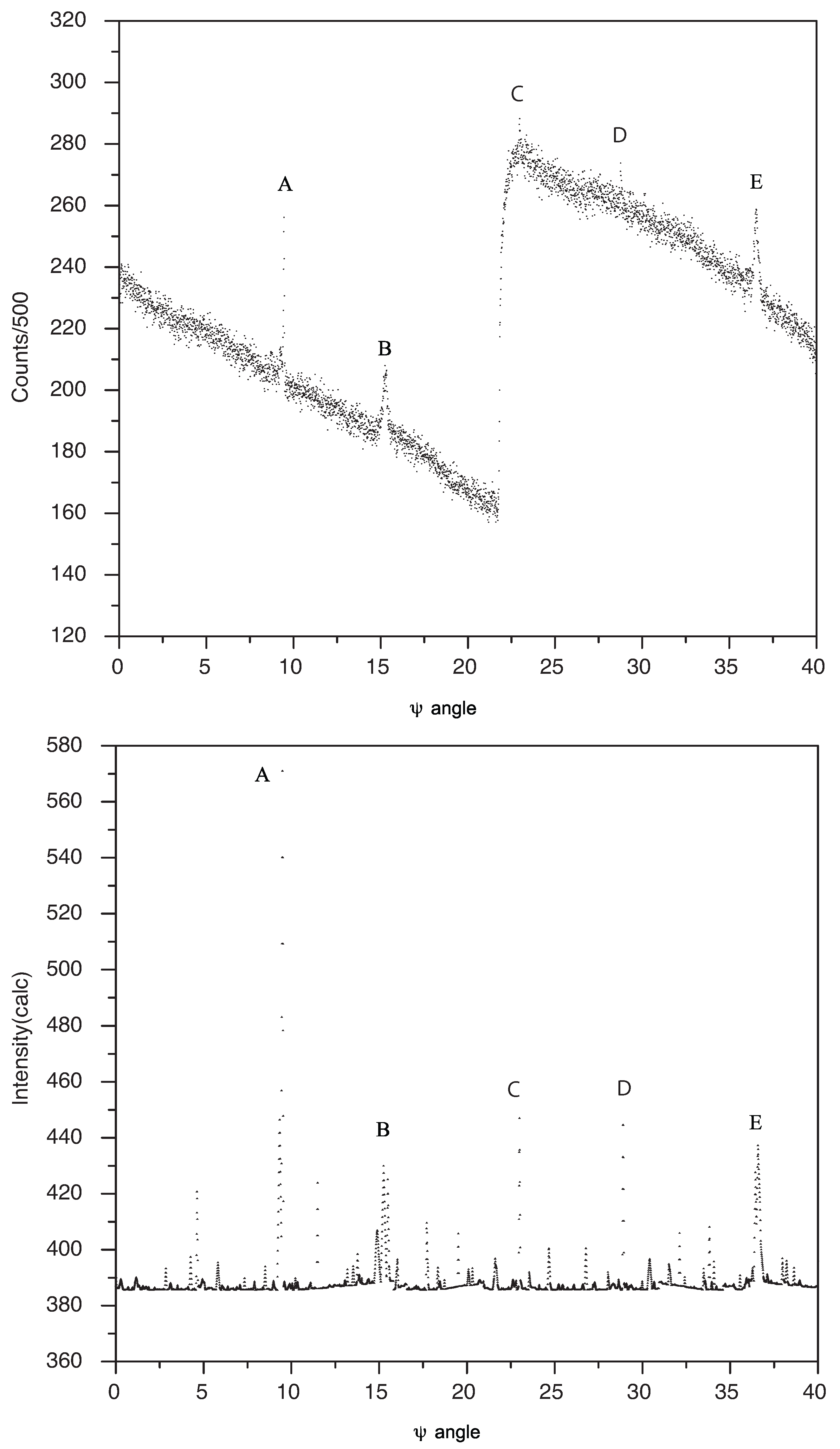
4.1. -Scan Multiple Diffraction Pattern

4.2. Effect of Multiple Diffraction on the Quality of the one Full Data Set
5. Conclusions
Funding
Data Availability Statement
Acknowledgments
Conflicts of Interest
Abbreviations
| MD | Multiple diffraction |
| SR | Synchrotron radiation |
| SXRD | Single crystal X-ray diffraction |
References
- Blessing, R. Outlier treatment in data merging. J. Appl. Cryst. 1997, 30, 421–426. [Google Scholar] [CrossRef]
- Buganski, I.; Strzalka, R.; Wolny, J. Phason-flips refinement of and multiple-scattering correction for the d-AlCuRh quasicrystal. Acta Crystallogr. Sect. A 2019, 75, 352–361. [Google Scholar] [CrossRef] [PubMed]
- Buganski, I.; Strzalka, R.; Wolny, J. A new approach to phason disorder for a decagonal quasicrystal: the moment series expansion of the tiling distribution function for AlCuRh. J. Appl. Cryst. 2020, 53, 904–913. [Google Scholar] [CrossRef]
- Buganski, I.; Bindi, L. Insight into the structure of decagonite – the extraterrestrial decagonal quasicrystal. IUCrJ 2021, 8, 87–101. [Google Scholar] [CrossRef] [PubMed]
- Buganski, I.; Strzalka, R.; Wolny, J. The physical space model of the Tsai-type quasi-crystal. Acta Crystallogr. Sect. B 2024, 80, 1–10. [Google Scholar] [CrossRef] [PubMed]
- Busing, W.; Levy, H. Angle calculations for 3-and 4-circle X-ray and neutron diffractometers. Acta Crystallogr. 1967, 22, 457–464. [Google Scholar] [CrossRef]
- Fan, C.Z.; Weber, Th.; Deloudi, S.; Steurer, W. Multiple diffraction in an icosahedral Al-Cu-Fe quasicrystal. Philos. Mag. 2011, 91, 2528–2535. [Google Scholar] [CrossRef]
- Giacovazzo, C.; Monaco, H.L.; Viterbo, D.; Scordari, F.; Gilli, G.; Zanotti, G.; Catti, M. Fundamentals of Crystallography; Giacovazzo, C., Ed.; Oxford University Press: Oxford, UK, 1992. [Google Scholar]
- Kuczera, P.; Wolny, J.; Steurer, W. Comparative structural study of decagonal quasicrystals in the systems Al–Cu–Me (Me = Co, Rh, Ir). Acta Crystallogr. Sect. B 2012, 68, 578–589. [Google Scholar] [CrossRef] [PubMed]
- Ishihara, K.; Yamamoto, A. Penrose patterns and related structures. I. Superstructure and generalized Penrose patterns. Acta Crystallogr. Sect. A 1988, 44, 508–516. [Google Scholar] [CrossRef]
- Meyer, M. Construction of a Multi-Purpose X-ray CCD Detector and Its Implementation on a 4-Circle Kappa Goniometer. PhD Thesis, École Polytechnique Fédérale de Lausanne (EPFL), Lausanne, Switzerland, 1998. [Google Scholar]
- Rossmanith, E. Comparison of an Umweganregung pattern, measured on an automatic single-crystal diffractometer, with calculated patterns. Acta Crystallogr. Sect. A 1986, 42, 344–348. [Google Scholar] [CrossRef]
- Rossmanith, E. UMWEG: a program for the calculation and graphical representation of multiple-diffraction patterns. J. Appl. Cryst. 2003, 36, 1467. [Google Scholar] [CrossRef]
- Strutz, A.; Yamamoto, A.; Steurer, W. Basic Co-rich decagonal Al-Co-Ni: Average structure. Phys. Rev. B 2009, 80, 184102. [Google Scholar] [CrossRef]
- Strutz, A.; Yamamoto, A.; Steurer, W. Basic Co-rich decagonal Al-Co-Ni: superstructure. Phys. Rev. B 2010, 82, 064107. [Google Scholar] [CrossRef]
- Strzalka, R.; Buganski, I.; Kuczera, P.; Pytlik, L.; Wolny, J. Atomic Structure of Decagonal Al-Cu-Rh Quasicrystal – Revisited. Crystals 2019, 9, 78. [Google Scholar] [CrossRef]
- Steurer, W. Twenty years of structure research on quasicrystals. Part I. Pentagonal, octagonal, decagonal and dodecagonal quasicrystals. Z. Kristallogr. - Cryst. Mater. 2004, 219, 391–446. [Google Scholar] [CrossRef]
- Steurer, W. Quasicrystal structure and growth models: discussion of the status quo and the still open questions. J. Phys. Conf. Ser. 2017, 809, 012001. [Google Scholar] [CrossRef]
- Takakura, H.; Gómez, C.P.; Yamamoto, A.; De Boissieu, M.; Tsai, A.P. Atomic structure of the binary icosahedral Yb–Cd quasicrystal. Nat. Mater. 2007, 6, 58–63. [Google Scholar] [CrossRef] [PubMed]
- Takakura, H.; Mizuno, R. Multiple Diffraction in an Icosahedral Al-Cu-Rh Quasicrystal: X-Ray Experiment and Simulation. Mater. Struct. 2015, 22, 281–287. [Google Scholar] [CrossRef]
- Thorkildsen, G.; Mathiesen, R.H.; Larsen, H.B. Angle calculations for a six-circle κ diffractometer. J. Appl. Cryst. 1999, 32, 943–950. [Google Scholar] [CrossRef]
- Thorkildsen, G.; Larsen, H.B.; Weckert, E.; Mo, F.; Mathiesen, R.H. Angle calculations for a six-circle κ diffractometer. J. Appl. Cryst. 2005, 38, 460–470. [Google Scholar] [CrossRef]







| Peaks | H | P-H | ||||||
|---|---|---|---|---|---|---|---|---|
| () | () | (%) | ||||||
| A | 9.49 | ( 0 0 1 2) | (0100) | 1.97 | 0.63 | 185.3 | 185.4 | 48.1 |
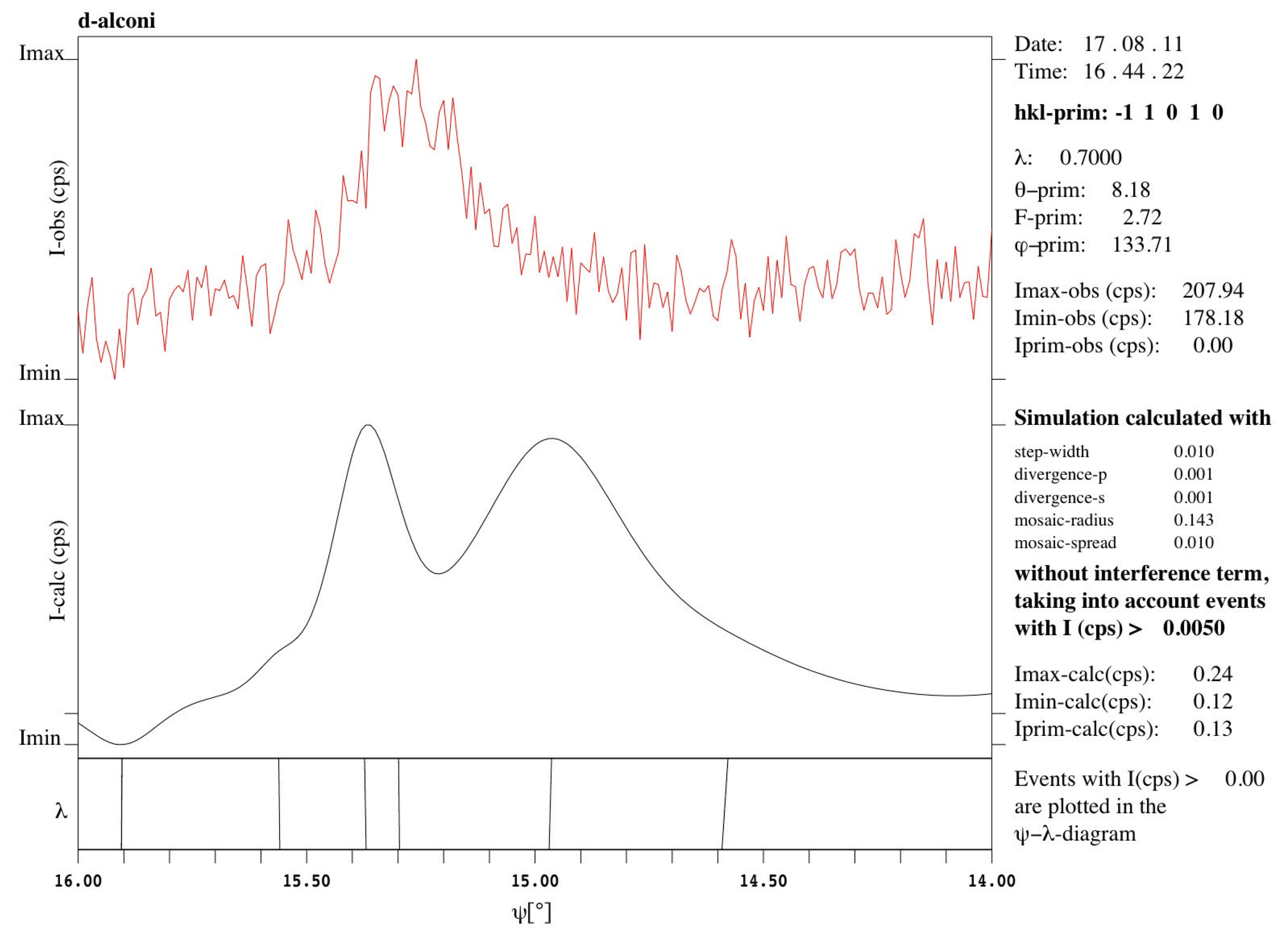
| B | 15.26 | ( 2) | (0222) | 0.17 | 0.12 | 36.6 | 44.4 | 11.5 |
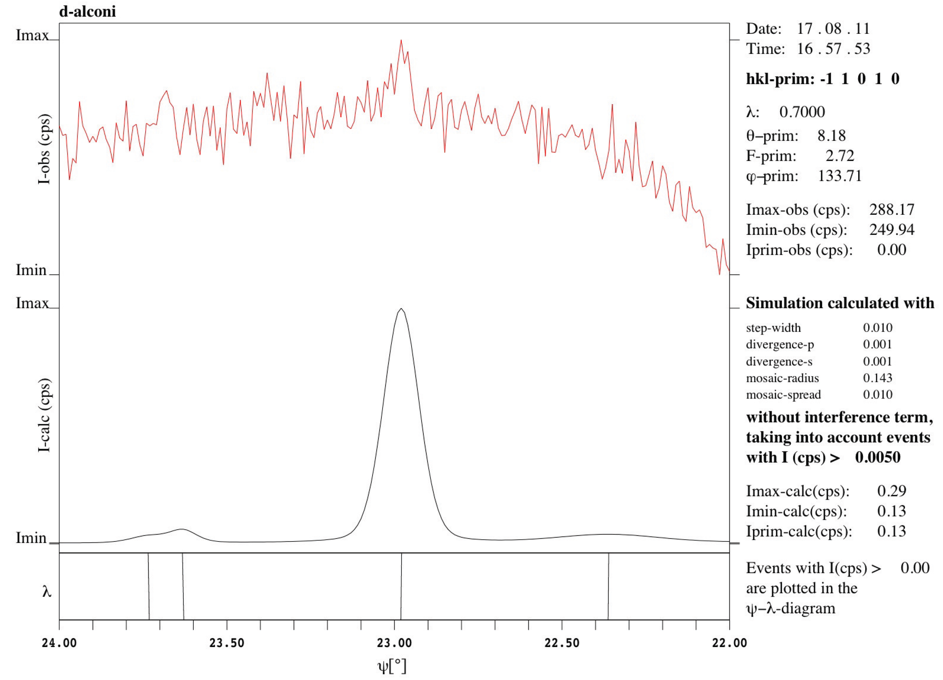
| C | 23.00 | ( 0 0 ) | (01113) | 0.15 | 2.59 | 58.6 | 61.4 | 15.9 |
| D | 28.90 | ( 0 0 3) | (0111) | 0.15 | 2.59 | 58.6 | 59.0 | 15.3 |
| E | 36.58 | ( ) | (02222) | 1.97 | 0.12 | 36.6 | 51.6 | 13.4 |
| (run, frame) | P | H | P-H | ||||
|---|---|---|---|---|---|---|---|
| (1,215) | (14421) | (01101) | (13320) | 724.7 | 77.4 | 393.4 | 379.9 |
| (1,540) | ( 1 0 3) | (00002) | (1 0 1) | 1467.8 | 69.6 | 126.8 | 1259.1 |
| (2,195) | (21116) | (00012) | (21104) | 683.2 | 73.6 | 86.1 | 506.8 |
| (2,254) | ( 0 4) | ( 0 0 1) | (003) | 498.0 | 59.6 | 165.4 | 197.7 |
| (2,332) | (1 0 1 2) | (002) | (1000) | 891.8 | 57.5 | 325.2 | 563.5 |
| (2,549) | ( 0 00) | (0000) | (0000) | 1606.8 | 30.8 | 194.9 | 1357.6 |
| (2,593) | ( 0) | ( 0) | (000 0) | 486.9 | 45.3 | 161.4 | 351.6 |
| (2,664) | ( 0 0 0) | (0012) | (00 ) | 5930.7 | 59.4 | 204.4 | 2811.9 |
Disclaimer/Publisher’s Note: The statements, opinions and data contained in all publications are solely those of the individual author(s) and contributor(s) and not of MDPI and/or the editor(s). MDPI and/or the editor(s) disclaim responsibility for any injury to people or property resulting from any ideas, methods, instructions or products referred to in the content. |
© 2025 by the authors. Licensee MDPI, Basel, Switzerland. This article is an open access article distributed under the terms and conditions of the Creative Commons Attribution (CC BY) license (http://creativecommons.org/licenses/by/4.0/).
