Submitted:
03 November 2025
Posted:
05 November 2025
You are already at the latest version
Abstract
Keywords:
1. Introduction
- Technical impact: How does increasing network density improve the accuracy of solar power forecasts?
- Economic impact: What financial benefits accrue to energy traders and DePIN participants from these accuracy gains?
- Network Density vs. Forecast Accuracy Model: A machine learning model quantifying how node density improves prediction accuracy, validated across multiple geographies.
- Cost-Saving Analysis: We quantify how improvements in forecasting reduce imbalance costs.
- DePIN Profitability Model: A revenue projection model that evaluates DePIN user’s returns for sharing data
2. Literature Review
2.1. Solar Forecasting Methods and Networked Systems
- Physical approaches: These rely on numerical weather prediction (NWP) or satellite imagery to estimate irradiance, subsequently converting this irradiance to expected PV output using device-specific models. While such methods provide physically interpretable forecasts, their accuracy can be limited by coarse weather model resolutions and uncertainty in module characteristics [7,8].
- Statistical approaches: Approaches such as ARIMA, SARIMA, regression-based models, or time-series decomposition exploit historical data to capture seasonality, trends, and temporal correlations [25]. They often require fewer input variables but may struggle with rapid changes in irradiance or small-scale, localized weather phenomena.
- Machine learning and deep learning methods: Artificial Neural Networks (ANNs), Support Vector Machines (SVMs), Random Forests, and more recently Long Short-Term Memory (LSTM) and other deep neural network architectures, have demonstrated strong performance by uncovering nonlinear, high-dimensional relationships in the data [26,27,28]. Various hybrid or ensemble methods, combining physical and data-driven models, can further improve accuracy by leveraging both domain knowledge and large-scale training datasets [29].
2.2. Network Density and Forecasting Accuracy: Insights from Cross-Domain Applications
2.3. Decentralized Physical Infrastructure Networks (DePIN)
2.4. Economic Implications of Forecasting Accuracy
3. Research Methodology
3.1. Data Collection
3.1.1. Dataset Overview
3.2. Data Preprocessing
3.2.1. Outliers Removal
3.2.2. Handling Missing Data
3.2.3. Removal of Negative and Non-Operational Values
3.2.4. Resampling
3.2.5. Normalization
3.3. Input Feature Construction
3.4. Forecasting model
3.4.1. Level 1: Solo Forecasting (No Historical Data)
3.4.2. Level 2: Solo Forecasting with Historical Data
3.4.3. Level 3: Networked Forecasting
Spatial definition of network density.
Feature construction from neighbors.
3.5. Hyperparameter Tuning and Configuration
3.6. Economic model
3.6.1. Imbalance costs
3.6.2. Marginal Benefit Analysis
4. Results
4.1. Forecasting Accuracy
4.1.1. Forecasting Accuracy at Level 1
4.1.2. Forecasting Accuracy at Level 2
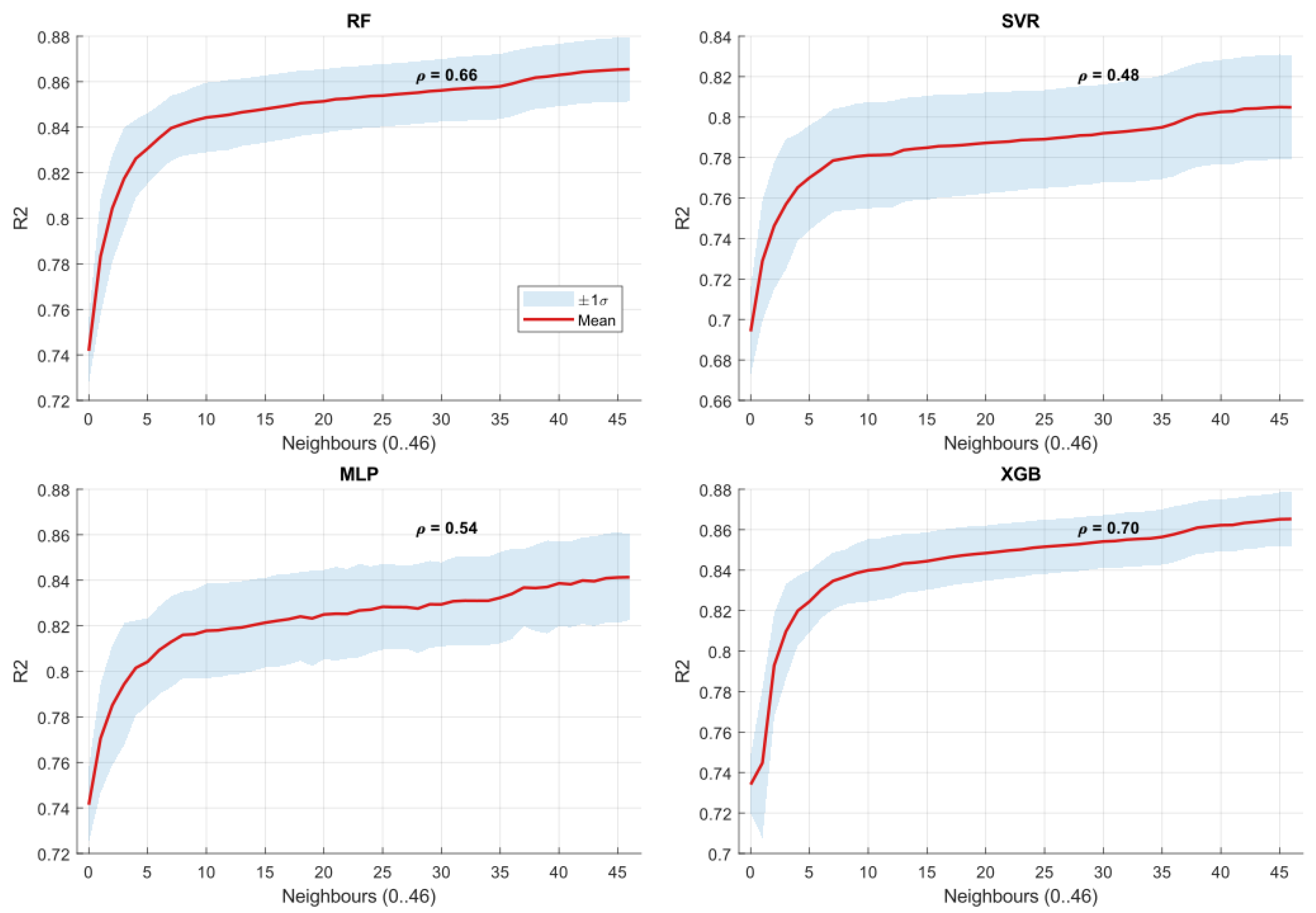
4.1.3. Forecasting Accuracy at Level 3: Impact of Network Density
- XGB consistently achieves the strongest correlations (absolute values ), underlining its robustness to spatial data integration.
- RF follows closely, with correlation values around 0.7–0.8, also indicating high sensitivity to network density.
- SVR and MLP show weaker coefficients (absolute values generally ), reflecting limited responsiveness to neighboring installations.
4.2. Economic impact
4.2.1. Imbalance Costs at Level 1
4.2.2. Imbalance Costs at Level 2
| Model | MAE | Imbalance Cost (€) | Relative Savings (%) |
|---|---|---|---|
| AVG | 0.0795 | 1574 | 2.72 |
| SVR | 0.1061 | 2100 | -29.79 |
| RF | 0.0676 | 1339 | 17.24 |
| XGB | 0.0698 | 1383 | 14.52 |
| MLP | 0.0725 | 1435 | 11.31 |
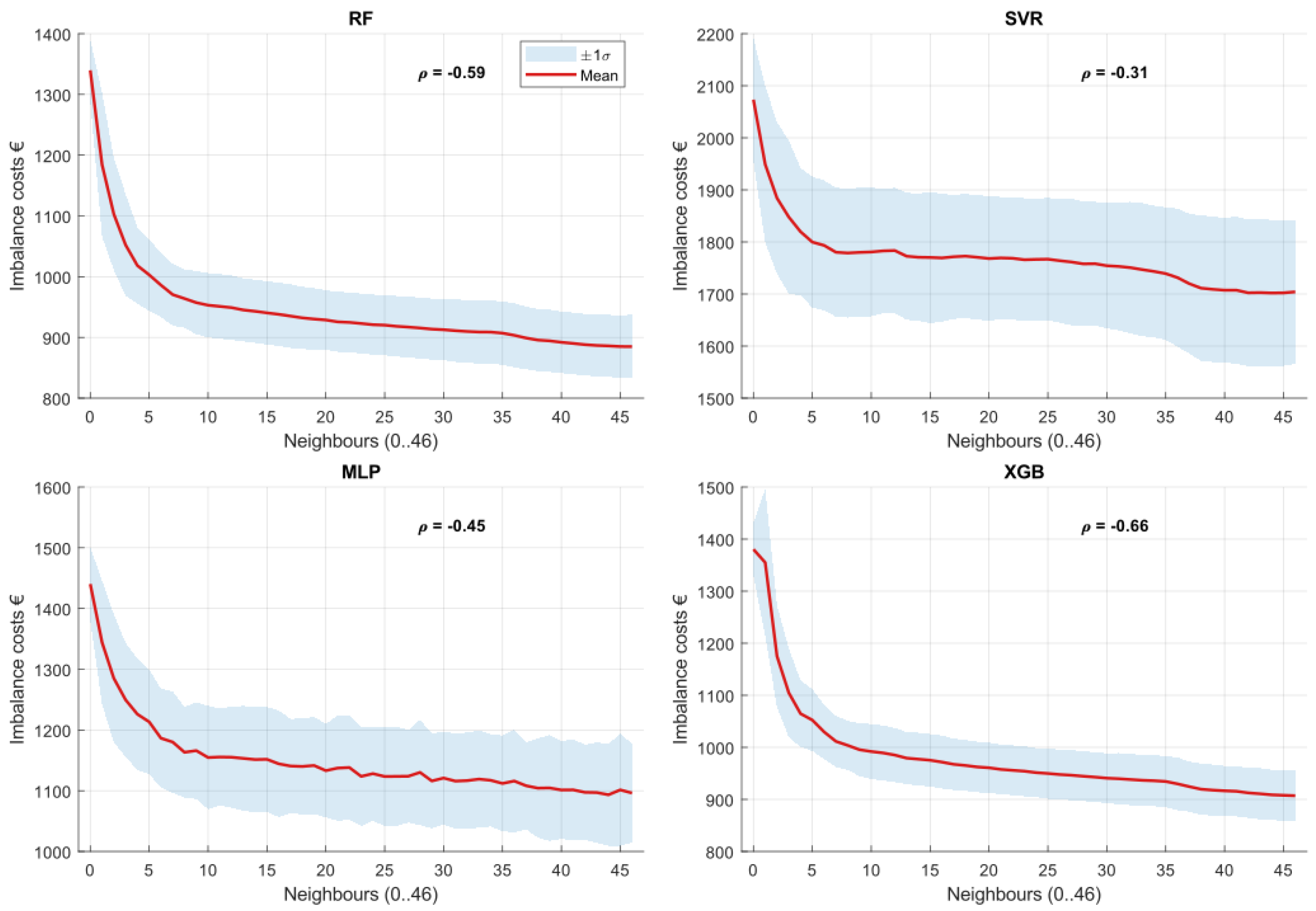
4.2.3. Imbalance Costs at Level 3
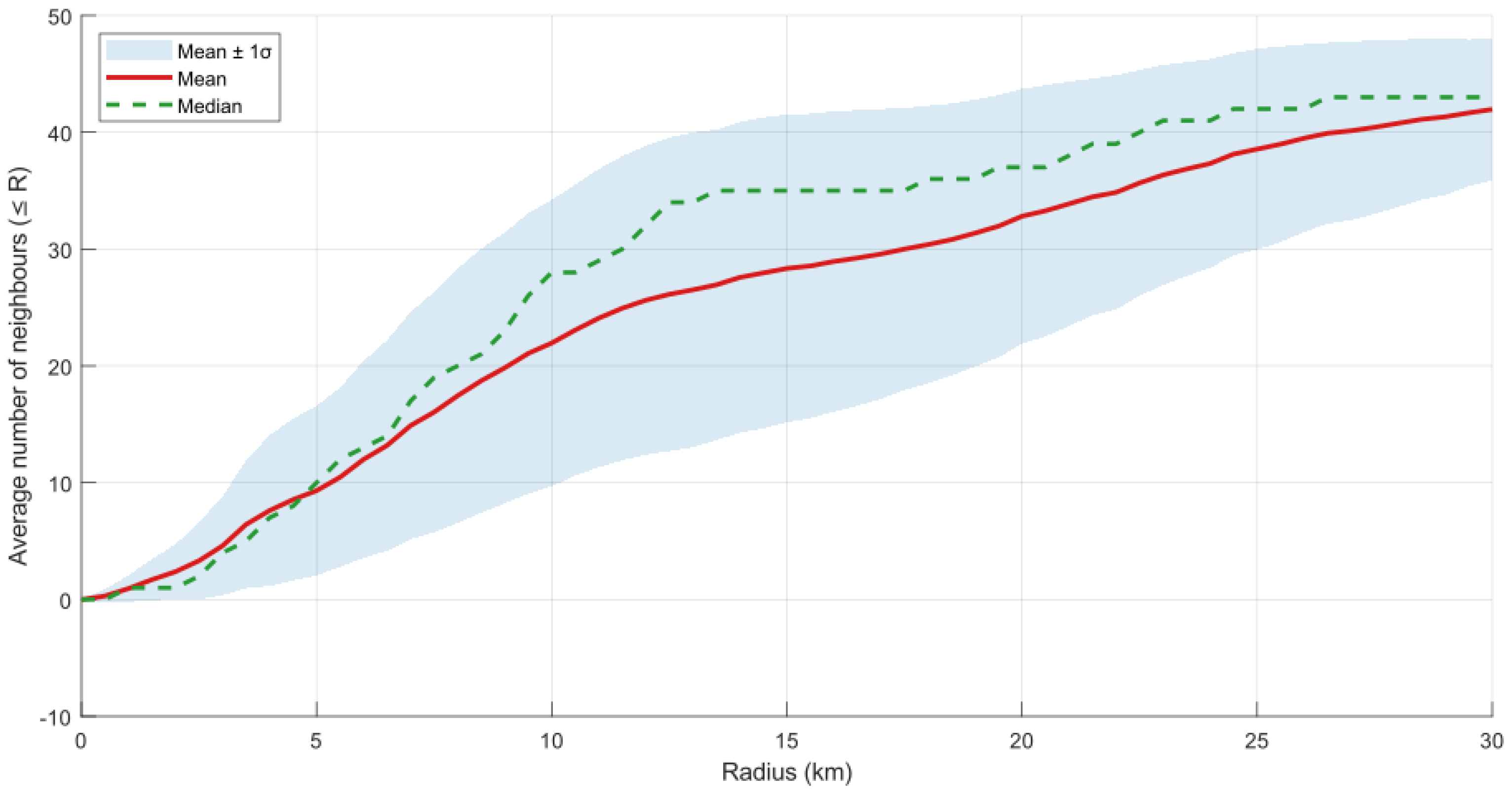
4.2.4. Marginal Benefits and Spatial Analysis
5. Discussion
5.1. Technical Implications for Solar Forecasting
5.2. Economic Viability and Market Transformation
5.3. DePIN as a Solution to Data Fragmentation
5.4. Practical Implementation Considerations
5.5. Limitations and Research Boundaries
5.6. Broader Implications for Energy Transition
6. Conclusion
Data Availability Statement
References
- Intergovernmental Panel on Climate Change (IPCC). Technical Summary. In Climate Change 2021 – The Physical Science Basis; Cambridge University Press, 2023; pp. 35–144. [CrossRef]
- Agency (IEA), I.E. World Energy Outlook 2022. IEA Report 2022.
- Agency (IRENA), I.R.E. Renewable Energy Statistics 2023. IRENA Report 2023.
- Antonanzas, J.; Pozo-Vázquez, D.; Fernandez-Jimenez, L.A.; Martinez-de Pison, F.J. The value of day-ahead forecasting for photovoltaics in the Spanish electricity market. Solar Energy 2017, 158, 140–146. [CrossRef]
- Diagne, M.; David, M.; Lauret, P.; Boland, J.; Schmutz, N. Review of solar irradiance forecasting methods and a proposition for small-scale insular grids. Renewable and Sustainable Energy Reviews 2013, 27, 65–76. [CrossRef]
- Morales, J.M.; Conejo, A.J.; Madsen, H.; Pinson, P.; Zugno, M. Integrating Renewables in Electricity Markets: Operational Problems; Vol. 205, International Series in Operations Research & Management Science, Springer US: Boston, MA, 2014. [CrossRef]
- Inman, R.H.; Pedro, H.T.; Coimbra, C.F. Solar forecasting methods for renewable energy integration. Progress in Energy and Combustion Science 2013, 39, 535–576. [CrossRef]
- Lorenz, E.; Scheidsteger, T.; Hurka, J.; Heinemann, D.; Kurz, C. Regional PV power prediction for improved grid integration. Progress in Photovoltaics: Research and Applications 2011, 19, 757–771. [CrossRef]
- European Union. Regulation (EU) 2023/2854 on harmonised rules on fair access to and use of data (Data Act), 2023.
- European Commission. Commission Regulation (EU) 2017/2195 of 23 November 2017 establishing a guideline on electricity balancing, 2017. Published: Official Journal of the European Union, L 312, 28.11.2017, pp. 6–53.
- CEER. Data Sharing in the Energy Sector: Best Practices and Recommendations. Technical report, Council of European Energy Regulators (CEER), 2022.
- European Data Protection Supervisor. Opinion on Smart Metering. Technical report, EDPS, 2012.
- OECD. Competition and Privacy in Digital Markets: Policy Interactions. Technical report, Organisation for Economic Co-operation and Development, 2024.
- ENTSO-E. ENTSO-E Transparency Platform.
- von der Assen, J.; Killer, C.; De Carli, A.; Stiller, B. Performance Analysis of Decentralized Physical Infrastructure Networks and Centralized Clouds. arXiv preprint arXiv:2404.08306 2024.
- Helium Systems, Inc.. Helium: A Decentralized Wireless Network, 2021.
- Hivemapper Inc.. Hivemapper Litepaper: A Decentralized Mapping Network, 2023.
- Ocean Protocol Foundation. Ocean Protocol: A Decentralized Data Exchange Protocol to Unlock Data for AI, 2020.
- Streamr Network. The Streamr Network: A Decentralized Real-time Data Transport Protocol, 2023.
- Andoni, M.; Robu, V.; Flynn, D.; Abram, S.; Geach, D.; Jenkins, D.; McCallum, P.; Peacock, A. Blockchain technology in the energy sector: A systematic review of challenges and opportunities. Renewable and Sustainable Energy Reviews 2019, 100, 143–174. [CrossRef]
- Alladi, T.; Chamola, V.; Rodrigues, J.J.P.C.; Kozlov, S.A. Blockchain in Smart Grids: A Review on Different Use Cases. Sensors 2019, 19, 4862. [CrossRef]
- Kairouz, P.; McMahan, H.B.; others. Advances and Open Problems in Federated Learning. Foundations and Trends in Machine Learning 2021, 14, 1–210. [CrossRef]
- Energy Web Foundation. Decentralized Operating System (EW-DOS): Digital infrastructure for the energy transition. Technical report, Energy Web, 2020.
- Mellit, A.; Pavan, A.M.; Ogliari, E.; Leva, S.; Lughi, V. Advanced Methods for Photovoltaic Output Power Forecasting: A Review. Applied Sciences 2020, Vol. 10, Page 487 2020, 10, 487. [CrossRef]
- Wang, S.; Li, C.; Lim, A. Why Are the ARIMA and SARIMA not Sufficient, 2019. [CrossRef]
- Mellit, A.; Kalogirou, S.A. Artificial intelligence techniques for photovoltaic applications: A review. Progress in Energy and Combustion Science 2008, 34, 574–632. [CrossRef]
- Lee, W.; Kim, K.; Park, J.; Kim, J.; Kim, Y. Forecasting Solar Power Using Long-Short Term Memory and Convolutional Neural Networks. IEEE Access 2018, 6, 73068–73080. [CrossRef]
- Jang, S.Y.; Oh, B.T.; Oh, E. A Deep Learning-Based Solar Power Generation Forecasting Method Applicable to Multiple Sites. Sustainability 2024, Vol. 16, Page 5240 2024, 16, 5240. [CrossRef]
- Bouzerdoum, M.; Mellit, A.; Massi Pavan, A. A hybrid model (SARIMA–SVM) for short-term power forecasting of a small-scale grid-connected photovoltaic plant. Solar Energy 2013, 98, 226–235. [CrossRef]
- Graabak, I.; Svendsen, H.; Korpås, M. Developing a wind and solar power data model for Europe with high spatial-temporal resolution. Proceedings - 2016 51st International Universities Power Engineering Conference, UPEC 2016 2016, 2017-January, 1–6. [CrossRef]
- Droste, A.M.; Pape, J.J.; Overeem, A.; Leijnse, H.; Steeneveld, G.J.; Van Delden, A.J.; Uijlenhoet, R. Crowdsourcing urban air temperatures through smartphone battery temperatures in São Paulo, Brazil. Journal of Atmospheric and Oceanic Technology 2017, 34, 1853–1866. [CrossRef]
- Hintz, K.S.; Vedel, H.; Kaas, E. Collecting and processing of barometric data from smartphones for potential use in numerical weather prediction data assimilation. Meteorological Applications 2019, 26, 733–746. [CrossRef]
- Simeunović, J.; Schubnel, B.; Alet, P.J.; Carrillo, R.E. Spatio-temporal graph neural networks for multi-site PV power forecasting. IEEE Transactions on Sustainable Energy 2021, 13, 1210–1220. [CrossRef]
- Li, B.; Chen, X.; Jain, A. Enhancing Power Prediction of Photovoltaic Systems: Leveraging Dynamic Physical Model for Irradiance-to-Power Conversion 2024.
- Meier, F.; Fenner, D.; Grassmann, T.; Otto, M.; Scherer, D. Crowdsourcing air temperature from citizen weather stations for urban climate research. Urban Climate 2017, 19, 170–191. [CrossRef]
- Madaus, L.E.; Mass, C.F. Evaluating Smartphone Pressure Observations for Mesoscale Analyses and Forecasts. Weather and Forecasting 2017, 32, 511–531. [CrossRef]
- Gagliardi, G.; Gallelli, V.; Violi, A.; Lupia, M.; Cario, G. Optimal Placement of Sensors in Traffic Networks Using Global Search Optimization Techniques Oriented towards Traffic Flow Estimation and Pollutant Emission Evaluation. Sustainability 2024, Vol. 16, Page 3530 2024, 16, 3530. [CrossRef]
- Harmon, R.R.; Castro-Leon, E.G.; Bhide, S. Smart cities and the Internet of Things. Portland International Conference on Management of Engineering and Technology 2015, 2015-September, 485–494. [CrossRef]
- Ma, X.; Tao, Z.; Wang, Y.; Yu, H.; Wang, Y. Long short-term memory neural network for traffic speed prediction using remote microwave sensor data. Transportation Research Part C: Emerging Technologies 2015, 54, 187–197. [CrossRef]
- Lv, Y.; Duan, Y.; Kang, W.; Li, Z.; Wang, F.Y. Traffic Flow Prediction with Big Data: A Deep Learning Approach. IEEE Transactions on Intelligent Transportation Systems 2015, 16, 865–873. [CrossRef]
- Adsuara, J.E.; Perez-Suay, A.; Munoz-Mari, J.; Mateo-Sanchis, A.; Piles, M.; Camps-Valls, G. Nonlinear distribution regression for remote sensing applications. IEEE Transactions on Geoscience and Remote Sensing 2019, 57, 10025–10035. [CrossRef]
- Mateo-Sanchis, A.; Piles, M.; Muñoz-Marí, J.; Adsuara, J.E.; Pérez-Suay, A.; Camps-Valls, G. Synergistic integration of optical and microwave satellite data for crop yield estimation. Remote Sensing of Environment 2019, 234, 111460. [CrossRef]
- Zhao, W.; Chuluunbat, G.; Unagaev, A.; Efremova, N. Soil nitrogen forecasting from environmental variables provided by multisensor remote sensing images 2024.
- Soussi, A.; Zero, E.; Sacile, R.; Trinchero, D.; Fossa, M. Smart Sensors and Smart Data for Precision Agriculture: A Review. Sensors 2024, Vol. 24, Page 2647 2024, 24, 2647. [CrossRef]
- Chen, S.; Jiang, M.; Luo, X. Exploring the Security Issues of Real World Assets (RWA). DeFi 2024 - Proceedings of the Workshop on Decentralized Finance and Security, Co-Located with: CCS 2024 2024, pp. 31–40. [CrossRef]
- Oyebanji, O. RWA Tokenization: Catching Up With The Numbers, The Institutional Players, And The Market Predictions. SSRN Electronic Journal 2024. [CrossRef]
- Ballandies, M.C.; Wang, H.; Law, A.C.C.; Yang, J.C.; Gösken, C.; Andrew, M. A Taxonomy for Blockchain-based Decentralized Physical Infrastructure Networks (DePIN). arXiv preprint arXiv:2309.16707 2023.
- Dzhunev, P. Helium Network - Integration of Blockchain Technologies in the Field of Telecommunications. 13th National Conference with International Participation, ELECTRONICA 2022 - Proceedings 2022. [CrossRef]
- Čerba, O.; Andrš, T.; Fournier, L.; Vaněk, M. Cartography & Web3. International Journal of Cartography 2023, 9, 437–448. [CrossRef]
- 2025 Arkreen Network. What is Arkreen | Arkreen Documentation.
- Perez, R.; Schlemmer, J.; Hemker, K.; Kivalov, S.; Kankiewicz, A.; Dise, J. Solar energy forecast validation for extended areas & economic impact of forecast accuracy. Conference Record of the IEEE Photovoltaic Specialists Conference 2016, 2016-November, 1119–1124. [CrossRef]
- Kraas, B.; Schroedter-Homscheidt, M.; Madlener, R. Economic merits of a state-of-the-art concentrating solar power forecasting system for participation in the Spanish electricity market. Solar Energy 2013, 93, 244–255. [CrossRef]
- Brancucci Martinez-Anido, C.; Botor, B.; Florita, A.R.; Draxl, C.; Lu, S.; Hamann, H.F.; Hodge, B.M. The value of day-ahead solar power forecasting improvement. Solar Energy 2016, 129, 192–203. [CrossRef]
- Goodarzi, S.; Perera, H.N.; Bunn, D. The impact of renewable energy forecast errors on imbalance volumes and electricity spot prices. Energy Policy 2019, 134. [CrossRef]
- Kaur, A.; Nonnenmacher, L.; Pedro, H.T.; Coimbra, C.F. Benefits of solar forecasting for energy imbalance markets. Renewable Energy 2016, 86, 819–830. [CrossRef]
- Jónsson, T.; Pinson, P.; Madsen, H. On the market impact of wind energy forecasts. Energy Economics 2010, 32, 313–320. [CrossRef]
- González-Aparicio, I.; Zucker, A. Impact of wind power uncertainty forecasting on the market integration of wind energy in Spain. Applied Energy 2015, 159, 334–349. [CrossRef]
- Pierro, M.; Perez, R.; Perez, M.; Moser, D.; Cornaro, C. Italian protocol for massive solar integration: Imbalance mitigation strategies. Renewable Energy 2020, 153, 725–739. [CrossRef]
- Van Der Veen, R.A.; Hakvoort, R.A. Balance responsibility and imbalance settlement in Northern Europe - An evaluation. 2009 6th International Conference on the European Energy Market, EEM 2009 2009. [CrossRef]
- Cui, J.; Gu, N.; Zhao, T.; Wu, C.; Chen, M. Forecast Competition in Energy Imbalance Market. IEEE Transactions on Power Systems 2022, 37, 2397–2413. [CrossRef]
- Molin, L. PREDICTING ELECTRICITY IMBALANCE PRICES.
- Wang, Y.; Millstein, D.; Mills, A.D.; Jeong, S.; Ancell, A. The cost of day-ahead solar forecasting errors in the United States. Solar Energy 2022, 231, 846–856. [CrossRef]
- Visser, L.R.; AlSkaif, T.A.; Khurram, A.; Kleissl, J.; van Sark, W.G. Probabilistic solar power forecasting: An economic and technical evaluation of an optimal market bidding strategy. Applied Energy 2024, 370, 123573. [CrossRef]
- Visser, L.R.; Elsinga, B.; Alskaif, T.A.; Van Sark, W.G. Open-source quality control routine and multi-year power generation data of 175 PV systems. Journal of Renewable and Sustainable Energy 2022, 14. [CrossRef]
- Klyve, O.S.; Nygård, M.M.; Riise, H.N.; Fagerström, J.; Marstein, E.S. The value of forecasts for PV power plants operating in the past, present and future Scandinavian energy markets. Solar Energy 2023, 255, 208–221. [CrossRef]
- Das, S.S.; Das, A.; Dawn, S.; Gope, S.; Ustun, T.S. A Joint Scheduling Strategy for Wind and Solar Photovoltaic Systems to Grasp Imbalance Cost in Competitive Market. Sustainability 2022, Vol. 14, Page 5005 2022, 14, 5005. [CrossRef]
- Salem, T.S.; Kathuria, K.; Ramampiaro, H.; Langseth, H. Forecasting Intra-Hour Imbalances in Electric Power Systems. Proceedings of the AAAI Conference on Artificial Intelligence 2019, 33, 9595–9600. [CrossRef]
- Moon, H.; Lee, D.; Han, J.; Yoon, Y.; Kim, S. Impact of Imbalance Pricing on Variable Renewable Energies with Different Prediction Accuracies: A Korean Case. Energies 2021, Vol. 14, Page 3976 2021, 14, 3976. [CrossRef]
- Benallal, H.; Abouelaziz, I.; Mourchid, Y.; Falou, A.A.; Tairi, H.; Riffi, J.; Hassouni, M.E. A new approach for removing point cloud outliers using the standard score. 10.1117/12.2618835 2022, 12101, 56–62. [CrossRef]
- Haurwitz, B. Isolation in relation to cloud type. Journal of Atmospheric Sciences 1948, 5, 110–113.
- de Boer, S. The Dutch electricity sector - part 4: Changing electricity markets present opportunities and risks for businesses and households. RaboResearch 2024.
- Corn, M.; Murko, A.; Podržaj, P. DePIN Solar Forecasting Dataset — 47 PV Systems (Utrecht, NL). https://github.com/markocorn/depin-solar-forecasting-data-47pv, 2025. Accessed: 2025-01-30.







| Model | RF (Random Forest) |
|---|---|
| Hyperparameters | n_estimators, max_depth, min_samples_split, min_samples_leaf, bootstrap, max_features |
| Search range | 100–500, 3–20, 2–10, 1–4, {True,False}, {sqrt,log2} |
| Model | XGB (XGBoost) |
| Hyperparameters | learning_rate, n_estimators, max_depth, subsample, colsample_bytree, reg_alpha, reg_lambda |
| Search range | 0.01–0.3, 100–500, 3–15, 0.7–1.0, 0.7–1.0, 0–1, 0–1 |
| Model | SVR |
| Hyperparameters | C, gamma, kernel, epsilon |
| Search range | 0.1–10, {scale,auto}, {rbf,linear}, 0.01–0.1 |
| Model | MLP |
| Hyperparameters | hidden_layer_sizes, activation, solver, alpha, learning_rate_init, early_stopping |
| Search range | {(32,), (64,), (32,32), (64,64)}, {relu,tanh}, adam, 0.0001–0.1, 0.001–0.01, {True,False} |
| Training config. | TimeSeriesSplit(n_splits=5), random_state=42, n_jobs=-1, scoring=MAE, n_iter=50 |
| Metric | Mean | Standard Deviation |
|---|---|---|
| MAE | 0.0817 | 0.0045 |
| RMSE | 0.1488 | 0.0075 |
| 0.6313 | 0.0407 |
| Model | MAE | RMSE | |
|---|---|---|---|
| AVG | 0.0795 ± 0.0040 | 0.1496 ± 0.0062 | 0.6416 ± 0.0222 |
| SVR | 0.1046 ± 0.0060 | 0.1325 ± 0.0054 | 0.6941 ± 0.0215 |
| RF | 0.0676 ± 0.0026 | 0.1218 ± 0.0047 | 0.7418 ± 0.0140 |
| XGB | 0.0697 ± 0.0026 | 0.1236 ± 0.0048 | 0.7340 ± 0.0145 |
| MLP | 0.0727 ± 0.0031 | 0.1213 ± 0.0050 | 0.7414 ± 0.0164 |
| Network Configuration | Imbalance Cost (€) |
|---|---|
| Level 2 (0 neighbors) | 1339 |
| Level 3 (5 neighbors) | 1260 |
| Level 3 (10 neighbors) | 1210 |
| Level 3 (15 neighbors) | 1190 |
| Level 3 (46 neighbors) | 1175 |
| Radius (km) | Mean | Median | Std Dev | Network Phase |
|---|---|---|---|---|
| 2.5 | 3.32 | 2.00 | 3.30 | Immediate neighborhood |
| 5.0 | 9.32 | 10.00 | 7.26 | Local cluster formation |
| 7.5 | 16.04 | 19.00 | 10.29 | Cluster integration |
| 10.0 | 21.96 | 28.00 | 12.26 | Regional network |
| 15.0 | 28.34 | 35.00 | 13.17 | Near-complete connectivity |
| 20.0 | 32.81 | 37.00 | 10.90 | Saturation phase |
| 30.0 | 41.96 | 43.00 | 6.07 | Full network integration |
Disclaimer/Publisher’s Note: The statements, opinions and data contained in all publications are solely those of the individual author(s) and contributor(s) and not of MDPI and/or the editor(s). MDPI and/or the editor(s) disclaim responsibility for any injury to people or property resulting from any ideas, methods, instructions or products referred to in the content. |
© 2025 by the authors. Licensee MDPI, Basel, Switzerland. This article is an open access article distributed under the terms and conditions of the Creative Commons Attribution (CC BY) license (http://creativecommons.org/licenses/by/4.0/).