Preprint
Article

This version is not peer-reviewed.

Unveiling the Role of the Lewis Acids in the Acceleration of Alder–Ene Reactions: A Molecular Electron Density Theory Study

A peer-reviewed article of this preprint also exists.

Submitted:

16 September 2025

Posted:

17 September 2025

You are already at the latest version

Abstract
The electronic effects of Lewis acids (LAs) in reducing the activation energies of Alder-ene (AE) reactions have been studied within the Molecular Electron Density Theory (MEDT). To this end, the AE reactions of 2-methylbutadiene (2MBD) with formaldehyde (CHO) in the presence of three LAs with increasing acidic character, BH3, BF3, and AlCl3, have been studied. Topological analysis of the electron density and the evaluation of the DFT-based reactivity indices indicate that LAs do not modify the electronic structure of the carbonyl group but markedly increase the electrophilic character of CHO. LAs not only strongly accelerate the AE reactions, but also modify the molecular mechanisms, changing them from a non-concerted, two-stage one-step mechanism to a two-step one. Topological analyses of the electron density at the transition state structures (TSs) indicate that while the formation of the new CC single bond has begun, the departure of the hydrogen has not yet started. A Relative Interacting Atomic Energy (RIAE) analysis of the activation energies allows the establishment of the electronic effects of LAs on the AE reactions. LAs increase the global electron density transfer (GEDT) occurring in polar AE reactions; this phenomenon markedly stabilizes the CHO framework at the TSs, decreasing the RIAE relative energies.
Keywords: 
;  ;  ;  ;  ;  

1. Introduction

The ene reaction [1], first proposed by Alder in 1943 [2], involves an alkene with an allylic hydrogen and an ethylene. This reaction is one of the simplest methods to form a C−C single bond. In the simplest Alder-ene (AE) reaction, propene 1 reacts with ethylene 2 to form a new C-C single bond accompanied by the migration of the allylic hydrogen and the propene C=C double bond, resulting in pentene 3 (see Scheme 1).
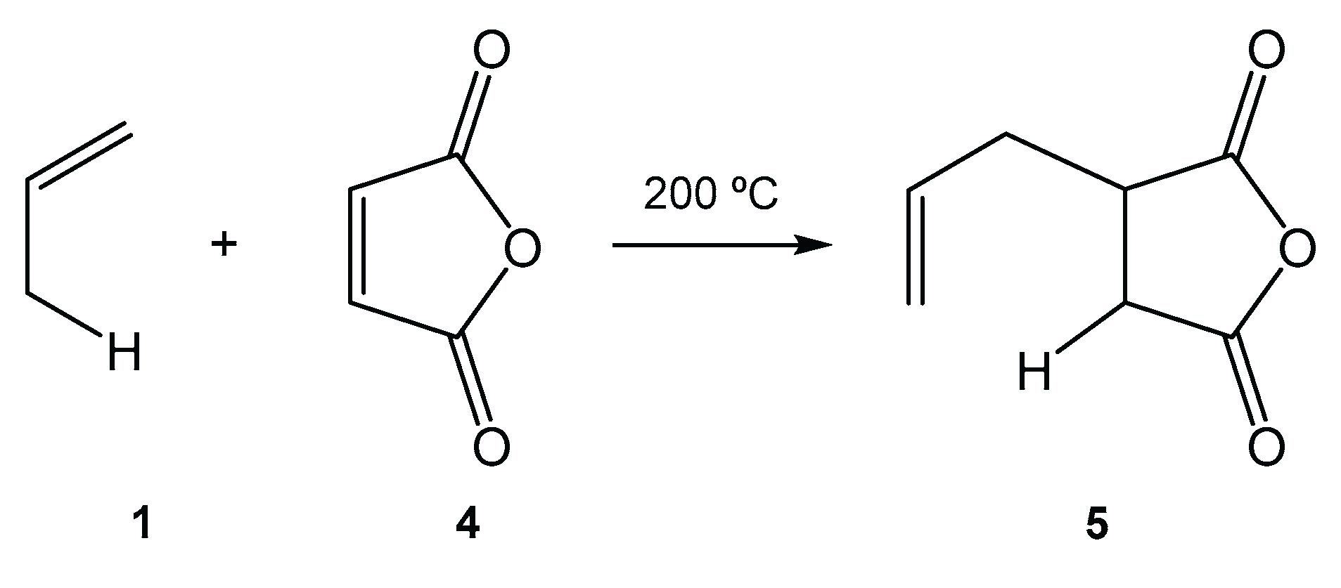
However, the high activation energy associated with this hydrocarbon AE reaction renders it impractical to perform experimentally. Therefore, to experimentally carry out an AE reaction, the ethylene must be activated. Consequently, propene 1 reacts with maleic anhydride 4 at 200 ºC to produce adduct 5. (see Scheme 2) [3].
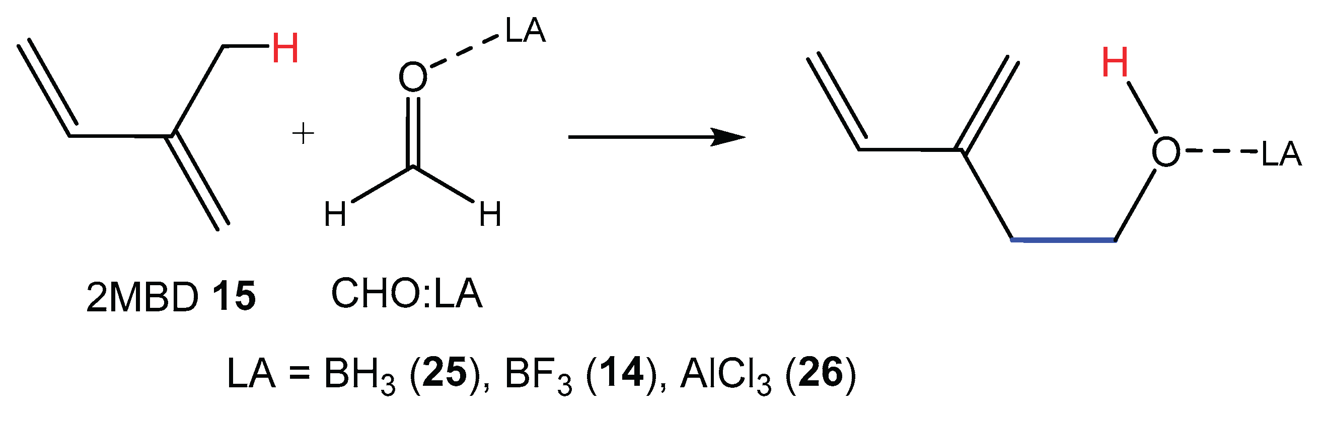
Carbonyl and imine compounds, bearing a C=O and a C=N double bond, respectively, can participate as heteroethylenes in AE reactions [4], but they require the presence of a Lewis acid (LA) to proceed under mild conditions (see Scheme 3).
On the other hand, the presence of electron-releasing (ER) groups, such as an alkoxy group, -OR, and a silyloxy group, -OSiR3, at the C2 carbon of propene significantly increases the reactivity of propene 1 (see Scheme 4) [5].
Thus, while hydrocarbon AE reactions are experimentally unfavorable, the electrophilic activation of ethylene and the nucleophilic activation of propene components promote the AE process reactions.
The AE reactions have been the focus of multiple theoretical studies [6]. In 2014, the AE reactions of isobutene 10 with twelve ethylenes and heteroethylenes of increased electrophilic character were studied at the MPWB1K/6-311G(d,p) level (see Scheme 5) [7]. The activation energies of the AE reactions ranged from 34.7 kcal·mol-1 for the reaction with ethylene 2 to −1.2 kcal·mol-1 for the BF3-catalyzed reaction with formaldehyde (CHO) 12. Most of the heteroethylenes were carbonyl or carboxyl compounds such 11, 12 and 14.
Similar to Diels-Alder (DA) reactions [8], a strong correlation between the polar character of the AE reaction, as measured by the global electron density transfer [9] (GEDT) at the transition state structures (TSs), and the computed activation energy was found (see Figure 1) [7]. This behavior allowed establishing a useful classification of AE reactions in non-polar (N-AE) reactions, characterized by very high activation energy, greater than 35 kcal·mol-1 and GEDT values < 0.20 e (ethylene 2); polar (P-AE) reactions, with activation energies between 20 and 35 kcal·mol-1 and GEDT values of 0.20 ≤ GEDT ≤ 0.40 e (methyl acetate 11 and CHO 12); and high-polar (H-AE) reactions, featuring activation energies below 20 kcal·mol-1 and GEDT values > 0.40 e (iminium cation 13 and CHO:BF3 complex 14) [7]. Thus, while hydrocarbon N-AE reactions are experimentally unfeasible, LA-catalyzed heteroethylene H-AE reactions take place at room temperature.
Electron localization function [10] (ELF) topological analysis of the changes of electron density along the reaction paths allowed the characterization of the two-stage one-step mechanism [11] for P-AE reactions, which involves an initial nucleophilic/electrophilic two-center interaction, followed by the hydrogen transfer process occurring at the end of the reaction. This topological analysis of the bonding changes established that the mechanisms of the P-AE reactions are non-concerted, thereby discarding the proposed pericyclic mechanism [12] for AE reactions [7]. On the other hand, as in DA reactions, analysis of the DFT-based reactivity indices [13,14] makes it possible to characterize the electrophilic and nucleophilic behaviors of the reagents involved in AE reactions, and consequently, to predict the feasibility of these reactions [7].
After twenty years devoted to the theoretical study of organic chemical reactivity, Domingo proposed the Molecular Electron Density Theory [15] (MEDT) in 2016 to study chemical organic reactivity. This theory states that the energy cost associated with the reorganization of the molecular electron density along a reaction path determines chemical reactivity. Consequently, the changes in electron density along the reaction paths, rather than molecular orbital (MO) interactions, as proposed by the Frontier Molecular Orbital theory [16], should be investigated to better understand the molecular mechanism of organic reactions. Accordingly, MEDT rejects any outdated models based on the Morokuma-based energy decomposition scheme [17], such as the activation strain model [18] (ASM). It is important to note that this energy decomposition analysis still relies on components derived from MO analyses. MEDT has been extensively applied in recent years to investigate a wide range of organic reactions.
Due to the similarity between the mechanisms of the P-DA reactions [8], proposed in 2009, and the P-AE reactions, the competitive P-DA and P-AE reactions of 2-methyl-1,3-butadiene (2MBD, 15), a nucleophilically activated propene with an ER vinyl group, and CHO:BF3 14, a carbonyl compound electrophilically activated by the presence of BF3 LA, were studied within MEDT in 2018 (see Scheme 6) [19]. While the P-DA reaction proceeds via a non-concerted one-step two-stage mechanism [11], the competitive H-AE reaction takes pla via a two-step mechanism through the formation of a zwitterionic intermediate. Both P-DA and P-AE reactions were characterized by the initial C−C single bond formation associated with the nucleophilic attack of the C3 carbon of 2MBD 15 on the carbonyl C1carbon of CHO:BF3 14.
That MEDT study allowed establishing the similarity of the TSs associated with the formation of the C1-C3 single bond in both P-DA and P-AE reactions, which have a diastereomeric relationship, resulting from free rotation around the C1−C3 axis (see Figure 2) [19].
In 2023, Fernández et al. studied LA-catalyzed carbonyl-ene reaction between 1-butene 18 and acetaldehyde 19 in the presence of a series of LAs by using the ASM model (see Scheme 7) [20]. These authors concluded that the catalytic role of the LAs on the carbonyl-ene reactions mainly involves a significant reduction of the ‘Pauli repulsion’ between the key occupied π-molecular orbitals of the reactants, rather than the widely accepted stabilization of the LUMO of acetaldehyde 19. This proposal was similar to one previously made in LA-catalyzed DA reactions [21]
Herein, it is important to note that at the TS of the AlCl3-catalyzed AE reaction between 1-butene 18 and acetaldehyde 19, the C1−C3 distance was 1.913 Å [20], indicating that the formation of the new C1−C3 bond had already begun [9]. Consequently, neither Pauli repulsion nor MO interactions have any physical sense at this C−C distance.
Scheme 7. LA catalyzed AE reaction between 1-butene 18 and acetaldehyde 19.
Scheme 7. LA catalyzed AE reaction between 1-butene 18 and acetaldehyde 19.
Preprints 177080 sch007
Additionally, assuming that AE reactions follow a pericyclic mechanism [20], these authors studied the aromaticity of the TSs. They suggested that an increase in aromaticity should result in greater stability and, consequently, a lower activation barrier. However, the AlCl3-catalyzed AE reaction, which exhibited the lowest activation energy, 6.1 kcal·mol-1 and the most asynchronous TS, showed the lowest nucleus-independent chemical shift, NICS (3,+1), among the studied LA-catalyzed AE reactions, −7.8 [20]
In 2016, the aromaticity of so-called pericyclic reactions was examined using ELF and the quantum theory of Atoms-in-Molecules [22] (AIM), through a topological analysis of the electron density in the TSs of five classified pericyclic reactions, including the AE reaction of propene 1 with ethylene 2 (see Scheme 1) [23]. This study evidenced that in four of the five reactions, at least one pair of atoms was not bonded in the TS configuration, thus precluding a possible cyclic conjugation. These findings made it possible to rule out the aromatic character of the TSs. In addition, the magnitude of the NICSs computed for four TSs was much more negative than that of the reference system, benzene NICS(3,+1), −10.6. That study introduced the concept of pseudocyclic TSs, in which all the atoms are reorganized around cyclic structures, with at least two non-bonded atoms [23].
Recently, an energy decomposition analysis based on the Interacting Quantum Atoms [24] (IQA), namely the Relative Interacting Atomic Energy [25] (RIAE), was introduced within MEDT. This method enables the analysis of electronic atomic interactions responsible for the activation energies. IQA, which is based on the AIM [22], allows the partitioning of the total energy calculated via Density Functional Theory [26] (DFT) into intra- and interatomic energy components. Based on the Kohn-Sham [27] (KS) approach, the total energy of a molecule is divided into kinetic and potential energy contributions associated with individual atoms and their intra- and inter- interactions.
The concepts of electrophile and nucleophile, proposed in 1933 by K. Ingold [28], constitute the basis of chemical organic reactivity [29]. Recent RIAE studies at the TS have proved that in polar processes involving carbonyl compounds, although the nucleophilic framework is destabilized by the loss of electron density, the greater stabilization of the electrophilic framework upon receiving the electron density is responsible for the reduction in activation energies in polar reactions [25,30,31]; this finding was in accordance with the Parr’s 1999 definition of the electrophilicity ω index [32].
Aldehydes and ketones represent one of the most significant classes of organic compounds. These carbonyl derivatives are typically classified as electrophilic species that undergo a wide range of nucleophilic addition processes [29]. Accordingly, the AE reactions involving carbonyl compounds can be viewed as an initial nucleophilic attack by a propene derivative on the electrophilic carbonyl carbon [7]. Nevertheless, aldehydes and ketones do not readily undergo addition reactions with neutral nucleophiles due to the moderate electrophilic character of these substrates [33]. To promote nucleophilic additions, organic chemists often use either acid or base catalysis. Commonly, acid catalysis is mainly achieved in three distinct ways: i) hydrogen-bond formation to the carbonyl oxygen; ii) LA coordination to the carbonyl oxygen; and iii) protonation of the carbonyl oxygen using strong protic acids. Extensive MEDT studies have demonstrated that these interactions with the carbonyl oxygen enhance the electrophilic character of the carbonyl compound, thereby facilitating the subsequent nucleophilic attack [25,31].
Moreover, recent RIAE analyses have revealed that these interactions increase the GEDT at the polar TSs, increasing the electron density transferred to the carbonyl carbon, which constitutes the determining factor responsible for the acceleration observed in LA-catalyzed carbonyl reactions [25,31].
Due to the relevance of the LAs as catalysts in polar organic reactions involving moderate electrophilic carbonyl compounds [25], and the fact that LAs permit the AE reactions involving hetereoethylenes as carbonyl and imine compounds to take place easily even at room temperature (see Scheme 2), the AE reactions of 2MBD 15, a nucleophilic activated propene, with CHO 12, a carbonyl compound acting as an electrophilic heteroethylene, in the presence of three LAs of increased acidic character, BH3, BF3 and AlCl3, are herein studied within MEDT (see Scheme 8). An RIAE analysis of the non-catalyzed and the three selected LA-catalyzed AE reactions is carried out herein to establish the electronic effects caused by the presence of the LAs in the decrease of the activation energies of AE reactions.

2. Results and Discussion

This MEDT study is organized into five sections: i) initially, the topological analysis of the ELF of the electronic structure of the reagents is conducted, along with an analysis of the chemical properties based on the DFT-based reactivity indices in the ground state (GS) of the reagents; ii) second, the non-catalyzed AE reaction of 2MBD 15 with CHO 12 is examined; iii) third, the LA-catalyzed AE reactions of 2MBD 15 with CHO 12, using three common LAs of increasing acidic character, BH3, BF3 and AlCl3, are explored; iv) fourth, the effects of the LAs on the kinetics of the LA-catalyzed AE reactions are analyzed; and finally, v) the fifth section presents an RIAE analysis of the non-catalyzed and LA-catalyzed AE reactions to establish the electronic effects caused by the presence of the LAs in reducing the activation energies of these organic reactions.

2.1. Study of the Electronic Structure and Chemical Properties of the Reagents in the GS

2.1.1. Study of the Electronic Structure of the Reagents

Before studying the LA-catalyzed AE reactions of 2MBD 15 with CHO 12, the electronic structures of reagents at the GS were investigated through topological analysis of the ELF [10]. The ELF permits a quantitative characterization of the electron density distribution in a molecule [34]. The attractor positions of the ELF basins and the natural atomic charges of 2MBD 15, CHO 12, and three representative CHO:LA complexes 14, 25 and 26 are shown in Figure 3, while the populations of the more relevant valence basins are given in Table 1.
ELF topological analysis of 2MBD 15 reveals the presence of two disynaptic basins, V(C3,C4) and V’(C3,C4), integrating a total of 3.42 e, associated with a depopulated C3−C4 double bond, one V(C4,C5) disynaptic basin integrating 2.22 e, associated with a populated C4−C5 single bond, and two disynaptic basins, V(C5,C6) and V’(C5,C6), integrating a total of 3.40 e, associated with a depopulated C5−C6 double bond. The methyl group on C5 carbon does not substantially modify the electronic structure of the butadiene system.
ELF topological analysis of CHO 12 shows the presence of two disynaptic basins, V(C1,O2) and V’(C1,O2), integrating a total of 2.46 e, associated with a highly depopulated C1−O2 double bond, and two monosynaptic basins, V(O2) and V’(O2), integrating 5.08 e, corresponding to the non-bonding electron density of the O2 oxygen atom. This electron density distribution results from the noticeable polarization of the electron density of the C1−O2 bonding region toward the strongly electronegative O2 oxygen atom.
Coordination of the three selected LAs; BH3, BF3, and AlCl3, to the carbonyl O2 oxygen of CHO causes slight changes in the electron density of the C−O bonding region of the three LA complexes 14, 25, and 26. Thus, while the C−O bonding region experiences variations of Δe = −0.04 (25, BH3), 0.00 (14, BF3), and 0.08 (26, AlCl3), the non-bonding O2 electron density varies by Δe = 0.12 (25, BH3), 0.03 (14, BF3), and 0.27 (26, AlCl3).
The natural atomic charges of the most relevant centers are presented in Figure 3. The natural population analysis [35] (NPA) of 2MBD 15 shows that the four carbons of the butadiene system are negatively charged as a consequence of the greater electronegativity of the carbon atom than the hydrogen atom. Thus, the C4 carbon that is bonded to three carbons has a negligible charge −0.04 e. The NPA of CHO 12 shows that, while the carbonyl C1 carbon is markedly positively charged at +0.29 e, the O2 oxygen atom is strongly negatively charged at –0.48 e. This charge distribution results from the strong electronegative character of the O2 oxygen atom.
Coordination of the LAs to the oxygen atom of CHO 12 increases the positive charge of the carbonyl C1 carbon by between +0.07 and +0.11 e and decreases the negative charge of the oxygen by 0.06 e in CHO:BH3 25, while increasing it by 0.02 and 0.10 e in CHO:BF3 14 and CHO:AlCl3 26, respectively. The AlCl3 LA causes the strongest changes in the electron density distribution of CHO 12. Consequently, coordination of these LAs to the carbonyl O1 oxygen of CHO 12 does not substantially modify the electronic structure of the carbonyl C=O group at GS.

2.1.2. Analysis of the Chemical Properties of the Reagents

A useful method for comprehending reactivity in polar reactions is the analysis of DFT-based reactivity indices [13,14]. Subsequently, the DFT-based reactivity indices at the GS of the reagents were examined to study the chemical reactivity of the CHO and the corresponding CHO:LA complexes. The B3LYP/6-31G(d) computational level was used, as it was employed to establish electrophilicity and nucleophilicity scales [14]. A recent study demonstrated excellent linear correlations between the reactivity indices obtained at different computational levels and those obtained at the standard B3LYP/6-31G(d) level [36]. Table 2 summarizes the computed B3LYP/6-31G(d) global reactivity indices, including electronic chemical potential μ, chemical hardness η, electrophilicity ω and nucleophilicity N indices. The ωB97X-D/6-311G(d,p) global reactivity indices are given in Table S1 in the Supplementary Material.
The electronic chemical potential [37] μ of 2MBD 15, μ = −3.34 eV, is above that of CHO 12, μ = −4.23 eV, and to those of the CHO:LA complexes 14, 25 and 26, which range from −5.29 to −6.09 eV. This suggests that in these polar AE reactions, the GEDT [9] will occur from 2MBD 15 to CHO 2 and CHO:LA complexes 14, 25, and 26, in reactions classified as forward electron density flux [38] (FEDF).
Ethylene 2 has electrophilicity [32] ω and nucleophilicity [39] N indices of 0.73 and 1.86 eV, respectively, being classified as a marginal electrophile and a marginal nucleophile. Consequently, ethylene 2 will have no tendency to participate in polar reactions. This behavior accounts for the very high activation energy found in the AE reaction of isobutene 10 and ethylene 2, 34.7 kcal·mol-1 [7].
The electrophilicity and nucleophilicity of propene 1 and 1-butene 18, ca. 0.60 and 2.32 eV, respectively, classify these species as marginal electrophiles and moderate nucleophiles. These low values indicate that these alkenes will effectively participate in P-AE reactions only with superelectrophilic heteroethylenes with ω > 4.0 eV. The inclusion of a second ER CH3 methyl group in propene 1 increases the nucleophilicity of isobutene 10 to 2.60 eV.
2MBD 15 has electrophilicity ω and nucleophilicity N indices of 0.99 and 2.97 eV, respectively. It is classified as a moderate electrophile and is located at the borderline of strong nucleophiles. Consequently, 2MBD 15 will participate in polar reactions with strong electrophilic species [18].
CHO 12 has electrophilicity ω and nucleophilicity N indices of 1.45 and 1.81 eV, respectively, and is therefore classified as a moderate electrophile and a marginal nucleophile. Consequently, CHO 12 will have a poor tendency to participate in polar reactions as an electrophile [33].
Coordination of the LAs to the carbonyl O2 oxygen atom of CHO 12 markedly increases the electrophilicity ω index of the corresponding CHO:LA complexes 14, 25 and 26, between Δω = 1.28 (25, BH3) and 2.90 (26, AlCl3) eV. Thus, while CHO:BH3 25, ω = 2.87 eV, and CHO:BF3 14, ω = 2.73 eV, are categorized as strong electrophiles, the CHO:AlCl3 26, ω = 4.35 eV, with ω > 4.00 eV, is categorized as a superelectrophile.
The inclusion of an ER CH3 methyl group in the carbonyl group of CHO 12 decreases the electrophilic character of MeCHO 19, ω = 1.12 eV, and that of the corresponding MeCHO:AlCl3 complex 21, ω = 3.62 eV. These behaviors permit an explanation of the lower reactivity of these species compared to CHO 12 and CHO:AlCl3 26 when participating in AE reactions (see below).

2.2. Study of the Non-Catalyzed AE Reaction of 2MBD 15 with CHO 12

Before studying the LA-catalyzed AE reactions of 2MBD 15 with CHO 12, the potential energy surface (PES) of the corresponding non-catalyzed AE reaction was investigated (see Scheme 9). One molecular complex (MC), MC-12, one TS, TS-12, and the en-ol product P-12 were located and characterized along the reaction path. Consequently, this AE reaction takes place through a one-step mechanism. The ωB97X-D/6-311G(d,p) relative energies are given in Scheme 9, and the total energies are provided in Table S2 in the Supplementary Material.
Along the reaction path, an MC was found at the beginning of the reaction on the PES. MC-12 is located 7.3 kcal·mol-1 below the separated reagents. TS-12 is located 21.3 kcal·mol-1 above the separated reagent, the AE reaction being exothermic by 19.6 kcal·mol-1. The activation energy for this AE reaction is 13.4 kcal·mol-1 lower than that between isobutene 10 and ethylene 2, due to the low polar character of the latter [7]. Despite this reduction, the activation energy remains high because of the moderate electrophilic nature of CHO 12 [33]. Note that the AE reaction of 1-butene 18 with MeCHO 19, given in Scheme 7 [20], has an activation energy of 31.3 kcal·mol-1 in dichloromethane as a consequence of the low nucleophilic character of 18 and the low electrophilic character of 19 (see Table 2).
The optimized geometry of TS-12 is shown in Figure 4. The distance between the C3 carbon of 2MBD 15 and the carbonyl C1 carbon of CHO 12 is 1.878 Å, while the distances from the H8 hydrogen atom to the C5 carbon and O2 oxygen are 1.239 and 1.415 Å, respectively. These geometrical parameters indicate that the formation of the new C1−C3 single bond has already begun at this TS, while the hydrogen transfer process is still delayed (see below). Note that the C−C bond formation typically begins within the range of 1.90-2.0 Å [9], while the O−H distance is shorter than the C−H one.
Analysis of the GEDT [9] at TS-12 involved in this AE reaction allows for quantifying its polar character [7]. The sign of the GEDT computed at the TS unambiguously allows the classification of polar reactions as FEDF, with GEDT > +0.05 e, or REDF, with GEDT < −0.05 e [38]. The sign of the GEDT values indicates that the propene framework, i.e., the hydrogen donor, is positively or negatively charged, meaning that propene acts as a nucleophile or electrophile at the corresponding TS. Non-polar reactions characterized by a negligible GEDT ≤ ?0.05? e are classified as null electron density flux [38] (NEDF). The GEDT at the 2MBD 15 framework of TS-12 is 0.27 e. This high value indicates that the high polar character of this AE reaction is characterized by FEDF. Note that the GEDT at the AE reaction of isobutene 10 with ethylene 2 is 0.13 e [7].
Both, the activation energy associated with the AE reaction of 2MBD 15 with CHO 12, and the GEDT taking place at TS-12 classify the reaction as a P-AE reaction [7].
Next, an ELF [10] and AIM [22] topological analysis of the electron density of TS-12 was performed in order to understand the bonding changes taking place at this TS. The ELF basin attractor positions and the most relevant valence basin populations of TS-12 are given in Figure 5a, while the position of the AIM (3,-1) critical points (CPs) is given in Figure 5b.
The ELF of TS-12 shows the presence of a V(C1,C3) disynaptic basin integrating 0.99 e, indicating that the formation of the new C1−C3 single bond has already begun at this TS [9]. On the other hand, the presence of the V(C7,H8) disynaptic basin integrating 1.67 e indicates that the C7−O8 single bond has not broken.
The AIM [22] topological analysis allows for comprehending the type of interatomic interactions at the C1−C3, C7−H8, and O2−H8 interacting regions of TS-12. QTAIM parameters, namely the total electron density ρ and Laplacian of electron density ∇2ρ at the CPs associated with these interacting regions at the TS-12 are listed in Table 3, while the position of the CPs is shown in Figure 5b.
The AIM of TS-12 shows the presence of a CP-1 in the C1−C3 interacting region with an electron density ρ = 0.2765 e, and a negative Laplacian, ∇2ρ, indicating a covalent interaction. On the other hand, CP-2, with ρ = 0.1880 e and a negative Laplacian, and CP-3, with a ρ = 0.1031 e, and a positive Laplacian, indicate that the C7−H8 single bond has not been broken, and the formation of the O2−H8 single bond has not yet begun.
Table 3. QTAIM parameters, in atomic units a.u., of the (3,-1) CPs at TS-12.
Table 3. QTAIM parameters, in atomic units a.u., of the (3,-1) CPs at TS-12.
CP-1 CP-2 CP-3
Density 0.2765 0.1880 0.1031
Laplacian ∇2 -0.9329 -0.4242 0.1032
Ellipticity 0.0198 0.0318 0.0442
Consequently, both ELF and AIM topological analyses of the electron density of TS-12 indicate that it corresponds to an asynchronous process, in which the formation of the C1−C3 single bond has already started, while the rupture of the C7−H8 single bond has not yet started.

2.3. Study of the LA-Catalyzed AE Reactions of 2MBD 15 with CHO 12

Next, the PESs of the LA-catalyzed AE reactions of 2MBD 15 with CHO 12 involving three common LAs of increasing acidic character were chosen: BH3, BF3, and AlCl3 were studied. Analysis of the stationary points along the PES of these LA-catalyzed AE reactions indicated that, while the AE reaction involving the BH3 takes place through a one-step mechanism, the other two AE reactions involving more acidic LAs take place through a two-step mechanism (see Scheme 10). The relative energies of the TSs, intermediates, and products are given in Table 4, while the total energies are provided in Table S2 in the Supplementary Material.
Several conclusions can be obtained from the relative energies given in Table 4: i) along the three reaction paths, one MC is found in an early stage of the reaction. These MCs are found between 10.3 (MC-25, BH3) and 13.7 (MC-26, AlCl3) kcal·mol-1 below the separated reagents; ii) the three reactions are exothermic, with values ranging between 25.4 (P-25, BH3) and 30.4 (P-26, AlCl3) kcal·mol-1; iii) while TS-25 is located 3.3 kcal·mol-1 above the separated regents, the TSs associated to the first step of the stepwise mechanisms are located −4.3 (TS1-14) and −10.3 (TS1-26) kcal·mol-1 below the separated reagents; iv) if the formation of the MCs is considered, the activation energies become positive by 7.4 (TS1-14) and 3.4 (TS1-26) kcal·mol-1; and finally, v) the two intermediates IN-X are stabilized by only 0.0 (IN-14) and 0.5 (IN-26) kcal·mol-1 with respect the corresponding TS1-X, while the activation energies associated with the proton transfer are less than 1.3 kcal·mol-1. Thus, in the gas phase, the PESs around IN-14 and IN-26 are very flat.
The activation energy for the BH3-catalyzed AE reaction via TS-25 is 18.0 kcal·mol-1 lower than that for the non-catalyzed reaction via TS-12, indicating the strong effect of the BH3 catalyst. In the other two LA-catalyzed reactions, the relative energies of the TSs involved in the nucleophilic attack of 2MBD 15 on the carbonyl C1 of CHO:BF3 14 and CHO:AlCl3 26 are lowered by 7.6 (TS1-14) and 13.0 (TS1-26) kcal·mol-1 compared to TS-25. These highlights show that the nature of the LA catalyst influences the reaction rate of these AE reactions.
The geometries of the TSs and intermediates involved in the BH3 and BF3 LA-catalyzed AE reactions of 2MBD 15 with CHO 12 are shown in Figure 6, while the main geometrical parameters of the TSs and intermediates involved in the three LA-catalyzed AE reactions are listed in Table 5.
The C1−C3, C6−H7, and O2−H7 distances at the TSs associated with the nucleophilic attack of 2MBD 15 on the C1 carbon of CHO in the BH3- and BF3-LA-catalyzed AE reaction are found within the ranges 1.66 – 1.83 Å, 1.11 – 1.19 Å, and 1.58 – 2.10 Å, respectively. Consequently, the O2−H7 distance at TS-25, 1.579 Å, is less than the other parameters, which are very similar among the three TSs. The short C1−C3 distance at all three TSs, less than 1.827 Å, indicates that, similar to TS-12, the formation of the C1−C3 single bond has already begun. On the other hand, the C6−H7 and O2−H7 distances at TS1-14 and TS1-26 indicate that the transfer of hydrogen H7 to oxygen O2 has not yet begun.
The C1−C3, C6−H7, and O2−H7 distances at the two intermediates IN-14 and IN-25 are 1.68 and 1.74 Å, 1.12 Å for both, and 2.00 and 2.01 Å, respectively. These distances are close to those at TS1-14 and TS1-26 as a consequence of the highly advanced nature of the TSs and the very flat PES in these two-step reactions.
The C1−C3, C6−H7 and O2−H7 distances at TS2-14 and TS2-26 are 1.63 and 1.61 Å, 1.20 and 1.23 Å, and 1.57 and 1.52 Å, respectively. The shorter C6−H7 distances, approximately 1.21 Å, compared to the O2−H7 distance, roughly 1.54 Å, suggest that the proton transfer processes occur much later at the two TSs. The C6−H7 and O2−H7 distances at the two TSs are closer to those in TS-12.
The C6−H7 distances at TS1-14 and TS1-26, and IN-14 and IN-26, lesser than 1.12 Å, are only slightly longer than the other two allylic C6−H bonds, 1.09 Å. These observations, together with the similarly large O2−H7 distances at both TSs and intermediates, between 2.00 and 2.10 Å, suggest that the O2−H7 interactions in four species should be considered as a strong intramolecular O2H7 hydrogen bond interaction rather than a hydrogen transfer process, as at TS-12.
Finally, a comparison of the geometrical parameters of TS-25 and TS2-14, as shown in Figure 6, reveals a strong similarity between them, suggesting that the former is mainly associated with the hydrogen transfer process.
Figure 6. ωB97X-D/6-311G(d,p) optimized geometry of TSs and intermediate involved in the BH3 and BF3 LA-catalyzed AE reactions of 2MBD 15 with CHO 12. Distances are given in Angstroms.
Figure 6. ωB97X-D/6-311G(d,p) optimized geometry of TSs and intermediate involved in the BH3 and BF3 LA-catalyzed AE reactions of 2MBD 15 with CHO 12. Distances are given in Angstroms.
Preprints 177080 g006
Table 5. Main geometrical parameters of the TSs and intermediates involved in the BH3, BF3 and AlCl3 LA-catalyzed AE reactions of 2MBD 15 with CHO 12. The GEDT at TS-25, TS1-X and IN-X is also included. Distances are given in Angstroms, while the GEDT is given as the average number of electrons, e.
Table 5. Main geometrical parameters of the TSs and intermediates involved in the BH3, BF3 and AlCl3 LA-catalyzed AE reactions of 2MBD 15 with CHO 12. The GEDT at TS-25, TS1-X and IN-X is also included. Distances are given in Angstroms, while the GEDT is given as the average number of electrons, e.
C1 C3 C6 H7 O2 H7 GEDT
BH3 TS-25 1.656 1.190 1.579 0.41
BF3 TS1-14 1.827 1.109 2.101 0.48
IN-14 1.741 1.116 2.008 0.56
TS2-14 1.629 1.203 1.565
AlCl3 TS1-26 1.692 1.116 2.041 0.63
IN-26 1.678 1.120 1.997 0.64
TS2-26 1.609 1.225 1.516
The GEDTs at TS-25, TS1-14 and TS1-26 are 0.41, 0.48 and 0.63 e, respectively (see Table 5). These high values indicate the strong polar character of these LA-catalyzed AE reactions characterized by FEDF. These values are markedly higher than those of the non-catalyzed AE reaction via TS-12, 0.27 e, in agreement with the greater electrophilic character of the CHO:LA complexes (see Table 2). The maximum GEDT value is obtained at intermediates IN-14 and IN-26, as GEDT depends on the electrophilic/nucleophilic character of the two interacting species, and their separation, i.e., the shorter the separation, the higher the GEDT.
The low activation energies associated with the LA-catalyzed AE reactions of CHO 12, which are lower than 20 kcal·mol-1, and the high GEDT values (> 0.40 e) found at the TSs, allow these reactions to be classified as H-AE reactions, which can take place at room temperature [7].
The activation energy of the AE reaction of 1-butene 18 with MeCHO:AlCl3 21 is 6.1 kcal·mol-1 [20]. This activation energy is 16.2 kcal·mol-1 higher than that the relative energy for the AE reaction of 2MBD 15 with CHO:AlCl3 26, −10.1 kcal·mol-1 (see Table S2 in Supplementary Material). This energy difference is a consequence of the moderate nucleophilic character of 1-butene 18, and the lower electrophilic character of MeCHO:AlCl3 21 than CHO:AlCl3 26 (see Table 2). This finding reveals the importance of analyzing the DFT-based reactivity indices of the reagents to predict the polar character of an AE reaction, and consequently its feasibility (see Figure 1).
Next, an ELF topological analysis of the TSs and intermediates involved in the BH3- and BF3-LA-catalyzed AE reactions of 2MBD 15 with CHO 12 was performed. The ELF basin attractor positions and the most relevant valence basin populations of TS-25, TS1-14, IN-14, and TS2-14 are shown in Figure 7.
The four species show the same number and types of valence basins as those at TS-12, but they present different populations. ELF of TS-12 and TS-25 shows a great similarity (see Figure 5 and Figure 7). TS-25 shows a new V(C1,C3) disynaptic basin integrating 1.48 e. This population is higher than that at TS-12, indicating the more advanced character of the former. The presence of this disynaptic basin shows that the formation of the new C1−C3 single bond has already begun. On the other hand, the presence of the V(C7,H8) disynaptic basin integrating 1.68 e indicates that the C7−H8 single bond has not broken.
Figure 7. ωB97X-D/6-311G(d,p) ELF basin attractor positions and populations, expressed as the average number of electrons, e, of the most relevant valence basins of TS-25, TS1-14, IN-14, and TS2-14. The populations of the selected valence basins of TS1-14, IN-14, and TS2-14 correspond with the valence basins of TS-25.
Figure 7. ωB97X-D/6-311G(d,p) ELF basin attractor positions and populations, expressed as the average number of electrons, e, of the most relevant valence basins of TS-25, TS1-14, IN-14, and TS2-14. The populations of the selected valence basins of TS1-14, IN-14, and TS2-14 correspond with the valence basins of TS-25.
Preprints 177080 g007
The ELF analysis of TS1-26, IN-26, and TS2-26 shows a great similarity between these species. Only some changes in the population are observed because of the evolution of the bonding changes along the reaction path. These behaviors agree with the closer relative energies and geometrical parameters of these species, in agreement with a very flat PES. Thus, the population of the V(C1,C3) disynaptic basins at the three species is 0.97, 1.19, and 1.55 e, respectively, showing the advancement in the formation of the C1−C3 single bond. Note that the population of the V(C1,C3) disynaptic basins at P-26 is 1.99 e (see Figure S1 in the Supplementary Material). Meanwhile, although the population of the V(C7,H8) disynaptic basin remains around 1.9 e at TS1-26 and IN-26, which is closer to the other two V(C7,H) disynaptic basins, at 2.0 e, it slightly decreases to 1.63 e at TS2-26. In the three species, the population of the V(O2) monosynaptic basin remains at 4.05 e. These behaviors, along with the analysis of the geometric parameters, suggest that both TS1-14 and TS1-26 are solely related to the nucleophilic attack of 2MBD 15 on the C1 carbon of CHO:LA complexes 14 and 26. This attack is favored by the strong hydrogen bond formation between the carbonyl O2 oxygen and the H8 hydrogen present on the C6 methyl group, which will be transferred after passing TS2-26.
Finally, the populations of the selected disynaptic basins of TS-25 are very close to those of TS2-14, indicating the similarity between the electronic structure of the two TSs. These results indicate that the more favorable TS1-14 is more delayed than TS-25.

2.4. Study of the Effects of the LAs on The kinetics of the LA-Catalyzed AE Reactions.

Next, the effects of the LAs on the kinetics of the LA-catalyzed AE reactions of 2MBD 15 with the CHO:LA complexes 14, 25, and 26 were examined through a comparative analysis of the relative reaction rate constants (RRRCs), kr, computed using the Eyring-Polanyi equation [40]. To this end, all gas phase stationary points involved in the AE reactions of 2MBD 15 with CHO 12, and with the CHO:LA complexes 14, 25, and 26 were first optimized in dioxane. Subsequently, the thermodynamic data were computed by frequency calculations performed in this solvent at 25 ºC. The AE reaction of 2MBD 15 with the CHO 12 was used as the reference reaction.
Table 6 summarizes the calculated thermodynamic parameters, including the activation Gibbs free energies, while Table 7 contains the RRRCs, kr, values relative to the AE reaction of 2MBD 15 with the CHO 12. The thermodynamic data of the stationary points are listed in Table S3 in the Supplementary Material, and the main geometrical parameters of TSs and intermediates optimized in dioxane are shown in Table S4 in the Supplementary Material.
Solvent effects stabilize the TSs and intermediates by 0.4 to 4.1 kcal·mol−1 due to their polar character but destabilize MCs and products by 0.9 - 1.7 kcal·mol−1. Despite these variations, solvent effects do not substantially modify the gas phase PESs. In addition, solvent effects do not produce remarkable changes in the gas-phase optimized geometries (see Table S4 in the Supplementary Material)
Some valuable conclusions can be drawn from the thermodynamic parameters provided in Table 6: i) including thermal correction to the electronic energies only slightly modifies the relative enthalpies of TSs by between 0.0 and 2.2 kcal·mol−1, and those of the intermediates by 2.8 kcal·mol−1. As a result, the relative enthalpies follow the same trend as the relative electronic energies; ii) including the entropies and temperature in the enthalpies increases the relative Gibbs free energies between 10.0 and 16.7 kcal·mol−1, due to the unfavorable activation entropies associated with these bimolecular processes. iii) although the formation of the MCs is exothermic ranging from −4.6 to −9.8 kcal·mol−1, they are endergonic by between 1.0 and 3.4 kcal·mol−1; iv) the relative Gibbs free energies of the TSs involved in nucleophilic attack of 2MBD 15 on the C1 carbon of CHO in these LA-catalyzed AE reactions are endergonic by between 4.5 and 15.7 kcal·mol−1, showing the three LA-catalyzed AE reactions positive activation Gibbs free energies; and finally, v) for the AE reaction of 2MBD 15 with CHO:BF3, 25 the second step becomes the rate-determining step (RDS) of this stepwise reaction, which is TS2-14, 0.8 kcal·mol-1 above TS1-14 in Gibbs free energy.
The Gibbs free energy profiles for the AE reactions of 2MBD 15 with CHO 12 and with the CHO:LA complexes 14, 25, and 26 are shown in Figure 8. As observed, LAs have a significant impact on both the kinetic and thermodynamic aspects of these AE reactions. The activation Gibbs free energies of the LA-catalyzed AE reactions are significantly lowered by 18.3 to 29.5 kcal·mol−1 compared to the non-catalyzed process, while the exergonic nature of these AE reactions is enhanced by 4.8 to 9.2 kcal·mol-1. As can be seen, the formation of the four MC is endergonic, while all activation Gibbs free energies are positive. The most noticeable change in the analysis of the Gibbs free energy profiles is that for the LA-catalyzed AE reaction between 2MBD 15 and CHO:BF3 14, the second step involving proton transfer becomes the RDS of this stepwise AE reaction (see Figure 6).
Finally, the RRRCs, kr, constants for the LA-catalyzed AE reactions of 2MBD 1 with the CHO:LA complexes 14, 25, and 26, relative to the non-catalyzed AE reaction of 2MBD 15 with CHO 12, were computed using the Eyring-Polanyi equation [40]. The corresponding values are given in Table 7. As can be seen, the coordination of an LA to the oxygen atom of CHO 12 causes a significant acceleration of the corresponding AE reactions, resulting in a kr between 2.5×1013 and 4.5×1021 times higher compared to the non-catalyzed process. These high kr values indicate the high efficiency of the LAs as catalysts of AE reactions involving carbonyl compounds.
Table 7. RRRCs, kr, for LA-catalyzed AE reactions of 2MBD 15 with the CHO:LA complexes 14, 25 and 26. The AE reaction of 2MBD 1 with CHO 2 has been taken as a reference.
Table 7. RRRCs, kr, for LA-catalyzed AE reactions of 2MBD 15 with the CHO:LA complexes 14, 25 and 26. The AE reaction of 2MBD 1 with CHO 2 has been taken as a reference.
TS-12 1.0
TS-25 2.5x1013
TS2-24 1.5x1018
TS1-16 4.5x1021
As shown in Figure 9, a strong linear correlation between the activation Gibbs free energies associated with the RDS of the non-catalyzed and LA-catalyzed AE reactions and GEDT determined at the corresponding TS is found, R2 = 0.94. Consequently, as in the LA-catalyzed DA reactions [25], a strong correlation between the polar character of the reaction, measured by the GEDT computed at the corresponding TSs, and the feasibility of the AE reaction can be established (see below).

2.5. RIAE Analysis of the Electronic Effects of LAs on the AE Reactions of 2MBD 15 with CHO 12

Finally, to assess the electronic effects of the LAs on the activation energies of the AE reactions of 2MBD 15 with CHO 12, an RIAE analysis [25] of the TSs involved in the nucleophilic/electrophilic interaction steps of the AE reactions of 2MBD 15 with CHO 12, and with the CHO:LA complexes 25, 14, and 26 was performed. The RIAE analysis offers insight into rationalizing the energy costs associated with electron density changes at the TSs, on which MEDT is founded [15]. The RIAE theoretical background is outlined in Supplementary Material. As a reference, the AE reaction of 2MBD 15 with ethylene 2 via TS-2 was also considered. The RIAE study was carried out at the M06-2X/6-311G(d,p) computational level in the gas phase, as required by the IQA [24] calculations. The gas-phase ξ E i n t r a X intra-atomic, ξ E i n t e r X interatomic and ξ E t o t a l X total energies for the 2MBD and the CHO frameworks of the four TSs are presented in Table 8. The sum of the ξ E t o t a l X values of both frameworks, denoted as ξ E t o t a l 2 M B D + C H O , represents the RIAE relative energy.
RIAE analysis of TS-2, corresponding to the AE reaction of 2MBD 15 with ethylene 2, reveals that the main contributor to the RIAE relative energy is the destabilization of the 2MBD framework, ξ E t o t a l 2 M B D = 27.30 kcal·mol-1. Interestingly, the ethylene framework is only destabilized by 1.88 kcal·mol-1. Analysis of the unfavorable contribution to the ξ E t o t a l 2 M B D total energies shows that the unfavorable intra-atomic energies of the 2MBD framework, ξ E i n t r a 2 M B D =   44.24 kcal·mol-1, are the primary factor responsible for the height of the high RIAE relative energy, 29.10 kcal·mol-1.
RIAE analysis of TS-12, corresponding to the non-catalyzed AE reaction of 2MBD 15 with CHO 12, shows a reduction in the RIAE relative energy by 8.40 kcal·mol-1 with respect to that of the AE reaction of 2MBD 15 with ethylene 2. Even though the 2MBD framework is more strongly destabilized, ξ E t o t a l 2 M B D = 48.88 kcal·mol-1, the CHO framework is stabilized by −28.18 kcal·mol-1. Note that while ethylene 2 is a marginal electrophile, CHO 12 is a moderate electrophile, thus favoring the GEDT from 2MBD to the CHO framework. Analysis of the factors responsible for the stabilization of ξ E t o t a l C H O indicates that the strong intra-atomic stabilization of the CHO framework, ξ E i n t r a C H O = −109.50 kcal·mol-1, is the main factor responsible for the reduction in the RIAE relative energy.
RIAE analysis of the LA-catalyzed AE reactions helps understand the electronic effects of the LAs in lowering the activation energies of these LA-catalyzed AE reactions. The RIAE relative energies of the three LA-catalyzed AE reactions decrease as the acidic character of the LA increases, with values of 1.54 (TS-25), −5.02 (TS1-14), and −10.05 (TS1-26) kcal·mol-1. In fact, the LA-catalyzed AE reactions involving BF3 and AlCl3 show negative RIAE relative energies, meaning that the TS associated with the first step is electronically more stabilized than the separated reactants.
Analysis of the factors responsible for this trend shows that while the nucleophilic 2MBD framework is destabilized by ξ E t o t a l 2 M B D = 44.94 (TS-25), 54.53 (TS1-14) and 71.04 (TS1-26) kcal·mol-1, the electrophilic CHO:LA framework is strongly stabilized by ξ E t o t a l C H O A l = −43.40 (TS-25), −59.56 (TS1-14) and −81.09 (TS1-26) kcal·mol-1, with the increase of the acidic character of the LA. A detailed analysis of the factor responsible for these stabilizations reveals that, similar to the non-catalyzed process, the intra-atomic stabilization of the electrophilic CHO:LA framework, ξ E i n t r a C H O L A = −76.27 (TS-25), −83.58 (TS1-14) and −121.99 (TS1-26) kcal·mol-1, is responsible for the decrease in the RIAE relative energies. A detailed analysis of the factor responsible for the increased stabilization of the CHO:AL framework indicates that the strong stabilization of the carbonyl C1 carbon, ξ E i n t r a C 1 = −68.12 (TS-25), −86.86 (TS1-14) and −98.98 (TS1-26) kcal·mol-1, is the main factor responsible.
As shown in Figure 10, a strong linear correlation between the ξ E t o t a l C H O total energies of the CHO framework and GEDT at the corresponding TSs is found, R2 = 0.99. As in polar DA reactions [25,30,31], the present RIAE analysis demonstrates that the GEDT occurring at the TSs of these polar AE reactions, primarily at the carbonyl C1 atom, is the main factor responsible for lowering the RIAE relative energies in the LA-catalyzed AE reactions. In other words, increasing the acidic character of the LA enhances the electrophilic nature of the CHO:LA complex (see Table 2), which increases the GEDT and thereby reduces the activation energies [25]. Thus, similar to the LA-catalyzed DA reaction, coordination of the LAs to the oxygen atom of carbonyl compounds increases the electrophilicity of these species, promoting the GEDT at the TS, and consequently, lowering the activation barrier energies.
Finally, Figure 11 shows a graphical representation of the ξ E t o t a l X energies of the 2MBD and CHO frameworks at the TSs, shown in red and blue, respectively. The ξ E t o t a l 2 M B D + C H O energies, shown in black, represent the RIAE relative energies of these AE reactions.
Along this series of AE reactions, the ξ E t o t a l C H O energies associated with the electrophilic CHO framework become more negative, i.e., more favorable, while those associated with the nucleophilic 2MBD framework, ξ E t o t a l 2 M B D , become more positive, i.e., more unfavorable. With the inclusion of the LA catalyst, the stabilization of the CHO:LA framework outweighs the destabilization of the 2MBD one, consequently decreasing the ξ E t o t a l 2 M B D + C H O energies associated with these LA-catalyzed AE reactions, and even rendering these RIAE relative energies negative with the use of strongly acidic LAs (see Figure 11). These behaviors result from the GEDT that takes place at the TSs (see Figure 10); while the GEDT destabilizes the nucleophilic 2MBD framework due to the electron density loss, it stabilizes the electrophilic CHO:LA through electron density gain [25,30,31]. This behavior aligns with Parr’s electrophilicity ω index definition [32,33].
Figure 11. Graphical representation of the total energies, ξ E t o t a l C H O , ξ E t o t a l 2 M B D , and ξ E t o t a l 2 M B D + C H O for the TSs given in Table 8. E t o t a l 2 M B D + C H O values correspond to the RIAE activation energies of these AE reactions. ξ E t o t a l X energies for the 2MBD and CHO frameworks are shown in red and blue, respectively, while the black bar represents the E t o t a l 2 M B D + C H O relative energies. Energies are reported in kcal·mol-1, and GEDT values at the TSs are shown in pink as average number of electrons e.
Figure 11. Graphical representation of the total energies, ξ E t o t a l C H O , ξ E t o t a l 2 M B D , and ξ E t o t a l 2 M B D + C H O for the TSs given in Table 8. E t o t a l 2 M B D + C H O values correspond to the RIAE activation energies of these AE reactions. ξ E t o t a l X energies for the 2MBD and CHO frameworks are shown in red and blue, respectively, while the black bar represents the E t o t a l 2 M B D + C H O relative energies. Energies are reported in kcal·mol-1, and GEDT values at the TSs are shown in pink as average number of electrons e.
Preprints 177080 g011
Many studies of P-DA reactions, including LA-catalyzed DA reactions [41], have shown that increasing the polar character of the reaction induces greater asynchronicity at the TSs, thereby increasing the distance between the two non-interacting centers [8]. This behavior, caused by an increase in the nucleophilic/electrophilic two-center interactions at the polar TSs, could contribute to the apparent reduction of proposed ‘Pauli repulsions’ within the framework of the ASM [18].
Therefore, the decrease in ‘Pauli repulsions’ in the ASM energy decomposition analysis [20,21] should be interpreted as a result of the increasing two-center nucleophilic/electrophilic interactions, which are accompanied by an increase in the polar character of the reactions that stabilizes the TSs, rather than as the proposed primary driving force of catalysis in carbonyl nucleophilic additions [42]. Note that an increase in the polar character of a reaction enhances the synchronicity of the reaction by increasing the distance between the non-interacting centers, and consequently, reducing the proposed ‘Pauli repulsions’.

3. Conclusions

This MEDT study offers a thorough analysis of the LA-catalyzed AE reactions of 2MBD 15 with CHO 12. The results emphasize several key findings: i) role of GEDT in reducing activation barriers. The GEDT, primarily localized at the carbonyl C1 atom, acts as the main factor responsible for lowering the activation barriers. Increasing the acidic strength of the LA enhances the electrophilic nature of the CHO:LA complex, which in turn boosts GEDT and decreases the activation energy; ii) electronic stabilization shown by RIAE analysis. The RIAE study indicates that although the nucleophilic 2MBD framework becomes more destabilized, the stabilization of the electrophilic CHO:LA framework dominates this effect. Notably, for BF3 and AlCl3, negative RIAE activation energies suggest that the TSs are electronically more stabilized than the separate reactants; iii) comparison with non-catalyzed processes. The uncatalyzed AE reaction has a relatively high activation barrier because of the moderate electrophilicity of CHO. However, when LAs coordinate, the reaction speeds up considerably, with relative rate constants (kr) reaching up to 10²¹ times greater than the uncatalyzed process; and finally, iv) complementary use of ELF, AIM, and RIAE. The combined application of ELF, AIM, and RIAE topological analyses provides a consistent mechanistic picture, confirming that LA catalysis changes the character of the TSs by stabilizing the electrophilic framework and promoting earlier C−C single bond formation.
In summary, this MEDT study demonstrates a direct connection between the acidity of the LA, the extent of GEDT, and the stabilization of the TS. These results reinforce the ability of MEDT to predict polar AE reactions and offer new insights into the design of LA-catalyzed procedures in organic synthesis.

4. Computational Details

The ωB97X-D [43] functional, which incorporates long-range exchange and semi-classical London dispersion corrections, has been shown to provide a more accurate description of kinetics, GEDT, and covalent processes compared to the B3LYP [44] functional. For the AIMAll [45] calculations, some stationary points were also computed using the M06-2X [46] functional. The standard 6-311G(d,p) basis set [47], which incorporates d-type polarization for second-row elements and p-type polarization functions for hydrogens, was employed throughout this MEDT study. The TSs were identified by the presence of a single imaginary frequency. Optimizations were performed using the Berny algorithm [48]. Intrinsic reaction coordinate [49] (IRC) paths were traced to map the energy profiles linking each TS to the two corresponding minima on the PES.
Solvent effects of dioxane were incorporated into the thermodynamic calculations by complete optimization of gas-phase stationary points at the same computational level using the polarizable continuum model [50] (PCM) within the framework of the self-consistent reaction field [51] (SCRF). Enthalpies, entropies, and Gibbs free energies at the ωB97X-D/6-311G(d,p) level in dioxane were computed using standard statistical thermodynamics at 25 ºC and 1 atm [47]. These values were obtained from PCM frequency calculations performed on the solvent-optimized structures.
The GEDT [9] values were calculated using the equation GEDT(f) = Σqf, where q represents the natural charges [35] of the atoms in one of the two frameworks (f) at the TS geometries. DFT-based reactivity indices [13,14] were determined at the B3LYP/6-31G(d) level, following the equations outlined in reference 14, as the original electrophilicity and nucleophilicity scales were established using this computational method.
All calculations were carried out using the Gaussian 16 suite of programs [52]. ELF [10] analyses of the ωB97X-D /6-311G(d,p) monodeterminantal wavefunctions were performed with the TopMod [53] package employing a cubic grid with a step size of 0.1 Bohr. Molecular geometries and ELF basin attractors were visualized using the GaussView program [54]. The IQA analysis was performed using AIMAll package [45] and the corresponding M06-2X/6-311G(d,p) monodeterminantal pseudo-wavefunctions. Note that the AIMAll package only allows the use of the B3LYP and the M06-2X functionals.

Author Contributions

Conceptualization, L.R.D. and P.P; methodology, L.R.D. and P.P.; software, L.R.D. and P.P.; validation, L.R.D. and P.P.; formal analysis, L.R.D. and P.P.; investigation L.R.D. and P.P.; data curation, L.R.D. and P.P.; writing—original draft preparation, L.R.D. and P.P.; writing—review and editing, L.R.D. and P.P.; visualization, L.R.D. and P.P. supervision, L.R.D. and P.P. All authors have read and agreed to the published version of the manuscript.

Funding

This work has been supported by the FONDECYT - Chile through Project No. 1221383.

Data Availability Statement

The data underlying this study are available in the published article and its Supplementary Material.

Conflicts of Interest

The authors declare no conflicts of interest.

References

  1. Mikami, K.; Shimizu, M. Asymmetric ene reactions in organic synthesis Chem. Rev. 1992, 92, 1021–1050. [CrossRef]
  2. (a) Alder, K.; Pascher, F.; Schmitz, A. Über die Anlagerung von Maleinsäure-anhydrid und Azodicarbonsäure-ester an einfach ungesättigte Koh an einfach ungesättigte Kohlenwasserstoffe. Zur Kenntnis von Substitutionsvorgängen in der Allyl-Stellung. Ber. Dtsch. Chem. Ges., 1943, 76, 27-53. (b) Nobel Lectures-Chemistry, 1942-1962; Elsevier: Amsterdam, 1964, pp 253.
  3. (a) Carruthers, W. Some Modern Methods of Organic Synthesis second ed. Cambridge University, Press Cambridge, 1978. (b) Nahm, S.H.; Cheng, H.N. Transition-state geometry and stereochemistry of the ene reaction between olefins and maleic anhydride. J. Org. Chem. 1986, 51, 5093–5100. [CrossRef]
  4. Borzilleri; R.M.; Weinred, S.M. Imino Ene Reactions in Organic Synthesis. Synthesis, Synthesis 1995, 347-360.
  5. (a) Ruck, R.T.; Jacobsen, E.N. Asymmetric Catalysis of Hetero-Ene Reactions with Tridentate Schiff Base Chromium(III) Complexes. J. Am. Chem. Soc. 2002, 124, 2882–2883. (b) Miles, W.H.; Dethoff, E.A.; Tuson, H.H.; Ulas, G. Kishner's Reduction of 2-Furylhydrazone Gives 2-Methylene-2,3-dihydrofuran, a Highly Reactive Ene in the Ene Reaction J. Org. Chem. 2005, 70, 2862–2865. (c) Liang, G.; Sharum, D.T.; Lam, T.; Totah, N.I. 2-Methylenetetrahydropyrans: Efficient Partners in the Carbonyl Ene Reaction. Org. Lett., 2013, 15, 5974–5977; (d) Ruck, R.T.; Jacobsen, E.N. Angew. Asymmetric Hetero-Ene Reactions of Trimethylsilyl Enol Ethers Catalyzed by Tridentate Schiff Base Chromium(III) Complexes. Chem. Int. Ed., 2003, 42, 4771-4774.
  6. Loncharick, R. J.; Houk, K. N. ,Transition structures of ene reactions of ethylene and formaldehyde with propene. J. Am. Chem. Soc., 1987, 109, 6947-6952; (b). Leach, A.G.; Houk, K.N. The Ene Reactions of Nitroso Compounds Involve Polarized Diradical Intermediates J. Am. Chem. Soc. 2002, 124, 14820–14821; (c) Leach, A.G.; Houk, K.N. The mechanism and regioselectivity of the ene reactions of nitroso compounds: a theoretical study of reactivity, regioselectivity, and kinetic isotope effects establishes a stepwise path involving polarized diradical intermediates. Org. Biomol. Chem. 2003, 1, 1389 -1403.
  7. Domingo, L.R.; Aurell, M.J.; Pérez, P. Understanding the Polar Mechanism of the Ene Reaction. A DFT Study. Org. Biomol. Chem. 2014, 12, 7581-7590. [CrossRef]
  8. Domingo, L.R.; Sáez, J.A. Understanding the mechanism of polar Diels-Alder reactions. Org. Biomol. Chem. 2009, 7, 3576–3583. [CrossRef]
  9. Domingo, L.R. A new C-C bond formation model based on the quantum chemical topology of electron density. RSC Adv. 2014, 4, 32415-32428. [CrossRef]
  10. Becke, A.D.; Edgecombe, K.E. A simple measure of electron localization in atomic and molecular-systems. J. Chem. Phys. 1990, 92, 5397–5403. [CrossRef]
  11. Domingo, L.R.; Sáez, J.A.; Zaragoza, R.J.; Arno, M. Understanding the Participation of Quadricyclane as Nucleophile in Polar [2 sigma+2 sigma+2 pi] Cycloadditions toward Electrophilic pi Molecules. J. Org. Chem. 2008, 73, 8791-8799. [CrossRef]
  12. (a) Woodward, R. B.; Hoffmann, R. The Conservation of Orbital Symmetry Angew. Chem. Int. Ed. Engl. 1969, 8, 781-853; (b) Houk, K. N.; Gonzalez, J.; Li, Y. Pericyclic Reaction Transition States: Passions and Punctilios, 1935-1995. Acc. Chem. Res. 1995, 28, 81-90.
  13. Parr, R.G.; Yang, W. Density functional theory of atoms and molecules. Oxford University Press, New York, 1989.
  14. Domingo, L.R.; Ríos-Gutiérrez, M.; Pérez, P. Applications of the conceptual density functional indices to organic chemistry reactivity. Molecules 2016, 21, 748. [CrossRef]
  15. Domingo, L.R. Molecular Electron Density Theory: A Modern View of Reactivity in Organic Chemistry. Molecules 2016, 21, 1319. [CrossRef]
  16. Fukui, K. In Molecular Orbitals in Chemistry, Physics, and Biology, New York, 1964.
  17. (a) Kitaura, K.; Morokuma, K. A new energy decomposition scheme for molecular interactions within the Hartree-Fock approximation. Int. J. Quantum Chem. 1976, 10, 325-340; (b) Morokuma, K.; Kitaura, K. In Chemical Applications of Atomic and Molecular Electrostatic Potentials, New York, Plenum., 1981, pp. 215–242.
  18. Bickelhaupt, F.M. Understanding reactivity with Kohn–Sham molecular orbital theory: E2–SN2 mechanistic spectrum and other concepts. J. Comput. Chem., 1999, 20, 114–128. [CrossRef]
  19. Domingo, L.R.; Ríos-Gutiérrez, M.; Pérez, P. A Molecular Electron Density Theory Study of the Competitiveness of Polar Diels-Alder and Polar Alder Ene Reactions. Molecules, 2018, 23, 1913. [CrossRef]
  20. Rodríguez, H. A.; Cruz, D. A.; Padrón, J. I.; Fernández, I. Lewis Acid-Catalyzed Carbonyl-Ene Reaction: Interplay between Aromaticity, Synchronicity, and Pauli Repulsion. J. Org. Chem. 2023, 88, 11102−11110. [CrossRef]
  21. Vermeeren, P., Hamlin, T.A., Fernández, I., Bickelhaupt, F.M. How Lewis Acids Catalyze Diels–Alder Reactions, Angew. Chem. Int. Ed., 2020, 59, 6201–6206. [CrossRef]
  22. (a) Bader, R.F.W.: Tang, Y.H.; Tal, Y.; Biegler-König, F.W. Properties of atoms and bonds in hydrocarbon molecules. J. Am. Chem. Soc. 1982, 104, 946–952; (b) Bader, R.F.W. Atoms in Molecules: A Quantum Theory. Oxford University Press, Oxford, New York, 1994.
  23. Domingo, L.R.; Ríos-Gutiérrez, M.; Chamorro, E.; Pérez, P. Aromaticity in Pericyclic Transition State Structures? A Critical Rationalisation Based on the Topological Analysis of Electron Density. ChemistrySelect 2016, 1, 6026 - 6039. [CrossRef]
  24. Blanco, M.A.; Martín Pendás, A.; Francisco, E. Interacting Quantum Atoms: A Correlated Energy Decomposition Scheme Based on the Quantum Theory of Atoms in Molecules. J. Chem. Theory Comput. 2005, 1, 1096–1109. [CrossRef]
  25. Domingo, L.R.: Ríos-Gutiérrez, M.; Pérez, P.; Understanding the Electronic Effects of Lewis Acid Catalysts in Accelerating Polar Diels-Alder Reactions. J. Org. Chem. 2024. 89, 12349-12359. [CrossRef]
  26. Hohenberg, P.; Kohn, W. Inhomogeneous Electron Gas. Physical Review 1964, 136, B864-B871. [CrossRef]
  27. Kohn, W.; Sham, L. J. Self-Consistent Equations Including Exchange and Correlation Effects. Phys. Rev. B, 1965, 140, A1133–A1138. [CrossRef]
  28. Ingold, C.K. Significance of tautomerism and of the reactions of aromatic compounds in the electronic theory of organic reactions. J. Chem. Soc. 1933, 1120-1127. [CrossRef]
  29. Carey, F.A.; Sundberg, R.J. In Advanced Organic. Chemistry. Part A: Structure and Mechanisms, Springer, New York, 2008.
  30. Domingo, L.R.; Ríos-Gutiérrez; M. Revealing the Critical Role of Global Electron Density Transfer in the Reaction Rate of Polar Organic Reactions within Molecular Electron Density Theory. Molecules 2024,29, 1870. [CrossRef]
  31. Domingo, L.R.; Pérez, P.; Ríos-Gutiérrez, M.; José Aurell, M. A Molecular Electron Density Theory Study of Hydrogen Bond Catalysed Polar Diels–Alder Reactions of α,β-unsaturated Carbonyl Compounds. Tetrahedron Chem. 2024, 10,100064. [CrossRef]
  32. Parr, R.G.; Szentpaly, L.v.; Liu, S. Electrophilicity index. J. Am. Chem. Soc. 1999, 121, 1922-1924. [CrossRef]
  33. Domingo, L.R. 1999-2024, a Quarter Century of the Parr's Electrophilicity w Index. Sci. Rad. 2024 3, 157-186.
  34. Silvi, B.; Savin, A. Classification of chemical bonds based on topological analysis of electron localization functions. Nature 1994, 371, 683–686. [CrossRef]
  35. Reed, A.E.; Weinstock, R.B.; Weinhold, F. Natural population analysis. J. Chem. Phys., 1985, 83, 735-746; (b) Reed, A.E.; Curtiss, L.A.; Weinhold, F. Intermolecular interactions from a natural bond orbital, donor-acceptor viewpoint. Chem. Rev., 1988, 88, 899-926.
  36. Domingo, L.R.; Ríos-Gutiérrez, M.; Pérez, P. Electrophilicity  and Nucleophilicity N Scales for Cationic and Anionic Species. Sci. Rad. 2025, 4, 1-17. [CrossRef]
  37. Parr, R.G.; Pearson, R.G. Absolute hardness: Companion parameter to absolute electronegativity. J. Am. Chem. Soc. 1983, 105, 7512–7516. [CrossRef]
  38. Domingo, L.R.; Ríos-Gutiérrez, M. A Useful Classification of Organic Reactions Bases on the Flux of the Electron Density. Sci. Rad. 2023, 2, 1-24. [CrossRef]
  39. Domingo, L.R.; Chamorro, E.; Pérez, P. Understanding the reactivity of captodative ethylenes in polar cycloaddition reactions. A theoretical study. J. Org. Chem. 2008, 73, 4615–4624. [CrossRef]
  40. Evans, M. G.; Polanyi, M. Some applications of the transition state method to the calculation of reaction velocities, especially in solution. Trans. Faraday Soc., 1935, 31, 875–894. [CrossRef]
  41. Domingo, L.R.; Ríos-Gutiérrez, M.; Pérez, P. Unveiling the Lewis Acid Catalyzed Diels-Alder Reactions Through the Molecular Electron Density Theory. Molecules 2020, 25, 2535. [CrossRef]
  42. Hamlin, T. A.; Bickelhaupt, F. M.; Fernández, I. The Pauli repulsion-lowering concept in catalysis. Acc. Chem. Res. 2021, 54, 1972−1981. [CrossRef]
  43. Chai, J.-D.; Head-Gordon, M. Long-range corrected hybrid density functionals with damped atom–atom dispersion corrections. Phys. Chem. Chem. Phys. 2008, 10, 6615-6620. [CrossRef]
  44. (a) Becke, A.D. Density-functional thermochemistry. III. The role of exact exchange. J. Chem. Phys. 1993, 98, 5648-5652; (b) Lee, C.; Yang, W.; Parr, R.G. Development of the Colle-Salvetti correlation-energy formula into a functional of the electron density. Phys. Rev. B 1988, 37, 785-789.
  45. AIMAll (Version 19.10.12), Keith, T.A. TK Gristmill Software, Overland Park KS, USA, 2019 (aim.tkgristmill.com).
  46. Zhao, Y.; Truhlar, D.G. The M06 suite of density functionals for main group thermochemistry, thermochemical kinetics, noncovalent interactions, excited states, and transition elements: two new functionals and systematic testing of four M06-class functionals and 12 other functionals. Theor. Chem. Acc. 2008, 120, 215–241. [CrossRef]
  47. W. J. Hehre, L. Radom, P. v. R. Schleyer and J. A. Pople, in Ab initio Molecular Orbital Theory, Wiley, New York, 1986.
  48. (a) Schlegel, H.B. Optimization of equilibrium geometries and transition structures. J. Comput. Chem. 1982, 3, 214-218; (b) Schlegel, H.B. in Modern Electronic Structure Theory, D. R Yarkony, Ed., World Scientific Publishing: Singapore, 1994.
  49. Fukui, K. Formulation of the reaction coordinate. J. Phys. Chem. 1970, 74, 4161–4163. [CrossRef]
  50. (a) Tomasi, J.; Persico, M. Molecular interactions in solution: and overview of methods based on continuous distributions of the solvent. Chem. Rev. 1994, 94, 2027-2094; (b) B. Ya. Simkin and I. I. Sheikhet, in Quantum chemical and statistical theory of solutions– computational approach, Ellis Horwood: London, 1995.
  51. (a) Cossi, M.; Barone, V.; Cammi, R.; Tomasi, J. Ab initio study of solvated molecules: A new implementation of the polarizable continuum model. Chem. Phys. Lett. 1996, 255, 327-335; (b) Cances, E.; Mennucci, B.; Tomasi, J. A new integral equation formalism for the polarizable continuum model: Theoretical background and applications to isotropic and anisotropic dielectrics. J. Chem. Phys. 1997, 107, 3032-3041; (c) Barone, V.; Cossi, M.; Tomasi, J. Geometry optimization of molecular structures in solution by the polarizable continuum model. J. Comput. Chem. 1998, 19, 404-417.
  52. Frisch, M. J.; Trucks, G. W.; Schlegel, H. B.; Scuseria, G. E.; Robb, M. A.; Cheeseman, J. R.; Scalmani, G.; Barone, V.; Mennucci, B.; Petersson, G. A.; Nakatsuji, H.; Li, X.; Caricato, M.; Marenich, A. V.; Bloino, J.; Janesko, B. G.; Gomperts, R.; Mennucci, B.; Hratchian, H. P.; Ortiz, J. V.; Izmaylov, A. F.; Sonnenberg, J. L.; Williams-Young, D.; Ding, F.; Lipparini, F.; Egidi, F.; Goings, J.; Peng, B.; Petrone, A.; Henderson, T.; Ranasinhe, D.; Zakrzewski, V. G.; Gao, J.; Rega, N.; Zheng, G.; Liang, W.; Hada, M.; Ehara, M.; Toyota, K.; Fukuda, R.; Hasegawa, J.; Ishida, M.; Nakajima, T.; Honda, Y.; Kitao, O.; Nakai, H.; Vreven, T.; Throssell, K.; Montgomery, J. A., Jr.; Peralta, J. E.; Ogliaro, F.; Bearpark, M.; Heyd, J. J.; Brothers, E. N.; Kudin, K. N.; Staroverov, V. N.; Keith, T. A.; Kobayashi, R.; Normand, J.; Raghavachari, K.; Rendell, A.; Burant, J. C.; Iyengar, S. S.; Tomasi, J.; Cossi, M.; Millam, J.M.; Klene, M.; Adamo, C.; Cammi, R.; Ochterski, J. W.; Martin, R. L.; Morokuma, K.; Farkas, Ö .; Foresman, J. B.; Fox, D. J.; Gaussian 16, Revision A.03; Gaussian, Inc.; Wallingford CT, 2017.
  53. Noury, S.; Krokidis, X.; Fuster, F.; Silvi, B. Computational tools for the electron localization function topological analysis. Comput. Chem. 1999, 23, 597–604. [CrossRef]
  54. GaussView, Version 6.0, Dennington, R.; Keith, T.A.; Millam, J.M. Semichem Inc., Shawnee Mission, KS, 2016.
Scheme 1. AE reaction of propene 1 with ethylene 2.
Scheme 1. AE reaction of propene 1 with ethylene 2.
Preprints 177080 sch001
Scheme 2. AE reaction of propene 1 with maleic anhydride 4.
Scheme 2. AE reaction of propene 1 with maleic anhydride 4.
Preprints 177080 sch002
Scheme 3. LA activated AE reactions of aldehydes and imines.
Scheme 3. LA activated AE reactions of aldehydes and imines.
Preprints 177080 sch003
Scheme 4. Activation of the propene component through the presence of ER groups.
Scheme 4. Activation of the propene component through the presence of ER groups.
Preprints 177080 sch004
Scheme 5. AE reactions of isobutene 10, showing selected heteroethylene derivatives.
Scheme 5. AE reactions of isobutene 10, showing selected heteroethylene derivatives.
Preprints 177080 sch005
Figure 1. Plot of the activation energies, ΔEact, in kcal·mol-1, vs the GEDT values, in average number of electrons, e, for the AE reactions shown in Scheme 5.
Figure 1. Plot of the activation energies, ΔEact, in kcal·mol-1, vs the GEDT values, in average number of electrons, e, for the AE reactions shown in Scheme 5.
Preprints 177080 g001
Scheme 6. Competitive P-DA and P-AE reactions of 2MBD 15, a diene possessing an allylic hydrogen, with CHO:BF3 14.
Scheme 6. Competitive P-DA and P-AE reactions of 2MBD 15, a diene possessing an allylic hydrogen, with CHO:BF3 14.
Preprints 177080 sch006
Figure 2. MPWB1K/6-311G(d,p) gas phase geometries of the diastereomeric TSs associated with the competitive P-DA and P-AE reactions between 2MBD 14 and CHO:BF3 14. Distances are given in angstroms, Å.
Figure 2. MPWB1K/6-311G(d,p) gas phase geometries of the diastereomeric TSs associated with the competitive P-DA and P-AE reactions between 2MBD 14 and CHO:BF3 14. Distances are given in angstroms, Å.
Preprints 177080 g002
Scheme 8. LA catalyzed AE reactions of 2MBD 15 and CHO 12.
Scheme 8. LA catalyzed AE reactions of 2MBD 15 and CHO 12.
Preprints 177080 sch008
Figure 3. ELF basin attractor positions of 2MBD 15, CHO 12 and CHO:LA complexes 14, 25 and 26, calculated at the ωB97X-D/6-311G(d,p) level in the gas phase. Natural atomic charges are reported as an average number of electrons, e. Negative charges are highlighted in red, and positive charges are shown in blue.
Figure 3. ELF basin attractor positions of 2MBD 15, CHO 12 and CHO:LA complexes 14, 25 and 26, calculated at the ωB97X-D/6-311G(d,p) level in the gas phase. Natural atomic charges are reported as an average number of electrons, e. Negative charges are highlighted in red, and positive charges are shown in blue.
Preprints 177080 g003
Scheme 9. Non-catalyzed AE reaction of 2MBD 15 with CHO 12. The ωB97X-D/6-311G(d,p) relative energies, in kcal·mol-1, are given in parentheses.
Scheme 9. Non-catalyzed AE reaction of 2MBD 15 with CHO 12. The ωB97X-D/6-311G(d,p) relative energies, in kcal·mol-1, are given in parentheses.
Preprints 177080 sch009
Figure 4. ωB97X-D/6-311G(d,p) optimized geometry of TS-12. Distances are given in Angstroms.
Figure 4. ωB97X-D/6-311G(d,p) optimized geometry of TS-12. Distances are given in Angstroms.
Preprints 177080 g004
Figure 5. (a) ωB97X-D/6-311G(d,p) ELF basin attractor positions and populations, in average number of electrons, e, of the most relevant valence basins; and (b) position of the AIM (3,-1) CPs of TS-12.
Figure 5. (a) ωB97X-D/6-311G(d,p) ELF basin attractor positions and populations, in average number of electrons, e, of the most relevant valence basins; and (b) position of the AIM (3,-1) CPs of TS-12.
Preprints 177080 g005
Scheme 10. One-step and two-step mechanisms of the LA-catalyzed AE reactions of 2MBD 15 with CHO 12.
Scheme 10. One-step and two-step mechanisms of the LA-catalyzed AE reactions of 2MBD 15 with CHO 12.
Preprints 177080 sch010
Figure 8. Gibbs free energy profiles, computed at 25 ºC in dioxane for the AE reactions of 2MBD 15 with CHO 12, and with the CHO:LA complexes 14, 25 and 26. Relative Gibbs free energies are given in kcal·mol-1.
Figure 8. Gibbs free energy profiles, computed at 25 ºC in dioxane for the AE reactions of 2MBD 15 with CHO 12, and with the CHO:LA complexes 14, 25 and 26. Relative Gibbs free energies are given in kcal·mol-1.
Preprints 177080 g008
Figure 9. Plot of the activation Gibbs free energies, in kcal·mol-1, associated with the RDS of the non-catalyzed AE reactions of 2MBD 15 with the CHO 12, and the LA-catalyzed AE reactions of 2MBD 15 with the CHO:LA complexes 14, 25, and 26 versus the GEDT at the corresponding TSs, as the average number of electrons, e, at the corresponding TS.
Figure 9. Plot of the activation Gibbs free energies, in kcal·mol-1, associated with the RDS of the non-catalyzed AE reactions of 2MBD 15 with the CHO 12, and the LA-catalyzed AE reactions of 2MBD 15 with the CHO:LA complexes 14, 25, and 26 versus the GEDT at the corresponding TSs, as the average number of electrons, e, at the corresponding TS.
Preprints 177080 g009
Figure 10. Plot of the ξ E t o t a l C H O total energies of the CHO framework, ξE in kcal·mol-1, versus GEDT at the corresponding TSs, as the average number of electrons, e.
Figure 10. Plot of the ξ E t o t a l C H O total energies of the CHO framework, ξE in kcal·mol-1, versus GEDT at the corresponding TSs, as the average number of electrons, e.
Preprints 177080 g010
Table 1. Populations, expressed as the average number of electrons, e, of the most relevant valence basins of 2MBD 15, CHO 12, and CHO:LA complexes 14, 25, and 26.
Table 1. Populations, expressed as the average number of electrons, e, of the most relevant valence basins of 2MBD 15, CHO 12, and CHO:LA complexes 14, 25, and 26.
a a’ b c c’
V(C3,C4) V(C3,C4) V(C4,C5) V(C5,C6) V’(C5,C6)
2MBD 15 1.71 1.71 2.22 1.70 1.70
d d’ e e’
V’(C1,O2) V’(C1,O2) V(O2) V’(O2)
CHO 12 1.23 1.23 2.54 2.54
CHO:BH3 25 1.27 1.23 2.13 2.83
CHO:BF3 14 1.21 1.25 2.26 2.79
CHO:AlCl3 26 2.38 2.38 2.43
Table 2. Electronic chemical potential μ, chemical hardness η, electrophilicity ω, and nucleophilicity N indices, calculated at the B3LYP/6-31G(d) level for 2MBD 15, isobutene 10, 1-butene 18, propene 1, ethylene 2, CHO 12, MeCHO 19, CHO:LA complexes 14, 25, 26, and MeCHO:AlCl3 21, expressed in eV.
Table 2. Electronic chemical potential μ, chemical hardness η, electrophilicity ω, and nucleophilicity N indices, calculated at the B3LYP/6-31G(d) level for 2MBD 15, isobutene 10, 1-butene 18, propene 1, ethylene 2, CHO 12, MeCHO 19, CHO:LA complexes 14, 25, 26, and MeCHO:AlCl3 21, expressed in eV.
μ η N
CHO:AlCl3 26 6.09 4.27 4.35 0.89
MeCHO:AlCl3 21 5.78 4.61 3.62 1.04
CHO:BH3 25 5.29 4.87 2.87 1.40
CHO:BF3 14 5.96 6.53 2.73 -0.11
CHO 12 4.23 6.16 1.45 1.81
MeCHO 19 3.77 6.35 1.12 2.18
2MBD 15 3.34 5.63 0.99 2.97
Ethylene 2 3.37 7.77 0.73 1.86
1-Butene 18 3.05 7.50 0.62 2.32
Propene 1 3.01 7.57 0.60 2.32
isobutene 10 2.83 7.37 0.55 2.60
Table 4. ωB97X-D/6-311G(d,p) relative energies, in kcal·mol-1, of the stationary points involved in the LA-catalyzed AE reactions of 2MBD 15 with CHO 12.
Table 4. ωB97X-D/6-311G(d,p) relative energies, in kcal·mol-1, of the stationary points involved in the LA-catalyzed AE reactions of 2MBD 15 with CHO 12.
25 14 26
BH3 BF3 AlCl3
MC-X 10.3 MC-X 11.7 13.7
TS-X 3.3 TS1-X 4.3 10.3
P-X 25.4 IN-X 4.3 10.8
TS2-X 3.2 9.5
P-X 28.1 30.4
Table 6. ωB97X-D/6-311G(d,p) relative electronic energies, ΔE in kcal·mol-1, enthalpies, ΔH in kcal·mol-1, entropies, ΔH in cal·mol-1K-1, and Gibbs free energies, ΔG in kcal·mol-1, computed at 25 ºC in dioxane for the stationary points involved in the AE reactions of 2MBD 15 with CHO 12, and with the CHO:LA complexes 14, 25 and 26.
Table 6. ωB97X-D/6-311G(d,p) relative electronic energies, ΔE in kcal·mol-1, enthalpies, ΔH in kcal·mol-1, entropies, ΔH in cal·mol-1K-1, and Gibbs free energies, ΔG in kcal·mol-1, computed at 25 ºC in dioxane for the stationary points involved in the AE reactions of 2MBD 15 with CHO 12, and with the CHO:LA complexes 14, 25 and 26.
H S G
MC-12 -6.7 -4.6 -26.6 3.4
TS-12 21.0 21.3 -42.7 34.0
P-12 -19.2 -14.8 -38.8 -3.3
MC-25 -9.2 -7.1 -29.9 1.8
TS-25 1.6 2.2 -45.5 15.7
P-25 -24.2 -19.9 -39.8 -8.0
MC-14 -10.9 -8.6 -34.9 1.8
TS1-14 -6.6 -4.4 -43.1 8.4
IN-14 -8.3 -5.5 -44.9 7.9
TS2-14 -6.2 -5.3 -48.6 9.2
P-14 -27.2 -23.0 -42.0 -10.5
MC-26 -12.1 -9.8 -36.3 1.0
TS1-26 -10.1 -8.0 -42.0 4.5
IN-26 -14.3 -11.5 -42.0 1.0
TS2-26 -11.1 -11.1 -52.3 4.5
P-26 -28.7 -24.7 -40.9 -12.5
Table 8. M06-2X/6-311G(d,p) gas-phase ξ E i n t r a X intra-atomic, ξ E i n t e r X interatomic and ξ E t o t a l X total energies, in kcal·mol-1, of the 2MBD and CHO frameworks, calculated at the M06-2X/6-311G(d,p) level of theory, at the TSs relative to their reagents in the GS. The sum of the ξ E t o t a l X values of both frameworks, denoted as ξ E t o t a l 2 M B D + C H O , represents the RIAE relative energy.
Table 8. M06-2X/6-311G(d,p) gas-phase ξ E i n t r a X intra-atomic, ξ E i n t e r X interatomic and ξ E t o t a l X total energies, in kcal·mol-1, of the 2MBD and CHO frameworks, calculated at the M06-2X/6-311G(d,p) level of theory, at the TSs relative to their reagents in the GS. The sum of the ξ E t o t a l X values of both frameworks, denoted as ξ E t o t a l 2 M B D + C H O , represents the RIAE relative energy.
Reagents TS ƒ(X) ξ E i n t r a X ξ E i n t e r X ξ E t o t a l X ξ E t o t a l 2 M B D + C H O
Ethylene 2 TS-2 2MBD 44.24 16.94 27.30 29.10
Et 31.00 29.12 1.88
CHO 12 TS-12 2MBD 77.56 28.68 48.88 20.70
CHO 109.50 81.33 28.18
CHO:BH3 25 TS-25 2MBD 49.13 4.19 44.94 1.54
CHO:LA 76.27 32.87 43.40
CHO:BF3 14 TS1-14 2MBD 53.85 0.68 54.53 5.02
CHO:LA 83.58 24.02 59.56
CHO:AlCl3 26 TS1-26 2MBD 60.52 10.52 71.04 10.05
CHO:LA 121.99 40.90 81.09
Disclaimer/Publisher’s Note: The statements, opinions and data contained in all publications are solely those of the individual author(s) and contributor(s) and not of MDPI and/or the editor(s). MDPI and/or the editor(s) disclaim responsibility for any injury to people or property resulting from any ideas, methods, instructions or products referred to in the content.
Copyright: This open access article is published under a Creative Commons CC BY 4.0 license, which permit the free download, distribution, and reuse, provided that the author and preprint are cited in any reuse.
Prerpints.org logo

Preprints.org is a free preprint server supported by MDPI in Basel, Switzerland.

Subscribe

Disclaimer

Terms of Use

Privacy Policy

Privacy Settings

© 2026 MDPI (Basel, Switzerland) unless otherwise stated