Preprint
Article

This version is not peer-reviewed.

Burden of Soil-Transmitted Helminth Infections in China: Historical Trends (1990–2021) and Future Projections (2035)

  † These authors contributed equally to this work.

A peer-reviewed article of this preprint also exists.

Submitted:

06 October 2025

Posted:

07 October 2025

You are already at the latest version

Abstract
Background: Soil-transmitted helminth (STH) infections, including ascariasis, trichuriasis, and hookworm disease, are among the most common neglected tropical diseases (NTD) globally. This study evaluates the disease burden of STH in China from 1990 to 2021 and projects trends to 2035. Methods: Data from the Global Burden of Disease 2021 database were utilized to analyze the prevalence and disability-adjusted life years (DALYs) of STH infections in China from 1990 to 2021. The estimated annual percentage change (EAPC) was calculated to assess trends over time. The Bayesian age-period-cohort model was used to project the disease burden up to 2035. Results: From 1990 to 2021, the prevalence and DALYs of STH infections in China decreased significantly by 85.08% and 98.01%, respectively. The age-standardized prevalence rate (ASPR) dropped from 34,073.24 per 100,000 to 4,981.01 per 100,000, with an EAPC of -6.62% [95% confidence interval (CI): -7.40%, -5.83%]. The age-standardized DALY rate (ASDR) decreased from 1.77 per 100,000 to 0.18 per 100,000, with an EAPC of -14.05% (95% CI: -15.04%, -13.06%). Trichuriasis contributed to 78.85% of the total ASPR for STH, whereas hookworm accounted for 51.14% of STH’s ASDR. The highest burden peaked in the 5-9 age group, with prevalence of 8,030.05 [95% uncertainty interval (UI): 5,356.86-11,662.62] and DALYs of 2.99 (95% UI: 1.56-4.87) per 100,000 people. The projected ASDR and ASPR of trichuriasis are rose to 0.55 and 5362.50 per 100,000 by 2035. Conclusion :China has achieved remarkable reductions in the burden of STH infections over the past three decades. However, the predominance between the species has changed. The projected rebound in trichuriasis underscores the importance of sustained control efforts. To achieve the 2030 elimination target outlined in the WHO NTD roadmap, it will be crucial to integrate precision epidemiology with ongoing water, sanitation, and hygiene initiatives, targeted chemotherapy and health education.
Keywords: 
;  ;  ;  ;  ;  

1. Introduction

Soil-transmitted helminths (STH), including Ascaris lumbricoides, Trichuris trichiura and hookworms, require a developmental soil phase for maturation and are transmitted via soil contaminated by human feces [1]. Symptoms of STH infections, such as asthenia, abdominal pain, diarrhoea and loss of appetite, are usually non-specific and only noticeable in severe cases. These infections contribute to malnutrition and anemia, leading to adverse effects on physical growth and cognitive development, particularly in children [2,3].
STH infections have been recognized as the most common neglected tropical disease (NTD) by World Health Organization (WHO) [4]. Worldwide, STH infections have impacted around 1.5 billion people, which accounts for 24% of the global population. Predominantly, these infections target impoverished communities in tropical and subtropical regions [5].
In China, STH infections were once a widespread and serious public health concern. With the development of socioeconomy and changes in lifestyle, the transmission trends and patterns of STH are undergoing significant changes. The STH has been demonstrated decreased consistently according to the three national surveys of important human parasitic diseases [6,7]. From 1988-1992 to 2014-2015, the overall prevalence rate fell sharply from 53.6% to 4.5%. In particular, the prevalence of ascarias dropped from 47.0% to 1.4%, trichuriasis from 18.8% to 1.0%, and hookworm disease from 17.2% to 2.6%. Nevertheless, the disease burden in terms of DALYs was not assessed in these surveys, and no national epidemiological data has been available since 2016 due to the ongoing fourth national survey. Nowadays, the WHO 2021-2030 road map for NTD aims to elimination STH as a public health problem in 96% of countries by 2030 [8].
Consequently, a comprehensive analysis of the epidemiological features of these infections across China is urgently needed to provide a basis for developing targeted prevention and control strategies for STH infections. The Global Burden of Disease Study (GBD) data have offered valuable health measurement across a broad spectrum of health outcomes at global, regional, and national levels [9,10]. This study leveraged the GBD 2021 dataset to evaluate the disease burden of STH, encompassing ascariasis, trichuriasis and hookworm disease, in China from 1990 to 2021. It elucidated the prevalence and DALYs across different age groups and genders, and projected the burden of STH through 2035.

2. Methods

2.1. Data Source

The data utilized in this study were derived from the GBD 2021 open database, which encompasses 204 countries and territories globally and features epidemiological indicators for 371 diseases and injuries [9]. The prevalence and disability-adjusted life years (DALYs) of STH infections, including ascariasis, trichuriasis, and hookworm disease, were extracted for the period of 1990–2021 using the GBD Results Tool available on the Global Health Data Exchange (GHDx) online platform. Cases of STH infections, hookworm disease, ascariasis, and trichuriasis were represented by the International Classification of Diseases (ICD) 10th editions codes: B76-B77, B79.
DALYs were derived by summing years of life lost (YLLs) and years lived with disability (YLDs) of these disease. The age standardization prevalence rates (ASPR) and age standardization DALYs rates (ASDR) were standardized based on the global population from GBD 2021.

2.2. Statistical Analysis

The estimated annual percentage change (EAPC) was employed to track trends in both age-standardized and age-specific prevalence and DALY rates of STH infections from 1990 to 2021. The EAPC is calculated by fitting the natural logarithm of the rates to a linear regression model with time as the variable, and then using the slope of this line. The calculation formula was y = α + βx + ε, EAPC = 100 × (exp(β) − 1). In the model, y is the natural logarithm of rates, x is the year, α is the intercept, β is the slope representing the annual change rate, and ε is the error term.
An EAPC greater than zero indicates an increasing trend, whereas an EAPC less than zero signifies a decreasing trend. The 95% confidence interval (CI) for β was computed to evaluate estimate uncertainty. A trend is considered statistically significant if the lower bound of the 95% CI is above zero (for an increase) or the upper bound is below zero (for a decrease) [11].
The Bayesian age-period-cohort (BAPC) model was utilized to project the future trends of the disease burden extending to 2030 [12]. Prior investigations have demonstrated that the BAPC model exhibited superior coverage and precision [13,14]. The projected population data from 1990 to 2035 were sourced from the Department of Economic and Social Affairs Population Division of United Nations (https://population.un.org/wpp/).
Statistical analyses were conducted using R software (v4.4.2, Lucent Technologies, Jasmine Mountain, USA). Projection was conducted using the BAPC package, while data visualization was created by ggplot2 package, with the significance threshold set at α = 0.05.

3. Results

3.1. Temporal Trends of Disease Burden of STH Infections from 1990 to 2021

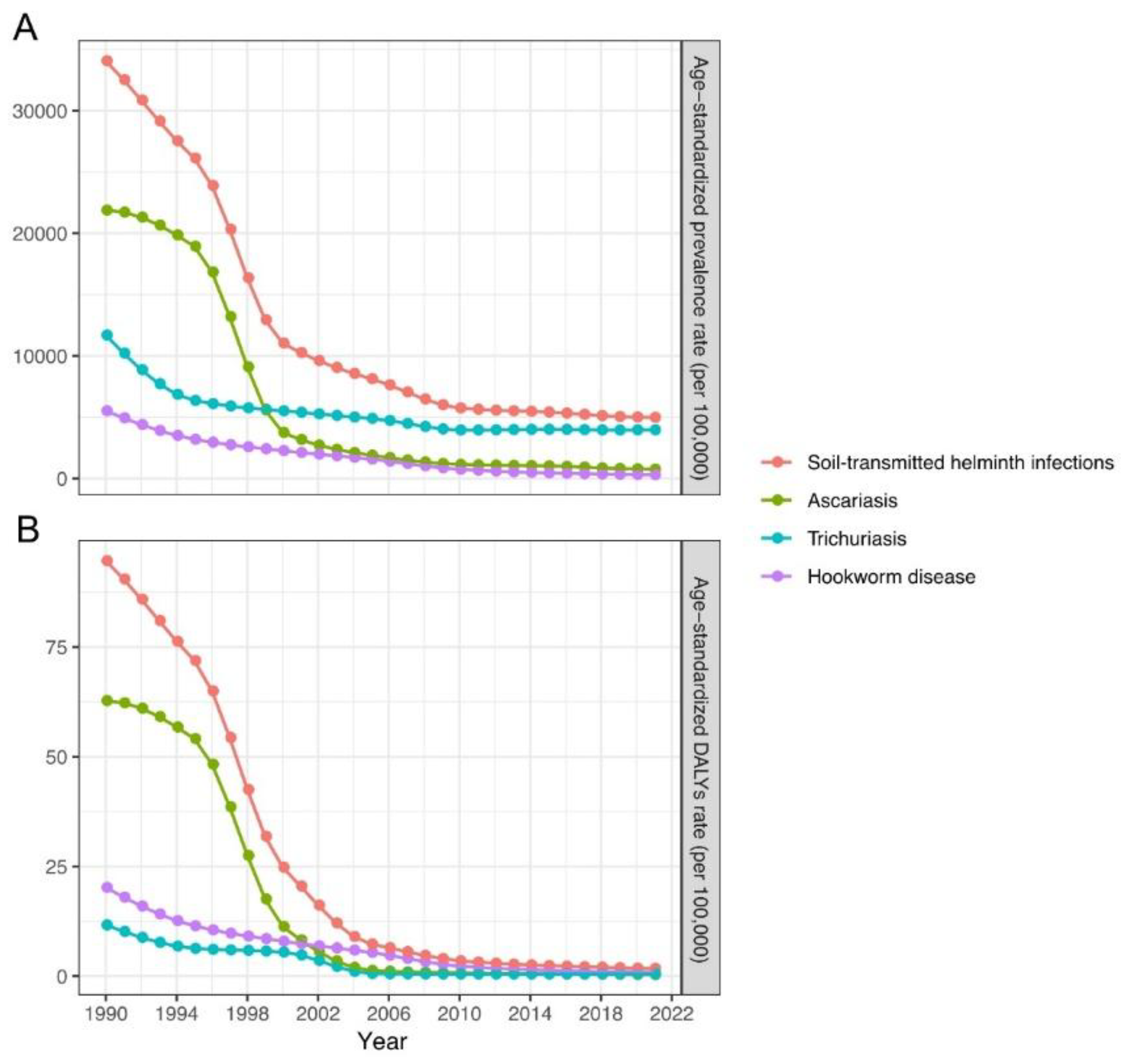
From 1990 to 2021, the number of prevalent cases of STH infections in China decreased significantly by 85.08%, from 411,914,391.13 (95% UI: 322,607,262.30 - 514,156,693.53) to 61,446,507.17 (95% UI: 40,508,264.84 - 89,273,607.63). Over the same period, the ASPR dropped from 34,073.24 per 100,000 people (95% UI: 26,662.68 - 42,442.11 per 100,000 people) to 4,981.01 per 100,000 people (95% UI: 3,271.48 - 7,261.58 per 100,000 people), with an EAPC of -6.62% (95% CI: -7.40%, -5.83%) (Table 1). Throughout this period, a sustained downward trend of ASPR was presented (Figure 1), and the ASPR for STH infections was continuously greater in males than in females (Figure 2).
In 2021, China’s estimated DALYs due to STH infections were 22,657.60 (95% UI: 11,600.37 - 37,867.68), with an ASDR of 1.77 per 100,000 people (95% UI: 0.92 - 2.94 per 100,000 people). From 1990 to 2021, DALYs decreased by 98.01%, with an EAPC of -14.05% (95% CI: -15.04%, -13.06%). Similar to the ASPR trend, this period saw a significant decline of ASDR. From 1990 to 2021, females had a higher ASDR compared to males.

3.2. Disease Burden Among Specific Species of STH Infections from 1990 to 2021

In terms of parasite species, the largest decline in ASPR was observed for ascariasis, from 21891.20 per 100,000 people (95% UI: 13750.91- 31616.95 per 100,000 people) to 757.57 per 100,000 people (95% UI: 340.82 - 1451.22 per 100,000 people), with an EAPC of -11.77% (95% CI: -13.11%, -10.40%). Meanwhile, the EAPC of trichuriasis and Hookworm disease from 1990 to 2021 were -2.82% (95% CI: -3.29%, -2.35%) and -9.26% (95% CI: -9.58%, -8.93%), respectively (Supplementary Table S1).
The ASDR mirrors the trend of the ASPR, with ascariasis experiencing the most significant decline, having an EAPC of -18.22% (95% CI: -20.02%, -16.36%). Over the period from 1990 to 2021, the EAPC for trichuriasis was -11.66% (95% CI: -13.33%, -9.96%), and for Hookworm disease was -10.02% (95% CI: -10.40%, -9.63%).
From 1990 to 2021, the proportion of trichuriasis in the ASPR of STH infections rose from 29.91% to 78.85%. In contrast, the proportion of ascariasis dropped from 55.98% to 15.06%, while that of Hookworm decreased from 14.12% to 6.10%. Regarding ASDR, the proportion of Hookworm increased from 21.36% to 51.14%, trichuriasis rose slightly from 12.31% to 27.84%, while ascariasis decreased significantly from 66.31% to 21.02% during this period (Figure 3).
In terms of gender, males had a higher ASPR for trichuriasis and Hookworm disease during the period. In addition, from 1990 to 1992, the ASPR for ascariasis was higher in females than in males. This trend reversed from 1993 to 2004, the ASPR was higher in males. Since 2005, the ASPR in females exceeded that of males once more.
ASDR for Hookworm disease was consistently higher in females than in males, while the situation was reversed for trichuriasis. For ascariasis, females had a higher ASDR than males during 1990 to 2001. This pattern changed since 2002, with males having a higher ASDR than females (Figure 2).

3.3. Age Patterns of Disease Burden of STH Infections from 1990 to 2021

In 2021, the most prevalent number of STH infections was recorded among children aged 5-9 years [7,690,412.32 (95% UI: 5,130,281.22 - 11,169,338.98)], showing a downward trend with advancing age. The prevalence rate exhibited a similar trend, peaking at 8,030.05 per 100,000 people (95% UI: 5,356.86–11,662.62 per 100,000 people) in this age group (Figure 4).
From 1990 to 2021, prevalent cases of STH infections decreased in most age groups, except for a 29.1% increase in those aged 95 and above. Meanwhile, prevalence rate declined across all age groups, with the 90–94 age group showing the largest decrease (EAPC: -8.62%, 95% CI: -9.49%, -7.75%) (Figure 5, Supplementary Table S2).
The DALY numbers of STH infections peaked in the 5-9 age group at 2860.52 cases (95% UI: 1495.79 - 4665.90), declining gradually with age in 2021. From 1990 to 2021, DALY numbers declined across all age groups, with the most substantial reduction in the 20-24 age group, which saw a 98.86% decrease.
In 2021, the 5-9 age group has the highest burden of STH infections, with 2.99 DALYs per 100,000 people (95% UI: 1.56 - 4.87). From 1990 to 2021, DALY rates declined across all age groups, with the most significant reduction in the 30-34 age group, which had an EAPC of -14.56% (95% CI: -15.78%, -13.32) (Supplementary Table S2).
In parasite species terms, the 5-9 age group had the highest prevalence rate for Ascariasis, Trichuriasis, and Hookworm infections. Similarly, the DALYs for Ascariasis and Hookworm infections peaked in the 5-9 age group. In contrast, the highest DALYs for Trichuriasis was observed in the 10-14 age group in 2021.
From 1990 to 2021, Trichuriasis saw the largest declines in prevalence and DALYs among the 10-14 age group [EAPCs: -2.89% (95% CI: -3.35%, -2.41%), -11.82%(95% CI: -13.51%, -10.08%)]. Ascariasis had the greatest prevalence decline in both 55-59 and 90-94 age groups [EAPC: -11.95% (95% CI: -13.32%, -10.56%)] and the largest DALY decline in the 20-24 age group [EAPC: -19.76% (95% CI: -22.05%, -17.41%). Hookworm’s highest prevalence decline was in the 25-29 age group [EAPC: -9.46% (95% CI: -9.79%, -9.12%)], with the largest DALY decline in the under 5 years age group [EAPC: -10.18% (95% CI: -10.58%, -9.78%)] (Figure 5).

3.4. Projections of the Disease Burden Among STH Infections Up to 2035

The ASDR of STH infections is projected to decline slightly to 1.07 per 100,000 by 2035, indicating a 39.20% reduction from 2021 levels. Conversely, the ASPR is anticipated to rise to 6032.44 per 100,000 by 2035 with a 22.23% increase from 2021 (Figure 6).
Regarding specific species, both ASDR and ASPR of Ascariasis and Hookworm disease are predicted to continue declining to 2035. However, the ASDR and ASPR for Trichuriasis are both projected to experience a increase to 0.55 per 100,000 and 5362.50 per 100,000, with a 16.47% and 49.97% rise from 2021 (Supplementary Table S3).

4. Discussion

This study offers a comprehensively analysis of the spatial and temporal dynamics of STH infections in China across a 30-year span, with projections extending to 2035. We demonstrate a sustained, marked decline in both prevalence (-85%) and DALYs (-98%) between 1990 and 2021, while uncovering varied trends across age and parasite species.
The pronounced decline in the disease burden of STH infections in China from 1990 to 2021 attributed to sustained socioeconomic development, poverty reduction, improved water, sanitation, and hygiene (WASH) access, and periodic deworming campaigns [15]. In 1992, the China’s national parasitic disease control program (“eighth five-year” plan and 2000 plan) was issued, and mass deworming campaigns were administered [16]. Consequently, the ASPR and ASDR of STH infections experienced the most noteworthy significant declines during the period from 1992 to 2000. The steeper EAPC for ASDR (-14.05%) relative to ASPR (-6.62%) indicates that not only infection frequency but also clinical severity and sequelae have diminished [17], consistent with observations that periodic anthelmintic treatment can reduce stunting and anaemia even when transmission continues [18].
Not only has the burden of STH decreased markedly, but the predominance between the special species has also changed. Trichuriasis now accounts for 78.85% of the ASPR and hookworm for 51.14% of the ASDR in 2021, reversing the historical dominance of ascariasis observed in the 1988-1992 national survey [6]. Improved sanitation was associated with lower risk of trichuriasis and ascariasis, but not with hookworm [19]. Previous research has identified barefoot farming as a significant risk factor for hookworm, with higher barefoot labor frequency correlating to increased infection risk [20,21]. Thus, as the dominant species of STH, implementation of community-based intervention such as altering the practice of barefoot labor is crucial for controlling hookworm disease [22].
The prevalence and DALYs of STH peak in the 5-9 years age group and decline with increasing age, aligning with findings from the STH’s global burden study [23] and other studies [24,25]. This also supports the WHO’s assertion that school age children remain the sentinel population for STH transmission. Factors such as the number of siblings, maternal education level and drinking unboiled water were found to correlated with the risk of STH infections among school aged children [26]. The burden of STH declined in all other age groups, yet the number of prevalent case rose by 29.1% among those aged over 95, likely attributable to the aging in China [27]. The elderly may be more susceptible to STH due to the decline of immunity.
By 2035, the ASDR of STH infections is projected to decline, while the ASPR is expected to increase slightly. Notably, trichuriasis is anticipated to experience a significant rebound, with its ASDR and ASPR projected to increase by 16.47% and 49.97%, respectively. This highlights the potential resurgence of the disease if intervention coverage wanes, alerting Chinese policymakers to the risk of recrudescence without sustained control. Benzimidazoles are less effective against trichuris trichiura, with a single-dose cure rate of around 30%, compared to 90-95% for ascaris lumbricoides [28]. Additionally, there is a possibility that drug resistance may become prevalent, which could derail efforts to control trichuris trichiura [29]. Monitoring benzimidazole efficacy and exploring new treatment strategies are essential for controlling trichuriasis [30].
This study also has several limitations. Firstly, it relies on the GBD database, which aggregates data only at the national level and does not include province-level data of China. This may obscure important epidemiological nuances across different regions. Secondly, the GBD 2021 database covers only three types of STH—ascaris lumbricoides, trichuris trichiura and hookworm, and excluding other significant species such as strongyloides stercoralis and enterobius vermicularis. This exclusion limits the comprehensive understanding of STH prevalence. The true prevalence of these infections remains unclear, highlighting the need for further systematic parasitological surveys to accurately assess their impact on human health.

5. Conclusions

Over the past three decades, China has achieved remarkable reductions in STH infections. School-age children have borne the highest burden. The disease burden attributed to trichuriasis and hookworm infections surpasses that of ascariasis. Projections suggest that prevalence and DALYs of trichuriasis may increase by 2035. To achieve the 2030 elimination target outlined in the WHO NTD roadmap, it will be crucial to integrate precision epidemiology with ongoing WASH initiatives, targeted chemotherapy and health education.

Supplementary Materials

The following supporting information can be downloaded at the website of this paper posted on Preprints.org

Author Contributions

Conceptualization: W.W.; Data collection and Formal analysis: B.X.N. and Y.Z.Z.; Statistical analyses: B.X.N. and Y.Z.Z.; Resources and funding: W.W.; Data Curation: B.X.N.; Writing—original draft: B.X.N. and Y.Z.Z.; Review & Editing: L.Q.T. and W.W. All authors have read and agreed to the published version of the manuscript.

Funding

This research was funded by Chinese Preventive Medicine Association (grant no. 2025-47).

Institutional Review Board Statement

The publicly available GBD data utilized in this study do not necessitate ethical review.

Informed Consent Statement

Not applicable.

Data Availability Statement

All data presented in this study are available upon request by contact with the corresponding author.

Acknowledgments

We would like to thank the anonymous reviewers for their kind comments on our submission.

Conflicts of Interest

The authors declare no conflicts of interest.

References

  1. Guideline: Preventive Chemotherapy to Control Soil-Transmitted Helminth Infections in At-Risk Population Groups. Geneva: World Health Organization; 2017.
  2. Jourdan, P.M., et al., Soil-transmitted helminth infections. Lancet, 2018. 391(10117): p. 252-265.
  3. Servián, A., N. Garimano, and M.S. Santini, Systematic review and meta-analysis of soil-transmitted helminth infections in South America (2000-2024). Acta Trop, 2024. 260: p. 107400. [CrossRef]
  4. World Health Organization (WHO)(2012). Accelerating work to overcome the global impact of neglected tropical diseases : a roadmap for implementation : executive summary. World Health Organization. Available from: https://iris.who.int/handle/10665/70809.
  5. World Health Organization (WHO). Soil-transmitted helminth infections. Available from: https://www.who.int/news-room/fact-sheets/detail/soil-transmitted-helminth-infections (accessed on 17 July 2025).
  6. Qian, M.B., et al., Neglected tropical diseases in the People's Republic of China: progress towards elimination. Infect Dis Poverty, 2019. 8(1): p. 86. [CrossRef]
  7. Chen, Y.D., et al., Soil-transmitted helminthiasis in China: A national survey in 2014-2015. PLoS Negl Trop Dis, 2021. 15(10): p. e0009710. [CrossRef]
  8. World Health Organization (WHO) (2020). Ending the Neglect to Attain the Sustainable Development Goals: A Road Map for Neglected Tropical Diseases 2021–2030. World Health Organization. Available from: https://www.who.int/publications/i/item/9789240010352.
  9. Global incidence, prevalence, years lived with disability (YLDs), disability-adjusted life-years (DALYs), and healthy life expectancy (HALE) for 371 diseases and injuries in 204 countries and territories and 811 subnational locations, 1990-2021: a systematic analysis for the Global Burden of Disease Study 2021. Lancet, 2024. 403(10440): p. 2133-2161.
  10. Murray, C.J.L., The Global Burden of Disease Study at 30 years. Nat Med, 2022. 28(10): p. 2019-2026.
  11. Fu, L., et al., Global, regional, and national burden of HIV and other sexually transmitted infections in older adults aged 60-89 years from 1990 to 2019: results from the Global Burden of Disease Study 2019. Lancet Healthy Longev, 2024. 5(1): p. e17-e30. [CrossRef]
  12. Knoll, M., et al., An R package for an integrated evaluation of statistical approaches to cancer incidence projection. BMC Med Res Methodol, 2020. 20(1): p. 257. [CrossRef]
  13. Yu, G., et al., The global burden and trends of four major types of heart disease, 1990-2019: a systematic analysis for the Global Burden of Disease Study 2019. Public Health, 2023. 220: p. 1-9. [CrossRef]
  14. Liu, N., et al., Burden, trends, and risk factors for breast cancer in China from 1990 to 2019 and its predictions until 2034: an up-to-date overview and comparison with those in Japan and South Korea. BMC Cancer, 2022. 22(1): p. 826. [CrossRef]
  15. Qian, M.B., et al., Towards elimination of soil-transmitted helminthiasis in China. Lancet Reg Health West Pac, 2022. 22: p. 100455. [CrossRef]
  16. Mao, F.Z., et al., [Epidemic trend and control progress of soil-transmitted nematodiasis in Jiangsu Province]. Zhongguo Xue Xi Chong Bing Fang Zhi Za Zhi, 2020. 32(5): p. 453-458.
  17. Montresor, A., et al., Reduction in DALYs lost due to soil-transmitted helminthiases and schistosomiasis from 2000 to 2019 is parallel to the increase in coverage of the global control programmes. PLoS Negl Trop Dis, 2022. 16(7): p. e0010575. [CrossRef]
  18. Lo, N.C., et al., Deworming in pre-school age children: A global empirical analysis of health outcomes. PLoS Negl Trop Dis, 2018. 12(5): p. e0006500. [CrossRef]
  19. Strunz, E.C., et al., Water, sanitation, hygiene, and soil-transmitted helminth infection: a systematic review and meta-analysis. PLoS Med, 2014. 11(3): p. e1001620. [CrossRef]
  20. Brandon-Mong, G.J., et al., Soil-Transmitted Helminths in Malaysia landscape: an aborigines study. Trop Biomed, 2017. 34(2): p. 363-374.
  21. Rahimi, B.A., et al., Prevalence and associated risk factors of soil-transmitted helminth infections in Kandahar, Afghanistan. BMC Infect Dis, 2022. 22(1): p. 361. [CrossRef]
  22. Zhu, H.H., et al., Soil-transmitted helminthiasis in mainland China from 2016 to 2020: a population-based study. Lancet Reg Health West Pac, 2023. 36: p. 100766. [CrossRef]
  23. Chen, J., et al., Global burden of soil-transmitted helminth infections, 1990-2021. Infect Dis Poverty, 2024. 13(1): p. 77. [CrossRef]
  24. Christu Rajan, V.X., M. Sivamani, and B. Appalaraju, Prevalence and the factors influencing soil-transmitted helminths among school age children (5-14 years age) in a rural area of Coimbatore district. Trop Parasitol, 2020. 10(2): p. 74-78. [CrossRef]
  25. Aung, E., et al., High prevalence of soil-transmitted helminth infections in Myanmar schoolchildren. Infect Dis Poverty, 2022. 11(1): p. 28. [CrossRef]
  26. Wang, X., et al., Soil-transmitted helminth infections and correlated risk factors in preschool and school-aged children in rural Southwest China. PLoS One, 2012. 7(9): p. e45939. [CrossRef]
  27. Fang, E.F., et al., A research agenda for aging in China in the 21st century. Ageing Res Rev, 2015. 24(Pt B): p. 197-205. [CrossRef]
  28. Partridge, F.A., et al., Structural Requirements for Dihydrobenzoxazepinone Anthelmintics: Actions against Medically Important and Model Parasites: Trichuris muris, Brugia malayi, Heligmosomoides polygyrus, and Schistosoma mansoni. ACS Infect Dis, 2021. 7(5): p. 1260-1274. [CrossRef]
  29. Moser, W., C. Schindler, and J. Keiser, Efficacy of recommended drugs against soil transmitted helminths: systematic review and network meta-analysis. Bmj, 2017. 358: p. j4307. [CrossRef]
  30. Clarke, N.E., et al., Efficacy of Anthelminthic Drugs and Drug Combinations Against Soil-transmitted Helminths: A Systematic Review and Network Meta-analysis. Clin Infect Dis, 2019. 68(1): p. 96-105. [CrossRef]
Figure 1. Age-standardized prevalence and DALYs rates of soil-transmitted helminth infections in China from 1990 to 2021. A, Age-standardized prevalence; B, Age-standardized DALYs rate.
Figure 1. Age-standardized prevalence and DALYs rates of soil-transmitted helminth infections in China from 1990 to 2021. A, Age-standardized prevalence; B, Age-standardized DALYs rate.
Preprints 179713 g001
Figure 2. Gender-specific age-standardized DALYs and prevalence rates of soil-transmitted helminth infections in China from 1990 to 2021. A, Age-standardized DALYs rate; B, Age-standardized prevalence.
Figure 2. Gender-specific age-standardized DALYs and prevalence rates of soil-transmitted helminth infections in China from 1990 to 2021. A, Age-standardized DALYs rate; B, Age-standardized prevalence.
Preprints 179713 g002
Figure 3. Contribution of ascariasis, trichiasis and hookworm disease to the gross age-standardized prevalence and DALYs rates of soil-transmitted helminth infections in China from 1990 to 2021. A, Age-standardized prevalence; B, Age-standardized DALYs rate.
Figure 3. Contribution of ascariasis, trichiasis and hookworm disease to the gross age-standardized prevalence and DALYs rates of soil-transmitted helminth infections in China from 1990 to 2021. A, Age-standardized prevalence; B, Age-standardized DALYs rate.
Preprints 179713 g003
Figure 4. Prevalent cases and DALYs counts of soil-transmitted helminth infections by age groups in China from 1990 to 2021. A, Prevalent cases and prevalence rate; B, DALYs counts and rate.
Figure 4. Prevalent cases and DALYs counts of soil-transmitted helminth infections by age groups in China from 1990 to 2021. A, Prevalent cases and prevalence rate; B, DALYs counts and rate.
Preprints 179713 g004
Figure 5. Trends in the prevalence and DALYs rates of soil-transmitted helminth infections by age groups in China from 1990 to 2021. A, Prevalence rate; B, DALYs rate.
Figure 5. Trends in the prevalence and DALYs rates of soil-transmitted helminth infections by age groups in China from 1990 to 2021. A, Prevalence rate; B, DALYs rate.
Preprints 179713 g005
Figure 6. Projects of the prevalence and DALYs rates of soil-transmitted helminth infections in China up to 2035. A, Prevalence rate; B, DALYs rate.
Figure 6. Projects of the prevalence and DALYs rates of soil-transmitted helminth infections in China up to 2035. A, Prevalence rate; B, DALYs rate.
Preprints 179713 g006
Table 1. Prevalence and DALYs trends of STH in China from 1990 to 2021.
Table 1. Prevalence and DALYs trends of STH in China from 1990 to 2021.
Gender Prevalent cases, 95% UI Percentage change (%) ASPR (per 100 000), 95% UI EAPC (%, 95% CI) DALYs cases, 95%UI Percentage change (%) ASDR (per 100 000), 95% UI EAPC (%, 95% CI)
1990 2021 1990 2021 1990 2021 1990 2021
Both 411,914,391.13 (322,607,262.30, 514,156,693.53) 61,446,507.17 (40,508,264.84, 89,273,607.63) -85.08 34,073.24 (26,662.68, 42,442.11) 4,981.01 (3,271.48, 7,261.58) -6.62 (-7.40, -5.83) 1,138,511.95 (611,146.80, 1,835,589.65) 22,657.60 (11,600.37, 37,867.68) -98.01 94.66 (51.04, 152.49) 1.77 (0.92, 2.94) -14.05 (-15.04, -13.06)
Male 212,759,238.92 (166,746,039.35, 265,554,106.75) 32,109,355.75 (21,155,114.45, 46,672,781.25) -84.91 34,153.27 (26,745.66, 42,517.89) 5,003.27 (3,285.67, 7,295.82) -6.62 (-7.40, -5.83) 581,546.75 (311,609.15, 939,508.82) 11,450.05 (5,865.84, 18,973.53) -98.03 93.96 (50.53, 151.71) 1.74 (0.90, 2.86) -14.10 (-15.10, -13.09)
Female 199,155,152.21 (155,861,222.94, 248,602,586.79) 29,337,151.42 (19,372,543.23, 42,628,170.24) -85.27 34,016.90 (26,596.79, 42,398.10) 4,958.14 (3,257.02, 7,226.14) -6.63 (-7.42, -5.84) 556,965.20 (299,776.15, 896,253.92) 11,207.55 (5,731.94, 18,764.57) -97.99 95.52 (51.70, 153.50) 1.81 (0.94, 3.00) -14.00 (-14.98, -13.02)
Abbreviations: ASPR, age-standardized prevalence rate; DALYs, disability adjusted life years; ASDR, age-standardized DALY rate; EAPC, estimated annual percentage change; UI, uncertainty interval; CI, confidence interval.
Disclaimer/Publisher’s Note: The statements, opinions and data contained in all publications are solely those of the individual author(s) and contributor(s) and not of MDPI and/or the editor(s). MDPI and/or the editor(s) disclaim responsibility for any injury to people or property resulting from any ideas, methods, instructions or products referred to in the content.
Copyright: This open access article is published under a Creative Commons CC BY 4.0 license, which permit the free download, distribution, and reuse, provided that the author and preprint are cited in any reuse.
Prerpints.org logo

Preprints.org is a free preprint server supported by MDPI in Basel, Switzerland.

Subscribe

Disclaimer

Terms of Use

Privacy Policy

Privacy Settings

© 2026 MDPI (Basel, Switzerland) unless otherwise stated