Submitted:
18 September 2025
Posted:
19 September 2025
Read the latest preprint version here
Abstract
Keywords:
Setting the Stage
| COVID | Long COVID | |
|---|---|---|
| Date of First Paper | February 3, 2020 Nature – 19,000+ citations Lancet – 12,000+ citations |
November 3, 2020 JAMA – 446 citations |
| What is it? | A disease caused by a virus | The multiple, diverse consequences of a disease |
| Contagious | Yes, very | No |
|
Test |
Yes – PCR and rapid antigen | No |
| % of US afflicted population | ~90% | ~7% of those who had COVID |
|
Length of illness |
Typically, 5-10 days |
Months to years or perhaps permanent |
| Sex prevalence | Male | Female |
| Vaccination Impact | Significant reduction | No Long COVID vaccine and none is likely. However, pre-COVID vaccination helps. Post-COVID vaccination does not help. |
| Therapeutic objective | Avoid severe disease | Repair COVID damage |
| Therapeutic effectiveness tests | Biochemical tests based on the therapeutic type, i.e., antiviral, anti-inflammatory, oxygenation, and blood clots. |
Human trials and highly qualitative studies |
| Therapeutic placebo effect | Some | Can be significant |
| Disease / Virus | Common Long-Term Symptoms | Organs/Systems Affected | Duration | Percent Affected |
|---|---|---|---|---|
| COVID-19 | Fatigue, brain fog, postural orthostatic tachycardia syndrome, heart palpitations, gastrointestinal issues | Brain, nerves, lungs, heart, kidney, liver, pancreas, genitals, musculoskeletal, immune system | Months to years |
~5 –15% higher after severe cases |
| Epstein-Barr | Chronic fatigue, memory issues, muscle pain | Brain, immune system, liver | Months to years | ~10–15% chronic fatigue syndrome |
| Influenza | Fatigue, weakness, rare Guillain-Barré syndrome or encephalitis | Nervous system, lungs | Weeks to months | ~1–2% mostly severe cases |
| Coxsackievirus B | Myocarditis, fatigue, chronic inflammation | Heart, muscles | Weeks to lifelong | ~5–10% |
| Zika Virus | Guillain-Barré syndrome, neuropathy, fetal defects if pregnant | Nerves, brain (fetal/adult) | Weeks to lifelong |
<1% Guillain-Barré syndrome, neuropathy ~5–10% mild neurological symptoms |
| SARS / MERS | Lung damage, post-traumatic stress disorder, fatigue | Lungs, nervous system | Months to years | ~25–40% |
| RSV | Wheezing, asthma in kids, chronic cough | Lungs, airway | Months to years | ~30–50% of children with severe RSV |
| Measles | subacute sclerosing panencephalitis (very rare), immune suppression | Brain, immune system | Years later | Rare |
| Chickenpox | Shingles, nerve pain (post therpetic neuralgia) | Nerves, skin | Weeks to years |
20–30% get shingles; ~10–15% of those get postherpetic neuralgia |
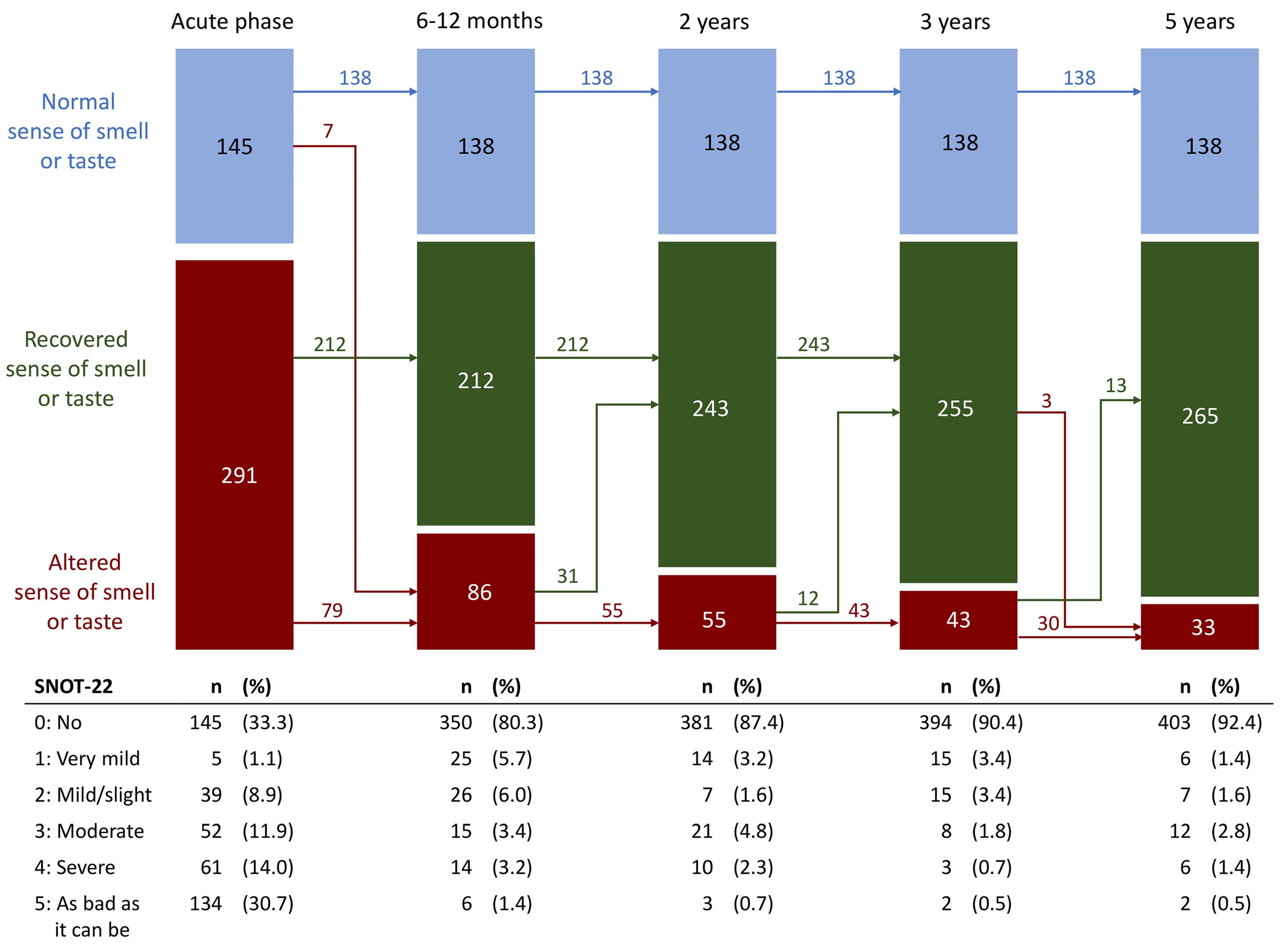
Long COVID
Long COVID Prevalence





-
First, and most importantly, there is no diagnostic test for Long COVID. Thus, assessment techniques are qualitative. For example,
- There are self-assessments with different criteria, e.g., walk test or how are you feeling?
- Frequently there are not controls who also could have Long COVID symptoms, e.g., fatigue or depression.
- There are mail surveys, on-line forms, phone calls, all of which have low response rates. Someone who doesn’t feel well is more likely to respond than someone who feels great which bias results.
- There are different measures such as rate, risk ratios, and fully recovered.
- While there is a large symptom base, only a few symptoms are usually measured, usually fatigue or brain fog.
- The pandemic changed behaviors, e.g., less exercise and sleep, which can result in one having “Long COVID” symptoms.
-
Comorbidities affect the results. The comorbidities include:
- Pandemic medical impacts, e.g., depression which can overlap with and can exacerbate Long COVID symptoms.
- Age, sex, BMI, diseases, frailty, genetics
- Variants
- Therapeutics
- COVID Vaccination
- There are different Long COVID definitions.
- Inflammation: Inflammation is probably Long COVID’s major root cause. Inflammation includes recruiting white blood cells and the release of cytokines that initiate tissue swelling and injury.
- Persistent viral infection: viral antigens, RNA, and SARS-CoV-2 proteins remain present and active in the body’s tissues following acute infection and continue to damage it.
- Viral particle damage to organs. A COVID case results in 1-30 trillion viral particles in the body. Some proteins, particularly the spike, the nucleocapsid, and the nonstructural protein 1 (nsp1) directly damage organs.
- Autoantibodies: Infection with the SARS-CoV-2 virus can trigger autoimmune diseases.
-
Biological processes and organs are damaged.
- All our organs are damaged.
- Mitochondria, our energy workhorses, are greatly damaged by COVID. This results in fewer oxygen carrying molecules called ATP being generated for our bodies. This is a significant contributor to fatigue and brain fog.
- The proteins that are involved in healing are dysregulated.

Long COVID Biochemical Markers
Reducing the Chances of Long COVID

Long COVID Treatments
| COVID Treatments |
Long COVID Treatments |
|
|---|---|---|
| FDA clinical treatment trials | 6,000 | 545 |
| PubMed published papersa | 198,000 | 17,000b |
| The Mouse the Roared papersa | 3,800c | 269d |
| Symptom | FDA Clinical Trial |
|---|---|
| Fatigue | 279 |
| Mental Health | 138 |
| Persistent Infection | 106 |
| Inflammation | 66 |
| Brain Fog | 63 |
| Antiviral | 51 |
| Gut Micro biodome | 16 |
| Microclotting | 14 |
| Cognitive Behavioral Therapy to Treat It | 12 |
| SSRI Antidepressants to Treat It | 12 |
| Auto Immune Diseases | 12 |
| Mitochondrial | 11 |
| Dementia | 10 |
| Year |
Long COVID Trials Started |
| Pre 2020 | 2a |
| 2020 | 43 |
| 2021 | 120 |
| 2022 | 142 |
| 2023 | 155 |
| 2024 | 83 |
| 2025 - through 8/31 | 57 |
- The scientific community is early in focusing on Long COVID, so clearly other treatments will be discovered.
- The huge, order of $2.3 billion, US Long COVID project called Recover Project is just gathering momentum. This will be a long term, well-funded project if for no other reason than the order of 20 million Americans suffer from Long COVID. This website lists its published papers Recover Project Published Papers.
- Though not as large as the US Recover Project, many countries have large Long COVID projects including, but not limited to the UK, Canada, Australia, China, Japan, South Korea, the European Union, and the Word Health Organization.
- That is, the number of Long COVID treatment papers in The Mouse That Roared dropped precipitously in July and august 2025.
- I.
- Get the Right Set of Doctors
- II.
- Go to a Long COVID Clinic
U.S. Department of Health and Human Services Actions
- III.
- Consider Having Assessments for Root Causes
- Persistent Inflammation The main test for inflammation is for the IL-6 cytokine. Persistent Inflammation Test describes the test. Inflammation is probably the most important test as hyperinflammation is a leading cause of severe COVID which leads to the most severe cases of Long COVID.
- Mitochondrial Dysfunction This is probably the second most important test. Initial laboratory tests such as lactate, pyruvate, urine organic acids, and plasma amino acids can inform the clinician about possible mitochondrial dysfunction.
-
Persistent Infection The main tests are:
- Antibody Testing: Persistence of IgM or high IgG titers might indicate ongoing antigen exposure.
- T-cell Activation Profiles: Specialized tests can assess T-cell responses to SARS-CoV-2 antigens, indicating ongoing immune activity against the virus.
-
Autoantibodies Testing for autoantibodies triggered by COVID-19 involves specialized laboratory assays that detect the presence of antibodies targeting the body’s own tissues. They are several types.
-
Blood Tests to Detect Specific Autoantibodies
- Enzyme-Linked Immunosorbent Assay (ELISA): It is used to detect autoantibodies such as anti-nuclear antibodies (ANA), antiphospholipid antibodies, and others.
- Indirect Immunofluorescence: It is often used for detecting ANA or anti-neutrophil cytoplasmic antibodies (ANCA).
- Multiplex Autoantibody Panels: These are comprehensive tests that simultaneously evaluate multiple autoantibodies associated with autoimmune diseases.
-
Functional Assays
- Neutralization Assays: These check for autoantibodies interfering with normal immune pathways, such as those targeting type I interferons which is linked to severe COVID-19.
- Complement Activity Assays: These evaluate the activity of autoantibodies against the complement system.
-
Tissue-Specific Tests
- Thyroid Function Tests: If autoimmune thyroiditis is suspected, specific antibodies like TPOAb (thyroid peroxidase) can be tested.
- Liver Function-Related Autoantibodies: For autoimmune hepatitis, testing for anti-LKM1 or ANA might be necessary.
-
Specialized Tests for COVID-19-Triggered Autoimmunity
- Anti-Interferon Autoantibody Testing: This is relevant for severe COVID-19 cases as these autoantibodies may impair the immune response to the virus.
- bAnti-Phospholipid Antibodies (aPL): Increased risk of blood clots in some COVID-19 cases can be linked to these autoantibodies.
- Cytokine Autoantibodies: These assess disruption in immune signaling pathways, especially in post-COVID syndromes.
-
- Gut microdome dysfunction – there are many tests.
- IV.
- Summarize Relevant Personal Medical Data
- Pre-existing health issues being sure to include any autoimmune disease and other COVID comorbidities such as diabetes, active cancer treatment, etc. This is important because as noted above, organ-specific comorbidities can increase the risk of COVID-caused organ damage.
- COVID case data, including COVID dates, tests, severity, and therapeutics.
- COVID vaccination history.
- Long COVID history - start date, symptom trends, and treatments. The Cleveland Clinic’s table is an excellent way to summarize Long COVID symptom data.

- V.
- Discuss Candidate Treatments

- Most of the root cause papers address inflammation.
- The choice of assigning a paper to Broad Symptoms or Root Cause/Inflammation was a bit arbitrary and was often based on the way the paper’s data was presented.
- Notice how few organ-specific papers were written. This is not surprising as treating arrythmia, for example, induced by Long COVID is likely little different than treating non-COVID arrythmias.
- Only 70 papers reported total human trial sizes of 100 or more. This would be the minimum size for an FDA phase 2 trial which determines a treatment’s effectiveness. Only 27 papers reported studies of 300 or more humans in their trials.
- If one combines trials into the group that had the largest number of people in one trial, then exercise studies accounted for more than 10% of the papers.
- Corticosteroids - prednisone or dexamethasone
- Colchicine
- Low-Dose Naltrexone
- Antihistamines and Mast Cell Stabilizers
- Statins - atorvastatin, rosuvastatin
- Omega-3 fatty acids
- Palmitoylethanolamide
- Curcumin
- Resveratrol
- Q10

| Number of papers describing a treatment | Number of treatments |
| 6 | 1 |
| 5 | 1 |
| 4 | 1 |
| 3 | 6 |
| 2 | 18 |
| 1 | 107 |
- Reducing inflammation.
- Stimulating mitochondrial biogenesis and improve ATP production, which can reduce fatigue.
- Improving vascular tone, oxygen delivery, and tissue perfusion, potentially easing symptoms like brain fog or muscle aches.
- Rebalancing the autonomic nervous system through designed recumbent or supine exercise (e.g., rowing, swimming, recumbent cycling) which may help recondition the cardiovascular system and reduce orthostatic symptoms.
- Promoting neuroplasticity, potentially helping with cognitive symptoms (e.g., brain fog).
- Promoting lymphatic flow and helping clear cellular debris and immune complexes.
- Support fluid and waste clearance in the brain, helping with cognitive symptoms and sleep quality.
- Significantly increasing the amount of oxygen dissolved in the blood plasma, allowing more oxygen to reach tissues that may be oxygen-deprived or poorly cleared of fluids.
- Helping to reduce inflammation immune response.
- Promoting a more balanced immune function.
- Improving mitochondrial function, potentially increasing ATP production, reducing mitochondrial apoptosis signaling, and reducing oxidative stress. This leads to a boost in energy production and reduced fatigue.
- Stimulating the growth of new neurons and improved neuroplasticity thereby potentially improving cognitive function.
- Reducing chronic stress which increases inflammatory cytokines which are already elevated in Long COVID.
- Improving mood and symptom perception which may help people feel better, even if the underlying pathology remains.
- Improving sleep quality which can significantly reduce daily symptom burden and improve mitochondrial function.
- Regulating the autonomic nervous system which is linked to fatigue, and breathlessness.
- Improving cognitive function which can help cope with brain fog and develop compensatory strategies, even if they don’t reverse the cause.
| Procedures | ||
|---|---|---|
| Trial Size | Treatment | Improvement |
| 50-99 | Fecal Transplant146 Enhanced External Counter Pulsation147 Spinal Cord Transcutaneous Stimulation & Respiratory Training148 Digital Cognitive Training149 Unified Phycological Protocol150 Wearable Brain Activity Sensing Device151 Trained With Orange, Lavender, Clove And Peppermint Oils152-3 Contracting And Relaxing Pneumatic Cuffs 0n The Calves, Thighs, And Lower Hip154 |
Sleep Broad Lung Fatigue And Concentration Broad Broad Broad Impact Broad Impact |
| 25-49 | Immunoadsorption155 Vagus Nerve Stimulation156-158 Transcutaneous Electrical Nerve Stimulation159-161 Tragus Nerve Stimulation162-163 Matt Pilates164 Photobiomodulation165-166 Stellate Ganglion Block167-171 Ropinirole172 Acupuncture173 Expectation Management174 |
Broad Broad Neurological Pain And Fatigue Broad Fatigue Pain And Fatigue Smell And Broad Restless Leg Syndrome Well Tolerated, No Measures On Outcomes Minor Broad |
| 10-24 | Dance175 Aripiprazole176 Continuous Positive Airway Pressure177 Olfactory Training With Vitamin A178 Functional Septorhinoplasty179 Virtual Reality Training180 Neuromodulation181 |
Broad Reduced sleep duration Cognition No Impact Smell No Impact No Apparent Impact |
| 1-9 | Oronasal Drainage182 Plasmapheresis183-184 Light To Restore Circadian Rhythm185 Neural Feedback186 Plasma Exchange Therapy187 |
Broad Cognition Sleep More Alert No Impact |
| Drugs | ||
| Trial Size | Treatment | Improvement |
| 50-99 | Leronlimab188 Sea Urchin Eggs189 Co-UltraPEALut190 Naltrexone191-193 Antihistamines194-195 Amantadine196 Propranolol197 Lithium198 Metoprolol199 Rintatolimod200 Gabapentin201 |
Inflammation Pain Memory & Fatigue Broad & Tremors Broad But Uneven Fatigue Orthostatic Hypotension No Improvement Cardiovascular No Impact No Impact |
| 25-49 | Valtrex + Celecoxib202 AXA1125203 Plasma204-205 Treamid206 Palmitoylethanolamide Co-Ultramicronized With Luteolin207-208 Phosphatidylcholine209 Aripiprazole210 Hochuekkito211 |
Broad Fatigue Smell Improved Lung Capacity Improved Smell Improved Inconclusive Reduced Sleep Needs Reduced Fatigue |
| 10-24 | Creatine212 | Fatigue |
| 1-9 | Casirivimab/Imdevimab213 Nicotine Patch214 Bupropion215 Methylphenidate216 Guanfacine217 Intravascular Immunoglobulin Therapy218 Ivabradine219 Minocycline220 Epipharyngeal Abrasive Therapy221 |
Complete Remission Broad And Major Broad Broad Cognition Orthostatic Hypotension Orthostatic Hypotension Orthostatic Hypotension Cleared Viral RNA |
| Nutrients | ||
| Trial Size | Treatment | Improvement |
| 50-99 | Nutritional Supplements Plus Exercise222 Ayurveda System Of Medicine223 Astragalus Root Extract224 Marine Oils225 Endocalyx226 Glycocalyx Dietary Supplement227 |
Broad Diarrhea And Broad Fatigue Fatigue Cardiovascular Cardiovascular |
| 25-49 | Beet Juice228-229 Probiotics230-231 Maraviroc And Pravastatin232 |
Fatigue And Sleep Inflammation Broad |
| 10-24 | Salmon Oil233 Tinospora Cordifolia234 |
Inflammation Inflammation |
| Procedures | ||
|---|---|---|
| Infrared light235 | Cell cultures | Two ten minute exposures led to 80% IL-6 reduction in gene assay. |
| Hyperthermia236 | Review/ hypothosis | Modulates necroinflammation. |
| Drugs | ||
| Tocilizumab237 | Trial underway | Reduce inflammation |
| Baricitinib238 | Trial underway | Reduce inflammation |
| Peptide LTI-2355239 | Cell cultures | Mitigated inflammation in the respiratory tract. |
| CB2R agonists240 | Hypothosis | Reduce inflammation |
| Ginkgolide B-loaded lubosomes And vesicular LNPS241 | Human cell cultures | May protect against cell death |
| SPIKENET, SPK242 |
Mice | Reversed the development of severe inflammation, oxidative stress, tissue edema, and animal death. Recall, vaccines in humans didn’t help. |
| Fermentable fiber243 | Hypothesis | Reduce autoantibodies |
| Polyphenols244 | Hypothesis | Reduce autoantibodies |
| Resveratrol245 | Hypothesis | Reduce gut microdome dysfunction |
| Boost nicotinamide adenine dinucleotide (NAD+)246 | Hypothesis | Reduce gut microdome dysfunction |
| Gamunex-C247 | Proposed trial | Broad relief |
| Paracetamol and Dexketoprofen Trometamol248 | Analytic technique | Broad relief when administered with rivaroxaban |
| Modafinil249 | Literature search | Broad relief |
| Kyungok-go250 | Proposed trial | Broad relief |
| Cyclobenzapring Hydochloride251 |
Company annoucement | Reduce pain and improved sleep |
| Ivabradine and midodrine252 | Review of 32 studies | Reduced brain fog |
| Omega-3 fatty acids252 | Review | Improve mental health |
| Aspartate or Asparagine253-254 | Hypothosis | Improve vision |
| Macitentan255 | Hamsters | Restored bone loss |
| Tanshinone IIA256 | Chemical evaluation | Inflammation |
| Epigallocatechin-3-gallate-palmitate257 | Cell culture |
Neurological |
| Tuning Organelle Balance In Human Mesenchymal Stem Cell258 | Cell Study | Major mitochondrial production |
| L-carnitine259 | Theory | Fatigue |
| Niclosamide260 | Review | Broad |
| Larazotide261 | Proposed trial | Broad |
| Ecstasy262 | FDA Vote | Too risky |
| Sodium Pyruvate Nasal Spray263 | Proposed trial of drug useful in flu | Broad |
| Nutrients | ||
| Korean Herbs264 | Mice cell cultures | Decreased nitrous oxide levels in some cell types. |
| Melatonin265-268 | Hypothesis -3, Literature search | Reduce inflammation |
| Flavonoids Nobiletin & Eriodictyol269 | Human cells | Reduced pathogen-stimulated release of inflammatory mediators. |
| Herbs270 | Safety test | Broad improvements |
| Vitamin B12271 | Hypothesis | Improve vision |
What Should I Consider If I Don’t Want to or Can’t Go to a Long COVID Clinic?
- I believe I have Long COVID.
- I have the typical broad symptoms such as brain fog and fatigue.
- I have a fine GP who is not expert in Long COVID.
- I can’t get root cause diagnostic tests.
- Exercise – I would get a script to get physical therapy or use the Pace Me application
- Oxygenation – I would try to get to a hyperbaric chamber but if I couldn’t, I would do home oxygenation.
- Improve Mental Health – I would get Cognitive Behavioral therapy
- Spa & Hot Spring Bathing – Sure, why not! Fun and relaxing
- Mediterranean Diet – It has been shown to be good for one’s health, so why not?
- Fasting diet, no sugar – I would try it as it would be good for my general health
- Weight Loss - If I was overweight, definitely as it is good for one’s health
- Yoga – if I am healthy, I would pursue as part of my exercise program
- Contracting and Relaxing Pneumatic Cuffs on The Calves, Thighs, and Lower Hip – I would consider it even though it was a small trial
- SSRI Inhibitors
- Traditional Chinese Medicine
- SIM01 - Gut Microbiota-Derived Formula
- Transcutaneous Nicotine
- P2Y12 Inhibitor
- Prospekta
- Cyclobenzaprine Hydrochloride
- Vortioxetine
- Donepezil
- Bufei Huoxue
- Apportal
- L-carnitine - mitochondrial dysfunction though not reported in the papers discussed here.
- Q10 – though the trials were uneven, it has been shown to be good for mitochondrial dysfunction.
Conclusions
Acknowledgements
Appendix A. Summary of Long COVID Treatment Papers, Including Trial Sizes


Appendix B. Summary of Long COVID Treatments and Control Groups



References
- Ka Chun Chong, Yuchen Wei, Katherine Min Jia, Christopher Boyer, Guozhang Lin, Huwen Wang et al, SARS-CoV-2 rebound and post-acute mortality and hospitalization among patients admitted with COVID-19: Cohort study (2025). Available online: https://www.nature.com/articles/s41467-025-61737-7.
- Washington University School of Medicine in St. Louis, National Academies of Sciences, Engineering, and Medicine. 2024. Long-Term Health Effects of COVID-19: Disability and Function Following SARS-CoV-2 Infection Washington, DC: The National Academies Press. [CrossRef]
- Sudre CH, Murray B, Varsavsky T; et al. (2021), Attributes and predictors of Long COVID. Nature Medicine, 27(4), 626–631. [CrossRef]
- Davis HE, Assaf GS, McCorkell L; et al. (2021). Characterizing Long COVID in an international cohort: 7 months of symptoms and their impact. EClinicalMedicine, 38, 101019. [CrossRef]
- Nasserie T, Hittle M, Goodman SN. (2021). Assessment of the Frequency and Variety of Persistent Symptoms Among Patients With COVID-19: A Systematic Review. JAMA Network Open, 4(5), e2111417. [CrossRef]
- CDC, Long COVID Signs and Symptoms, CDC (2025). Available online: https://www.cdc.gov/long-covid/signs-symptoms/index.html.
- Taquet M, Geddes JR, Husain M; et al. (2021). 6-month neurological and psychiatric outcomes in 236,379 survivors of COVID-19: A retrospective cohort study. The Lancet Psychiatry, 8(5), 416–427. [CrossRef]
- Lambert N, Survivor Corps. (2021). COVID-19 “Long Hauler” Symptoms Survey Report. Preprint. [CrossRef]
- Paolo Boscolo-Rizzo, Giacomo Spinato, Rebecca De Colle, Antonino Maniaci, Luigi Angelo Vaira, Enzo Emanuelli et al (2025) Five-Year Longitudinal Assessment of Self-reported COVID-19–Related Chemosensory Dysfunction, clinical Infectious Diseases. Available online: https://academic.oup.com/cid/advance-article/doi/10.1093/cid/ciaf331/8210703.
- Andrew G. Ewing, Spela Salamon, Etheresia Pretorius, David Joffe, Greta Fox, Stephane Bilodeau et al, Review of organ damage from COVID and Long COVID: A disease with a spectrum of pathology, Medical Review. Available online: https://www.degruyterbrill.com/document/doi/10.1515/mr-2024-0030/html.
- CDC National Center for Health Statistics, Long COVID Pulse Study, (2024). Available online: https://www.cdc.gov/nchs/covid19/pulse/long-covid.htm.
- Groff D, Sun A, Ssentongo AE; et al. (2021) Short-term and Long-term Rates of Post Acute Sequelae of SARS-CoV-2 Infection: A Systematic Review. JAMA Network Open. Volume 4, Issue 10: e2128568. Available online: https://jamanetwork.com/journals/jamanetworkopen/fullarticle/2784918.
- Winter COVID Analysis Team, (2024) Self-reported coronavirus (COVID-19) infections and associated symptoms, England and Scotland: November 2023 to March 2024, Office for National Statistics. Available online: https://www.ons.gov.uk/peoplepopulationandcommunity/healthandsocialcare/conditionsanddiseases/articles/selfreportedcoronaviruscovid19infectionsandassociatedsymptomsenglandandscotland/november2023tomarch2024.
- Yan Xie, Ph.D., Taeyoung Choi, M.S., & Ziyad Al-Aly, M.D (2024) Postacute Sequelae of SARS-CoV-2 Infection in the Pre-Delta, Delta, and Omicron Era, New England Journal of Medicine. Available online: https://www.nejm.org/doi/full/10.1056/NEJMoa2403211.
- Sara Carazo, Manale Ouakki, Nektaria Nicolakakis, Emilia Liana Falcone, Danuta M Skowronski, Marie-José Durand, Marie-France Coutu, Simon Décary et. A. Long COVID risk and severity after COVID-19 infections and reinfections in Quebec healthcare workers, medRxiv, May 2025. [CrossRef]
- Matthew L Bosworth, Boran Shenhuy, A Sarah Walker, Vahé Nafilyan, Nisreen A Alwan, et al, Risk of New-Onset Long COVID Following Reinfection With Severe Acute Respiratory Syndrome Coronavirus 2: A Community-Based Cohort Study, Open Forum Infectious Diseases, October 2023. [CrossRef]
- Alyson Haslam & Vinay Prasad (2024) Long COVID clinics and services offered by top US hospitals: An empirical analysis of clinical options as of May 2023, BMC Health Service Research. Available online: https://bmchealthservres.biomedcentral.com/articles/10.1186/s12913-024-11071-3.
- David P Bui, Elizabeth Bast, Hanh Trinh, Alexandra Fox, Theodore S Z Berkowitz, Ana Palacio et. al. Use of Long COVID Clinics in the Veterans Health Administration: Implications for the path forward. Health Affairs Scholar, Volume 5, Issue 3. [CrossRef]
- World Health Organization, Clinical Management of COVID-19: Living guilders. Available online: https://iris.who.int/bitstream/handle/10665/381920/B09467-eng.pdf?sequence=1.
- Raffaele Sarnataro, Cecilia D. Velasco, Nicholas Monaco, Anissa Kempf & Gero Miesenböck (2025) Mitochondrial origins of the pressure to sleep, Nature. Available online: https://www.nature.com/articles/s41586-025-09261-y.
- (2025) T cells require mitochondria to proliferate, function and generate memory, Nature. Available online: https://www.nature.com/articles/s41590-025-02226-3.
- Yao Zong, Hao Li, Peng Liao, Long Chen, Yao Pan, Yongqiang Zheng (2024), Mitochondrial dysfunction: Mechanisms and advances in therapy, Nature. Available online: https://www.nature.com/articles/s41392-024-01839-8.
- Wagner, K., et al. Exercise intensity and training alter the innate immune cell type and chromosomal origins of circulating cell free DNA in humans. Proceedings of the National Academy of Sciences, 122(3). (2025). [CrossRef]
- Corna, S., Arcolin, I., Giardini, M., Bellotti, L., Godi, M., & Corna, M. Effects of adding an online exercise program on physical function in individuals hospitalized by COVID 19: A randomized controlled trial. International Journal of Environmental Research and Public Health, 19(24), 16619. (2022, December 10). Available online: https://www.mdpi.com/1660-4601/19/24/16619.
- Kim, K.-H., & Kim, D.-H. Effects of Maitland thoracic joint mobilization and lumbar stabilization exercise on diaphragm thickness and respiratory function in patients with a history of COVID 19. International Journal of Environmental Research and Public Health, 19(24), 17044. (2022, December 19). Available online: https://pubmed.ncbi.nlm.nih.gov/36554923/.
- Kupferschmitt, A., Langheim, E., Tüter, H., Etzrodt, F., Loew, T. H., & Köllner, V. First results from post COVID inpatient rehabilitation: An observational study comparing post COVID, psychosomatic, and psychocardiological patients. Frontiers in Rehabilitation Science. (2023, January 23). Available online: https://www.frontiersin.org/articles/10.3389/fresc.2022.1093871/full.
- Feng, B., Li, H., Wang, X., Zhao, Y., Guo, S., & Zhang, J. et al. Post-hospitalization rehabilitation alleviates long-term immune repertoire alteration in COVID-19 convalescent patients. Cell Proliferation, 56(3), e13450. (2023, March). Available online: https://pubmed.ncbi.nlm.nih.gov/36938980/.
- Zhou, L., Jamshidi, N., Huang, Q., Li, Y., Chen, X.; et al. Correction of immune repertoire alteration by post hospital rehabilitation in convalescent COVID 19 patients. Cell Proliferation, 57(2), e13345. [CrossRef]
- Romanet, C., Wormser, J., Fels, A., Lucas, P., Prudat, C., Sacco, E.; et al. Effectiveness of exercise training rehabilitation on dyspnoea in individuals with long COVID following COVID 19 related acute respiratory distress syndrome: A multicentre randomized controlled trial. Annals of Physical and Rehabilitation Medicine, 66(5), 101765. (2023, June). Available online: https://pubmed.ncbi.nlm.nih.gov/37271020/.
- Al Zaabi, E., Balushi, W., Al-Falahi, E., Al Balushi, Y., & Singh, R. Effects of a 6 week telerehabilitation program on functional capacity and pulmonary function in individuals with Long COVID. medRxiv (2023). Available online: https://www.medrxiv.org/content/10.1101/2023.09.27.23296254v1.
- Dubey, A., Desvaux, G., Sahuquillo-Arce, I., Bonnet, G., Fartoukh, M.; et al. Endurance training versus standard physiotherapy for breathlessness after COVID 19 acute respiratory distress syndrome: Assessor blinded randomized controlled trial. Annals of Physical and Rehabilitation Medicine, 66(6), 101280. (2023). Available online: https://pmc.ncbi.nlm.nih.gov/articles/PMC10237688/.
- Gravina, F., Zampogna, E., Hu, C., Camicioli, F., Turano, I.; et al. Continuous versus interval aerobic endurance training improves physical capacity and wellbeing in post COVID syndrome patients. Journal of Clinical Medicine, 12(10), 3478. (2023). Available online: https://www.mdpi.com/2077-0383/12/21/6739.
- François-Michel Boisvert, André M Cantin, Hugues Allard-Chamard Mohammad, Mobarak H Chowdhury, Isabelle J Dionne Marie-Noelle Fontaine, Marc-André Limoges, et al Impact of a tailored exercise regimen on physical capacity and plasma proteome profile in post-COVID-19 condition. (August 2024). Available online: https://pmc.ncbi.nlm.nih.gov/articles/PMC11371593/.
- REGAIN collaborators, S. Rehabilitation Exercise and psychological support After covid-19 Infection (REGAIN): Randomized trial of home based rehabilitation. BMJ, 382, 070742 (2024). Available online: https://bmjopen.bmj.com/content/15/1/e085950.
- Xue Wang, Haomiao Ma, Xiaoya He, Xiaomeng Gu, Yi Ren, Huqin Yang & Zhaohui Tong Efficacy of early pulmonary rehabilitation in severe and critically ill COVID-19 patients: A retrospective cohort study (April 2025). Available online: https://bmcpulmmed.biomedcentral.com/articles/10.1186/s12890-025-03678-x.
- Serena Cerfoglio, Federica Verme, Paolo Capodaglio, Paolo Rossi, Viktoria Cvetkova, Gabriele Boldini et al Home based tele rehabilitation enhances respiratory and motor function post COVID: 3 week program evaluation. Preprints.org. (2024). Available online: https://www.preprints.org/manuscript/202406.0424/v1.
- Giulia Di Martino, Marco Centorbi, Andrea Buonsenso, Giovanni Fiorilli, Carlo Della Valle, Giuseppe Calcagno et al Post Traumatic Stress Disorder 4 Years after the COVID 19 Pandemic in Children and Adolescents – Is an Active Lifestyle Protective? Int J Environ Res Public Health. 21(8):975. (2024). Available online: https://pubmed.ncbi.nlm.nih.gov/39200586/.
- Binabaji B; et al. Effects of physical training on coagulation parameters, interleukin-6 and angiotensin-converting enzyme 2 in COVID 19 survivors. Nat Sci Rep. 8:67522. (2024). Available online: https://www.nature.com/articles/s41598-024-67522-8.
- Rasmussen IE, Løk M, Durrer CG; et al. Impact of a 12 week high intensity interval training intervention on cardiac structure and function after COVID 19 at 12 month follow up. Exp Physiol. 109(9):1584–1596. (2024). Available online: https://physoc.onlinelibrary.wiley.com/doi/10.1113/EP092099.
- Zoe Sirotiak, Duck-Chul Lee, Angelique G Brellenthin Associations between physical activity, long COVID symptom intensity, and perceived health among individuals with long COVID. Front Psychol. 15:1498900. (2024). Available online: https://pubmed.ncbi.nlm.nih.gov/39507087/.
- Kieffer S, Krüger A L, Haiduk B, Grau M. Individualized and Controlled Exercise Training Improves Fatigue and Exercise Capacity in Patients with Long COVID. Biomedicines. 12(11):2445 (2024). Available online: https://www.mdpi.com/2227-9059/12/11/2445.
- León Herrera S, Oliván Blázquez B, Sánchez Recio R, Méndez López F, Magallón Botaya R, Sánchez Arizcuren R. Effectiveness of an online multimodal rehabilitation program in long COVID patients: A randomized clinical trial. Arch Public Health. 82(1):159. (2024). Available online: https://archpublichealth.biomedcentral.com/articles/10.1186/s13690-024-01354-w.
- Jiménez García et al. “Increased physical performance and reduced fatigue after personalised physiotherapy and nutritional counselling in Long COVID.” Research Square. Preprint. (Dec 2024). Available online: https://www.researchsquare.com/article/rs-4914245/v1.
- Barz A, Berger J, Speicher M; et al. “Effects of a symptom titrated exercise program on fatigue and quality of life in people with post COVID condition – a randomized controlled trial.” Sci Rep. 2024;14(1):82584. (2024). Available online: https://www.nature.com/articles/s41598-024-82584-4.
- Tania Janaudis-Ferreira, Marla K. Beauchamp, Amanda Rizk, Catherine M. Tansey, Maria Sedeno, Laura Barreto et al “Virtual rehabilitation for individuals with Long COVID: A randomized controlled trial.” full (2024). Available online: https://www.medrxiv.org/content/10.1101/2024.11.24.24317856v1.
- Belinda Godfrey, Jenna Shardha, Sharon Witton, Rochelle Bodey, Fachel Tarrant, Darren C. Greenwood et al. “A Personalised Pacing and Active Rest Rehabilitation Programme using an 8 week WHO Borg CR 10 protocol in long COVID.” J Clin Med. 2024;13(1):97. (2024). Available online: https://www.mdpi.com/2077-0383/14/1/97.
- PoCoRe Study Group (Kerling A; et al.). “Neuropsychological outcome of indoor rehabilitation in post COVID condition.” Front Neurol. DOI: (2025). Available online: https://www.frontiersin.org/journals/neurology/articles/10.3389/fneur.2024.1486751/full.
- Bileviciute Ljungar I, Apelman A, Braconier L; et al. “A First Randomized Eight Week Multidisciplinary Telerehabilitation Study for the Post COVID 19 Condition: Improvements in Health and Pain Related Parameters.” J Clin Med. 2025;14(2):486. (2025). Available online: https://www.mdpi.com/2077-0383/14/2/486.
- Colin Berry, Gemma McKinley, Hannah Bayes, David Anderson, Chim Lang, Adam Gill, Andrew Morrow, et al. “Resistance Exercise Therapy for Long COVID: A Randomized, Controlled Trial.” Research Square. (March 2025). Available online: https://www.researchgate.net/publication/390348242_Resistance_Exercise_Therapy_for_Long_COVID_a_Randomized_Controlled_Trial.
- Stijn Roggeman, Berenice Jimenez Garcia, Lynn Leemans, Elisabeth De Waele, et al. Faster functional performance recovery after individualized nutrition therapy combined with a patient-tailored physical rehabilitation program versus standard physiotherapy in patients with long COVID: A pilot study for a randomized, controlled single-center tria (December 2022). Available online: https://www.researchgate.net/publication/370149175_Faster_functional_performance_recovery_after_individualized_nutrition_therapy_combined_with_a_patient-tailored_physical_rehabilitation_program_versus_standard_physiotherapy_in_patients_with_long_COVID.
- Nekabari Yakpogoro, Alisa Huskey, Kat Kennedy, Michael Grandner, et al. 1409 Exercise Modality and Sleep-Related Interference of Daily Functioning in COVID-19: Comparative Effects of Cardio and Strength Training Sleep, 48(Suppl 1): A606. (May 2025). Available online: https://academic.oup.com/sleep/article/48/Supplement_1/A606/8135175.
- Saniye A. Arslan & Alper K. Gürbüz. Investigation of respiratory muscle strength, exercise capacity and sleep quality level in post-COVID-19 Individuals: Case-control study Advances in Rehabilitation, 39(1):46–57. (2025). Available online: https://www.advrehab.org/Investigation-of-respiratory-muscle-strength-exercise-capacity-and-sleep-quality-level-in-post-COVID-19-Individuals-case-control-study,125,55650,0,1.html.
- Allison Maher, Michelle Bennett, Hsin-Chia Carol Huang, Philip Gaughwin, Mary Johnson, Madeleine Brady et al Personalized Exercise Prescription in Long COVID: A Practical Toolbox for a Multidisciplinary Approach URL: (August 2024). Available online: https://www.ncbi.nlm.nih.gov/pmc/articles/PMC11330745/.
- FDS Clinical Trial Nutrition and LOComotoric Rehabilitation in Long COVID-19). URL: (Registered Feb 24, 2022). Available online: https://clinicaltrials.gov/study/NCT05254301.
- Grzegorz Onik, Katarzyna Knapik, Dariusz Górka & Karolina Sieroń Health Resort Treatment Mitigates Neuropsychiatric Symptoms in Long COVID Patients: A Retrospective Study. Healthcare, 13(2), 52. (2025). Available online: https://www.mdpi.com/2227-9032/13/2/196.
- Carpallo-Porcar, B., del Corral Beamonte, E., Jiménez-Sánchez, C., Córdova-Alegre, P., Brandín-de la Cruz, N., & Calvo, S. Multimodal Telerehabilitation in Post COVID-19 Condition: A Series of 12 Cases. Preprints.org. (2025). Available online: https://www.preprints.org/manuscript/202503.0089/v1.
- León-Herrera, S., Samper-Pardo, M., Oliván-Blázquez, B., Magallón-Botaya, R., Casado-Vicente, V., Sánchez-Recio, R., & Sánchez-Arizcuren, R. Effectiveness of ReCOVery APP to Improve the Quality of Life of Long COVID Patients: A 6-Month Follow-Up Randomized Clinical Trial. International Journal of Clinical Practice, 7692776 (2025). [CrossRef]
- Sanal-Hayes, N. E. M., Hayes, L. D., Mair, J. L., Dello Iacono, A., Ingram, J., Ormerod, J.; et al. A digital platform with activity tracking for energy management support in long COVID: A randomised controlled trial. SSRN. (2025, February). Available online: https://papers.ssrn.com/sol3/papers.cfm?abstract_id=5122498.
- Maria Chiara Maccarone, Paola Contessa, Edoardo Passarotto, Gianluca Regazzo, & Stefano Masiero. Balance rehabilitation and Long Covid syndrome: Effectiveness of thermal water treatment vs. home-based program. Frontiers in Rehabilitation Sciences, 6, Article 1588940. (2025). Available online: https://www.frontiersin.org/journals/rehabilitation-sciences/articles/10.3389/fresc.2025.1588940.
- McMullan, C., Haroon, S., Turner, G. M., Aiyegbusi, O. L., Hughes, S. E., Flanagan, S.; et al. Mixed methods study of views and experience of non hospitalised individuals with long COVID of using pacing interventions. Scientific Reports, 15(1), 14467. (2025, April 25). Available online: https://www.nature.com/articles/s41598-025-96319-6.
- Christine Gagnon, Thomas Vincent, Louis Bherer, Mathieu Gayda, Simon-Olivier Cloutier, Anna Nozza et al. Effects of supplemental oxygen on cognitive function and oxygen saturation in long COVID: An exploratory crossover study. PLoS ONE, 19(11), e0295481. (2024). Available online: https://journals.plos.org/plosone/article?id=10.1371/journal.pone.0312735.
- Doehner, W., Fischer, A., Alimi, B., Muhar, J., Springer, J., Altmann, C., … Schueller, P. O. Intermittent hypoxic–hyperoxic training during inpatient rehabilitation improves exercise capacity and functional outcome in patients with long COVID: Results of a controlled clinical pilot trial. Journal of Cachexia, Sarcopenia and Muscle. (2024, November 19). Available online: https://onlinelibrary.wiley.com/doi/full/10.1002/jcsm.13628.
- Kapel, J. S., Stokholm, R., Elmengaard, B., Nochi, Z., Olsen, R. J., & Foldager, C. B. Individualized algorithm-based intermittent hypoxia improves quality of life in patients suffering from long-term sequelae after COVID-19 infection. Journal of Clinical Medicine, 14(5), 1590. MDPI+1ResearchGate+1 (2025). [CrossRef]
- Zilberman Itskovich, S., Efrati, S., et al. Hyperbaric oxygen therapy improves neurocognitive functions and symptoms of post COVID 19 condition: Randomized controlled trial. Scientific Reports. Advance online publication. PMC+4Nature+4Nature+4 (2022, July 12). [CrossRef]
- Leitman, M., Fuchs, S., Tyomkin, V., Hadanny, A., Zilberman Itskovich, S., & Efrati, S. The effect of hyperbaric oxygen therapy on myocardial function in post COVID 19 syndrome patients: A randomized controlled trial. Scientific Reports, 13, 9473. (2023). [CrossRef]
- Efrati, S., et al. Long-term outcomes of hyperbaric oxygen therapy in post-COVID condition: Longitudinal follow-up of a randomized controlled trial. Scientific Reports. Advance online publication. (2024). [CrossRef]
- Philip, K. E. J., Owles, H., McVey, S., Pagnuco, T., Bruce, K., Brunjes, H., et al. An online breathing and wellbeing programme (ENO Breathe) for people with persistent symptoms following COVID-19: A parallel-group, single blind, randomized controlled trial. The Lancet Respiratory Medicine, 10(9), 851–862. URL: (2022). Available online: https://www.thelancet.com/journals/lanres/article/PIIS2213-2600(22)00125-4/fulltext.
- del Corral, T., Fabero-Garrido, R., Plaza Manzano, G., Fernández de las Peñas, C., Navarro Santana, M. J., & López de Uralde Villanueva, I. Minimal clinically important differences in inspiratory muscle function variables after a respiratory muscle training programme in individuals with long term post COVID 19 symptoms. Journal of Clinical Medicine, 12(7), Article 2720. (2023). Available online: https://www.mdpi.com/2077-0383/12/7/2720.
- Lee, Y. J. Thoracic mobilization and respiratory muscle endurance training improve diaphragm thickness and respiratory function in patients with a history of COVID-19. Medicina, 59(5), 906. (2023). Available online: https://pubmed.ncbi.nlm.nih.gov/37241138/.
- Rodrigo Muñoz-Cofré, María Fernanda del Valle, Gabriel Nasri Marzuca-Nassr, Jorge Valenzuela, Mariano del Sol, Constanza Díaz Canales et al A pulmonary rehabilitation program is an effective strategy to improve forced vital capacity, muscle strength and functional exercise capacity similarly in adults and older people with post severe COVID 19 who required mechanical ventilation. Research Square (preprint). (2024). Available online: https://www.researchgate.net/publication/379570590_A_pulmonary_rehabilitation_program_is_an_effective_strategy_to_improve_forced_vital_capacity_muscle_strength_and_functional_exercise_capacity_similarly_in_adults_and_older_people_with_post-severe_COVI.
- Tamer I. Abo Elyazed, Laila A. Alsharawy, Shaimaa E. Salem, Nesma A. Helmy & Ahmed Abd El Moneim Abd El Hakim. Effect of home based pulmonary rehabilitation on exercise capacity in post COVID 19 patients: A randomized controlled trial. Journal of NeuroEngineering and Rehabilitation, 21(1), 40. (2024). Available online: https://jneuroengrehab.biomedcentral.com/articles/10.1186/s12984-024-01340-x.
- Marcella Mauro, Elisa Zulian, Nicoletta Bestiaco, Maurizio Polano & Francesca Larese Filon. Slow paced breathing intervention in healthcare workers affected by Long COVID: Effects on systemic and dysfunctional breathing symptoms, manual dexterity and HRV. Biomedicines, 12(10), 2254. https://www.mdpi.com/2227-9059/12/10/2254 (2024).
- Parisi, M. C., Di Corrado, D., Mingrino, O., Crescimanno, C., Longo, F., Pegreffi, F., & Francavilla, V. C. SpiroTiger and KS Brief Stimulator: Specific devices for breathing and well being in post COVID 19 patients. Journal of Functional Morphology and Kinesiology, 9(4), 203. https://www.mdpi.com/2411-5142/9/4/203 (2024).
- Muñoz Cofré, R., del Valle, M. F., Marzuca Nassr, G. N., Valenzuela, J., del Sol, M., Canales, C. D., et al. A pulmonary rehabilitation program is an effective strategy to improve forced vital capacity, muscle strength, and functional exercise capacity similarly in adults and older people with post severe COVID 19 who required mechanical ventilation. BMC Geriatrics, 24(1), 313. https://bmcgeriatr.biomedcentral.com/articles/10.1186/s12877-024-04910-9 (2024).
- Páez Mora, C. D., Zona, D. C., Angarita Sierra, T., Rojas Paredes, M. E., & Cano Trejos, D. Changes in lung function and dyspnea perception in Colombian COVID 19 patients after a 12 week pulmonary rehabilitation program. PLoS ONE, 19(11), e0300826. https://journals.plos.org/plosone/article?id=10.1371/journal.pone.0300826 (2024).
- Brandão Rangel, M. A. R., Brill, B., Furtado, G. E., Freitas Rolim, C. C. L., Silva Reis, A., Souza Palmeira, V. H.; et al. Exercise driven comprehensive recovery: Pulmonary rehabilitation’s impact on lung function, mechanics, and immune response in post COVID 19 patients. Infectious Diseases Reports, 17(1), 1–16. https://www.mdpi.com/2036-7449/17/1/1(2025).
- Rohini P, Saravanan A, Maheshkumar K, ThamaraiSelvi K, Kalyani Praba P, Prabhu V. Effects of Bhramari and Sheetali pranayama on cardio-respiratory function in post COVID 19 patients: A randomized controlled study. Annals of Neurosciences, 32(1), e220432. https://pubmed.ncbi.nlm.nih.gov/39810825/ (2025).
- Casciaro, M., Di Micco, P., Tonacci, A., Vatrano, M., Russo, V., & Siniscalchi, C. Non invasive ventilation improves lung function and exercise capacity in adults after COVID 19 infection. Clinical Practice, 15(4), Article 72. https://www.mdpi.com/2039-7283/15/4/72 (2025).
- Promsrisuk, T., Srithawong, A., Kongsui, R., Sriraksa, N., Thongrong, S., Kloypan, C., Muangritdech, N., Khunkitti, K., Thanawat, T., & Chachvarat, P. Therapeutic effects of slow deep breathing on cardiopulmonary function, physical performance, biochemical parameters, and stress in older adult patients with Long COVID in Phayao, Thailand. Annals of Geriatric Medicine and Research, 29(2), 240–253. https://www.e-agmr.org/journal/view.php?doi=10.4235/agmr.24.0175(2025, March 6).
- Kuut, T. A., Müller, F., Csorba, I., Braamse, A. M. J., Nieuwkerk, P., Rovers, C. P., & Knoop, H. Efficacy of cognitive behavioral therapy targeting severe fatigue following COVID 19: Results of a randomized controlled trial. Clinical Infectious Diseases, 77(5), 687–695. https://pubmed.ncbi.nlm.nih.gov/37155736/ (2023).
- Nerli, T.F., Selvakumar, J., Cvejic, E., Heier, I., Pedersen, M., Johnsen, T.L., & Wyller, V.B. Brief outpatient rehabilitation program for post–COVID 19 condition: A randomized clinical trial. JAMA Network Open, 7(12), e2450744. https://pubmed.ncbi.nlm.nih.gov/39699896/ (2024).
- Aghaei, A., Qiao, S., Tam, C.C., & Li, X. Role of self-esteem and personal mastery on the association between social support and resilience among COVID 19 long haulers. Heliyon, 10(10), e31328. https://pubmed.ncbi.nlm.nih.gov/38818142/ (2024).
- Ovejero, D., Ribes, A., Villar García, J., Trenchs Rodriguez, M., López, D.; et al. Balneotherapy for the treatment of post COVID syndrome: A randomized controlled trial. BMC Complementary Medicine and Therapies, 25, Article 37. https://pubmed.ncbi.nlm.nih.gov/39905419/ (2025).
- Ferrara, E., Scaramuzzino, M., Murmura, G., D’Addazio, G., & Sinjari, B. Emerging evidence on balneotherapy and thermal interventions in post COVID 19 syndrome: A systematic review. Healthcare, 13(2), 96. https://www.mdpi.com/2227-9032/13/2/96 (2025).
- Garbsch, R., Kotewitsch, M., Schäfer, H., Teschler, M., Mooren, F. C., & Schmitz, B. Use of speleotherapy in patients with post-COVID-19 syndrome: A prospective interrupted time-series analysis. Frontiers in Medicine, 12, 1566235. https://www.frontiersin.org/journals/medicine/articles/10.3389/fmed.2025.1566235 (2025).
- Fornazieri, M. A., Cunha, B. M., Nicácio, S. P., Anzolin, L. K., da Silva, J. L. B., Fernandes Neto, A., Brandão Neto, D., Voegels, R. L., & Pinna, F. D. R. Effect of drug therapies on self reported chemosensory outcomes after COVID 19. World Journal of Otorhinolaryngology – Head & Neck Surgery, 10(2), 88–96. https://onlinelibrary.wiley.com/doi/full/10.1002/wjo2.183 (2024, May).
- Pretorius, E., Venter, C., Laubscher, G., Kell, D. B., & et al. Treatment of Long COVID symptoms with triple anticoagulant therapy: Dual antiplatelet therapy (clopidogrel + aspirin) and apixaban resolved persistent symptoms by reducing microclot burden and platelet hyperactivation. Research Square (Preprint). https://www.researchgate.net/publication/369427800_Treatment_of_Long_COVID_symptoms_with_triple_anticoagulant_therapy (2023, March).
- Pretorius, E., Venter, C., Laubscher, G., Kell, D. B., & et al. Prevalence of symptoms, comorbidities, fibrin amyloid microclots, and platelet pathology in Long COVID/PASC patients: Evidence from 845 registry participants and 70 plasma samples. Cardiovascular Diabetology, 21, Article 123. https://cardiab.biomedcentral.com/articles/10.1186/s12933-022-01579-5 (2021, December).
- Idelette Nutma, Carla Rus, J. J. Sandra Kooij, Bert de Vries & Ingmar E.J. de Vries. Treatment and outcomes of 95 post-Covid patients with an antidepressant and neurobiological explanations. https://www.researchgate.net/publication/372334231_Treatment_and_outcomes_of_95_post-Covid_patients_with_an_antidepressant_and_neurobiological_explanations (2023).
- Treatment of 95 post-Covid patients with SSRIs: Exploratory questionnaire study of post-COVID syndrome patients. Nature. Available at: https://pubmed.ncbi.nlm.nih.gov/37919310/ (2023, November).
- Bradley J, Tang F, Tosi DM, Resendes N, Hammel IS. The Effects of SSRIs and Antipsychotics on Long COVID Development in a Large Veteran Population. SSRN. https://papers.ssrn.com/sol3/Delivery.cfm/fa6f16d8-9827-405b-ad12-1041d0a79608-MECA.pdf (2024, July).
- Davis, L. L., Behl, S., Lee, D., Zeng, H., Skubiak, T., Weaver, S. et al. Brexpiprazole and sertraline for the treatment of posttraumatic stress disorder: A randomized clinical trial. JAMA, 332(21), 2144–2154. https://jamanetwork.com/journals/jamapsychiatry/fullarticle/2827796 (2024).
- Gueck, T., Jerg-Bretzke, L., Wilke, J., Gantner, J., Walter, M., & Krisam, J. Course and potential predictors of post-COVID syndrome: A retrospective study of SARS-CoV-2-infected individuals. Frontiers in Immunology, 14, 1226622. (2023). [CrossRef]
- Fiedler, L., Motloch, L. J., Dieplinger, A. M., Jirak, P., Davtyan, P., Gareeva, D., Badykova, E., Badykov, M., Lakman, I., Agapitov, A., Sadikova, L., Pavlov, V., Föttinger, F., Mirna, M., Kopp, K., Hoppe, U. C., Pistulli, R., Cai, B., Yang, B., & Zagidullin, N. Prophylactic rivaroxaban in the early post-discharge period reduces hospitalization for atrial fibrillation and incidence of sudden cardiac death during 12-month follow-up in hospitalized COVID 19 survivors. Frontiers in Pharmacology, 14, Article 1093396. https://www.frontiersin.org/articles/10.3389/fphar.2023.1093396/full (2023, May 30).
- Wahid, L., Hade, E. M., Cushman, M., Gong, M. N., Renard, V., Ko, E. R.; et al. P2Y12 inhibitors and quality of life outcomes in critically ill patients hospitalized for COVID 19: A pre specified secondary analysis of the ACTIV 4a randomized clinical trial. Circulation, 148(Suppl_1), Abstract 14153. https://scholars.duke.edu/individual/pub1614093(2023, November 7).
- Сlinical Trial of Efficacy and Safety of Prospekta in the Treatment of Post-COVID-19 Asthenia. https://pubmed.ncbi.nlm.nih.gov/39599626/ (2023).
- Ohmagari, N., Yotsuyanagi, H., Doi, Y., Yamato, M., Imamura, T., Sakaguchi, H., Yamanaka, H., Imaoka, R., Fukushi, A., Ichihashi, G., Sanaki, T., Tsuge, Y., Uehara, T., & Mukae, H. Efficacy and safety of ensitrelvir for asymptomatic or mild COVID 19: An exploratory phase 2b/3 multicenter randomized clinical trial. Influenza and Other Respiratory Viruses, 18(6), e13338. https://onlinelibrary.wiley.com/doi/10.1111/irv.1333 (2024, June).
- Li, X., Wu, L., Sun, S., Dong, H., & Luo, J. Association between electrolyte supplementation and cardiac injury in Long COVID 19: A retrospective cohort study. Frontiers in Cardiovascular Medicine. https://www.s4me.info/threads/association-between-electrolyte-supplementation-and-cardiac-injury-in-long-covid-19.43008/ (2025, March 8).
- Li, X., Wu, L., Sun, S., Dong, H., & Luo, J. Association between electrolyte supplementation and cardiac injury in Long COVID 19: A retrospective cohort study. Frontiers in Cardiovascular Medicine. https://www.s4me.info/threads/association-between-electrolyte-supplementation-and-cardiac-injury-in-long-covid-19.43008/ (2025, March 8).
- Fornazieri, M. A., Cunha, B. M., Nicácio, S. P., Anzolin, L. K., da Silva, J. L. B., Fernandes Neto, A., Brandão Neto, D., Voegels, R. L., & Pinna, F. D. R. Effect of drug therapies on self reported chemosensory outcomes after COVID 19. World Journal of Otorhinolaryngology – Head & Neck Surgery, 10(2), 88–96. https://pubmed.ncbi.nlm.nih.gov/38855284/(2024).
- Louis A Kazal Jr, Karen L Huyck & Brendan Kelly 3. Classical Chinese Medicine (CCM) for Long COVID: Case series and treatment rationale. Encinitas. https://pubmed.ncbi.nlm.nih.gov/40171061/ (2025).
- Yiting Wang, Xiao Li, Huaizheng Hui, Dianxing Yang. Efficacy and safety of traditional Chinese medicine for post-COVID-19 syndrome: A systematic review and meta-analysis. Journal of Translational Medicine. https://pmc.ncbi.nlm.nih.gov/articles/PMC12269130/ (2025).
- Tonix Pharmaceuticals. Tonix Pharmaceuticals announces highly statistically significant and clinically meaningful topline results in second positive Phase 3 clinical trial of TNX-102 SL for fibromyalgia. Press release. https://ir.tonixpharma.com/news-events/press-releases/detail/1443/tonix-pharmaceuticals-announces-highly-statistically(2023, December 20).
- Lau, R. I., Su, Q., Lau, I. S. F., Ching, J. Y. L., Wong, M. C. S., & Lau, et al A synbiotic preparation (SIM01) for post acute COVID 19 syndrome in Hong Kong (RECOVERY): A randomised, double blind, placebo controlled trial. The Lancet Infectious Diseases, 24(3), 256–265 (2024) https://www.thelancet.com/journals/laninf/article/PIIS1473-3099(23)00685-0/fulltext.
- Leitzke, M. Is the post COVID 19 syndrome a severe impairment of acetylcholine orchestrated neuromodulation that responds to nicotine administration? Bioelectronic Medicine (2023) https://bioelecmed.biomedcentral.com/articles/10.1186/s42234-023-00104-7.
- Connor B Grady, Bornali Bhattacharjee, Julio Silva, Jillian Jaycox, Lik Wee Lee, Valter Silva Monteiro et al Impact of COVID-19 vaccination on symptoms and immune phenotypes in vaccine-naïve individuals with Long COVID; Nature https://www.nature.com/articles/s43856-025-00829-3 (2025).
- Crawford Currie, Tor Age Myklebust, Christian Bjerknes & Bomi FramroxeAssessing the Potential of an Enzymatically Liberated Salmon Oil to Support Immune Health Recovery from Acute SARS-CoV-2 Infection via Change in the Expression of Cytokine, Chemokine and Interferon-Related Genes, International Journal of Molecular Sciences, 25(13) https://www.mdpi.com/1422-0067/25/13/6917 (2024).
- Mørk, T. Å., Blomhoff, C., Fredriksen, B., Cuda, C., Kiecolt Glaser, D. A., Wilson, M. C.; et al. Assessing the potential of an enzymatically liberated salmon oil for immunomodulation in adults with mild to moderate COVID 19: A pilot randomized controlled trial. International Journal of Molecular Sciences, 25(13), 691. https://www.mdpi.com/1422-0067/25/13/6917 (2024, June 15).
- Nuria Suárez-Moreno, Leticia Gómez-Sánchez, Alicia Navarro-Caceres, Silvia Arroyo-Romero, Andrea Domínguez-Martín, Cristina Lugones-Sánchez et al Association of Mediterranean Diet with Cardiovascular Risk Factors and with Metabolic Syndrome in Subjects with Long COVID: BioICOPER Study Nutrients. https://pubmed.ncbi.nlm.nih.gov/40004984/ (2025).
- Ghosh, S., Chakraborty, S., Ghosh, S., Das, S., Das, R., & Bhattacharya, A. An open-label randomized controlled trial to evaluate the effectiveness of homeopathic treatment in the management of post-COVID syndrome. Complementary Therapies in Clinical Practice, 48, 101569. (2022). [CrossRef]
- Takács, M., Frass, M., Pohl Schickinger, A., Fibert, P., Lechleitner, P., Oberbaum, M., Leisser, I., Panhofer, P., Chandak, K., & Weiermayer, P. Use of homeopathy in patients suffering from Long COVID 19 (LONGCOVIHOM): A case series. OBM Integrative and Complementary Medicine, 9(3), Article 045. https://www.lidsen.com/journals/icm/icm-09-03-045(2024, August 5).
- Combet, E., Haag, L., Richardson, J., Haig, C. E., — et al. Remotely delivered weight management for people with long COVID and overweight: The randomized wait list controlled ReDIRECT trial. Nature Medicine, 31(1), 258–266. (2025, January 8). [CrossRef]
- Bhargav, H., Raghavan, V., Rao, N. P., Gulati, K., Binumon, K. V., Anu, K. N., Ravi, S., Jasti, N., Holla, B., Varambally, S., & Ramachandran, P. Validation and efficacy of a tele yoga intervention for improving psychological stress, mental health and sleep difficulties of stressed adults diagnosed with long COVID: A prospective, multi center, open label single arm study. Frontiers in Psychology, 15, 1436691. https://pubmed.ncbi.nlm.nih.gov/39569098/ (2024).
- Cheshire, A. & Cartwright, T. Perceptions, acceptability and experiences of yoga to support long COVID: A survey of people living with long COVID. BMC Complementary Medicine and Therapies, 25, 123. https://www.researchgate.net/publication/393046575_Perceptions_acceptability_and_experiences_of_yoga_to_support_long-COVID_A_survey_of_people_living_with_long-COVID (2025).
- Liang R., Tang L., Li L., Zhao N., Yu X., Li J.; et al. The effect of pressing needle therapy on depression, anxiety, and sleep for patients in convalescence from COVID 19. Frontiers in Neurology, 15, Article 1481557. https://www.frontiersin.org/journals/neurology/articles/10.3389/fneur.2024.1481557 (2024).
- Watanabe, S., Sakurai, T., Kanaya, T., Iwasaki, T., Oshima, H., Furukawa, T., Yoshikawa, T., & Nakahashi, S. Impact of frailty on the duration and type of speech-language-hearing therapy for patients with COVID 19. Cureus, 17(4), e81976. https://www.cureus.com/articles/353998-impact-of-frailty-on-the-duration-and-type-of-speech-language-hearing-therapy-for-patients-with-covid-19 (2025, April 9).
- Delgado Lima, A. H., Bouhaben, J., & Delgado Losada, M. L. Maximizing participation in olfactory training in a sample with post COVID 19 olfactory loss. Brain Sciences, 14(7), 730. https://www.ncbi.nlm.nih.gov/pmc/articles/PMC11274705/ (2024).
- Akbarpour, M. H., Zandi, M., Sedighi, L., & Ghanbari Ghalesar, M. Evaluating the effect of olfactory training on improving the sense of smell in patients with COVID 19 with olfactory disorders: A randomized clinical trial study. BMC Health and Quality of Life Outcomes, 21(1), 215. https://www.ncbi.nlm.nih.gov/pmc/articles/PMC9510568/ (2023).
- Pendolino, A. L., Scarpa, B., & Andrews, P. J. The effectiveness of functional septorhinoplasty in improving COVID 19-related olfactory dysfunction: A prospective controlled study. Facial Plastic Surgery, 41(1), 1–9. https://pubmed.ncbi.nlm.nih.gov/39929248/ (2025).
- Thiago L. I. Serrano, Marcelo A. Antonio, Lorena T. Giacomin; et al. Effect of olfactory training with essential versus odor free placebo oils in COVID 19 induced smell loss: A randomized controlled trial. The Laryngoscope, 135(5), 325–333. https://pubmed.ncbi.nlm.nih.gov/40371997 (2025).
- Paranhos, A. C. M., Dias, A. R. N., Koury, G. V. H., Domingues, M. M., dos Santos, L. P. M., da Silva, L. M., Oliveira, F. L. R. V., Lima, W. T. A., Quaresma, J., Magno Falcão, L. F., & Souza, G. S. Olfactory Training in Long COVID: A Randomized Clinical Trial. SSRN. https://papers.ssrn.com/sol3/papers.cfm?abstract_id=5186634 (2025, March 26).
- Mogensen, D. G., Aanaes, K., Andersen, I. B., & Jarden, M. Effect of olfactory training in COVID 19-related olfactory dysfunction: A randomized placebo-controlled trial. The Laryngoscope, 135(5), 325–333. https://pubmed.ncbi.nlm.nih.gov/40371997/ (2025).
- Blagova, O. V., Lutokhina, Y., Savina, P., & Kogan, E. Corticosteroids are effective in the treatment of virus positive post COVID myoendocarditis with high autoimmune activity. Clinical Cardiology, 46(1), 52–59. (2023, January). [CrossRef]
- Milne, A., Maskell, S., Sharp, C., & the COVID Symptom Study Consortium. Impact of dexamethasone on persistent symptoms of COVID 19: An observational study. medRxiv. (2021, November 17). [CrossRef]
- Li, Y.-Q., Wu, M., Wang, Y.-J., Zhang, Y.-X., Lu, J., Zhao, Y.-N., Ji, B.-F., Chen, Z.-Q., Tang, R.-N., & Liu, B.-C. The analysis of low dose glucocorticoid maintenance therapy in patients with primary nephrotic syndrome suffering from COVID 19. Frontiers in Molecular Biosciences, 10, 1326111. https://www.frontiersin.org/journals/molecular-biosciences/articles/10.3389/fmolb.2023.1326111/full (2024, January 11).
- Xie, P.-P., Zhang, Y., Niu, W.-K., Tu, B., Yang, N., Fang, Y., Shi, Y.-H., Wang, F.-S., & Yuan, X. Clinical characteristics and effects of inhaled corticosteroid in patients with post COVID 19 chronic cough during the Omicron variant outbreak. BMC Pulmonary Medicine, 24(1), 156. https://bmcpulmmed.biomedcentral.com/articles/10.1186/s12890-024-02937-7 (2024, March 27).
- Giannakopoulos, S., Pak, J.-H., Bakse, J., Ward, M. A., Nerurkar, V. R., Tallquist, M. D., & Verma, S. SARS CoV 2 induced cytokine storm drives prolonged testicular injury and functional impairments in mice that are mitigated by dexamethasone. SSRN. (2024, July 23). [CrossRef]
- Wan, A.T.H., Teopiz, C.M., West, J., & McIntyre, R.S. The impact of cognitive function on health related quality of life in persons with post COVID 19 condition and the moderating role of vortioxetine: A randomized controlled trial. medRxiv. https://www.medrxiv.org/content/10.1101/2024.03.18.24304375v1 (2024, March 18).
- Nakamura, K., Kondo, K., Oka, N., Yamakawa, K., Ie, K., Goto, T., & Fujitani, S. Donepezil for fatigue and psychological symptoms in post–COVID 19 condition: A randomized clinical trial. JAMA Network Open, 8(3), e250728. https://pubmed.ncbi.nlm.nih.gov/40094666/ (2025).
- Mohammad Fakhrolmobasheri, Mahnaz-Sadat Hosseini, Seyedeh-Ghazal Shahrokh, Zahra Mohammadi, Mohammad-Javad Kahlani, Seyed-Erfan Majidi et al. Coenzyme Q10 and Its Therapeutic Potencies Against COVID 19: A Molecular Review. Advanced Pharmaceutical Bulletin, 13(2), 235–244. https://pubmed.ncbi.nlm.nih.gov/37342382/ (2023).
- Hansen, K. S., Mogensen, T. H., Agergaard, J., Schiøttz Christensen, B., Østergaard, L., Vibholm, L. K.; et al. High dose coenzyme Q10 therapy versus placebo in patients with post COVID 19 condition: A randomized, phase 2, crossover trial. The Lancet Regional Health – Europe, 24, 100539. https://doi.org/10.1016/j.lanepe.2022.100539 (2023). [CrossRef]
- Barletta, M. A., Marino, G., Spagnolo, B., Bianchi, F. P., Falappone, P. C. F., Spagnolo, L., & Gatti, P. Coenzyme Q10 + alpha lipoic acid for chronic COVID syndrome. Clinical and Experimental Medicine, 23(3), 667–678. (2023, July). [CrossRef]
- Hansen, K. S., Mogensen, T. H., Agergaard, J., Schiøttz Christensen, B., Østergaard, L., Vibholm, L. K., et al. High-dose coenzyme Q10 therapy versus placebo in patients with post COVID 19 condition: A randomized, phase 2, crossover trial. The Lancet Regional Health – Europe, 24, 100539. (2022). [CrossRef]
- Andrews JS, Boonyaratanakornkit JB, Krusinska E, Allen S, Posada JA. Assessment of the Impact of RNase in Patients With Severe Fatigue Related to PASC: A Randomized Phase 2 Trial (RSLV-132). Clinincal Infectious Diseases.79(3):635-642. https://academic.oup.com/cid/article/79/3/635/7668392?login=false (2025).
- Tejaswini Kulkarni, Joel Santiaguel, Raminder Aul, Mark Harnett, Julie Krop, Michael C. Chen et al, double-blind RCT; antifibrotic deupirfenidone in PASC with respiratory involvement. ERJ Open Research (2025) https://publications.ersnet.org/content/erjor/11/4/01142-2024.(2025).
- Shi, L., Huang, H., Lu, X., Yan, X., Jiang, X., Xu, R.; et al. Long-Term Effects of Human Umbilical Cord-Derived Mesenchymal Stem Cells in Patients with Moderate to Severe COVID-19 Lung Damage: A Randomized, Double-Blind, Placebo-Controlled Phase 2 Trial. Biomedicines, 9(12), 1802. (2021). [CrossRef]
- Meng-Qi Yuan, Le Song, Ze-Rui Wang, Zi-Ying Zhang, Ming Shi, Junli He, Qiong Mo. Long-term outcomes of mesenchymal stem cell therapy in severe COVID-19 patients: 3-year follow-up of a randomized, double-blind, placebo-controlled trial. BMC Stem Cell Research & Therapy. https://stemcellres.biomedcentral.com/articles/10.1186/s13287-025-04148-1 (2025).
- Jing, F., Wang, W., Ke, J., Huang, T., Jiang, B., Qiu, Q.; et al. Fuzheng Huayu tablets for treating pulmonary fibrosis in post COVID 19 patients: A multicenter, randomized, double blind, placebo controlled trial. Frontiers in Pharmacology, 16, 1508276. https://www.frontiersin.org/articles/10.3389/fphar.2025.1508276/full (2025).
- GeNeuro SA. Top-line Phase 2 results of GNC 501 (temelimab) in post COVID neuropsychiatric syndromes show no clinically meaningful benefit. GeNeuro Press Release. https://geneuro.ch/en/geneuro-news/geneuro-announces-the-results-of-the-gnc-501-in-post-covid-19-syndrome/ (2024, June 28).
- Chi, H., Xing, Y., Chen, Y., Wang, T., Qi, J., & Jia, X., et al. A subgroup reanalysis of the efficacy of Bufei Huoxue capsules in patients with “long COVID 19.” Pulmonary Circulation. (2025, April 27). [CrossRef]
- Gonda, K., Hai, T., Suzuki, K., Ozaki, A., Shibusa, T., Takenoshita, S., Maejima, Y., & Shimomura, K. Effect of Ficus pumila L. on improving insulin secretory capacity and insulin resistance in elderly patients aged 80 years or older who developed diabetes after COVID 19 infection. Nutrients, 17(2), 290. https://www.mdpi.com/2072-6643/17/2/290 (2025, January 15).
- Efficacy of Apportal® nutritional supplement in reducing post COVID fatigue: A study of 232 patients. Restorative Neurology and Neuroscience. https://pubmed.ncbi.nlm.nih.gov/34857243/ (2021).
- Atieh, O., Daher, J., Durieux, J. C., Abboud, M., Labbato, D., & Baissary, J.; et al. Vitamins K2 and D3 improve long COVID, fungal translocation, and inflammation: Randomized controlled trial. Nutrients, 17(2), 304. (2025, January 16). [CrossRef]
- Kopp, J., Kuenzi, L., Rueegg, S., Braun, J., Rasi, M., Anagnostopoulos, A., Puhan, M. A., Fehr, J. S., & Radtke, T. Effects of Pycnogenol® in post COVID 19 condition (PYCNOVID): A single center, placebo controlled, quadruple blind, randomized trial. medRxiv. https://www.medrxiv.org/content/10.1101/2025.06.12.25329489v1 (2025, June 12).
- Noce, A., Marrone, G., Di Lauro, M., Vita, C., Montalto, G., Giorgino, G., et al. Potential anti inflammatory and anti fatigue effects of an oral food supplement in long COVID patients. Pharmaceutics, 17(4), 463. https://pubmed.ncbi.nlm.nih.gov/38675423/ (2024, April 5).
- Lau, R. I., Su, Q., Ching, J. Y. L., Cheong, P. K., Chan, F. K. L., & Ng, S. C. Fecal microbiota transplantation for sleep disturbance in post acute COVID 19 syndrome. Clinical Gastroenterology and Hepatology, 22(12), 2487–2496.e6. https://www.cghjournal.org/article/S1542-3565(24)00542-1/fulltext (2024, December).
- Fox, J., Ali, F., Lopez, M., Shah, S. A., Schmidt, C. W., Quesada, O.; et al. Enhanced external counterpulsation improves dyspnea, fatigue, and functional capacity in patients with long COVID. COVID, 4(9), 1379–1385. https://www.mdpi.com/2673-8112/4/9/98 (2024).
- Gerasimenko, A., Ovechkin, A., Moshonkina, T., Shamantseva, N., Lyakhovetskii, V., & Suthar, A. Spinal Neuromodulation for Respiratory Rehabilitation in Patients with Post Acute COVID 19 Syndrome. Life, 14(11), 1518. (2024, November). [CrossRef]
- Victoria, L. W., Oberlin, L. E., Ilieva, I. P., Jaywant, A., Kanellopoulos, D., Mercaldi, C.; et al. A digital intervention for cognitive deficits following COVID 19: A randomized clinical trial. Neuropsychopharmacology, 49(12), 1520–1531. https://pubmed.ncbi.nlm.nih.gov/39358543/ (2024).
- Verónica Martínez-Borba, Óscar Peris-Baquero, Iván Prieto-Rollán, Jorge Osma & Esther del Corral-Beamonte Preliminary feasibility and clinical utility of the Unified Protocol for the transdiagnostic treatment of emotional disorders in people with long COVID-19 condition: A single case pilot study PLoS ONE, https://journals.plos.org/plosone/article?id=10.1371/journal.pone.0329595 (2025).
- Hurt, R. T., Ganesh, R., Schroeder, D. R., Hanson, J. L., Fokken, S. C., Overgaard, J. D.; et al. Using a wearable brain activity sensing device in the treatment of long COVID symptoms in an open label clinical trial. Journal of Primary Care & Community Health, 16, https://journals.sagepub.com/doi/full/10.1177/21501319251325639 (2025).
- Hawkins, J., Hires, C., Keenan, L., & Dunne, E. Aromatherapy blend of thyme, orange, clove bud, and frankincense boosts energy levels in post-COVID-19 female patients: A randomized, double-blinded, placebo controlled clinical trial. Complementary Therapeutic Medicine. https://pmc.ncbi.nlm.nih.gov/articles/PMC8949693/ (2022).
- Chavda, V. P., Balar, P. C., Jogi, G., Marwadi, S., Patel, A., Doshi, A.; et al. The potential role of essential oils in boosting immunity and easing COVID-19 symptoms. Clinical Traditional Medicine and Pharmacology. https://www.sciencedirect.com/science/article/pii/S2097382924000064 (2024).
- Shah, S. A., Varanasi, S., Sathyamoorthy, M., Teal, A., Verduzco-Gutierrez, M., & Cabrera, J. Enhanced external counterpulsation offers potential treatment option for Long COVID patients. American College of Cardiology Press Release. https://www.acc.org/About-ACC/Press-Releases/2022/02/14/14/25/Enhanced-External-Counterpulsation-Offers-Potential-Treatment-Option-for-Long-COVID-Patients (2022, February 14).
- Stein, E., Heindrich, C., Wittke, K., Kedor, C., Kim, L., Freitag, H.; et al. Observational Study of Repeat Immunoadsorption (RIA) in Post COVID ME/CFS Patients with Elevated β2 Adrenergic Receptor Autoantibodies—An Interim Report. Journal of Clinical Medicine, 12(19), 6428. (2023). [CrossRef]
- Badran, B. W., Huffman, S., Dancy, M., & Austelle, C. W. A pilot randomized controlled trial of supervised, at-home, self-administered transcutaneous auricular vagus nerve stimulation (taVNS) to manage long COVID symptoms. Research Square. https://www.researchgate.net/publication/362914906 (2022).
- Natelson, B. H., Blate, M., & Soto, T. Transcutaneous Vagus Nerve Stimulation in the Treatment of Long Covid-Chronic Fatigue Syndrome. medRxiv. https://www.medrxiv.org/content/10.1101/2022.11.08.22281807v1 (2022).
- Zheng, Z. S., Simonian, N., Wang, J., & Rosario, E. R. Transcutaneous vagus nerve stimulation improves Long COVID symptoms in a female cohort: A pilot study. Frontiers in Neurology, 15, 1393371. https://pubmed.ncbi.nlm.nih.gov/38756213/ (2024, May 2).
- Lucilla Vestito, Marta Ponzanoc, Laura Moria, Carlo Trompettoa, Fabio Bandini, J. F. A randomized controlled trial of anodal transcranial direct current stimulation (A-tDCS) and olfactory training in persistent COVID-19 anosmia Brain Stimulation https://www.brainstimjrnl.com/article/S1935-861X(25)00104-4/fulltext (2025).
- Zulbarán Rojas, A., Bara, R., Lee, M., Najafi, B., & Myers, P. Transcutaneous electrical nerve stimulation for fibromyalgia like syndrome in patients with long COVID: A pilot randomized clinical trial. Scientific Reports, 14(1), 27224. (2024, November 8). https://www.nature.com/articles/s41598-024-78651-5.
- Sabel, B. A., Zhou, W., Huber, F., Schmidt, F., Sabel, K., Gonschorek, A., & Bilc, M. Non invasive brain microcurrent stimulation therapy of Long COVID 19 reduces vascular dysregulation and improves visual and cognitive impairment: Two case studies. Restorative Neurology and Neuroscience, 39(6), 393–408. (2021, December). https://pubmed.ncbi.nlm.nih.gov/34924406/.
- Wang, Z., Zhu, T., Li, X., Lai, X., & Chen, M. Tragus nerve stimulation attenuates postural orthostatic tachycardia syndrome in post COVID 19 infection: A randomized, double blind controlled trial. Clinical Cardiology, 48(3), e70110. (2025, February). https://pubmed.ncbi.nlm.nih.gov/40014480.
- Takahisa Kikuchi, Keisuke Hamano, Mayu Yamakawa, Yasuo Mimura, Yoshitaka Tatebayashi & Chiaki Maruyama. Repetitive transcranial magnetic stimulation ameliorated treatment-resistant depression with neuroinflammatory alterations secondary to COVID 19: A case report. Psychiatry Research and Clinical Practice, 6(2), 123–130. (2024). https://link.springer.com/article/10.1007/s40501-021-00238-y.
- Cunha, A. C. R., Silva, J. C., Garcês, C. P., Sisconeto, T. M., Nascimento, J. L. R., Amaral, A. L.; et al. Online and face-to-face Mat Pilates training for long COVID 19 patients: A randomized controlled trial on health outcomes. International Journal of Environmental Research and Public Health, 21(10), 1385. (2024). https://pubmed.ncbi.nlm.nih.gov/39457358/.
- Pereira PC, de Lima CJ, Villaverde AB, Fernandes AB, Zângaro RA, et al. Photobiomodulation in the treatment of pulmonary fibrosis after COVID-19: A prospective study. Research Square (preprint). https://www.researchsquare.com/article/rs-5483003/v1(2024, November 25).
- Mayra C. V. Campos, Silvana S. V. Schuler, Ana J. Lacerda, Adriana C. Mazzoni, Tamiris Silva, Francine C. S. Rosa et al. Evaluation of vascular photobiomodulation for orofacial pain and tension-type headache following COVID 19 in a pragmatic randomized clinical trial. Scientific Reports, 14(1), 31138. (2024). https://www.nature.com/articles/s41598-024-82412-9.
- Najafi B., Zulbaran A., Lee M., Bara R. O. et al. Transcutaneous electrical nerve stimulation for fibromyalgia like syndrome in patients with Long COVID: A pilot randomized clinical trial. Nature Scientific Reports. (2024). https://www.nature.com/articles/s41598-024-78651-5.
- Chauhan, G., Upadhyay, A., Khanduja, S., & Emerick, T. Stellate ganglion block for anosmia and dysgeusia due to Long COVID. Cureus, 14(8), e27779. (2022). https://pubmed.ncbi.nlm.nih.gov/36106285/.
- Liu, L. D., & Duricka, D. L. Stellate ganglion block reduces symptoms of Long COVID: A case series. Journal of Neuroimmunology, 362, 577784. (2022). https://pubmed.ncbi.nlm.nih.gov/34922127/.
- Lisa Pearson, Alfred Maina, Taylor Compratt, Sherri Harden, Abbey Aaroe, Whitney Copas & Leah Thompson R. Stellate Ganglion Block Relieves Long COVID-19 Symptoms in 86% of Patients: A Retrospective Cohort Study Cureus (2023). https://www.cureus.com/articles/184194-stellate-ganglion-block-relieves-long-covid-19-symptoms-in-86-of-patients-a-retrospective-cohort-study?fbclid=IwAR3Wo1cdeheoLLMCrM8ht2SvoxElieU44VIEmJy-LFA3shdbOcmKqmA22nw#!/metrics.
- Duricka, D., & Liu, L. Reduction of Long COVID symptoms after stellate ganglion block: A retrospective chart review study. Autonomic Neuroscience, 254, 103195. (2024, August). https://www.sciencedirect.com/science/article/pii/S1566070224000493.
- Singh, R., Kumar, A., Mehra, S., Sharma, V., & Verma, P. Evaluation of usefulness of ropinirole in the treatment of post COVID 19 restless legs syndrome: A quasi experimental study. Journal of Pharmaceutical Negative Results, 13, 2603–2606. (2022, June). https://www.pnrjournal.com/index.php/home/article/view/4336.
- Armstrong, M. F., O’Byrne, T. J., Calva, J. J., Mallory, M. J., Bublitz, S. E., Do, A., et al. The feasibility of investigating acupuncture in patients with COVID 19 related olfactory dysfunction: A pilot randomized study. Global Advances in Integrative Medicine and Health, 14(9), 1–7. (2025). https://journals.sagepub.com/doi/abs/10.1177/27536130251343834.
- Schäfer, S. K., Rose, M., Simon, J., Petrie, K. J., Löwe, B., & Laferton, J. A. C. Needs and wishes of patients with Long COVID regarding an expectation management intervention: A qualitative study to inform the SOMA.COV treatment manual. PLoS ONE, 20(2), e0298211. (2025) https://journals.plos.org/plosone/article?id=10.1371/journal.pone.0317905.
- Philip, K. E. J., Burton, A., Lewis, A., Buttery, S. C., Williams, P. J., Polkey, M. I.; et al. Participant experience of Scottish Ballet’s dance based long COVID support programme: A mixed methods study. medRxiv. (2024, October). https://www.medrxiv.org/content/10.1101/2024.10.28.24316302v1.
- Yamaguchi K, Saito Y, Tanaka H; et al. Aripiprazole for treating post-COVID-19 hypersomnolence in adolescents: A case series. Sleep, 48(Suppl 1): A365. (2025, May). https://academic.oup.com/sleep/article/48/Supplement_1/A365/8135331.
- Krishnamurthy V, et al. Effect of CPAP on cognitive fog in post-COVID patients with obstructive sleep apnea. Sleep, 48(Suppl 1): A606. (2025, May). https://academic.oup.com/sleep/article/48/Supplement_1/A606/8135174.
- Chung, T. W.-H., Zhang, H., Wong, F. K.-C., Sridhar, S., Lee, T. M.-C., Leung, G. K.-K. et al. Short course oral vitamin A and aerosolised diffuser olfactory training for the treatment of smell loss in long COVID: A pilot study. Brain Sciences, 13(7), 1014. (2023). https://www.ncbi.nlm.nih.gov/pmc/articles/PMC10377650/.
- Pendolino, A. L., Scarpa, B., & Andrews, P. J. The effectiveness of functional septorhinoplasty in improving COVID 19 related olfactory dysfunction: Prospective controlled study. Facial Plastic Surgery. (2025, February 24). https://pubmed.ncbi.nlm.nih.gov/39929248/.
- Cano, N., Casas, O., Ariza, M., Gelonch, O., Plana, Y., Porras Garcia, B., & Garolera, M. Effects of a multimodal immersive virtual reality intervention on heart rate variability in adults with post COVID 19 syndrome. Applied Sciences, 15(8), 4111. (2025, April 8). https://www.mdpi.com/2076-3417/15/8/4111.
- Melián Ortíz, A., Zurdo Sayalero, E., Perpiñá Martínez, S., Delgado Lacosta, A., Jiménez Antona, C., Fernández Carnero, J., & Laguarta Val, S. Superficial neuromodulation in dysautonomia in women with post COVID 19 condition: A pilot study. Brain Sciences, 15(5), 510 (2025) https://pubmed.ncbi.nlm.nih.gov/40426680/.
- Claudia Loren and Roland Frankenberger Oronasal drainage (OND): A novel treatment approach for Long COVID symptoms. Viruses (2025) https://www.mdpi.com/1999-4915/17/2/210.
- Oesch Régeni, B., Germann, N., Hafer, G., Schmid, D., & Arn, N. Effect on quality of life of therapeutic plasmapheresis in Myalgic Encephalomyelitis/Chronic Fatigue Syndrome patients with elevated β adrenergic and M3 muscarinic receptor antibodies – a pilot study. Preprints.org. (2025)https://www.preprints.org/manuscript/202504.0228.
- Tony Kamel, William Toppen, Yasaman Salahmand Successful treatment of post coronavirus disease 2019 (COVID 19) autoimmune encephalitis with plasmapheresis after a failed trial of steroids. Cureus, 17(5), e85150. (2025)https://www.cureus.com/articles/355250-successful-treatment-of-post-coronavirus-disease-2019-covid-19-autoimmune-encephalitis-with-plasmapheresis-after-a-failed-trial-of-steroid.
- Gregory L. Willis, Takuyuki Endo & Saburo Sakoda (2024). Circadian re set repairs long COVID in a prodromal Parkinson’s parallel: A case series. Journal of Medical Case Reports, 18(1), 496. (2024) https://jmedicalcasereports.biomedcentral.com/articles/10.1186/s13256-024-04812-9.
- AbouAssaly JR, Masuko T, Sasai-Masuko H, Strale FJ Jr (2025). Neurofeedback for COVID-19 brain fog: A secondary analysis. Cureus, 17(2): e79222. (2025) https://pubmed.ncbi.nlm.nih.gov/40115713/.
- España-Cueto, S., Loste, C., Lladós, G., López, C., Santos, J. R., & Dulsat, G.; et al. (2025, February 24). Plasma exchange therapy for the post COVID 19 condition: A phase II, double blind, placebo controlled, randomized trial. Nature Communications, 16(1), 1929 (2025) https://doi.org/10.1038/s41467-025-57198-7. [CrossRef]
- Gaylis, N. B., Ritter, A., Kelly, S. A., Pourhassan, N. Z., Tiwary, M., Sacha, J. B.; et al. (2022, September 30). Reduced cell surface levels of C C chemokine receptor 5 and immunosuppression in long coronavirus disease 2019 syndrome. Clinical Infectious Diseases, 75(7), 1232–1234 (2022). [CrossRef]
- Akanchise, T., Angelov, B., & Angelova, A. Nanomedicine-mediated recovery of antioxidant glutathione peroxidase activity after oxidative stress cellular damage: Insights for neurological long COVID. Journal of Medical Virology, 96(5), e29680 (2024). [CrossRef]
- Valentina Cenacchi, Giovanni Furlanis, Alina Menichelli, Alberta Lunardelli, Valentina Pesavento, Paolo Manganotti Co-ultraPEALut in Subjective Cognitive Impairment Following SARS-CoV-2 Infection: An Exploratory Retrospective Study. Brain Sciences (2024) https://pubmed.ncbi.nlm.nih.gov/38539680/.
- Sasso, E. M., Eaton-Fitch, N., Smith, P., Muraki, K., Jeremijenko, G., & Griffin, A.; et al. Investigation into the restoration of TRPM3 ion channel activity in post COVID 19 condition natural killer cells treated with naltrexone hydrochloride. Frontiers in Immunology, 15, Article 1264702 (2024). [CrossRef]
- Sasso, E. M., Muraki, K., Eaton Fitch, N., Smith, P., Marshall Gradisnik, S., & Griffin, A., et al Low dose naltrexone restores TRPM3 ion channel function in natural killer cells from long COVID patients. Frontiers in Molecular Biosciences (2025). [CrossRef]
- Hector Bonilla, Lu Tian, Vincent C. Marconi, Robert Shafer, Grace A. McComsey, Mitchel Miglis et al Low dose naltrexone for post acute sequelae of SARS CoV 2 infection: A retrospective clinical cohort study. medRxiv (2023) https://www.medrxiv.org/content/10.1101/2023.06.08.23291102v1.
- Glynne, P., Tahmasebi, N., Gant, V., Gupta, R. Long COVID following mild SARS CoV 2 infection: Characteristic T cell alterations and response to antihistamines. medRxiv. (2021). https://www.medrxiv.org/content/10.1101/2021.06.06.21258272v1.
- Paul Glynne, Natasha Tahmasebi, Vanya Gant, Rajeev Gupta Long COVID following mild SARS-CoV-2 infection: Characteristic T cell alterations and response to antihistamines Journal of Investigated Medicine (2022) https://pubmed.ncbi.nlm.nih.gov/34611034/.
- Amini Harandi, A., Pakdaman, H., Medghalchi, A., Kimia, N., Kazemian, A., Siavoshi, F., et alA randomized open label clinical trial on the effect of amantadine on post COVID 19 fatigue. Scientific Reports, 14(1), 1343 (2024) https://www.nature.com/articles/s41598-024-51904-z.
- Raj, S.R., Black, B.K., Biaggioni, I., Paranjape, S.Y., Coffin, S.T., & Robertson, D. Propranolol decreases tachycardia and improves symptoms in the postural tachycardia syndrome: Less is more. Circulation, 120(9), 725–734 (2009) https://pubmed.ncbi.nlm.nih.gov/19687359/.
- Guttuso, T., Zhu, J., & Wilding, G. E. (2024). Lithium aspartate for long COVID fatigue and cognitive dysfunction: A randomized clinical trial. JAMA Network Open, 7(10), e2436874 (2024) https://pubmed.ncbi.nlm.nih.gov/39356507/.
- Landers, D. B., Yousafzai, O. K., Klinkhammer, B., Tancredi, J., Turi, Z., Jamal, S., Glotzer, T. V., Hollenberg, S. M., Rockett, G., Cofini, N., Gelman, S., & Parrillo, J. E. Beta blocker therapy improves symptoms in post acute COVID 19 syndrome with autonomic dysfunction: An observational cohort study. Journal of the American College of Cardiology (2023) https://www.jacc.org/doi/10.1016/S0735-1097(24)04458-9.
- Strayer, D. R., Young, D. L., Mitchell, W. M., Carter, W. A., Stouch, B. C., & Stevens, S. R.; et al. Effect of disease duration in a randomized Phase III trial of rintatolimod, an immune modulator for myalgic encephalomyelitis/chronic fatigue syndrome. PLoS ONE, 15(10), (2020). [CrossRef]
- Mahadev, A., Hentati, F., Miller, B., Bao, J., Perrin, A., Kallogjeri, D., & Piccirillo, J. F. Efficacy of gabapentin for post COVID 19 olfactory dysfunction: The GRACE randomized clinical trial. JAMA Otolaryngology–Head & Neck Surgery, 149(12), 1111–1119. (2023). [CrossRef]
- Gendreau, R. M., Bateman, L., Duncan, G., Vernon, S., Sullivan, K., & Gendreau, R.; et al. Low-dose IMC 2 (valacyclovir 750 mg + celecoxib 200 mg BID) improves fatigue and sleep disruption in long COVID: A randomized, double-blind, placebo-controlled investigator-initiated study. BioSpace. (2024). Available online: https://www.biospace.com/press-releases/dogwood-therapeutics-inc-announces-low-dose-imc-2-treatment-reduces-long-covid-related-fatigue-and-sleep-disturbance-in-an-investigator-initiated-study/.
- Finnigan, L. E. M., Cassar, M. P., Koziel, M. J., Pradines, J., Lamlum, H., Azer, K.; et al. Efficacy and tolerability of an endogenous metabolic modulator (AXA1125) in fatigue predominant long COVID: A single centre, double blind, randomised controlled phase 2a pilot study. eClinicalMedicine, 59, 101946 (2023) https://ssrn.com/abstract=4356755 (2023).
- Rosen, D. Thomas Jefferson University explores platelet rich plasma to restore smell after COVID 19. ABC News. (2022). Available online: https://6abc.com/covid-19-research-loss-of-smell-jefferson-health/11636709.
- Yan, C. H., Jang, S. S., Lin, H. C. F.; et al. Use of platelet rich plasma for COVID 19–related olfactory loss: A randomized controlled trial. International Forum of Allergy and Rhinology, 13(6), 989–997 (2022). Available online: https://pubmed.ncbi.nlm.nih.gov/36507615.
- Bazdyrev, E., Panova, M., Brachs, M., Smolyarchuk, E., Tsygankova, D., Gofman, L.; et al. Efficacy and safety of Treamid in the rehabilitation of patients after COVID 19 pneumonia: A phase 2, randomized, double blind, placebo controlled trial. Journal of Translational Medicine, 20(1), 506. (2022) https://translational-medicine.biomedcentral.com/articles/10.1186/s12967-022-03660-9 (2022, November 3).
- Di Stadio, A., Bernitsas, E., La Mantia, I., Brenner, M. J., Ralli, M., & Vaira, L. A.; et al. Targeting neuroinflammation to alleviate chronic olfactory dysfunction in long COVID: A role for investigating disease-modifying therapy (DMT)? Life, 13(1), 226 (2023) (2023, January 13). [CrossRef]
- Pirro, M., Ferri, L., Piccioni, L., Bellucci, A. M., Bartolucci, F., & Russo, A.; et al. What is the role of palmitoylethanolamide co ultramicronized with luteolin on the symptomatology reported by patients suffering from Long COVID? A retrospective analysis performed by a group of General Practitioners in a real life setting. Nutrients, 15(17), 3701 (2023) (2023, August 24). [CrossRef]
- Hotz, J. F., Kellerberger, S., Elea Jöchlinger, S., Danielova, I., Temizsoy, H., & Ötsch, S.; et al. Exploring cognitive impairments and the efficacy of phosphatidylcholine and computer-assisted cognitive training in post acute COVID 19 and post acute COVID 19 vaccination syndrome. Frontiers in Neurology, 15, 1419134 (2024). [CrossRef]
- Sudo Konno, Y., Chiba, S., Okubo, T., Nemoto, T., Kanbayashi, T., & Iwabuchi, E. Aripiprazole for treating post COVID 19 hypersomnolence in adolescents: A case series. Sleep, 48 (Supplement_1), A365 (2025, May). Available online: https://academic.oup.com/sleep/article/48/Supplement_1/A365/8135331?login=false.
- Tokumasu, K., Matsuki, N., Otsuka, Y., Sakamoto, Y., Ueda, K., & Matsuda, Y. Course of general fatigue in patients with post COVID 19 conditions who were prescribed hochuekkito: A single center exploratory pilot study. Journal of Clinical Medicine, 14(4), 1391. (2025). Available online: https://www.mdpi.com/2077-0383/14/4/1391.
- Slankamenac, J., Ranisavljev, M., Todorovic, N., Ostojic, J., Stajer, V., & Ostojic, S. M.; et al. Effects of six-month creatine supplementation on patient- and clinician-reported outcomes, and tissue creatine levels in patients with post COVID 19 fatigue syndrome. Food Science & Nutrition, 11(11), 6899–6906 (2023). Available online: https://pubmed.ncbi.nlm.nih.gov/37970399/.
- Scheppke, K., Peluso, M. J., Klimas, N. G., Yaffe, K., Chigbo, C., & Levine, H.; et al. Remission of severe forms of “long COVID” following casirivimab/imdevimab monoclonal antibody infusion: A report of signal index cases and call for targeted research. American Journal of Emergency Medicine, 64, 9–12 (2024). Available online: https://ohsu.elsevierpure.com/en/publications/remission-of-severe-forms-of-long-covid-following-monoclonal-anti.
- uan Facundo Chrestia, Ana Sofia Oliveira, Adrian J Mulholland, Timothy Gallagher, Isabel Bermúdez & Cecilia Bouzat Exploring functional interaction between SARS CoV 2 spike protein and α7 nicotinic acetylcholine receptors: A patch clamp and preclinical model study [Preprint]. Research Square (2025) https://www.researchsquare.com/article/rs-938911/v2 (2025, March 22).
- Reinfeld S. Can Bupropion Treat COVID 19–Induced Brain Fog? A Case Series. International Clinical Psychopharmacology. https://www.researchgate.net/publication/362659281_Can_Bupropion_Treat_COVID-19_Induced_Brain_Fog_A_Case_Series (2022, September).
- Bhattacharjee D., Poornima H.K., Chakraborty A. Methylphenidate in COVID 19 Related Brain Fog: A Case Series. Indian Journal of Psychological Medicine. https://pmc.ncbi.nlm.nih.gov/articles/PMC11572663/ (2024).
- Kondo T, Higa R, Kuniba M, Shinzato H, Takaesu Y; Neuropsychopharmacology Reports Editorial Team. Successful treatment with guanfacine in a long COVID case manifesting marked cognitive impairment. Neuropsychopharmacology Reports, 44(3), 585–590 (2024). Available online: https://pubmed.ncbi.nlm.nih.gov/38934345/.
- Theiler, K., Bronchain, M., Grouzmann, E., Duflon, S., Hirt, L., Du Pasquier, R.; et al. Treatable immune mediated severe orthostatic hypotension in SARS CoV 2 infection. Frontiers in Neuroscience (2025, January 7)1505727. [CrossRef]
- Pierson, V., Smith, A., Johnson, L., Patel, N., Zhang, X., & Lee, H. Comparative cohort study of post acute COVID 19 infection with nested randomized trial of ivabradine for POTS/IST (the COVIVA study). Frontiers in Neurology (2025). [CrossRef]
- Miwa, K. Oral Minocycline Challenge as a Potential First-Line Therapy for Myalgic Encephalomyelitis and Long COVID-19 Syndrome: A Case Report. Annals of Clinical and Medical Case Reports, 8(7), 1–4 (2022). Available online: https://acmcasereports.com/articles/ACMCR-v8-1710.pdf.
- Nishi, K., Yoshimoto, S., Tanaka, T., Kimura, S., Tsunoda, T., & Watanabe, A.; et al. Spatial transcriptomics of the epipharynx in long COVID identifies SARS-CoV 2 signalling pathways and the therapeutic potential of epipharyngeal abrasive therapy. Scientific Reports, 15, 8618. (2025, March 12) https://doi.org/10.1038/s41598-025-92908-7. [CrossRef]
- Joaquín, C., Bretón, I., Ocón Bretón, M. J., Burgos, R., Bellido, D., Matía Martín, P., Martínez Olmos, M. Á., Zugasti, A., Riestra, M., Botella, F., & García Almeida, J. M. Nutritional and physical rehabilitation in post ICU COVID 19 patients: Prospective results from the NutriEcoMuscle study. Nutrients, 17(10) 1722. Available online: https://pubmed.ncbi.nlm.nih.gov/40431462/.
- Kumar, S., Ramaraju, K., Kakarla, M. S., Eranezhath, S. S., Chenthamarakshan, C., Alagesan, M.; et al. Evaluating Personalized Add On Ayurveda Therapy in Oxygen Dependent Diabetic COVID 19 Patients: A 60 Day Study of Symptoms, Inflammation, and Radiological Changes. Cureus, 16(9) (2024, September 1). [CrossRef]
- Joung, J.-Y., Lee, J.-S., Choi, Y., Kim, Y.J., Oh, H.-M., Seo, H.-S., & Son, C.-G. Evaluating Myelophil, a 30% ethanol extract of Astragalus membranaceus and Salvia miltiorrhiza, for alleviating fatigue in long COVID: A real-world observational study. Frontiers in Pharmacology, 15, 1394810(2024). Available online: https://www.frontiersin.org/articles/10.3389/fphar.2024.1394810.
- Asun Gracia Aznar, Fernando Moreno Egea, Rafael Gracia Banzo, Rocio Gutierrez, Jose Miguel Rizo, Pilar Rodriguez-Ledo et al Pro resolving inflammatory effects of a marine oil enriched in specialized pro resolving mediators (SPMs) supplement and its implication in patients with post COVID syndrome (PCS). Biomedicines, (2024). Available online: https://www.mdpi.com/2227-9059/12/10/2221.
- Ikonomidis, I., Pavlidis, G., Kountouri, A., Katogiannis, K.; et al. Effect of a dietary supplement containing glycosaminoglycans and fucoidan on endothelial glycocalyx integrity and vascular function in patients following COVID 19 infection. European Heart Journal – Cardiovascular Imaging, 26(Suppl 1). (2025). Available online: https://academic.oup.com/ehjcimaging/article/26/Supplement_1/jeae333.222/798667.
- Pavlidis, G., Kountouri, A., Katogiannis, K., Thymis, J., Nikolaou, P. E., Chania, C., Karalis, J., Kostelli, G., Michalopoulou, E., Katsanaki, E., Parissis, J., Vink, H., Long, R., Tsiodras, S., Lambadiari, V., & Ikonomidis, I. Effects of four month treatment with glycocalyx dietary supplement on endothelial glycocalyx integrity and vascular function after COVID 19 infection. European Journal of Clinical Investigation, 55(7), e70058. (2025, April 24). Available online: https://onlinelibrary.wiley.com/doi/10.1111/eci.70058.
- Marzetti, E., Coelho Júnior, H. J., Calvani, R., Girolimetti, G., Di Corato, R., Ciciarello, F.; et al. Mitochondria derived vesicles and inflammatory profiles of adults with long COVID supplemented with red beetroot juice: Secondary analysis of a randomized controlled trial. International Journal of Molecular Sciences, 26(3), 1224 (2025, January). [CrossRef]
- Calvani, R., Giampaoli, O., Marini, F., Del Chierico, F., De Rosa, M., Conta, G.; et al. Beetroot juice intake positively influenced gut microbiota and inflammation but failed to improve functional outcomes in adults with long COVID: A pilot randomized controlled trial. Clinical Nutrition, 43(12), 344–358 (2024, November). [CrossRef]
- Igor Łoniewski, Karolina Skonieczna-Żydecka, Joanna Sołek-Pastuszka & Wojciech Marlicz Gut Microbiota and Probiotics in Post-COVID-19 Recovery: An Exploratory Study. International Journal of Molecular Sciences, 24(8), 7417. (2022).
- Horvath, A., Habisch, H., Prietl, B., Pfeifer, V., Balazs, I., Kovacs, G., Foris, V., John, N., Kleinschek, D., Feldbacher, N., Grønbæk, H., Møller, H. J., Žukauskaitė, K., Madl, T., & Stadlbauer, V. Alteration of the gut–lung axis after severe COVID-19 infection and modulation through probiotics: A randomized, controlled pilot study. Nutrients, 16(22), 3840 (2024, November 8). Available online: https://pubmed.ncbi.nlm.nih.gov/39599626/.
- Patterson, B. K., Yogendra, R., Guevara Coto, J., Mora Rodriguez, R. A., Osgood, E., & Bream, J.; et al. Case series: Maraviroc and pravastatin as a therapeutic option to treat long COVID/post acute sequelae of COVID (PASC). Frontiers in Medicine, 10, Article 1122529 (2023, February 8). [CrossRef]
- Crawford Currie, Tor Åge Myklebust, Christian Bjerknes & Bomi Framroze1Assessing the Potential of an Enzymatically Liberated Salmon Oil for Immunomodulation in Adults with Mild to Moderate COVID-19: A Pilot Randomized Controlled Trial. International Journal of Molecular Sciences, 25(13) (2024). Available online: https://www.mdpi.com/1422-0067/25/13/6917.
- Sigamani, A., Naik, K. S., & Kumar, S. S. Post acute sequelae SARS CoV 2 (PASC) infection and molecular signaling – A quasi experimental study evaluating a natural supplement. Research Square (2023, March 14). [CrossRef]
- Aguida, B., Ahmad, M., Jourdan, N., & Pooam, M. Infrared light therapy relieves TLR 4 dependent hyper inflammation of the type induced by COVID 19. Communicative & Integrative Biology, 14(1), 200–211 (2021). [CrossRef]
- Theoharides, T. C., & Kempuraj, D. Role of SARS CoV 2 spike protein induced activation of microglia and mast cells in the pathogenesis of Neuro COVID. Cells, 12(5), 688 (2023). [CrossRef]
- ISRCTN. A research trial to find out if tocilizumab helps adults with Long Covid feel better ISRCTN (2025). Available online: https://www.isrctn.com/ISRCTN46454974.
- Olve, M. E. New Clinical Trial Will Test How Baricitinib Improves Neurocognitive Function in Patients with Long Covid. (2025). Available online: https://solvecfs.org/new-clinical-trial-will-test-how-baricitinib-improves-neurocognitive-function-in-patients-with-long-covid/.
- Creyns, B., MacKenzie, B., Jannini Sa, Y. A. P., Coelho, A. L., Christensen, D., & Parimon, T.; et al. Caveolin scaffolding domain (CSD) peptide LTI 2355 modulates the phagocytic and synthetic activity of lung derived myeloid cells in idiopathic pulmonary fibrosis (IPF) and post acute sequelae of COVID fibrosis (PASC F). Biomedicines, 13(4), 796 (2025). [CrossRef]
- Francavilla, F., Intranuovo, F., La Spada, G., Lacivita, E., & Altomare, C. D. Inflammaging and immunosenescence in the post COVID era: Small molecules, big challenges. ChemMedChem. (2024, December). [CrossRef]
- Akanchise, T., Angelov, B., & Angelova, A. Nanomedicine-mediated recovery of antioxidant glutathione peroxidase activity after oxidative-stress cellular damage: Insights for neurological long COVID (2024). Available online: https://onlinelibrary.wiley.com/doi/full/10.1002/jmv.29680.
- Elumalai, N., Hussain, H., Sampath, N., Shamaladevi, N., & Paidas, M. J. SPIKENET (SPK), a 15 amino acid ACE2 targeted peptide, mitigates inflammation, oxidative stress, multi organ damage, and mortality in mouse models of acute and long COVID. Viruses, 16(6), 838 (2024, May). [CrossRef]
- Darby, F. The Gut Health Advantage: How Fiber May Reduce Risk for Long COVID. Yale Medicine (2024). Available online: https://www.yalemedicine.org/news/the-gut-health-advantage-how-fiber-may-reduce-risk-for-long-covid.
- Staff Report, Breakthrough Long COVID ‘Brain Fog’ Drug Being Developed by Augusta University Researchers. Augusta CEO (2022, December 2). Available online: https://augustaceo.com/news/2022/12/breakthrough-long-covid-brain-fog-drug-being-developed-augusta-university-researchers/.
- Fernandes, I. G., Oliveira, L. de M., Andrade, M. M. de S., Alberca, R. W., Lima, J. C., de Sousa, E. S. A.; et al. Resveratrol Upregulates Antioxidant Factors Expression and Downmodulates Interferon Inducible Antiviral Factors in Aging. International Journal of Molecular Sciences, 26(5), 2345. (2025). [CrossRef]
- Omran, H. M., & Almaliki, M. S. Influence of NAD+ as an ageing-related immunomodulator on COVID 19 infection: A hypothesis. J Infect Public Health, 13(9), 1196–1201 (2020, September). [CrossRef]
- Thadani-Mulero, M., Ramos, P. S., Dhamija, R., Felsenstein, S., Grieb, B. J., & Petracek, L. UVA Health joins national trials testing Long COVID treatments. UVA Health Newsroom (2025, March 20). Available online: https://newsroom.uvahealth.com/2025/03/20/uva-health-joins-national-trials-testing-long-covid-treatments/.
- Medhat, P. M., Fouad, M. M., Monir Hunter, H. H., & Ghoniem, N. S. Simultaneous quantification of paracetamol, dexketoprofen trometamol, and rivaroxaban used in post COVID 19 syndrome via sustainable, green HPLC PDA. Scientific Reports, 14, Article 26222 (2024, October 28). Available online: https://www.nature.com/articles/s41598-024-75216-4.
- Pliszka, A. G. Modafinil: A Review and Its Potential Use in the Treatment of Long COVID Fatigue and Neurocognitive Deficits. American Journal of Psychiatry Residents’ Journal, 17(4), 5–7 (2022, June). Available online: https://psychiatryonline.org/doi/full/10.1176/appi.ajp-rj.2022.170402.
- Yoon, J., Kim, S., Kwon, C.-Y., Kang, J. W., Kim, T.-H., & Kwon, S. Kyungok go for fatigue in patients with long COVID: Double blind, randomized, multicenter, pilot clinical study protocol. PLoS ONE, 20(4), e0319459 (2025). Available online: https://journals.plos.org/plosone/article?id=10.1371/journal.pone.0319459.
- DrugBank. Cyclobenzaprine Completed Phase 2 Trials for Post-Acute Sequelae of SARS-CoV-2 (PASC) Infection / Post-Acute COVID-19 Syndrome / Long Haul COVID / Coronavirus Disease 2019 (COVID-19) Treatment. Drug Bank (2024). Available online: https://go.drugbank.com/drugs/DB00924/clinical_trials?conditions=DBCOND0129755%2CDBCOND0150477%2CDBCOND0140673%2CDBCOND0144742&phase=2&purpose=treatment&status=completed.
- Pierson MJ, Apilado CE, Franzos NM, Allard JP, Mancuso A, Tribble BD, Saunders JT, Koehlmoos TP. Oral medications for the treatment of postural orthostatic tachycardia syndrome (POTS): A systematic review of studies before and during the COVID-19 pandemic. Frontiers in Neurology (2024). Available online: https://www.frontiersin.org/articles/10.3389/fneur.2024.1515486.
- Chun-Pai Yang, Ching-Mao Chang, Cheng-Chia Yang, Carmine M. Pariante, & Kuan-Pin Su Long COVID and long chain fatty acids (LCFAs): Psychoneuroimmunity implication of omega-3 LCFAs in delayed consequences of COVID-19 Brain, Behavior, and Immunity, 103, 1–13 (2022). Available online: https://www.sciencedirect.com/science/article/pii/S0889159122000952?via%3Dihub.
- Li, G. H., Han, F. F., Kalafatis, E., Kong, Q. P., & Xiao, W. Systems modeling reveals shared metabolic dysregulation and potential treatments in ME/CFS and Long COVID. International Journal of Molecular Sciences, 26(13), 6082. (2025, June). Available online: https://www.mdpi.com/1422-0067/26/13/6082.
- Au, M. T., Ni, J., Tang, K., Wang, W., Zhang, L., Wang, H., Zhao, F., Li, Z., Luo, P., Lau, L. C. M., Chan, P. K., Luo, C., Zhou, B., Zhu, L., Zhang, C. Y., Jiang, T., Lauwers, M., Chan, J. F. W., Yuan, S., & Wen, C. Blockade of endothelin receptors mitigates SARS CoV 2 induced osteoarthritis. Nature Microbiology, 9(10), 2538–2552 (2024, September 11). Available online: https://www.nature.com/articles/s41564-024-01802-x.
- Fan, C., Zhang, Z., Lai, Z., Yang, Y., Li, J., & Liu, L.; et al. Chemical evolution and biological evaluation of natural products for efficient therapy of acute lung injury. Advanced Science, 11(7), e2305432 (2023, December 21). [CrossRef]
- Frank, N., Dickinson, D., Garcia, W., Xiao, L., Xayaraj, A., & Lee, L. H.; et al. Evaluation of epigallocatechin-3-gallate palmitate (EC16) nasal nanoformulations against human coronavirus for potential long COVID treatment. Research Gate (2024, January). Available online: https://www.researchgate.net/publication/369951374_Evaluation_of_Epigallocatechin-3-Gallate-Palmitate_EC16_in_Nasal_Formulations_Against_Human_Coronavirus.
- Chen, X., Zhou, Y., Yao, W., Gao, C., Sha, Z., Yi, J.; et al. Organelle tuning condition robustly fabricates energetic mitochondria for cartilage regeneration. Bone Research, 13, Article 37 (2025, April). [CrossRef]
- Vaziri Harami, R., Delkash, P.; et al. Can l carnitine reduce post COVID 19 fatigue? Annals of Medicine & Surgery, 73, 10314(2021, December). [CrossRef]
- Rejinold, S. N., Choi, G., Jin, G.-W., Choy, J.-H.; et al. Transforming niclosamide through nanotechnology: A promising approach for long COVID management. Small, 21(27), e2410345 (2025, May 19).
- Mass General Brigham. AT1001 for the Treatment of Long COVID (Larazotide Acetate, Phase 2a randomized, double blind, placebo controlled trial) (2023, March). Available online: https://clinicaltrials.gov/study/NCT05747534.
- Reardon, S. MDMA therapy for PTSD rejected by FDA panel. Nature. (2024, June). Available online: https://www.nature.com/articles/d41586-024-01622-3.
- EmphyCorp/Cellular Sciences Inc. Effects of Sodium Pyruvate Nasal Spray in COVID 19 Long Haulers [Clinical trial NCT04871815]. ClinicalTrials.gov. (2021). Available online: https://clinicaltrials.gov/study/NCT04871815?rank=4&term=sodium+pyruvate.
- Yu, G.-R., Lim, D., & Park, W.-H. Evaluation of Korean herbal prescriptions on long COVID inflammation: In vitro and network pharmacology approaches. Preprints.org. (2024, August). Available online: https://www.preprints.org/manuscript/202408.0306/v1.
- Bevyn Jarrott, Richard Head, Kirsty G. Pringle, Eugenie R. Lumbers & Jennifer H. Martin “LONG COVID”—A hypothesis for understanding the biological basis and pharmacological treatment strategy: The role of melatonin as an NRF2 activator. Pharmacology Research & Perspectives, 10(1), e00911 (2022, January). [CrossRef]
- Xerfan, E. M. S., Morelhão, P. K., Arakaki, F. H., Facina, A. S., Tomimori, J., & Xavier, S. D.; et al. Could melatonin have a potential adjuvant role in the treatment of lasting anosmia associated with COVID 19? International Journal of Developmental Neuroscience (2022). [CrossRef]
- Daniel P. Cardinali, Gregory M. Brown & Seithikurippu R. Pandi-Perumal. Possible application of melatonin in long COVID: A narrative review highlighting neuroprotective and chronobiotic functions. Biomolecules, 12(11), 1646 (2022, November 9). Available online: https://www.mdpi.com/2218-273X/12/11/1646.
- Yehia, A., & Abulseoud, O. A. Melatonin: A ferroptosis inhibitor with potential therapeutic efficacy for the post COVID 19 trajectory of accelerated brain aging and neurodegeneration. Molecular Neurodegeneration, 19(1), 36 (2024, April 19). [CrossRef]
- Tsilioni, I., Kempuraj, D., & Theoharides, T. C. Nobiletin and eriodictyol suppress release of IL 1β, CXCL8, IL 6, and MMP 9 from LPS, SARS CoV 2 spike protein, and ochratoxin A stimulated human microglia. International Journal of Molecular Sciences, 26(2), 636 (2025). [CrossRef]
- Prazanowska, K. H., Kim, T.-H., Kang, J. W., Jin, Y.-H., Kwon, S., & Lim, S. B. A single-cell RNA sequencing dataset of peripheral blood cells in long COVID patients on herbal therapy. Scientific Data, 12(1), 177 (2025). [CrossRef]
- Cassiano, L. M. G., de Paula, J. J., Rosa, D. V., Miranda, D. M., Romano Silva, M. A., & Coimbra, R. S. Vitamin B12 as an epidrug for regulating peripheral blood biomarkers in long COVID associated visuoconstructive deficit. Scientific Reports, 15(1), Article 9438 (2025). Available online: https://www.nature.com/articles/s41598-025-86637-0.





Disclaimer/Publisher’s Note: The statements, opinions and data contained in all publications are solely those of the individual author(s) and contributor(s) and not of MDPI and/or the editor(s). MDPI and/or the editor(s) disclaim responsibility for any injury to people or property resulting from any ideas, methods, instructions or products referred to in the content. |
© 2025 by the author. Licensee MDPI, Basel, Switzerland. This article is an open access article distributed under the terms and conditions of the Creative Commons Attribution (CC BY) license (https://creativecommons.org/licenses/by/4.0/).
