Preprint
Review

This version is not peer-reviewed.

Cyclophosphamide: Old Drug with Great Future

A peer-reviewed article of this preprint also exists.

Submitted:

01 October 2025

Posted:

02 October 2025

You are already at the latest version

Abstract
This paper does not describe the results of a systematic search for the mechanism of action of cyclophosphamide and the consequences and possible indications arising from this mechanism. Rather, it describes a puzzle in which own results, some of them very old, were re-evaluated with the latest biochemical knowledge and supplemented by results from the scientific literature. The mechanism of action of cyclophosphamide, indispensable in clinical practice for 60 years, was unknown until recently simply because biochemical knowledge was lacking and because results from in vitro experiments were uncritically extrapolated to in vivo conditions. In vitro, the DNA alkylating metabolite phosphoramide mustard (PAM) is formed from the CP metabolite aldophosphamide (ALD) by phosphate and bicarbonate ion-catalyzed β-elimination of acrolein; In vivo, however, ALD is cleaved by phosphoesterases or DNA polymerase δ and ε associated 3'-5' exonucleases into the complementary meabolites PAM and 3-hydroxypropanal (HPA). The following describes the mechanism of action of CP, namely the complementary interaction of alkylating PAM and apoptosis-enhancing HPA, and it is shown how by optimizing the complementary effects of PAM and HPA the antitumor efficacy in the P388 mouse tumor model can be increased by more than ten thousandfold. Further experiments show that by optimizing the interaction of DNA alkylation and enhancing the resulting apoptosis by HPA, the formation of resistant metastases can be prevented and low toxicity chemotherapy can be achieved.
Keywords: 
;  ;  

Introduction

From today’s perspective, cyclophosphamide (CP) is a serendipitous discovery, one that - as the saying goes - came about by chance. CP was discovered in an attempt to make the chemical warfare agent of the World War I mustard gas more tolerable in order to use it as a cytostatic agent [1,2].
Based on the erroneous assumption of increased phosphamidase activity - enzymes that cleave phosphoric acid amide bonds - in tumor cells [3,4], the toxic chemically modified mustard gas was to be bound to a carrier molecule via a phosphoric acid amide bond and only released in tumor cells by phosphamidases. The result of these efforts was cyclophosphamide (CP) [5], which was introduced into the clinic in Germany in 1958 under the name “Endoxan”. Very soon after its introduction into the clinic, it turned out that the theoretical considerations in the development of CP were wrong, because pre-incubation of tumor cells with Endoxan before their transplantation into experimental animals did not prevent tumor formation, in contrast to pre-incubation of tumor cells with the serum of experimental animals that had been treated with Endoxan. It soon became apparent that Endoxan is converted into its therapeutic active form by the cytochrome P450 enzyme system, which was discovered at the time.

Metabolism of CP

Once it was certain that CP is converted into its therapeutically active form by the cytochrome P450 enzyme system, the detection of the postulated hydroxylation product 4-hydroxycyclophosphamide (CPOH) formed in vivo was initially difficult because no in vitro reference substances were available for chromatographic detection. Only after Peter had succeeded in synthesizing CPOH by reducing 4-hydroperoxycyclophosphamide, which he produced by ozonizing CP [6], was it possible to develop chromatography systems with which CPOH could be detected by mass spectrometry in test animals and patients after injection of tritium-labelled CP [7,8]. These and other in vitro experiments resulted in the scheme for the metabolism of CP shown in Figure 1.

Metabolism of CP

After administration to patients or animals, the majority of CP (1) is hydroxylated by the cytochrome P450 enzyme system in the liver to 4-hydroxycyclophosphamide (CPOH) (2). The remainder is converted to dechlorocyclophosphamide (7) by side-chain hydroxylation with cleavage of toxic chloroacetaldehyde (8). CPOH forms an equilibrium mixture with aldophosphamide (ALD) (2a). The tautomer pair CPOH/ALD is a substrate for three competing reactions: the formation of 4-ketocyclophosphamide (9) from CPOH, the formation of the alkylating metabolite phosphoramide mustard (PAM) (3) from ALD, and the oxidation of the majority of ALD to the therapeutically inactive carboxyphosphamide (CARB) (6).
The mechanism of action of CP could not be clarified for over 50 years. For this reason, no better, new cyclophosphamides optimized for the mechanism of action could be developed. This was due to the fact that the metabolism of CP described in this way, which is only correct for in vitro conditions, was uncritically transferred to in vivo conditions. In contrast to in vitro conditions, where PAM is formed by β-elimination of acrolein (4) from ALD, in vivo ALD is enzymatically cleaved into PAM and proapoptotic 3-hydroxypropanal (HPA) (5) [9]. The formation of acrolein by β-elimination from ALD is linked to the presence of phosphate and/or bicarbonate ions [10], the concentration of which in vivo is too low to release therapeutically effective amounts of PAM [9].

Early Hypotheses on the Mechanism of Action of CP

Enrichment of PAM in Tumor Cells

The reason for the “tumor selectivity” of CP was assumed to be the accumulation of PAM in tumor cells, because tumor cells are thought to have more ALD available for the formation of PAM due to lower aldehyde dehydrogenase activity [11]. Consequently, efforts to improve CP focused on increasing the concentration of PAM in tumor cells. An example is the development of Glufosfamide (β-D-glucose-isophosphoreamide mustard), which has been synthesized on the basis of the rationale that cancer cells have an increased uptake of glucose [12]. However, it must be emphasized that only with CPOH but not with PAM the antitumor effect of CP can be imitated (see Figure 2) and that Brock had already shown in 1976 that of all CP metabolites only CPOH has a therapeutic index, like CP [13]. The therapeutic Index - the ratio from the amount of a therapeutic agent that causes toxicity to the amount that causes the therapeutic effect was determined greater than 100 for CP and CPOH but only 3.5 for PAM measured in Yoshida ascites sarcoma-bearing rats.

Suicide Inactivation of DNA Polymerase by CPOH

A new point of view on the mechanism of action of CP arose from the discovery of the enzyme-catalyzed formation of PAM [16]. Two enzyme groups were identified responsible for the breakdown, simple phosphoesterases and phosphodiesterases with 3’-5’ exonuclease activity of the DNA polymerase I type from E coli (EC 2.7.7.7) i.e. DNA polymerases with proof reading function which are found in increased activity in proliferating tissue like tumor tissue [16]. Based on these experimental results, Bielicki et al developed the hypothesis of suicide inactivation [17]. According to this hypothesis, PAM is released by the exonuclease subunit from CPOH, and alkylates the enzyme itself (suicide inactivation) or the DNA associated with the enzyme.
These ideas about the mechanism of action of CP and possibilities for improvement became obsolete with the discovery of 3-hydroxypropanal (HPA) as a CP metabolite [9] and apoptosis as a general metabolic pathway for regulating cell homeostasis, because it became clear that every substance that damages the DNA triggers p53-induced apoptosis, i.e. that the DNA alkylation is sometimes only the initiator of cell-specific processes that cause cell death.

Literature Reviews Suggesting That HPA Enhances p53-Controlled Apoptosis Initiated by DNA Alkylation by PAM

3-hydroxypropanal (HPA) - dicovered as CP metabolite – is also known as reuterin because it is produced by Lactobacillus reuteri and releases it into the culture medium. Experiments by Iyer [19], who investigated the effects of the supernatant of L. reuteri cultures on tumor necrosis factor (TNF)-activated apoptose signaling pathways in human leukemia cells, showed that reuterin inhibits the formation of the anti-apoptotic proteins Bcl-2 and Bcl-xL and the TNF dependent NF-κB activation. In further experiments, Iyer and colleagues showed increased phosphorylation of the p38 and JNK proteins, indicating activation of apoptosis and cell cycle arrest. In addition, they measured decreasing phosphorylation of ERK, which is a sign of decreased proliferation, cell division, and cell differentiation.
Schwartz and Waxman [20] investigated the effect of CPOH on the caspase 8 (extrinsic) and caspase 9 (intrinsic) dependent pathways of apoptosis in 9L tumor cells. Contrary to other anticancer drugs like doxorubicin and cisplatin [21,22] in which activation of caspase 8 is the initial apoptotic event, after application of CPOH, activation of caspase 9 was detectable before the activation of caspase 8.
In addition, caspase 9 was activated to a greater extent than caspase 8, indicating the p53 mediated apoptotic pathway. This finding is in agreement with the report that caspase 8 specific inhibitors only block cisplatin but not CP induced apoptosis [23].
These literature findings are a strong indication that CPOH triggers the intrinsic pathway of apoptosis.

Scientific Findings That Lead to the Mechanism of Action of CP

  • ALD is the carrier of the therapeutic efficacy of CP [13].
  • The formation of PAM in vivo does not produce acrolein but HPA [18].
  • HPA is a pro-apoptotic CP metabolite [19].
  • The event leading to cell death after CP therapy is p53 driven apoptosis [20]
These experimental findings lead to the mechanism of action formulated in Figure 3
The core of the postulated mechanism of action is the formation of PAM and HPA by enzymatic cleavage of ALD, rather than the β-elimination of acrolein from ALD, as has been assumed for more than 50 years. This raises two questions: What causes CP toxicity, and why are hemorrhagic cystitis and hematuria after CP therapy - both previously attributed to acrolein - reduced by MESNA (sodium 2-mercaptoethanesulfonate) [24], which neutralizes acrolein?

On the Toxicity of CP and the Mechanism of Action of Mesna

As shown in Figure 4 CPOH reacts with SH groups containing compounds. CPOH is responsible for toxicity when the compound is a biomolecule such as a membrane protein, but it reduces toxicity if CPOH is neutralized by small SH group-containing molecules such as Mesna.
The toxic metabolite of CP is not acrolein but CPOH as is shown in toxicity tests described in literature [25].
CP, as already mentioned, is a random product and not adapted to its mechanism of action. Disadvantages are that toxic chloroacetaldehyde is formed in a side reaction during the formation of the pharmacologically active metabolite ALD, and that the formation of toxic CPOH precedes the formation of ALD. Another disadvantage is that the majority of the ALD formed - approximately 80% in mice - is oxidized to therapeutically ineffective CARB [15]. As a glance at the scheme for the mechanism of action of CP (Figure 3) shows, the repair of DNA damaged by PAM reduces the apoptosis yield. In the development of new, less toxic but effective “cyclohosphamides,” it is therefore necessary to form the pharmacologically active metabolite ALD by bypassing toxic CPOH, creating DNA damage that cannot be repaired by the cell’s own repair systems, and - if possible - to suppress the oxidation of ALD to CARB.

Mechanism of Action-Based Development of New Cyclophosphamides

Chemical compounds that partially meet the described requirements are thiazolidines and perhydrothiazines of aldophosphamide, which are formed by the reaction of ALD with β- or γ-aminothiols such as cysteine ​​or homocysteine ​​(see Figure 5).
Aldophosphamide thiazolidines and perhydrothiazines with the alkylating functions of CP and ifosfamide (IF) were synthesized. They are 7-9 times less toxic than CPOH or 4-hydroxy-ifosfamide (IFOH) and exhibit comparable antitumor efficacy to CP or IF [26,27].
In further experiments, the alkylating function was altered. It was found that whenever a chlorine atom of the alkylating function of the thiazolides or perhydrothiazines of ALD or I-aldophosphamide (I-ALD) was replaced with a mesyl group, the antitumor efficacy against P388 mouse leukemia cells transplanted subcutaneously into CD2F1 mice was significantly improved. To further investigate the “mesyl effect,” the perhydrothiazines of I-aldophosphamide with the alkylating function of IF (I-aldophosphamide perhydrothiazine, IAP) and with an alkylating function in which a chlorine atom was replaced with a mesyl group (sulfonylmethyl IAP, SUM-IAP) were synthesized (see Figure 6 for formulas) and tested on the described tumor model. The ifosfamide derivatives were chosen because they are easy to synthesize and handle.
Figure 7 shows the results of therapy tests with IAP and SUM-IAP on solid, subcutaneously transplanted P388 tumor-bearing CD2F1 mice. The first glance shows the difference between the animals treated with IAP and SUM-IAP. While in the animals treated with IAP, with the exception of the animals treated with the highest dose, only a growth delay of the tumor can be measured, in the animals treated with SUM-IAP the tumors are reduced to below the detection limit in all groups.
A comparison of curves a and e is particularly revealing. Here the animals were treated with equimolar doses of IAP (curve a) and SUM-IAP (curve e). While after IAP treatment only a marginal growth delay can be measured, after treatment with the same dose of SUM-IAP the tumor is reduced to below the detection limit for 4 days before resistant tumor cells form a new tumor. To quantify the difference in efficacy, the tumor growth curves shown in Figure 6 were evaluated using the back extrapolation method according to Alexander and Mikulski [28]. Under the simplifying assumption that the tumor area is proportional to the tumor mass1 and that the cells are in the exponential growth phase. The result of this quantification experiment shows a ten-thousand-to-hundred-thousand-fold increase in antitumor activity by substituting a chlorine atom with a mesyl group in the alkylating function of I-aldofosfamide perhydrothiazine [26].
The significantly better efficacy of SUM-IAP compared to IAP was measured in all trials in different dose ranges and application schedules.
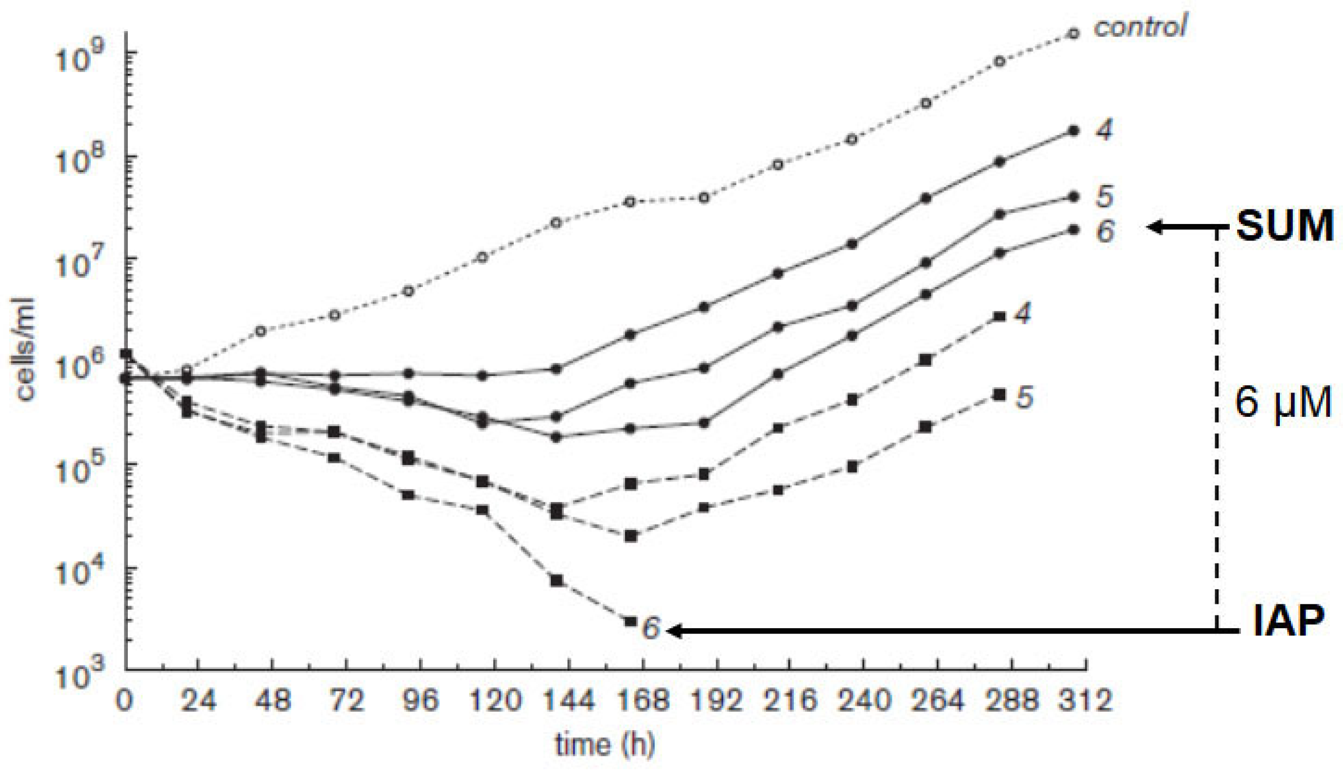
The described experiments date back to the 1990s. The results were inexplicable when it turned out that the improved antitumor effect of SUM-IAP was not due to increased cytotoxicity, as shown in Figure 8. The Fig shows growth curves of P388 cells - the very same cells that grew as solid tumors in mice in the experiments shown in Figure 7 - under the influence of IAP and SUM-IAP. While the cells die after incubation in a 6 µM IAP solution, incubation in a SUM-IAP solution of the same concentration causes only a marginal growth delay. This result clearly shows that the therapeutic success of SUM- IAP is not due to increased cytotoxicity. The reason for the superior antitumor effect of SUM-IAP compared to IAP could not be explained with the biochemical knowledge of the 1990s.
But with the memory of the discovery of HPA as a CP metabolite and the knowledge of the biochemical processes of apoptosis did the simple connection between the exchange of a chlorine atom by a mesyl group and the increase in antitumor effect become obvious: The mechanism of action of CP (Figure 2) shows that repair of DNA damaged by PAM reduces the apoptosis yield and thus the antitumor efficacy. This is precisely the reason for the ten- to one-hundred-thousand-fold increase in efficacy of SUM-IAP compared to IAP. This is because chloroethyl groups as found in IAP form DNA interstrand cross links that are repaired very efficiently [29], whereas mesyl groups present in the SUM-IAP molecule form intrastrand cross-links that are poorly repairable (http://www. atdbio.com/content/16/Nucleic-acid-drug-interactions).
IAP and SUM-IAP have a cytotoxic effect by damaging DNA through alkylation and initiating apoptosis through DNA damage. In cell culture experiments, only DNA damage through alkylation is measured, and this is greater with the alkylating function of IAP than with the alkylating function of SUM-IAP. In vivo, however, the dominant effect is the initiation of apoptosis through DNA damage, and this is orders of magnitude greater with SUM-IAP than with IAP because the induced DNA damage is irreparable.
The cell culture experiments and therapeutic experiments in mice with P388 tumors demonstrate: First, an impressive demonstration of the validity of the postulated mechanism of action of CP; second, that PAM and HPA are complementary CP metabolites; third, SUM-IAP is not an alkylating cytostatic drug, but rather an apoptosis booster; and last but not least, they point the way for the development of new, better cyclophosphamide related apoptosis booster.
Common cyclophosphamides the representative of which is IAP exert their efficacy by a mixed effect of cytotoxic DNA damage and resulting apoptosis but SUM-IAP mainly by inducing apoptosis.

Therapy Trials with SUM-IAP on P388-Bearing CD2F1 Mice

The following experiments are intended to demonstrate the potential of newly developed cyclophosphamides, whose efficacy is shifted toward apoptosis.
Treatment with SUM-IAP in tumor-bearing mice led to a reduction in tumor mass below the detection limit but not to a cure. Thirty to 60 days after the start of therapy, the animals mostly died from metastases, which were externally visible in the lymph nodes of the forelegs and hind legs. Autopsies of the animals killed 25 days after the start of therapy showed the first, just visible metastases in the liver, suggesting that the liver is the starting point for metastasis formation [30]. This is plausible because part of the formed I-ALD is detoxified in the liver to the therapeutically ineffective carboxylic acid. Accordingly, metastasis formation should be preventable by combining SUM-IAP with a second cytostatic drug that is not detoxified in the liver.
Cisplatin (CPT) was used as the second cytostatic drug for a combination experiment. It was chosen because it is not detoxified in the liver. Table 1 shows the results of the experiments with SUM-IAP in combination with CPT on solid P388 tumor-bearing female CD2F1 mice.
One of the four mice treated only with SUM-IAP survived the observation period of 100 days, the remaining three developed metastases and died between days 50 and 70. If the animals were additionally treated with CPT, one mouse in the group additionally treated with 1.8 mg/kg CPT developed metastases and died on day 69. In the group additionally treated with 3.6 mg/kg CPT, no animal developed metastases, but one mouse died on day 72 from substance toxicity. 3.16 mg kg CPT alone is only marginally effective (ILS of 76%). The result of this experiment is unsatisfactory because the combination with CPT, which suppresses metastasis growth, is toxic.
The overall result of the combination experiment with CPT is that the combination with a cytostatic drug that increases DNA damage does not bring the expected benefit, namely tumor eradication without or only low low toxicity.
In another experiment, SUM-IAP was combined with N-Methylformamide. (NMF) is a nongenotoxic agent that induce apoptosis by an unknown mechanism of action. The results are shown in Table 2.
Here too, the usual picture, increase in life span of 170% and death of the animals due to metastasis following monotherapy with SUM-IAP; but prevention of metastasis formation in four of five animals by 12 daily additional therapy with 200 mg/kg NMF In contrast to the combination trial with CPT, no signs of toxicity were observed in the NMF experiment. The animals’ weight increased continuously throughout the entire observation period. Apart from a brief drop in leukocyte count after the SUM-IAP injections and subsequent excessive regeneration, no abnormalities were observed in the animals. One animal died without metastases on day 50 after tumor transplantation following regrowth of the primary tumor.
The combination of SUM-IAP with dem “apoptosis enhancer” NMF brings the desired result, a toxicity-free improvement in the therapeutic outcome.
The experimental result shown in Table 3 is a random result. In the attempt to prevent metastasis formation with SUM-IAP alone, the dose and the number of treatment cycles were increased. After treatment of tumor-bearing mice with 666 mg/kg SUM-IAP on days 7 and 8 after tumor transplantation, the familiar picture emerged: reduction of the primary tumor below the detection limit, but death of the animals after regrowth of the primary tumor and metastases between days 23 and 28. But after a further treatment cycle on days 14 and 15 with the same dose, the animals recovered (survival time > 100 days). However, this was not due to the cytotoxic effect of the second treatment cycle, but rather due to its immune-stimulating effect. This can be seen in the rapid increase in leukocytes after the second therapy cycle: The leukocyte count before initiation of therapy on day 7 after tumor transplantation was 6009 ±1315 /µl blood (mean± SD), decreased after SUM-IAP treatments and rose sharply on day 23 to 24753 ±7290/µl blood on day 30 and returned to baseline on day 36.

Discussion

Although cyclophosphamide has been an integral part of clinical practice for over 60 years, its mechanism of action remained unknown until recently, just as all attempts to improve CP were unsuccessful. The reason for this is that results from in vitro studies were uncritically extrapolated to in vivo conditions, and the biochemical knowledge available at the time did not allow for an explanation of CP’s mechanism of action. This study does not describe the results of a targeted search for CP’s mechanism of action, but rather a puzzle in which old experimental results were re-evaluated using modern biochemical insights together with experimental results from the scientific literature.
For decades, it was assumed that the alkylating CP metabolite PAM is formed in vitro, for example, in cell culture experiments and also in patients, by β-elimination of toxic acrolein from ALD. The discovery of a second pathway for PAM formation, namely the enzymatic cleavage of ALD to HPA and PAM, initially seemed insignificant, since both pathways produced PAM, which was considered the metabolite responsible for the antitumor effect. The significance of the discovery of HPA as a CP metabolite was recognized after Schwartz and Waxman demonstrated that the event leading to cell death after incubation of 9L cells with CPOH is p53-controlled apoptosis [20] and Iyer et al. published that HPA triggers p53-directed apoptosis [19]. This suddenly made it clear that CP forms two complementary cytotoxic metabolites, namely PAM and HPA. Furthermore, the discovery of HPA as a CP metabolite answers the question why CP efficacy can be imitated only with CPOH but not only with PAM.
With this knowledge, the mechanism of action for CP and other oxazaphosphorine cytotoxic drugs formulated in Figure 3 practically became obvious, but it then had to be proven. Inexplicable results from previous experiments suddenly became explainable, confirming the proposed mechanism of action. As shown in Figure 6, SUM-IAP is orders of magnitude more potent than IAP. Once the mechanism of action was formulated, the experimental result suddenly became clear: alkylation functions with mesyl groups instead of chlorine create irreparable intra-strand DNA cross-links with high apoptosis yield better with high antitumor activity. This experimental result proved the correctness of the proposed mechanism of action and showed that SUM-IAP is not an alkylating agent, but rather an apoptosis booster.
Even though the substitution of a chlorine atom by a mesyl group in SUM-IAP shifts the antitumor efficacy towards apoptosis and, as measured in P388 tumor-bearing CD2F1 mice, increases antitumor activity by more than a thousandfold, a cure of the animals is not possible because tumor cells become resistant and form metastases that lead to death. The tumor model used thus reflects the clinical situation. Metastasis formation can be suppressed by CPT as is shown in tab. But the combination with CPT, which supports the cytotoxic side of SUM-IAP, is toxic.
The results summarized in Table 2 demonstrate that “low-toxicity therapy” is possible by promoting the apoptotic side of SUM-IAP’s effect by combining SUM-IAP with the apoptosis inducer NMF. Originally NMF was chosen for the combination therapy because it is described in the scientific literature as a substance with ant-metastatic activity. After surgical removal of a metastatic mammary carcinoma in nu/nu mice, the animals treated with NMF for a period of 18 days after removal of the primary tumor developed metastases less frequently than control mice not treated with NMF [33].
Little is known about the mechanism of action of NMF. Pretreatment of human carcinoma cells with NMF resulted in a decrease in their transplantation potential in nu/u mice, but this could be reversed by posttreatment with precursor metabolites of glutathione synthesis, such as L-cysteine. From These experiments It was concluded that NMF exerts its efficacy by depleting the glutathione pool [34]. However other findings suggest that depletion of the glutathione pool is a side effect of other cytopathological effects [35]. Recent studies suggest that NMF triggers or promotes apoptosis by cell cycle arrest in the G1 phase and induction of the CDK2 inhibitor P21 [36,37]. Experiments investigating the influence of NMF on superoxide dismutase (SOD) [38] point in the same direction because due to perturbation of secondary structure of SOD NMF causes loss of enzymatic activity. The resulting O2 accumulation in the cytoplasm and mitochondria increases loss of mitochondrial membrane potential and DNA-damage-mediated p53 activation [39]. The finding that NMF strongly supports the apoptotic efficacy of SUM-IAP is further evidence that NMF promotes apoptosis metabolism.
Tumor cells produce tumor-specific proteins that are subject to normal metabolism. Fragments of the tumor proteins fragmented in proteasomes are presented to cytotoxic T cells (Tc) on the tumor cell surface, along with MHC1 molecules. Tc cells should actually destroy the presenting tumor cell, but are prevented from doing so by regulatory T cells (Treg), whose task is to protect normal body cells from Tc attack. This is because tumor cells have developed strategies to disguise themselves as normal cells for Tregs. However, Treg cells have a weakness: their low DNA repair capacity, which makes them susceptible to apoptosis [39]. This is precisely what can be exploited with SUM-IAP - as the experiment shown in Table 3 demonstrates - to enable Tc to attack tumor cells, or more precisely, to prevent the formation of metastases.
Thus, SUM-IAP can kill two birds with one stone: eradicating the primary tumor through DNA damage-induced apoptosis and activating the immune system to destroy metastases by temporarily suppressing Treg activity.
Prevention of the formation of therapeutically useless CARB from ALD has been cited as a desirable property of new cyclophosphamides. The extent to which this requirement is met in SUM-IAP can only be estimated. The Michaelis constant for CARB forming aldehyde dehydrogenases is in the range of 10-5-10-3M [40]. A value of approximately >20 hours was measured for the half-life of the hydrolysis of SUM-IAP to SUM-I-aldophosphamide (SUM-I-ALD), so it can be assumed that the resulting SUM-IAP concentration is in the lower area or below the affinity range of the ALD-oxidizing enzymes. Pharmacokinetic studies with aldophosphamid thiazolidine (TIA, R1=H, R2=R3= -CH2CH2Cl, Figure 5) provide evidence for this. After intravenous injection of TIA, no CARB was detected in the blood of mice, in contrast to a corresponding experiment with Mafosfamide which hydrolyses to CPOH within minutes [41].
The low equilibrium concentration of SUM-I-ALD raises the question of which enzyme is responsible for the cleavage of SUM-I-ALD to SUM-I-PAM and HPA. As already mentioned, the tautomeric pair CPOH/ALD is metabolized by two different groups of enzymes: simple esterases, which are detectable in serum and in the 105,000 g supernatant of organ homogenates with KM values ​​in the range of 10-3M, and DNA polymerase δ- and ε-associated 3’-5’ exonucleases, which are highly active in proliferating tissues such as tumor tissue and have KM values ​​in the very low concentration range, as is the case for the dissociation of SUM-IAP to SUM-I-ALD. In this context, the aforementioned suicide hypothesis [17] gains significance. According to this hypothesis, PAM is released by DNA polymerase-associated 3’-5’ exonucleases, either inactivating the enzyme itself or damaging the DNA. Given the mechanism of action of CP, it should be stated that DNA polymerase-associated 3’-5’ exonucleases release the complementary metabolites PAM and HPA in the replicating cell, which kill the cell by inducing p53-directed apoptosis.
In contrast to the perhydrothiazine derivatives IAP and SUM-IAP, thiazolidine derivatives cross the blood-brain barrier. This property is linked to the thiazolidine rig. Studies have shown that S35-labeled TIA, enters Ehrlich ascites cells through a strophanthin-inhibitable Na+ cotransport which is inhibited by L-cysteine [42]. Thus, aldophosphamide thiazolidines are candidates for the development of cyclophosphamides for the treatment of CNS tumors.

Funding

This study was funded by the Bundesministerium für Forschung und Technologie.

Conflicts of Interest

The author declares no conflict of interest.

References

  1. Goodman, L.S.; Wintrobe, M.M. Nitrogen mustard therapy; use of methyl-bis (beta-chloroethyl) amine hydrochloride and tris (beta-chloroethyl) amine hydrochloride for Hodgkin’s disease, lymphosarcoma, leukemia and certain allied and miscellaneous disorders. J. Am. Med. Assoc. 1946, 132, 126–132. [CrossRef]
  2. Hirsch J. An anniversary for cancer chemotherapy. JAMA. 296 (12): 1518–20. 2006. [CrossRef]
  3. Meyer J, J P Weinmann JP. Phosphamidase Content of Normal and Pathologic Tissues of the Oral Cavity. J Histochem Cytochem 1953 Sep;1(5):305-14. [CrossRef]
  4. Tomitka K, Takeuchi T.On the phosphamidase reaction of tumor tissues. Gan. 1955 Sep;46(2-3):333-4.
  5. Arnold, H.; Bourseaux, F.; Brock, N. Chemotherapeutic action of a cyclic nitrogen mustard phosphamide ester (B 518-ASTA) in experimental tumours of the rat. Nature 1958, 181, 931. [CrossRef]
  6. Peter, G.;Wagner, T.; Hohorst, H.J. Studies on 4-hydroperoxycyclophosphamide (NSC-181815): A simple preparation method and its application for the synthesis of a new class of “activated” sulfur-containing cyclophosphamide (NSC-26271) derivatives. Cancer Treat. Rep. 1976, 60, 429–435.
  7. Voelcker G, Wagner T, Hohorst HJ. Identification and pharmacokinetics of cyclophosphamide (NSC26271) metabolites in vivo. Cancer Treatment Reports 1976, 60: 415-422.
  8. Voelcker G. Draeger U. Peter G. Hohorst HJ. Studien zum Spontanzerfall von 4-Hydroxycyclophosphamid und 4-Hydroperoxycyclophosphamid mit Hilfe der Dünnschichtchromatographie , Arzneim. Forsch.(Drug Research) 24, 1172-1176 1974.
  9. Voelcker G. Enzyme catalyzed decomposition of 4-hydroxycyclophosphamide. Open Conf Proc J 2017; 8:44–51. [CrossRef]
  10. Low, J.E.; Borch, R.F.; Sladek, N.E. Conversion of 4-hydroperoxycyclophosphamide and 4-hydroxycyclophosphamide to phosphoramide mustard and acrolein mediated by bifunctional catalysis. Cancer Res. 1982, 42, 830–837.
  11. Sládek NE. Leukemic cell insensitivity to cyclophosphamide and other oxazaphosphorines mediated by aldehyde dehydrogenase(s). Cancer Treat Res. 2002;112:161-75. [CrossRef]
  12. Seker H, Bertram B, Bürkle A, Kaina B, Pohl J, Koepsell H, Wiesser M. Mechanistic aspects of the cytotoxic activity of glufosfamide, a new tumour therapeutic agent. Br J Cancer. 2000 Feb;82(3):629-34. [CrossRef]
  13. Brock N. Comparative pharmacologic study in vitro and in vivo with cyclophosphamide (NSC-26271), cyclophosphamide metabolites, and plain nitrogen mustard compounds. Cancer Treat Rep 1976; 60:301–308.
  14. Voelcker, G.; Haeglsperger, R. Pharmacokinetics of cyclophosphamide and cyclophosphamide metabolites in the mouse and their influence on the therapeutic effect of “activated” cyclophosphamide (4-hydroxycyclophosphamide) (author’s transl). Arzneimittelforschung 1982, 32, 639–647.
  15. Voelcker G. Bastert G. Haeglsperger R. Fortmeyer R. Peter G. Hohorst HJ. Pharmacokinetics and Therapeutic Effects of Activated Cyclophosphamide (4-Hydroxycyclophosphamide G.B.A. ) Bastert et. Al. (eds): Thymusaplastic Nude Mice and Rats in Clinical Oncology Gustav Fischer Verlag, Stuttgart, New York 1981.
  16. Voelcker G. Bielicki L. Hohorst H.J. Evidence for enzymatic toxification of actitivated cyclophosphamide (4-hydroxycyclophosphamide). J Can Res Clin Oncol 99A, 1981, 58-59.
  17. Bielicki L,Voelcker G. Hohorst H.J.Enzymatic toxicogenation of activated cyclophosphamide by 3’-5’exonucleases. J Canc Res Clin Oncol 1983, 105 27-29. [CrossRef]
  18. Hohorst H.J. Bielicki L. Voelcker G. The enzymatic basis of cyclophosphamide specificity. Weber G (ed) Advances in enzyme regulation 25, 1986: 99-122:. [CrossRef]
  19. Iyer C, Kosters A, Sethi G, Kunnumakkara AB, Aggarwal BB, Versalovic J.Probiotic Lactobacillus reuteri promotes TNF-induced apoptosis in human myeloid leukemia-derived cells by modulation of NF-kappaB and MAPK signalling. Cell Microbiol. 2008 Jul;10(7):1442-52. [CrossRef]
  20. Schwartz PS, Waxman DJ. Cyclophosphamide induces caspase 9-dependent apoptosis in 9L tumor cells. Mol Pharmacol. 2001 Dec;60(6):1268-79. [CrossRef]
  21. Fulda, S.; Susin, S.A.; Kroemer, G.; Debatin, K.M. Molecular ordering of apoptosis induced by anticancer drugs in neuroblastoma cells. Cancer Res., 1998, 58(19), 4453-4460. [PMID: 9766678].
  22. Seki, K.; Yoshikawa, H.; Shiiki, K.; Hamada, Y.; Akamatsu, N.; Tasaka, K. Cisplatin (CDDP) specifically induces apoptosis via sequential activation of caspase-8, -3 and -6 in osteosarcoma. Cancer Chemother harmacol., 2000, 45(3), 199-206. [CrossRef]
  23. Wu, M. Lee, H. Bellas, R.E. Schauer, S.L. Arsura, M.; Katz, D. FitzGerald, M.J. Rothstein, T.L. Sherr, D.H. Sonenshein, G.E. Inhibition of NF-kappaB/Rel induces apoptosis of murine B cells. EMBOJ. 2, 4682–4690 1996,.
  24. Kurowski V, Wagner T. Urinary excretion of ifosfamide, 4-hydroxyifosfamide, 3- and 2-dechloroethylifosfamide, mesna, and dimesna in patients on fractionated intravenous ifosfamide and concomitant mesna therapy Cancer Chemother Pharmacol 1997; 39:431–439. [CrossRef]
  25. Voelcker G. Causes and possibilities to circumvent cyclophosphamide toxicity Anti-Cancer Drugs 2020, 31:617–622. [CrossRef]
  26. Voelcker G, Bielicki L, Hohorst HJ Thiazolidinyl- and perhydrothiazinylphosphamidesters: toxicity and preliminary antitumour evaluation..J Cancer Res Clin Oncol. 1997;123(11-12):623-31. [CrossRef]
  27. Voelcker G, Pfeiffer B, Schnee A, Hohorst H.J. Increased antitumour activity of mesyl-I-aldophosphamide-perhydrothiazine, in vivo but not in vitro, compared to I-aldophosphamide-perhydrothiazine. Cancer Res Clin Oncol. 2000 Feb;126(2):74-8. [CrossRef]
  28. Alexander, P.; Mikulski, Z. Differences in the Response of Leukaemia Cells in Tissue Culture to Nitrogen Mustard and to Dimethyl Myleran. Biochem. Pharmacol. 1961, 5, 275–282. [CrossRef]
  29. Povirk LF, Shuker DE. DNA damage and mutagenesis induced by nitrogen mustards. Mutat Res 1994; 318:205–226. [CrossRef]
  30. Voelcker G.; Mechanism-of-Action based development of new Cyclophosphamides, Syn Bio 1, 158-171, 2023, doi.org/10.3390synbio1020011. [CrossRef]
  31. Voelcker G. Enhancement of antitumor activity of the oxazaphosphorine cytostatic SUM-IAP by N-methylformamide. J Cancer Res Clin Oncol. 2016 Jun;142(6):1183-9. [CrossRef]
  32. Voelcker G., Immunstimulating and cancer-reductive experimental therapy with the oxazsphosphorine cytostatic SUM-IAP. Anti-cancer drugs 2018. [CrossRef]
  33. Iwakawa M, Tofilon PJ, Hunter N, Stephens LC, Milas L (1987) Anti tumor and antimetastatic activity of the differentiating agent N-methylformamide in murine tumor systems. clin Exp Metas tasis 5(4):289–300. [CrossRef]
  34. Codeiro RF, Savarese TM (1986) Role of glutathione depletion in the mechanism of action of N-methylforamide and N, N-dimethyl formamide in a cultured human colon carcinoma cell line. Can cer Res 46:1297–1305.
  35. Malorny W, Meschini S, Arancia G (1992) Cytoskeleton-dependent surface blebbing induced by the polar solvent N-methylforamide. Exp Mol Pathol 57:85–104. [CrossRef]
  36. Chatterjee D, Mendelsohn A, Shank PR, Savarese TM (1989) Revers ible Suppression of c-myc Expression in a human colon carci noma line by the anticancer agent N-methylformamide. Cancer Res 49:3910–3916.
  37. Wood AC, Elvin P, Hickman JA (1995) Induction of apoptosis by anti cancer drugs with disperate modes of action: kinetics of cell death and changes in c-myc expression. Br J Cancer 71:937–941. [CrossRef]
  38. Kalyani D, Jyothi K, Sivaprakasam C, Nachiappan V (2014) Spec troscopic and molecular modeling studies on interactions of N-methylformamide with superoxide dismutase. Mol Biomol Spectrosc 124:148–152. [CrossRef]
  39. Watanabe K, Shibuya S, Koyama H, Ozawa Y, Toda T, Yokote K, Shimizu T (2013) Sod1 loss induces intrinsic superoxide accumulation leading to p53-mediated growth arrest and apoptosis. Int J Mol Sci 14:10998–11010. [CrossRef]
  40. Manthey LC, Landkammer GJ, Sladek NE Identification of the mouse aldehyddehydrogenase important in aldophosphamide detoxification. Canc. Res.50 4991-5002, 1990.
  41. Voelcker G. Aldophosphamide-thiazolidine (NSC-613060) an oxazaphosphorine cytostatic that crosses the blood brain barrier. Anticancer Drugs. 2021 Jan 1;32(1):61-65. [CrossRef]
  42. Jungkamp W. Aktive anreicherung von aldophosphamidthiazolidin carbonsäure in tierischen zellen untersuchungen an ehrlich-ascites tumorzellen. Inaugural-dissertation zur erlangung des doktorgrades der zahnmedizin des fachbereichs humanmedizin der johann wolfgang goethe universität frankfurt am main 1990.
Figure 1. Metabolism of CP (details see text).
Figure 1. Metabolism of CP (details see text).
Preprints 179089 g001
Figure 2. demonstrates that this applies not only to ascites tumors in rats but also to human xenografts in nu/nu mice. The figure shows the results of treatment trials with CP, CPOH, and PAM in human breast carcinoma-bearing nu/nu mice. That CPOH is as effective as CP is measurable only after intravenous administrationof of CPOH because due to the high first-pass effect of 80% [14], not after intraperitoneal injection. Figure 2 Left: CP 100 mg/kg i.p. CPOH 31.6 mg/kg i.p. and iv., right PAM 46 mg/kg i.v, CP 100mg/kg i.p. Human breast carcinoma hetero transplanted on female nu/nu mice. 5 - 10 individual measurements, standard deviation of the last measurement. Fig. is taken from reference [15] and adapted to this article, for details of methodology see there.
Figure 2. demonstrates that this applies not only to ascites tumors in rats but also to human xenografts in nu/nu mice. The figure shows the results of treatment trials with CP, CPOH, and PAM in human breast carcinoma-bearing nu/nu mice. That CPOH is as effective as CP is measurable only after intravenous administrationof of CPOH because due to the high first-pass effect of 80% [14], not after intraperitoneal injection. Figure 2 Left: CP 100 mg/kg i.p. CPOH 31.6 mg/kg i.p. and iv., right PAM 46 mg/kg i.v, CP 100mg/kg i.p. Human breast carcinoma hetero transplanted on female nu/nu mice. 5 - 10 individual measurements, standard deviation of the last measurement. Fig. is taken from reference [15] and adapted to this article, for details of methodology see there.
Preprints 179089 g002
Figure 3. Mechanism of action of CP. After hydroxylation and formation of ALD, ALD is decomposed by enzymatically to the alkylating PAM and proapoptotic HPA. PAM damages DNA by alkylation. The alkylated DNA is either repaired immediately or, if this is not possible, the tumor suppressor protein p53 induces cell cycle stop to give the cell time to repair the damage. If DNA repair is not possible, p53 induces apoptosis, which is enhanced by HPA.
Figure 3. Mechanism of action of CP. After hydroxylation and formation of ALD, ALD is decomposed by enzymatically to the alkylating PAM and proapoptotic HPA. PAM damages DNA by alkylation. The alkylated DNA is either repaired immediately or, if this is not possible, the tumor suppressor protein p53 induces cell cycle stop to give the cell time to repair the damage. If DNA repair is not possible, p53 induces apoptosis, which is enhanced by HPA.
Preprints 179089 g003
Figure 4. Toxicity of CPOH and reduction of toxicity by Mesna. CPOH reacts with SH groups containing compounds, if the compound is a bio molecule like a membrane protein CPOH is toxic; if the compound is a small molecule like MESNA, CPOH is neutralized.
Figure 4. Toxicity of CPOH and reduction of toxicity by Mesna. CPOH reacts with SH groups containing compounds, if the compound is a bio molecule like a membrane protein CPOH is toxic; if the compound is a small molecule like MESNA, CPOH is neutralized.
Preprints 179089 g004
Figure 5. Spontaneous hydrolysis of aldophosphamide thiazolidine and perhydrothiazine to ALD and cysteine/homocysteine.
Figure 5. Spontaneous hydrolysis of aldophosphamide thiazolidine and perhydrothiazine to ALD and cysteine/homocysteine.
Preprints 179089 g005
Figure 6. Formulas of IAP (I-aldophosphamid perhydrothiazin) and SUM-IAP (sulfonyl methyl IAP).
Figure 6. Formulas of IAP (I-aldophosphamid perhydrothiazin) and SUM-IAP (sulfonyl methyl IAP).
Preprints 179089 g006
Figure 7. Tumor growth curves of subcutaneously transplanted P388 tumors in CD2F1 mice following therapy on day 7-11 (arrows) with IAP (○) or SUM-IAP (●); dosages (mg/kg) d7-11 IAP: a 111, b 200, c 300, d 480, SUM-IAP: e 133, f 212, g 261; mean values from 3 to 5 animals; dosages a and e equimolar (indicated by arrows). The Fig. is taken from reference [27] and adapted to this article, for details of methodology see there.
Figure 7. Tumor growth curves of subcutaneously transplanted P388 tumors in CD2F1 mice following therapy on day 7-11 (arrows) with IAP (○) or SUM-IAP (●); dosages (mg/kg) d7-11 IAP: a 111, b 200, c 300, d 480, SUM-IAP: e 133, f 212, g 261; mean values from 3 to 5 animals; dosages a and e equimolar (indicated by arrows). The Fig. is taken from reference [27] and adapted to this article, for details of methodology see there.
Preprints 179089 g007
Figure 8. Concentration-response curve of P388 mouse leukemia cells incubated with IAP (■ broken line) or SUM (● solid line). The numbers indicate the concentrations (µM) with which the cells were incubated for a period of 24 h. The Fig. is taken from reference [27] and adapted to this article, for details of methodology see there.
Figure 8. Concentration-response curve of P388 mouse leukemia cells incubated with IAP (■ broken line) or SUM (● solid line). The numbers indicate the concentrations (µM) with which the cells were incubated for a period of 24 h. The Fig. is taken from reference [27] and adapted to this article, for details of methodology see there.
Preprints 179089 g008
Table 1. Therapy tests with SUM-IAP, CPT and SUM-IAP in combination with CPT in female CD2F1 mice bearing subcutaneously transplanted P388 mice leukemia cells. 1long time survivors, surviving time >100d; 2 increase in life span. The table is taken from reference [31] and adapted to this article, for details of methodology see there.
Table 1. Therapy tests with SUM-IAP, CPT and SUM-IAP in combination with CPT in female CD2F1 mice bearing subcutaneously transplanted P388 mice leukemia cells. 1long time survivors, surviving time >100d; 2 increase in life span. The table is taken from reference [31] and adapted to this article, for details of methodology see there.
SUM-IAP (mg/kg/schedule) CPT
(mg/kg/schedule)
LTS1 ILS2 (%)
266/d7-11, d21-25 ------ 1/4 370
266/d7-11, d21-25 1.8/d13,27 4/5 ---
266/d7-11, d21-25 3.6/d13,27 4/5 ---
------ 3.6/d13,27 0/4 76
Table 2. Therapy tests with SUM-IAP, NMF and SUM-IAP in combination with NMF in female CD2F1 mice bearing subcutaneously transplanted P388 mice leukemia cells. 1long time survivors, surviving time >100d; 2 increase in life span. The table is taken from reference [31] and adapted to this article, for details of methodology see there.
Table 2. Therapy tests with SUM-IAP, NMF and SUM-IAP in combination with NMF in female CD2F1 mice bearing subcutaneously transplanted P388 mice leukemia cells. 1long time survivors, surviving time >100d; 2 increase in life span. The table is taken from reference [31] and adapted to this article, for details of methodology see there.
SUM-IAP (mg/kg/schedule) NMF
(mg/kg/schedule)
LTS1 ILS2 (%)
266/ d7-11 ------ 0/5 170
266/ d7-11 130/ d13-24 0/5 130
266/ d7-11 200/ d13-24 4/5 ---
------ 200/ d8-12 0/5 12
Table 3. Therapy tests with SUM-IAP, in female CD2F1 mice bearing sc. transplanted P388 mice leukemia cells. 1long time survivors, surviving time, 3 Increase in leukocyte count (difference before SUM-IAP therapy and highest value after SUM-IAP treatment). The values for Table 3 are taken from reference [32] and adapted to this article, for details of methodology see there.
Table 3. Therapy tests with SUM-IAP, in female CD2F1 mice bearing sc. transplanted P388 mice leukemia cells. 1long time survivors, surviving time, 3 Increase in leukocyte count (difference before SUM-IAP therapy and highest value after SUM-IAP treatment). The values for Table 3 are taken from reference [32] and adapted to this article, for details of methodology see there.
SUM-IAP (mg/kg/schedule) LTS1 ILS2 (%) Increase3 leukoc. (%)
666/ d7,8 0/5 >200 20-40
666/d,7,8; 14,15 5/5 --- 400-500
1
The coefficient for the correlation of tumor area and tumor mass after excision was determined to be 0.93
Disclaimer/Publisher’s Note: The statements, opinions and data contained in all publications are solely those of the individual author(s) and contributor(s) and not of MDPI and/or the editor(s). MDPI and/or the editor(s) disclaim responsibility for any injury to people or property resulting from any ideas, methods, instructions or products referred to in the content.
Copyright: This open access article is published under a Creative Commons CC BY 4.0 license, which permit the free download, distribution, and reuse, provided that the author and preprint are cited in any reuse.
Prerpints.org logo

Preprints.org is a free preprint server supported by MDPI in Basel, Switzerland.

Subscribe

Disclaimer

Terms of Use

Privacy Policy

Privacy Settings

© 2026 MDPI (Basel, Switzerland) unless otherwise stated