Submitted:
14 September 2025
Posted:
16 September 2025
You are already at the latest version
Abstract
Keywords:
Introduction
Section One: Derivation of the Some Unit Distribution and Their Generalization:
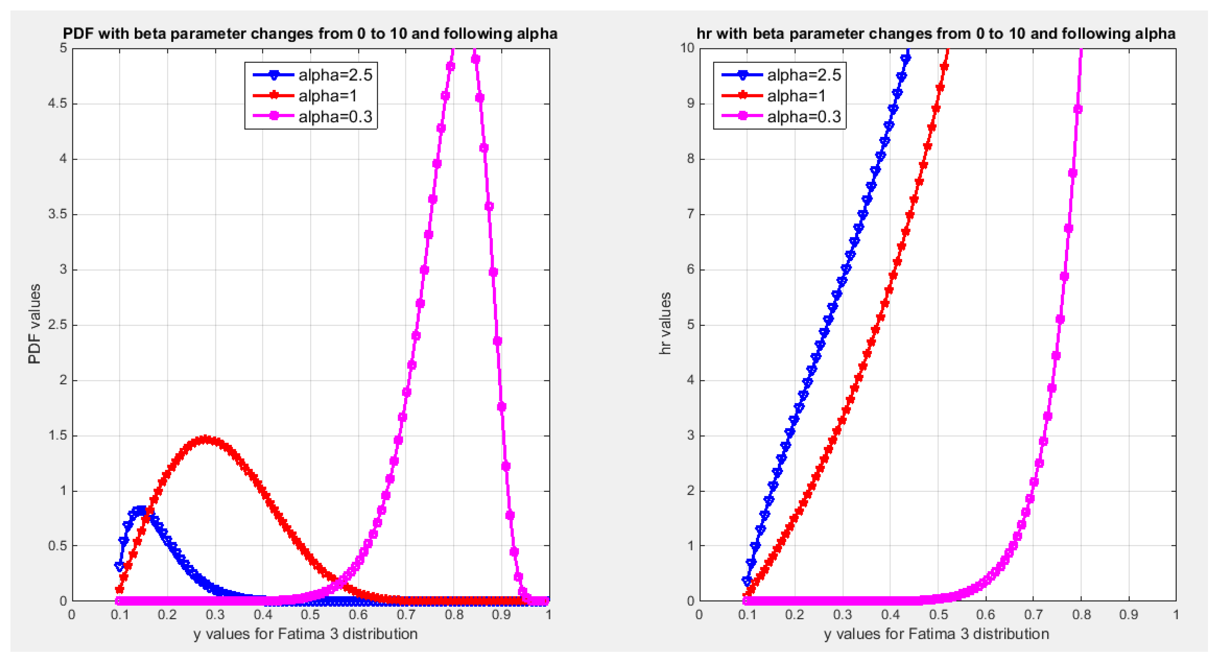
Section Two: Some Basic Properties
Section Three: Estimation Method (MLE)
Section Four: Real Data Analysis and Discussion
Section Five: Conclusion
Section Six: Future Work
Funding
Ethics approval and consent to participate
Consent for publication
Availability of data and material
Competing interests
Authors’ contribution
Acknowledgement
References
- Attia, I. (2025). The New Generalized Odd Median Based Unit Rayleigh with a New Shape Oscillating Hazard Rate Function (No. arXiv:2503.11668). arXiv. [CrossRef]
- Attia, I. M. (2025a). A Novel Unit Distribution Named As Median Based Unit Rayleigh (MBUR): Properties and Estimations (No. arXiv:2410.04132). arXiv. [CrossRef]
- Attia, I. M. (2025b). Comparative Study of the Median Based Unit Rayleigh and its Generalized Form the Generalized Odd Median Based Unit Rayleigh (No. arXiv:2503.11700). arXiv. [CrossRef]
- Cancho, V. G., Bazán, J. L., & Dey, D. K. (2020). A new class of regression model for a bounded response with application in the study of the incidence rate of colorectal cancer. Statistical Methods in Medical Research, 29(7), 2015–2033. [CrossRef]
- Eldessouky, E. A., Hassan, O. H. M., Aloraini, B., & Elbatal, I. (2025). Modeling to medical and economic data using: The transmuted power unit inverse Lindley distribution. Alexandria Engineering Journal, 113, 633–647. [CrossRef]
- Gallardo, D. I., Bourguignon, M., Gómez, Y. M., Caamaño-Carrillo, C., & Venegas, O. (2022). Parametric Quantile Regression Models for Fitting Double Bounded Response with Application to COVID-19 Mortality Rate Data. Mathematics, 10(13), 2249. [CrossRef]
- Gemeay, A. M., Alsadat, N., Chesneau, C., & Elgarhy, M. (2024). Power unit inverse Lindley distribution with different measures of uncertainty, estimation and applications. AIMS Mathematics, 9(8), 20976–21024. [CrossRef]
- Karakaya, K., & Sağlam, Ş. (2025). Unit Gamma-Lindley Distribution: Properties, Estimation, Regression Analysis, and Practical Applications. Gazi University Journal of Science, 38(2), 1021–1040. [CrossRef]
- Korkmaz, M. Ç. (2020). A new heavy-tailed distribution defined on the bounded interval: The logit slash distribution and its application. Journal of Applied Statistics, 47(12), 2097–2119. [CrossRef]
- Korkmaz, M. Ç., Chesneau, C., & Korkmaz, Z. S. (2023). A new alternative quantile regression model for the bounded response with educational measurements applications of OECD countries. Journal of Applied Statistics, 50(1), 131–154. [CrossRef]
- Mazucheli, J., Alves, B., Korkmaz, M. Ç., & Leiva, V. (2022). Vasicek Quantile and Mean Regression Models for Bounded Data: New Formulation, Mathematical Derivations, and Numerical Applications. Mathematics, 10(9), 1389. [CrossRef]
- Nasiru, S., Chesneau, C., Abubakari, A. G., & Angbing, I. D. (2023). Generalized Unit Half-Logistic Geometric Distribution: Properties and Regression with Applications to Insurance. Analytics, 2(2), 438–462. [CrossRef]
- Pang, L., Tian, W., Tong, T., & Chen, X. (2021). Logit Truncated-Exponential Skew-Logistic Distribution with Properties and Applications. Modelling, 2(4), 776–794. [CrossRef]
- Ramadan, A. T., Tolba, A. H., & El-Desouky, B. S. (2022). A Unit Half-Logistic Geometric Distribution and Its Application in Insurance. Axioms, 11(12), 676. [CrossRef]
- Sudsila, P., Thongteeraparp, A., Aryuyuen, S., & Bodhisuwan, W. (2022). The Generalized Distributions on the Unit Interval based on the T-Topp-Leone Family of Distributions. Trends in Sciences, 19(19), 6186. [CrossRef]
- Tahir, M. H., Hussain, M. A., Cordeiro, G. M., El-Morshedy, M., & Eliwa, M. S. (2020). A New Kumaraswamy Generalized Family of Distributions with Properties, Applications, and Bivariate Extension. Mathematics, 8(11), 1989. [CrossRef]







| min | Mean | Standard deviation |
skewness | kurtosis | 25th quantile | median | 75th quantile | max |
| 0.062 | 0.8332 | 0.0972 | -0.6059 | 2.9144 | 0.7775 | 0.8300 | 0.9100 | 0.98 |
| Beta | Kumaraswamy | Fatima 1 | Fatima 2 | ||||||
| 10.8716 | 8.4271 | 2.3004 | 6.7786 | ||||||
| 2.1667 | 2.2817 | 2.2928 | 1.8642 | ||||||
| - | - | - | 5.6101 | ||||||
| 8.1698 | 1.2164 | 1.9713 | 0.5680 | 2.7745e+6 | -2.7653e+6 | Nan | Nan | Nan | |
| 1.2164 | 0.2274 | 0.5680 | 0.2906 | -2.7653e+6 | 2.7561e+6 | Nan | Nan | Nan | |
| Nan | Nan | Nan | |||||||
| LL | 40.6698 | 40.4467 | 34.9508 | 40.6603 | |||||
| AIC | -77.3397 | -76.8933 | -65.9015 | -77.3205 | |||||
| CAIC | -77.0239 | -76.5775 | -65.5857 | -77.0047 | |||||
| BIC | -73.9125 | -73.4662 | -62.4744 | -73.8934 | |||||
| HQIC | -76.0917 | -75.6453 | -64.6535 | -76.0725 | |||||
| H0 | Fail to reject | Fail to reject | Fail to reject | Fail to reject | |||||
| P-value of KS | 0.8387 | 0.7741 | 0.0742 | 0.07789 | |||||
| KS-test | 0.0929 | 0.0996 | 0.1961 | 0.0991 | |||||
| CVM-test | 0.0398 | 0.0483 | 0.4182 | 0.041 | |||||
| AD-test | 0.3114 | 0.3499 | 2.2765 | 0.3153 | |||||
| Fatima 3 | Fatima 4 | Fatima 5 (BMUR) |
Fatima 6 | Fatima 7 | |||||
| 0.3445 | 0.5199 | 0.4776 | 0.4815 | 0.4815 | |||||
| 2.2817 | 1.4257 | - | 1.2081 | 3.4162 | |||||
| 0.0008 | -0.0116 | Nan | Nan | 0.0007217 | 0.000729 | 0.0037 | 0.000729 | 0.0073 | |
| -0.0116 | 0.2906 | Nan | Nan | 0.0037 | 0.2140 | 0.0073 | 0.8558 | ||
| LL | 40.4467 | 34.9508 | 40.4976 | 40.6059 | 40.6059 | ||||
| AIC | -76.8933 | -65.9014 | -78.9952 | -77.2118 | -77.2118 | ||||
| CAIC | -76.5775 | -65.5857 | -78.8926 | -76.896 | -76.896 | ||||
| BIC | -73.4662 | -62.4744 | -77.2816 | -73.7846 | -73.7846 | ||||
| HQIC | -75.6453 | -64.6535 | -78.3712 | -75.9638 | -75.9638 | ||||
| H0 | Fail to reject | Fail to reject | Fail to reject | Fail to reject | Fail to reject | ||||
| P-value of KS | 0.7741 | 0.0742 | 0.7789 | 0.822 | 0.822 | ||||
| KS-test | 0.0996 | 0.1961 | 0.0991 | 0.0947 | 0.0947 | ||||
| CVM-test | 0.0483 | 0.4182 | 0.0543 | 0.0416 | 0.0416 | ||||
| AD-test | 0.3499 | 2.2765 | 0.3463 | 0.3214 | 0.3214 | ||||
Disclaimer/Publisher’s Note: The statements, opinions and data contained in all publications are solely those of the individual author(s) and contributor(s) and not of MDPI and/or the editor(s). MDPI and/or the editor(s) disclaim responsibility for any injury to people or property resulting from any ideas, methods, instructions or products referred to in the content. |
© 2025 by the authors. Licensee MDPI, Basel, Switzerland. This article is an open access article distributed under the terms and conditions of the Creative Commons Attribution (CC BY) license (http://creativecommons.org/licenses/by/4.0/).