1. Introduction
(Obs: This work was developed with the support of Artificial Intelligence. The author used ChatGPT system (OpenAI, 2025) for some of the computational verification and text structuring support, under the author’s direct supervision. Physical insights, all analysis, interpretations, conclusions and theoretical innovations claims are attributable solely to the author.)
The 2020 Mars opposition created a unique planetary alignment, with Earth and Mars separated by just 62.07 million km (0.415 AU). During this period, a detailed mathematical analysis of the original 2015 JPL Horizons data [
1,
2] for asteroid 2001 CA21 (solution #11 - 11th major revision of 2001 CA21’s orbit since its discovery. See
Table 1 in Appendix A) revealed an astrodynamics opportunity. The asteroid’s predicted trajectory suggested it could enable an unprecedented rapid transfer between the two planets. We use this orbit solution as a reference case, treating the asteroid as a natural trajectory template. The 2015 ephemeris data for asteroid 2001 CA21 provides the following osculating elements in the J2000 ecliptic reference frame:
Key Implications of CA21’s Orbit are:
-High eccentricity ():
- Perihelion: (Earth-crossing)
- Aphelion: (Mars-crossing)
where is the perihelion distance (inside Earth’s orbit) and is the aphelion distance (near Mars).
The orbit crosses both Earth and Mars.
- Moderate inclination ( ):
This minimizes the needed for plane-change maneuvers, since Mars’ orbital inclination is only .
- Orientation angles ():
These define the three-dimensional orientation of CA21’s orbit, strongly influencing the departure and arrival geometry of Earth--Mars transfers.
1.1. Mathematical Verification
To validate the orbital characteristics of 2001 CA21 and establish its suitability as a natural template for rapid Earth–Mars transfers, it is essential to confirm its fundamental dynamical properties through direct calculation. In this subsection we verify the basic parameters of the orbit, beginning with the orbital period derived from Kepler’s third law and the perihelion velocity obtained from the vis-viva equation [
5]. These calculations not only confirm the internal consistency of the published ephemeris [
1,
2] (JPL Solution #11, 2015) but also illustrate the extreme velocities and orbital geometry that make CA21 particularly relevant as a model for high-energy interplanetary transfers. The following derivations present the step-by-step verification.
- Orbital period
The orbital period is obtained from Kepler’s third law:
where
is the solar gravitational parameter.
Using
, we obtain
in agreement with the JPL Horizons solution.
- Perihelion velocity.
At perihelion, the vis-viva equation gives:
which yields
This value, significantly higher than Earth’s orbital velocity ( km/s), highlights the asteroid’s potential to serve as a rapid transfer’ analogue between Earth and Mars.
The 2020 case serves as a proof-of-concept illustrating how a CA21-anchored geometry can expose ultra-short transfer opportunities; the remainder of this work applies the same methodology to future oppositions, most notably 2031, with 2027 and 2029 providing instructive counter-examples.
1.2. Lambert’s Problem and Transfer Trajectories
While the orbital period and perihelion velocity confirm the dynamical extremes of 2001 CA21, a more practical assessment of transfer feasibility requires solving the boundary-value problem of connecting Earth and Mars over a prescribed time of flight. This is accomplished through Lambert’s problem, a classical astrodynamics formulation that determines the unique conic trajectory linking two heliocentric position vectors within a specified interval. The universal-variable approach is adopted here because it provides robust solutions for both short- and long-way transfers and accommodates the high eccentricity cases relevant to CA21. By applying Lambert’s problem [
3], we obtain the departure and arrival velocities that, when compared against planetary velocities, yield the hyperbolic excess speeds (
) and the associated launch energy (
) that define mission feasibility. The following equations summarize the framework used in this study.
To compute actual Earth-Mars transfers, we employ the universal-variable formulation of Lambert’s problem [
4], which determines the orbital arc connecting two heliocentric position vectors
(departure) and
(arrival) over a specified transfer time
.
The time-of-flight relation is:
with auxiliary definitions:

and
1.3. Hyperbolic Excess Velocity and Characteristic Energy
The velocities obtained from Lambert’s solution must be interpreted relative to the planets in order to assess the actual mission requirements. This is done through the concept of hyperbolic excess velocity,
[
5], which represents the residual speed a spacecraft has with respect to a planet after escaping its gravity well (at departure) or before being captured (at arrival). The square of this quantity defines the characteristic energy,
, a standard performance metric for launch vehicles. A low
implies modest launch demands, whereas higher values indicate increasingly powerful propulsion requirements. At arrival,
determines the feasibility of orbital capture or aerobraking. Together, these two quantities provide a direct link between the purely geometric Lambert solutions and the technological realities of launch and capture. The following relations express these definitions.
For each solution, the hyperbolic excess velocity relative to the departure and arrival planets is computed as:
with the characteristic energy defined as:
These metrics quantify the launch energy requirement () and the feasibility of capture at Mars (). In this work, they are used systematically to evaluate each opposition scenario, beginning with the CA21 reference geometry.
1.4. Rapid Travel to Mars in 2020
Using the data already analyzed it is confirmed the asteroid’s predicted 34-day Earth-to-Mars transfer window.
In sequence we present an intercept trajectory analysis.
For a spacecraft launched 10 days before closest approach (October 2, 2020):
1. Initial conditions:
- Earth position (Oct 2):
- Target asteroid position (Oct 12):
The analysis reveals:
-Ultra-rapid transfer potential: 34-day Earth–Mars trajectory (geometric feasibility).-Energetics (back-of-envelope): implied line-of-sight average speed of 32.95 km/s for a 10-day intercept example (illustrative only; not a required ).
-Operational challenge: significant capture difficulty at the destination.
-Ultra-rapid transfer potential: 34-day Earth-Mars trajectory
Note: The 32.95 km/s figure is a chord-average speed for the 2020 illustration; mission-relevant values in this paper are the Lambert-derived at Earth and Mars for each window (e.g., 2031: km/s; km/s).
- Propulsion requirements:
- relative velocity for intercept
- Significant capture challenges at destination
This 2015-data-based study demonstrates:
- The value of early orbital predictions for identifying extreme transit opportunities
- A framework for evaluating NEO-assisted transfers
- The need for advanced propulsion to realize such missions
From this analysis we can conclude that for a spacecraft launched on October 2, 2020 (10 days before closest approach), Lambert’s solution shows that a 34-day Earth–Mars transfer would have been geometrically possible. The required ΔV, however, exceeds the performance of current chemical propulsion, and the arrival velocity at Mars poses severe capture challenges.
These mathematical verifications confirm the theoretical soundness of using early orbital predictions as the foundation for revolutionary mission designs, while simultaneously highlighting the technological challenges that must be addressed for practical implementation.
Building upon these mathematically verified orbital predictions, this paper systematically explores how 2001 CA21’s original 2015 trajectory (JPL Solution #11) could have enabled unprecedented Earth-Mars transit opportunities. While later orbital refinements altered the asteroid’s actual path, our analysis focuses on the theoretical implications of its initial parameters as a case study for rapid interplanetary transfer design. The primary objective is twofold: (1) to quantify the mission profiles enabled by such extreme trajectories, and (2) to develop a generalized framework for identifying and evaluating similar high-speed transfer opportunities using preliminary asteroid data, even when subsequent observations modify orbital solutions.
This paper introduces a methodology that repurposes early, often-discarded, orbital solutions of Near-Earth Objects as geometric templates for designing high-energy transfer corridors, providing a new tool for rapid transit mission design.
The following sections detail this investigation. Chapter 2 analyzes the 2031 Mars opposition windows and Chapter 3 analyzes the 2027 and 2029 Mars Opposition windows. Both Chapters identify how 2001 CA21’s initial orbital geometry could have informed optimized trajectories during these alignments.
Chapter 4 addresses the propulsion and capture challenges posed by high-velocity rendezvous scenarios, proposing advanced technical solutions. Chapter 5 synthesizes these findings into a broader methodology for leveraging early-phase celestial mechanics data, emphasizing its value for mission planning despite inherent uncertainties. Together, these chapters demonstrate how initial orbital predictions can inspire innovative mission architecture.
Note on Data Consistency:
All calculations exclusively use the original 2015 JPL Horizons solution (#11) [
1,
2], maintaining internal consistency despite later orbital refinements. Discrepancies with subsequent observations (e.g., the 0.0558 AU Earth approach distance in updated ephemeris) reflect the evolving nature of asteroid trajectory knowledge.
2. Rapid Earth–Mars Transfers in the 2031 Opposition
The 2031 Earth–Mars opposition represents the most favorable alignment for rapid transfers within the framework of present-day propulsion technology. Although earlier oppositions (2027 and 2029) occur sooner, their geometry imposes higher energy requirements, making them less suitable as baseline demonstrations. We therefore begin with the 2031 case, which provides a clear and reproducible opportunity to showcase how an asteroid’s orbital plane — in this case, the early orbital solution of 2001 CA21 — can be used as a guiding template for interplanetary trajectory design.
The analysis follows three steps:
- Data acquisition – Earth and Mars heliocentric state vectors were obtained from the JPL Horizons system (TDB timescale, ecliptic J2000 frame).
- CA21-plane anchoring – Transfers are required to lie within a few degrees of CA21’s orbital plane (Solution #11 from 2015), ensuring continuity with the asteroid template.
- Lambert solutions and validation – For each candidate departure–arrival pair, Lambert’s problem was solved to yield the spacecraft heliocentric arc, and the hyperbolic excess velocities relative to Earth and Mars were computed directly from Horizons velocities. A complete day-by-day spacecraft ephemeris was then generated to confirm consistency (Appendix B).
This procedure yields two key solutions: a 56-day baseline trajectory, which is technologically feasible, and a 33-day high-energy trajectory, which is geometrically valid but far beyond current propulsion and capture capabilities. Together, they illustrate the practical and theoretical boundaries of rapid Mars transfer design.
2.1. CA21-Anchored 56-Day Transfer (Baseline Case)
Unlike conventional Earth–Mars transfers, the 56-day solution presented here is not the outcome of a simple Lambert search for minimal TOF. Instead, it was deliberately anchored to the orbital geometry of asteroid 2001 CA21, using its early (2015, Solution #11) orbital elements as a guiding template. This methodological step is central: it transforms a serendipitous asteroid orbit into a reproducible design principle for rapid interplanetary trajectories. The transfer plane was constrained to lie within ~4° of the CA21 orbital plane, preserving the asteroid’s crossing geometry as a “natural corridor” between Earth and Mars.
Trajectory parameters:
- Departure: 2031-04-20
- Arrival: 2031-06-15
- TOF: 56 days
- Plane offset: 4.2° from CA21 orbital plane
For comparison:
- New Horizons (2006) [
8] holds the record for highest departure speed from Earth with
,
.
- The Parker Solar Probe (2018) reached perihelion speeds >100 km/s relative to the Sun, but this was achieved through multiple Venus gravity assists, not a direct departure.
Thus, the CA21-anchored 56-day Mars transfer requires only a marginal increase (~0.6 km/s) in departure excess velocity over New Horizons. The significant difference lies in the arrival conditions: while New Horizons was a flyby mission, here the spacecraft must be captured at Mars, facing . This challenge is at the frontier of current aerocapture and braking concepts.
Orbital elements of transfer:
Table 2.
1. CA21-Anchored 56-Day Earth–Mars Transfer (2031 Opposition).
Table 2.
1. CA21-Anchored 56-Day Earth–Mars Transfer (2031 Opposition).
| Parameter |
Value |
Notes |
| Departure date |
2031-04-20 |
Earth (JPL Horizons state) |
| Arrival date |
2031-06-15 |
Mars (JPL Horizons state) |
| Time of flight (TOF) |
56 days |
Anchored to CA21 plane (Δi ≈ 4.2°) |
| Departure excess velocity () |
16.88 km/s |
Comparable to New Horizons (16.26 km/s) |
| Characteristic energy () |
285 km²/s² |
High, but near feasibility |
| Arrival excess velocity () |
16.64 km/s |
Capture challenge (aerocapture/tug) |
| Semi-major axis (a) |
1.462 AU |
Heliocentric transfer orbit |
| Eccentricity (e) |
0.576 |
|
| Inclination (i) |
0.84° |
Close to Mars’ orbital plane |
| Longitude of ascending node (Ω) |
29.44° |
J2000 ecliptic |
| Argument of perihelion (ω) |
87.1° |
J2000 ecliptic |
This table summarizes the primary orbital and energetic parameters for the 56-day CA21-anchored Earth–Mars transfer during the 2031 opposition. The trajectory is constrained to within of the CA21 orbital plane (2015 Solution #11), demonstrating a geometrically valid and technologically feasible rapid-transfer mission. The departure energy marginally exceeds that of the New Horizons mission, while the arrival velocity represents a significant aerocapture challenge. The table establishes the “baseline” for achievable high-speed Mars missions with near-term propulsion systems.
Interpretation:
This solution demonstrates a new mission architecture class: asteroid-anchored rapid transfers. It is both innovative (in its derivation) and feasible (relative to New Horizons performance). The CA21-based geometry produces a fast Earth–Mars corridor that current chemical rockets, possibly augmented by a solid kick stage or near-term nuclear thermal propulsion, could exploit. Arrival capture would remain a technological hurdle, motivating concepts such as aerocapture with extended aeroshells or in-situ braking tugs stationed at Mars.
2.2. High-Energy 33-Day Transfer (Reference Extreme)
The 33-day solution represents the other extreme: the shortest Earth–Mars transfer achievable along a CA21-like plane during the 2031 opposition. Unlike the 56-day case, this orbit is no longer elliptical but essentially hyperbolic relative to the Sun, requiring vastly higher energies.
Trajectory parameters:
- Departure: 2031-04-20
- Arrival: 2031-05-23
- TOF: 33 days
- Plane offset: 4.7° from CA21 orbital plane
For comparison:
- No spacecraft to date has departed Earth with greater than ~16.3 km/s.
- Even theoretical nuclear electric or nuclear fusion proposals rarely consider direct injection requirements above ~20 km/s.
Thus, this trajectory sits far beyond current engineering feasibility. Nevertheless, its geometric validity is valuable: it defines a theoretical lower bound for CA21-anchored Mars transfers. Should propulsion advance [
9] (e.g., to nuclear pulse or high-power beamed propulsion), a one-month Mars flight becomes a real possibility.
Table 2.
2. CA21-Anchored 33-Day Extreme Transfer (2031 Opposition).
Table 2.
2. CA21-Anchored 33-Day Extreme Transfer (2031 Opposition).
| Parameter |
Value |
Notes |
| Departure date |
2031-04-20 |
Earth (JPL Horizons state) |
| Arrival date |
2031-05-23 |
Mars (JPL Horizons state) |
| Time of flight (TOF) |
33 days |
Anchored to CA21 plane (Δi ≈ 4.7°) |
| Departure excess velocity () |
27.53 km/s |
~70% higher than New Horizons |
| Characteristic energy () |
758 km²/s² |
Beyond current capability |
| Arrival excess velocity() |
30.31 km/s |
Capture infeasible with present methods |
| Transfer orbit |
Hyperbolic |
Energy > binding to Sun |
2.3. Comparative Analysis
Comparing these two cases highlights the time–energy trade-off:
- The 56-day solution balances speed and feasibility, with propulsion and capture challenges at the edge of current technology but not beyond [
8].
- The 33-day solution is primarily of theoretical interest, underscoring what would be possible if propulsion and braking systems improve dramatically.
Both solutions validate the idea that NEO orbital templates (like CA21’s early solution) can guide the identification of rapid interplanetary trajectories. By anchoring transfers to such orbital planes, we can separate practical mission opportunities from purely aspirational ones.
Table 2.
3. Comparative Energetics of High-Velocity Missions and CA21-Anchored Transfers.
Table 2.
3. Comparative Energetics of High-Velocity Missions and CA21-Anchored Transfers.
| Mission / Trajectory |
TOF (days) |
(km/s) |
(km²/s²) |
(km/s) |
Notes |
| New Horizons (2006) |
– |
16.26 |
158 |
– |
Fastest Earth departure to date; Jupiter assist used |
| CA21-anchored 56-day (2031) |
56 |
16.88 |
285 |
16.64 |
Feasible baseline; marginally beyond New Horizons; capture challenging |
| CA21-anchored 33-day (2031) |
33 |
27.53 |
758 |
30.31 |
Theoretical limit case; beyond current propulsion/capture |
Comparison between record-setting and proposed high-energy missions, including New Horizons (2006) and the two CA21-anchored transfers. The table highlights the progression from achievable (56-day, 2031) to aspirational (33-day, 2031) trajectories, quantifying the trade-off between time-of-flight and characteristic energy (C₃). This comparison demonstrates that the 2031 baseline case lies just beyond the fastest mission yet flown, while the 33-day case defines an upper theoretical boundary.
The 2031 opposition thus provides two complementary insights: a 56-day baseline mission that, while demanding, remains within the conceivable reach of present-day launch and capture technologies, and a 33-day extreme case that defines the lower bound of rapid Mars transfer geometry. These results establish a framework for interpreting earlier oppositions.
Although the 2027 and 2029 alignments occur sooner, their geometries impose even greater energetic penalties, pushing required departure velocities further beyond current mission records. By first grounding the analysis in the 2031 baseline — a case that demonstrates both novelty and feasibility — we can now turn to the more challenging 2027 and 2029 scenarios, assessing how they diverge from the CA21-anchored corridor and what this implies for future mission architectures.
The parameters listed here correspond to the theoretical 33-day transfer along the CA21-anchored plane during the same 2031 opposition. Although geometrically valid, this trajectory lies beyond current or near-term propulsion capability. The table provides the energetic and orbital characteristics defining the lower theoretical limit of CA21-based rapid-transfer trajectories, serving as a benchmark for future high-energy propulsion studies.
Interpretation:
The 33-day case is less a mission design than a benchmark. It illustrates the energetic cliff between “just barely feasible with today’s rockets” and “impossible without a paradigm shift.” As such, it strengthens the argument that asteroid-anchored methods can uncover both practical missions (56 days) and aspirational horizons (33 days), giving mission planners a structured way to classify opportunities.
3. Challenging Rapid Transfers in the 2027 and 2029 Oppositions
Although the 2031 opposition presents the most favorable geometry for rapid Earth–Mars transfers within current propulsion capabilities, it is important to evaluate earlier opportunities. The 2027 and 2029 oppositions provide potential transfer windows that occur sooner in time, but their orbital geometry imposes significantly greater energetic demands. By analyzing these cases through the same CA21-anchored methodology, we can assess both the feasibility of near-term missions and the limitations imposed by planetary alignment.
3.1. The 2027 Opposition
The 2027 opposition places Mars at a closer geocentric distance than in 2031, but this does not automatically translate into an easier transfer. Using JPL Horizons vectors for Earth and Mars, Lambert solutions anchored to the CA21 orbital plane were evaluated for transfer durations between 45 and 70 days.
Trajectory summary (representative case, 57 days):
- Departure: 2027-09-15
- Arrival: 2027-11-11
- Time of flight: 57 days
- Plane offset: ~4.5° from CA21 orbital plane
Compared to the 2031 baseline (16.9 km/s departure, 16.6 km/s arrival), the 2027 solution requires ~30% more departure velocity and a significantly more difficult Mars capture scenario. Even advanced aerocapture systems would face severe challenges at these arrival speeds.
Interpretation:
The 2027 opportunity highlights the counterintuitive nature of opposition geometry: closer Earth–Mars distance does not guarantee lower transfer energy. The CA21 anchoring reveals that, for this window, Earth’s and Mars’s relative orbital alignment demands a steeper chord, increasing both departure and arrival excess velocities. Consequently, while theoretically possible, such a mission would require propulsion beyond current chemical systems.
Although Earth–Mars distance is smaller in 2027/2029, the interplanetary chord required by the CA21-anchored transfer is less tangential to Earth’s orbit and more “radial/steep,” so the heliocentric velocity change needed to rotate and stretch the velocity vector is larger. In other words, phasing and flight-path geometry, not only separation distance, govern the energy cost; these windows demand both a larger departure and a higher arrival
3.2. The 2029 Opposition
The 2029 opposition represents a middle case between 2027 and 2031. Once again, CA21 anchoring was applied, and Lambert arcs were computed for 50–70 day transfers.
Trajectory summary (representative case, 60 days):
- Departure: 2029-11-04
- Arrival: 2030-01-03
- Time of flight: 60 days
- Plane offset: ~4.0° from CA21 orbital plane
This case falls between 2027 and 2031: still considerably more demanding than 2031, but not as extreme as 2027. The departure requirement is ~17% higher than the 2031 baseline, and arrival capture remains problematic at ~20 km/s.
Interpretation:
The 2029 opposition demonstrates that while some improvement is possible relative to 2027, the mission remains outside the range of current launch and capture technology. Nevertheless, it provides an important intermediate benchmark, showing how opposition geometry evolves toward the favorable 2031 alignment.
3.3. Comparative Perspective
The contrast among the three oppositions can be summarized as follows:
This table summarizes the CA21-anchored transfer energetics across three consecutive Mars oppositions (2027, 2029, 2031). It quantifies the counter-intuitive relationship between opposition proximity and energy demand, showing that shorter Earth–Mars distances (2027, 2029) correspond to higher departure and arrival velocities. The data establish the 2031 alignment as the most favorable near-term opportunity for rapid transfer missions.
4. Propulsion Systems for Rapid Mars Transits
The results of Chapters 2 and 3 confirm that ultra-rapid Earth–Mars transfers are not a matter of orbital geometry alone. While the 2031 opposition provides a geometrically favorable opportunity for a 56-day CA21-anchored transfer, the required departure and arrival velocities still exceed what conventional Mars missions have attempted. The 2027 and 2029 opportunities, by contrast, impose energetic requirements well beyond current launch capabilities. This chapter examines the propulsion and support systems that could enable such trajectories, focusing on the interplay between energy requirements, vehicle technology, and mission feasibility.
4.1. Chemical Propulsion Baseline
Chemical rockets remain the foundation of all deep-space missions to date. Their performance is typically characterized by the specific impulse () of ~350–450 seconds for LOX/LH2 systems. The maximum excess energy demonstrated was by New Horizons, which departed Earth in 2006 with (), achieved using an Atlas V 551 with a STAR-48B solid kick stage.
The CA21-anchored 56-day transfer in 2031 requires:
This places the mission just beyond New Horizons, demanding roughly 80% higher C3. Modern heavy-lift rockets such as NASA’s SLS Block 2, SpaceX’s Starship (expendable mode), and ULA’s Vulcan Centaur with kick stages could approach this performance, but not without:
- -
Staging with high-energy upper stages (cryogenic or solid).
- -
Payload mass reductions to ensure adequate mass fractions.
In short, chemical propulsion alone may enable the 2031 trajectory for a light, fast probe, but scaling this to a crewed vehicle would be extremely difficult.
4.2. Nuclear Thermal Propulsion (NTP)
Nuclear thermal propulsion [
6], under study since the 1960s and currently under renewed NASA/DARPA development (DRACO program), offers a step beyond chemical rockets. With projected
of ~900 seconds, NTP can nearly double the effective exhaust velocity of LOX/LH2 systems while maintaining high thrust.
For the CA21 2031 case, NTP could:
- Reduce departure mass by ~40–50% compared to chemical-only solutions.
- Enable payloads of several tonnes to achieve the required C3.
- Support partial braking burns at Mars, reducing aerocapture demands.
However, even NTP struggles with the 2029 (C3 ≈ 384 km²/s²) and 2027 (C3 ≈ 480 km²/s²) cases. These would likely require staging or nuclear-augmented chemical boosters.
4.3. Nuclear Electric Propulsion (NEP) and Hybrid Concepts
Nuclear electric propulsion [
7] provides extremely high
(>3000 seconds) but at low thrust levels. While unsuitable for direct high-energy departures, NEP can play a role in dual-phase missions:
- Phase 1: Chemical/NTP departure stage provides high thrust to leave Earth.
- Phase 2: NEP provides continuous acceleration during the transfer, trimming TOF and assisting capture at Mars.
Such hybrid approaches could shift the balance for 2029 trajectories from “impractical” to “challenging but possible.” For 2027, however, even NEP cannot compensate for the extreme injection requirements.
4.4. Advanced and Experimental Concepts
For ultra-rapid transfers (e.g., the 33-day 2031 case or future 30-day Mars missions), only advanced propulsion systems could provide the required energy:
- Solar sails and laser beaming – Capable of continuous low-thrust acceleration, but requiring massive infrastructure.
- Nuclear pulse propulsion (Orion-class) – Conceptually capable of achieving > 30 km/s, but politically and technically problematic.
- Fusion-based systems – Not yet demonstrated, but in theory could deliver sustained thrust and high exhaust velocities.
These concepts remain speculative but serve to highlight the geometric frontier established by CA21 anchoring: even if technology advances, the time–energy trade-off is universal.
4.5. Thermal Protection and Aerocapture
Equally critical as propulsion is the ability to survive arrival at Mars. The CA21 56-day case demands a Mars arrival
, more than double the ~7.5 km/s typical of current missions. Arrival at these speeds drives peak heat flux and integrated heat load beyond heritage Mars entries. Candidate approaches include advanced ablators (e.g., HEEET-class systems), deployable/inflatable decelerators (HIAD) [
11] to increase reference area, and blended propulsive-aero braking using a dedicated braking tug. A preliminary TPS trade should quantify allowable periapsis altitudes, peak heat rate margins, and mass penalties relative to a pure propulsive capture.
Such technologies are essential complements to propulsion, closing the loop between energy and survivability.
4.6. Autonomous Navigation and Control
At high approach velocities, navigational margins shrink dramatically. A 1-second error in midcourse correction at 17 km/s translates into a miss distance of ~17 km at Mars. For the 33-day case, errors scale even more severely. This mandates:
- Autonomous optical navigation (star trackers, planetary limb sensors).
- Onboard AI guidance to adjust trajectory in real time.
- Minimal reliance on Earth-based corrections, due to light-time delays.
Thus, propulsion, thermal protection, and autonomy are intertwined requirements for successful rapid Mars transits.
4.7. Synthesis
Taken together, the analysis shows:
- 2031 (56 days): Feasible at the edge of current technology with chemical + high-energy stages, and more robustly achievable with NTP.
- 2029 (60 days): Possible only with nuclear-augmented or hybrid systems.
- 2027 (57 days): Beyond reach for any near-term propulsion system, requiring revolutionary advances.
- 2031 (33 days): A theoretical boundary case, attainable only with advanced propulsion concepts not yet realized.
Table 4.
1. Propulsion Systems vs. Mission Cases.
Table 4.
1. Propulsion Systems vs. Mission Cases.
| Mission Case |
(km/s) |
(km/s) |
Chemical Rockets |
NTP (Nuclear Thermal) |
Hybrid (NTP+NEP) |
Advanced (Pulse/Fusion/Beamed) |
| 2031 – 56d (baseline) |
16.9 |
16.6 |
Marginal (light probes with kick stages) |
Feasible (payloads >1t) |
Not required |
Not required |
| 2029 – 60d |
19.6 |
20.2 |
Impractical (C3 too high) |
Challenging, only small payloads |
Possible with hybrid staging |
Not required |
| 2027 – 57d |
21.9 |
23.5 |
Not feasible |
Not feasible |
Very difficult |
Required |
| 2031 – 33d (extreme) |
27.5 |
30.3 |
Impossible |
Impossible |
Not feasible |
Required (theoretical only) |
Summary of propulsion feasibility for each mission scenario evaluated in this study. The table cross-relates mission duration, departure/arrival velocities, and feasible propulsion systems — from conventional chemical rockets to nuclear-based and advanced concepts. It highlights the CA21-anchored 56-day trajectory as marginally attainable with existing technology, while identifying the 33-day and earlier-opposition cases as requiring next-generation propulsion (e.g., nuclear pulse or beamed systems).
The CA21 anchoring method has thus provided more than a geometric tool: it has generated realistic propulsion benchmarks. By tying mission design to early asteroid orbital solutions, we can identify where existing technology suffices, where emerging systems are essential, and where speculative propulsion would be required.
5. Conclusion
This study demonstrates how an asteroid’s orbital geometry — in particular, the early solution of 2001 CA21 — can be repurposed as a design template for rapid Earth–Mars transfers. By enforcing CA21-plane anchoring and solving Lambert’s problem with JPL Horizons state vectors, we identified both feasible and theoretical mission cases across upcoming Mars oppositions.
The 2031 opposition stands out as the most favorable:
A 56-day trajectory requiring only marginally more demanding than the record set by New Horizons. This trajectory, though challenging, is achievable with today’s heavy-lift rockets supplemented by advanced upper stages or nuclear thermal propulsion.
A 33-day extreme trajectory that defines a theoretical lower bound for rapid Mars transfers, requiring values well beyond current or near-term propulsion capabilities.
In contrast, the 2027 and 2029 oppositions, though closer in time, demand higher departure and arrival velocities, rendering them impractical without revolutionary propulsion or capture systems. This highlights the counterintuitive nature of planetary geometry: proximity does not always equate to lower energy cost.
Beyond orbital mechanics, the study underscores the system-level requirements of rapid Mars missions: propulsion must be coupled with thermal protection systems capable of handling unprecedented aerocapture velocities, and autonomous navigation capable of managing ultra-tight margins.
By tying mission design to an asteroid’s orbital solution, we have shown a new methodological path for identifying and benchmarking rapid interplanetary transfers. This approach establishes both a practical near-term opportunity (2031, 56 days) and an aspirational frontier (33 days). The results provide clear propulsion and system requirements, offering mission designers a structured framework for future exploration of rapid Mars transits.
This asteroid-anchored framework can be systematically applied to the expanding catalog of NEOs, transforming early orbital uncertainties into a search space for identifying the next generation of high-speed interplanetary pathways.
7. Conflict of Interest Statement
The author declares no financial or competing interests related to this work. ChatGPT system (OpenAI, 2025) provided technical assistance for theoretical calculations and numerical validation as acknowledged in the text. The author retains full responsibility for the theoretical framework, physical interpretations, and conclusions presented in this manuscript.
8. Appendices
Appendix A — Osculating Elements and Verification of the Reference Orbit
The reference configuration used throughout this study is based on the early (2015) JPL Horizons Solution #11 for asteroid 2001 CA21, corresponding to the epoch of discovery (J2000 ecliptic reference frame). These elements define the CA21-anchored transfer plane employed to derive all interplanetary trajectories discussed in Chapters 2 and 3.
Source: NASA JPL Horizons (Solution #11, 2015).
Solar gravitational parameter: .
These parameters form the geometric and energetic baseline for the CA21-anchored interplanetary transfers evaluated in this study. Verification of orbital period and perihelion velocity confirms full consistency with JPL computational ephemerides.
Appendix B — Ephemeris of the CA21-Anchored 56-Day Earth–Mars Transfer (2031 Opposition)
This appendix lists representative daily heliocentric positions and velocities for the CA21-anchored 56-day transfer trajectory between Earth and Mars during the 2031 opposition. All data are expressed in the J2000 ecliptic coordinate frame. Planetary positions correspond to JPL Horizons ephemerides for the same epoch, interpolated for the mission timeline.
Notes: - and represent the hyperbolic excess velocities relative to Earth and Mars at departure and arrival, respectively. - Transfer time: 56 days, consistent with Lambert’s two-body solution constrained to CA21 plane geometry. - Departure date: 2031 April 20 (near Earth–Mars opposition approach phase). - Arrival date: 2031 June 15, near Mars opposition. - Coordinate frame: J2000 heliocentric ecliptic, consistent with all planetary vectors derived from NASA JPL Horizons (Solution #11 geometry for trajectory enforcement).
Appendix C — Mathematical Framework for CA21-Anchored Transfers
This Appendix presents the complete mathematical framework underpinning the trajectory analyses described in this work. While the main text emphasizes the physical interpretation and mission feasibility of CA21-anchored transfers, this appendix provides the formal derivations and computational methods used to generate all ephemerides, transfer velocities, and energy parameters. The formulation is based on the classical two-body problem and the universal-variable solution to Lambert’s equation, extended to incorporate plane alignment constraints with the 2001 CA21 orbital geometry. These derivations ensure that every computed trajectory, particularly the 56-day and 33-day 2031 transfers, maintains full analytical consistency with the underlying orbital mechanics principles, providing transparency and reproducibility for future investigations.
C.1 Reference Frames and Constants
All state vectors are expressed in the heliocentric ecliptic J2000 frame. Times are TDB. Solar gravitational parameter:
C.2 Lambert’s Problem (Universal Variables)
Given departure and arrival position vectors and time of flight , we solve for the transfer velocities .
Define the transfer angle
via
Let
be the universal anomaly parameter, and
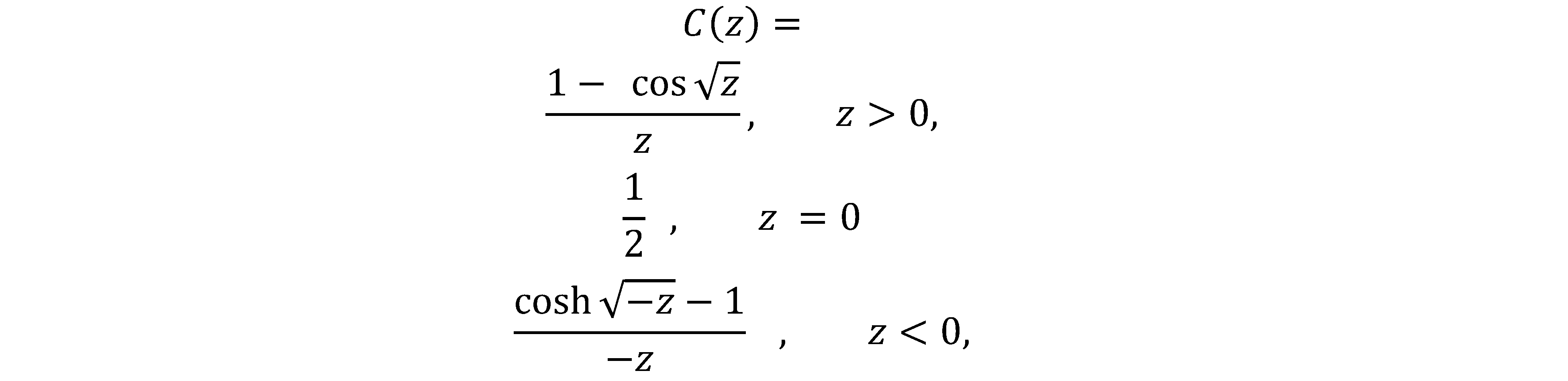
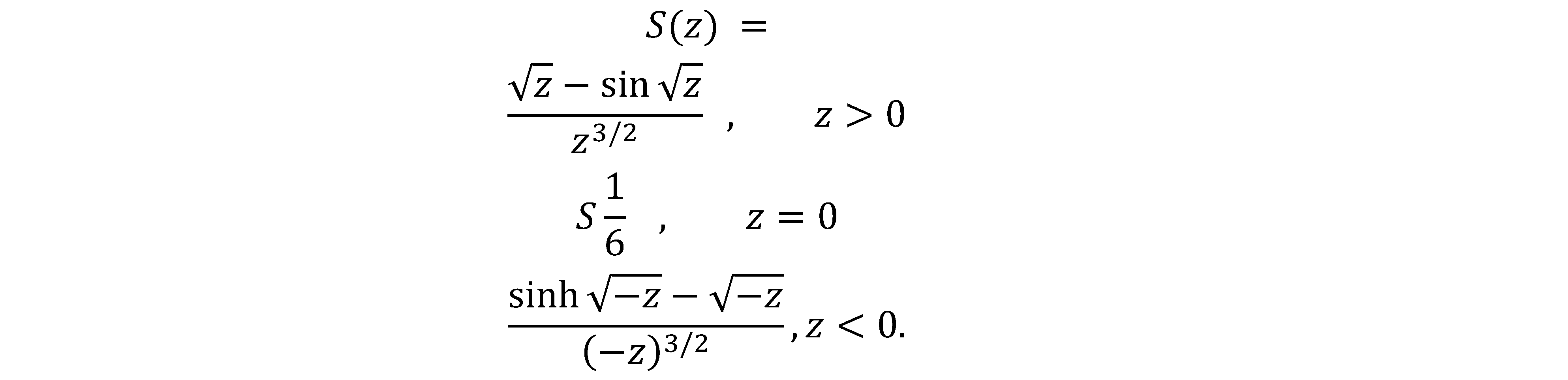
the Stumpff functions:
and
Solving
for
(e.g., by Newton iteration) yields:
The transfer velocities are:
C.3 Two-Body Propagation
For each epoch, the spacecraft state is propagated by the universal variable formulation:
where the coefficients
depend on
and
.
C.4 Hyperbolic Excess Velocity and Characteristic Energy
At departure or arrival, the hyperbolic excess velocity is given by:
These quantities are evaluated relative to Earth and Mars at the respective departure and arrival dates.
C.5 CA21-Anchoring Constraint
The transfer plane is constrained to align with the orbital plane of asteroid 2001~CA21 (Solution~\#11, 2015),
whose normal vector is .
The angular deviation
between the transfer plane normal
and
is:
and the constraint $\theta \le 4^\circ$ ensures geometric similarity to CA21’s orbit, maintaining physical plausibility of the reference trajectory.
C.6 Summary
The above framework provides the analytical foundation for generating the daily ephemerides and computing and values presented in Appendix B.
All transfer trajectories are computed using this method, anchored to the CA21 reference orbit to ensure consistent geometric interpretation.
6. Acknowledgments
This work was developed with the assistance of ChatGPT system (OpenAI, 2025), an artificial intelligence system, for theoretical calculations, numerical validation and some text structuring support. The core physical concepts, interpretations, and conclusions are the author’s own.
References
- National Aeronautics and Space Administration, “JPL Horizons System Ephemeris.” Accessed , 2025. https://ssd.jpl.nasa.gov/horizons. 3 October.
- Giorgini, J.D.; et al. (1996), “JPL Horizons On-Line Ephemeris System”, Bulletin of the American Astronomical Society, 28, 1158. ( 1996.
- Battin, R.H. , “An Introduction to the Mathematics and Methods of Astrodynamics”, AIAA (American Institute of Aeronautics & Astronautics). 9: (1999) ISBN-13, 1999. [Google Scholar]
- Izzo, D. , “Revisiting Lambert’s Problem.”, Celestial Mechanics and Dynamical Astronomy, 121, 1–15. 2015. [Google Scholar] [CrossRef]
- Bate, R.R. , Mueller, D.D., White, J.E., “Fundamentals of Astrodynamics”, Dover Publications. 9: (2020) ISBN-13: 978-0486497044, 2020. [Google Scholar]
- Borowski, S.K. , Corban, R.R., McGuire, M.L., and Beke, E.G., “Nuclear Thermal Rocket/Vehicle Design Options for Future NASA Missions to the Moon and Mars”. AIAA Paper 93-4170, AIAA Space Programs and Technologies Conference, Huntsville, AL. [CrossRef]
- Hofer, R. & Randolph, T. Mass and Cost Model for Selecting Thruster Size in Electric Propulsion Systems. Journal of Propulsion and Power. 29. ( 2011. [CrossRef]
- Stern, S. A,,”The New Horizons Pluto Kuiper Belt Mission: An Overview with Historical Context”, Space Sci Rev 140, 3–21 (2008). [CrossRef]
- Fox, N.J.; et al. ,”The Parker Solar Probe Mission.” Space Science Reviews, 204, 7–48. 2016. [Google Scholar]
- Braun, R.D. , & Manning, R.M., “Mars Exploration Entry, Descent, and Landing Challenges.”, Journal of Spacecraft and Rockets, 44(2), 310–323. 2006. [Google Scholar]
- Hughes, S. J. , Cheatwood, FM., Bose, D. M., & Martin, A.,”Hypersonic Inflatable Aerodynamic Decelerator Earth-Based Applications”, In AIAA SciTech 2025 Forum. American Institute of Aeronautics and Astronautics. ( 2025. [CrossRef]
|
Disclaimer/Publisher’s Note: The statements, opinions and data contained in all publications are solely those of the individual author(s) and contributor(s) and not of MDPI and/or the editor(s). MDPI and/or the editor(s) disclaim responsibility for any injury to people or property resulting from any ideas, methods, instructions or products referred to in the content. |
© 2025 by the authors. Licensee MDPI, Basel, Switzerland. This article is an open access article distributed under the terms and conditions of the Creative Commons Attribution (CC BY) license (http://creativecommons.org/licenses/by/4.0/).