Submitted:
13 August 2025
Posted:
14 August 2025
You are already at the latest version
Abstract
Keywords:
1. Introduction
2. Equipment and Experimental Procedure
2.1. Selection and Preparation of Samples
- Samples should be from the central part of the piece (all samples adjacent to the hardening zone were rejected);
- Curie temperature of different parts of the fragment is the same within the measurement error;
2.2. CRM Acquisition Experiment Scheme
- Primary TRM acquisition: Samples were heated to and cooled to room temperature () in a controlled magnetic field oriented along the z-axis.
- Initial state preparation: Samples were reheated to and cooled to in zero magnetic field, establishing a partial thermoremanent magnetization (pTRM) in the 260 to 400 interval.
-
Isothermal annealing: Samples underwent thermal processing in a non-magnetic furnace according to the protocol:
- (a)
- Heating: Heating to in zero field
- (b)
-
Annealing: Isothermal exposure at for durationsin field
- (c)
- Cooling: Return to in zero magnetic field
2.3. Instruments
- Tescan Vega TS5130MM SEM with INCA Energy 450 EDS (Si(Li) PentaFET x3 detector)
- Tescan Vega II XMU SEM with INCA Energy 450 EDS (Si(Li) x-sight) and WDS (INCA Wave 700)
3. Results
3.1. Properties of the P72/4 Basalt in Initial State
3.2. Phase, Structural and Magnetic Characteristics of the P72/4 Basalt Sample After Annealing

3.3. Thellier Experiments on Oxidized Titanomagnetite
- -
- For moderately oxidized samples ( after h; Table 1), specimen 72/4(98) yielded versus (deviation ∼3%), consistent with favorable statistical parameters: quality factor , fraction used , and mean deviation Table 2).
- -
- Under advanced oxidation ( after h; Table 1), specimen 72/4(138) demonstrated significant overestimation ( versus , ). This distortion correlates with compromised quality metrics: although remains formally acceptable, the reduced usable fraction () and elevated approach critical thresholds.
- -
- After brief annealing (12.5 h, ), specimens showed severe overestimation (), exemplified by specimen 72/4(153) yielding versus despite acceptable q-factor.
- -
- Under advanced oxidation (400-1300 h, ), results shifted to consistent underestimation (). Specimen 72/4(157) () returned , while 72/4(160) () showed identical underestimation (), both exhibiting degraded q-factors and elevated DRAT values.

4. Discussion
5. Conclusions
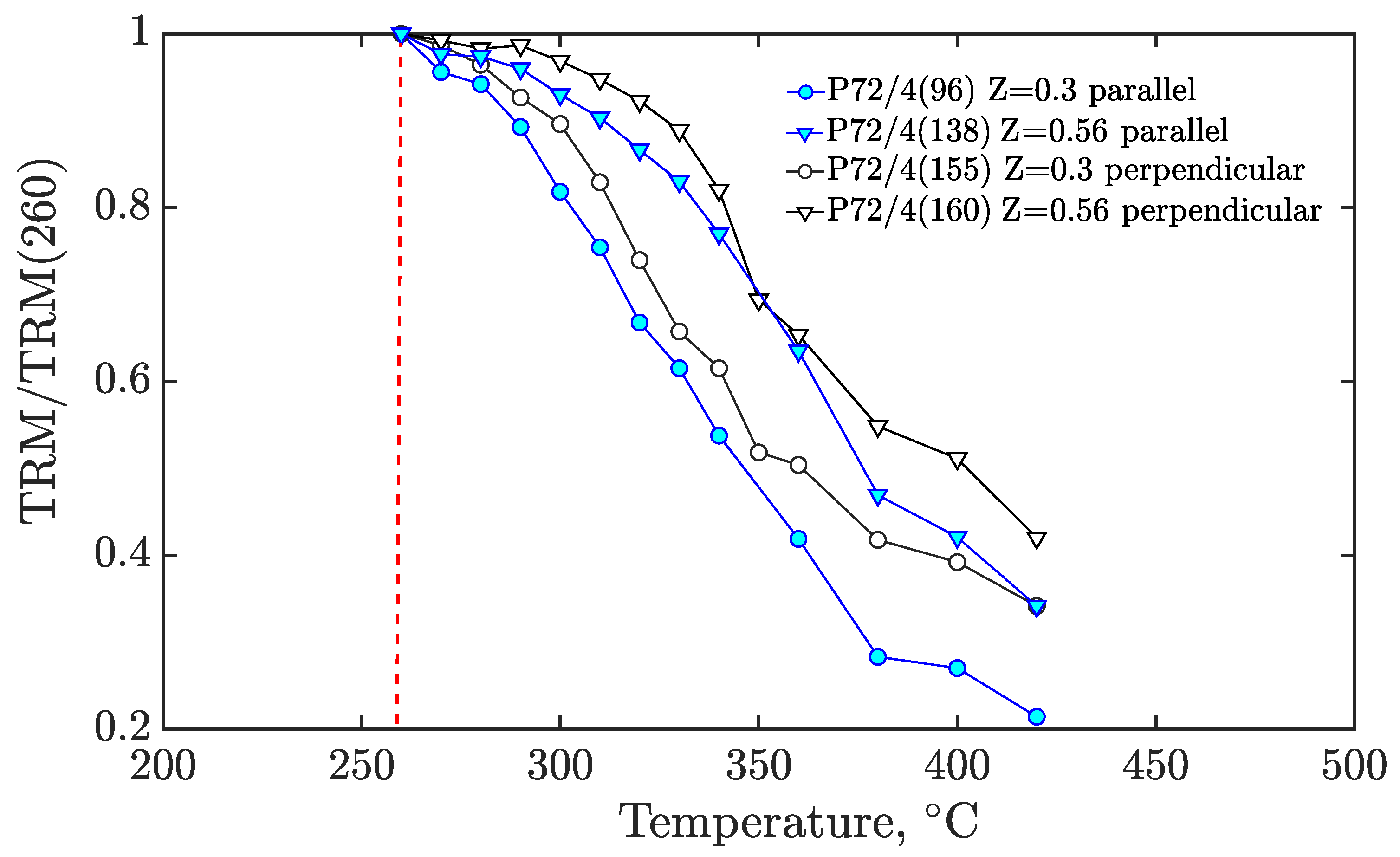
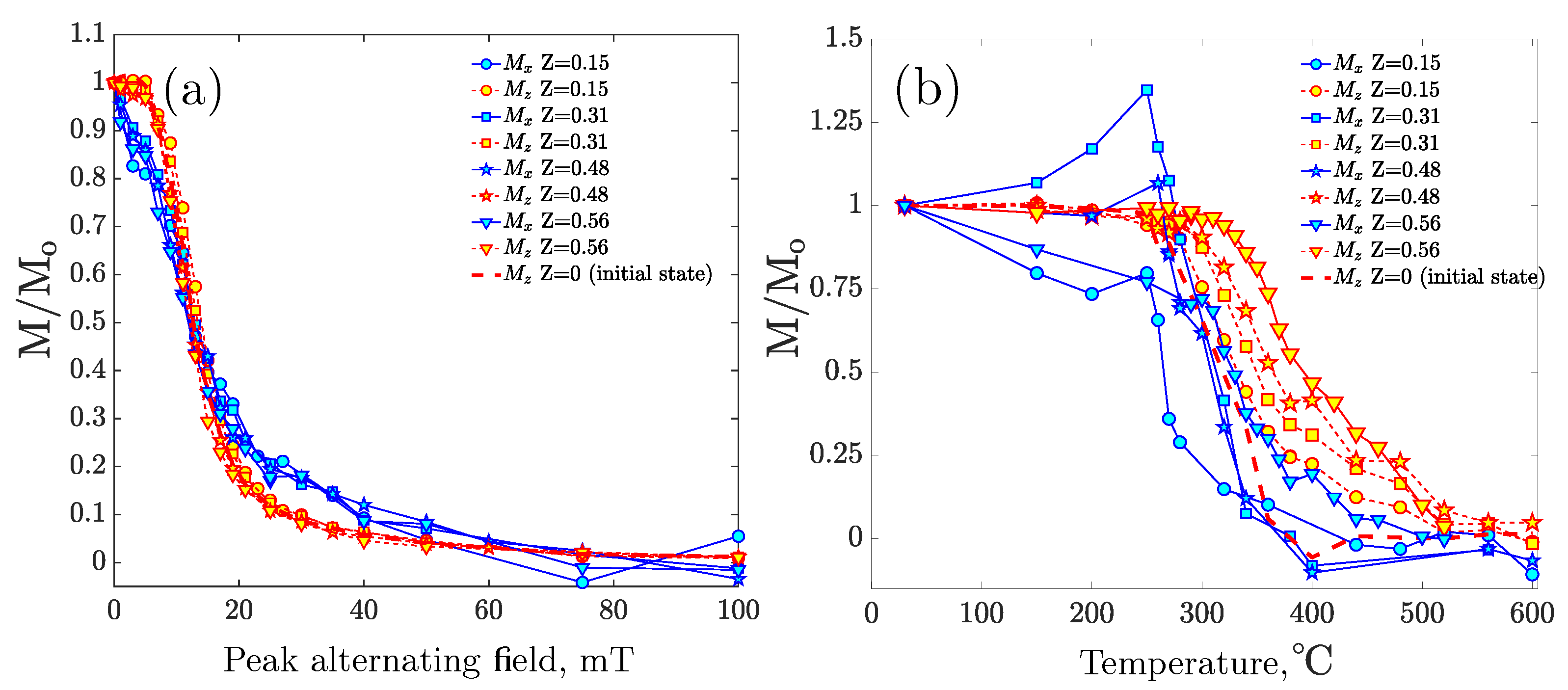
- CRM and TRM components exhibit distinct coercivity and unblocking temperature spectra, enabling their discrimination in orthogonal field configurations. The CRM component () demonstrated higher magnetic stability in fields >17-20 mT and broader unblocking temperature distributions compared to TRM (Figure 2).
- The Lowrie method confirmed the single-phase oxidation nature of titanomagnetite, as evidenced by smooth thermal demagnetization of three-component IRM without discrete unblocking temperatures characteristic of multi-phase systems (Figure 1).
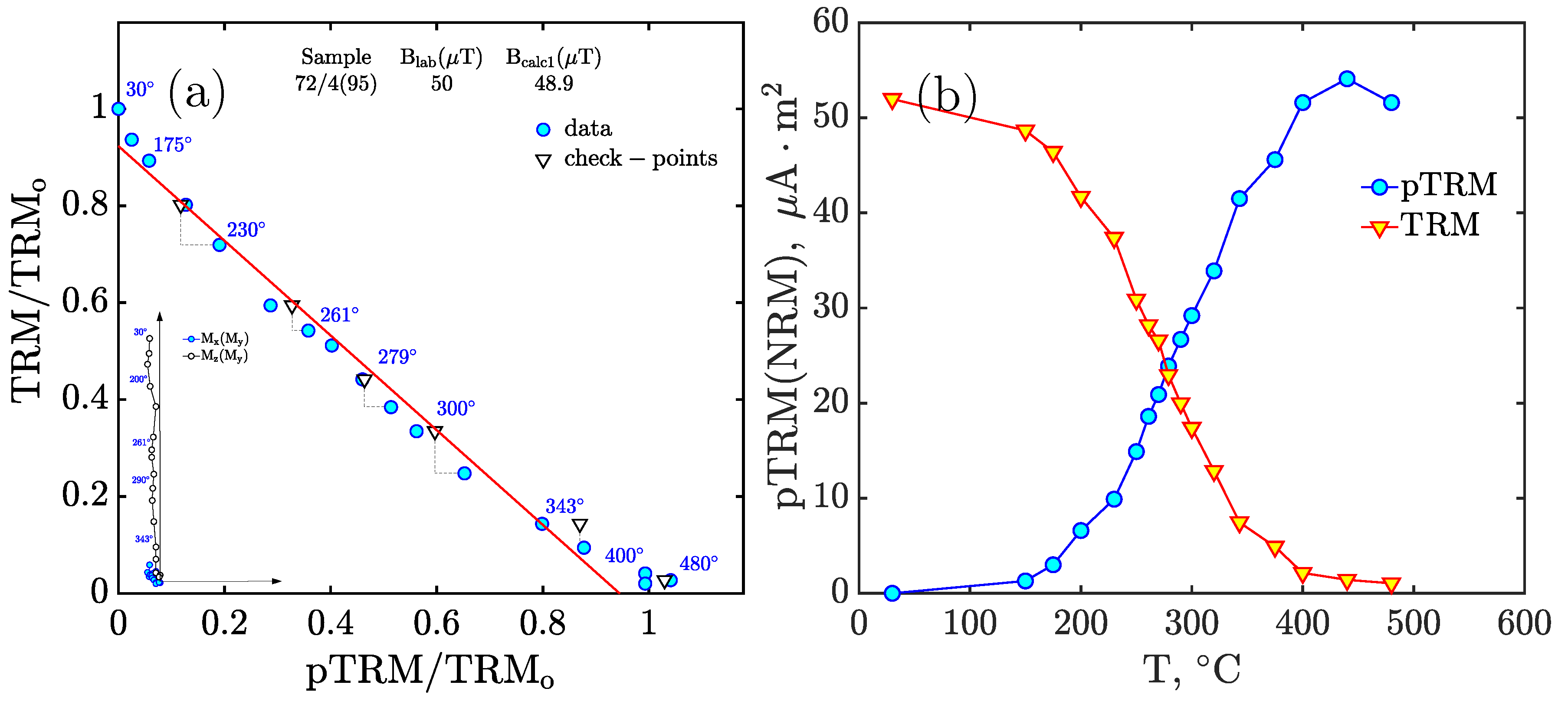
- Thellier-Coe analysis revealed bimodal Arai-Nagata behavior, with reliable TRM preservation below and chemical alteration artifacts above despite argon-atmosphere protocols.
- Magnetic field orientation during oxidation critically influenced paleointensity accuracy. Parallel field annealing preserved TRM fidelity ( vs. ), while perpendicular fields introduced systematic biases (up to 38 % overestimation and 20 % underestimation). This directional dependence arises from magnetostatic interactions in core-shell structured grains during single-phase oxidation.
- Marine basalt studies require stringent sample pre-selection for oxidation degree and directional field alignment during paleointensity experiments to mitigate CRM-TRM interference.
Author Contributions
Funding
Institutional Review Board Statement
Data Availability Statement
Acknowledgments
Conflicts of Interest
Sample Availability
Abbreviations
| NRM | Natural Remanent Magnetization |
| TRM | Thermoremanent Magnetization |
| CRM | Chemical Remanent Magnetization |
| TCRM | Thermochemical Remanent Magnetization |
| pTRM | partial Thermoremanent Magnetization |
| PSD | Pseudo-Single-Domain |
| AFD | Alternating Field Demagnetization |
| TD | Thermal Demagnetization |
| IRM | Isothermal Remanent Magnetization |
| SEM | Scanning Electron Microscopy |
| EDS | Energy-Dispersive X-ray Spectroscopy |
| WDS | Wavelength-Dispersive X-ray Spectroscopy |
| BSE | Backscattered Electrons |
| RAS | Russian Academy of Sciences |
| TMA | Thermomagnetic Analysis |
Appendix A.
Appendix A.1

References
- Dunlop, D.J.; Özdemir, Ö. Rock magnetism: fundamentals and frontiers; Number 3 in Cambridge Studies in Magnetism, Cambridge university press, 1997.
- O’Reilly, W. The identification of titanomaghemites: model mechanisms for the maghemitization and inversion processes and their magnetic consequences. Physics of the Earth and Planetary Interiors 1983, 31, 65–76. [Google Scholar] [CrossRef]
- Haggerty, S.E. Oxidation of opaque mineral oxides in basalts. Oxide minerals 1976, 3, Hg1–Hg100. [Google Scholar]
- Haggerty, S.E. Opaque mineral oxides in terrestrial igneous rocks. Oxide minerals. Short course notes 1976, 3. [Google Scholar]
- Johnson, H.; Merrill, R. Low-temperature oxidation of a titanomagnetite and the implications for paleomagnetism. Journal of Geophysical Research 1973, 78, 4938–4949. [Google Scholar] [CrossRef]
- Ozima, M.; Larson, E. Low-and high-temperature oxidation of titanomagnetite in relation to irreversible changes in the magnetic properties of submarine basalts. Journal of Geophysical Research 1970, 75, 1003–1017. [Google Scholar] [CrossRef]
- Geissman, J.W.; Van der Voo, R. Thermochemical remanent magnetization in Jurassic silicic volcanics from Nevada, USA. Earth and Planetary Science Letters 1980, 48, 385–396. [Google Scholar] [CrossRef]
- Bleil, U.; Petersen, N. Variations in magnetization intensity and low-temperature titanomagnetite oxidation of ocean floor basalts. Nature 1983, 301, 384–388. [Google Scholar] [CrossRef]
- Brown, K.; O’Reilly, W. The effect of low temperature oxidation on the remanence of TRM-carrying titanomagnetite Fe2.4Ti0.6O4. Physics of the Earth and Planetary Interiors 1988, 52, 108–116. [Google Scholar] [CrossRef]
- Tanaka, H.; Kono, M. Preliminary results and reliability of palaeointensity studies on historical and 14C dated Hawaiian lavas. Journal of geomagnetism and geoelectricity 1991, 43, 375–388. [Google Scholar] [CrossRef]
- Smirnov, A.; Tarduno, J. Thermochemical remanent magnetization in Precambrian rocks: Are we sure the geomagnetic field was weak? Journal of Geophysical Research: Solid Earth 2005, 110. [Google Scholar] [CrossRef]
- Draeger, U.; Prévot, M.; Poidras, T.; Riisager, J. Single-domain chemical, thermochemical and thermal remanences in a basaltic rock. Geophysical Journal International 2006, 166, 12–32. [Google Scholar] [CrossRef]
- Maksimochkin, V.I.; Tselebrovskiy, A.N. The influence of the chemical magnetization of oceanic basalts on determining the geomagnetic field paleointensity by the Thellier method. Moscow University Physics Bulletin 2015, 70, 566–576. [Google Scholar] [CrossRef]
- Maksimochkin, V.I.; Grachev, R.A.; Tselebrovskiy, A.N. Determination of the formation field of artificial CRM and pTRM by the Thellier method at different oxidation stages of natural titanomagnetite. Izvestiya, Physics of the Solid Earth 2020, 56, 413–424. [Google Scholar] [CrossRef]
- Gribov, S.; Dolotov, A.; Shcherbakov, V. Experimental modeling of the chemical remanent magnetization and Thellier procedure on titanomagnetite-bearing basalts. Izvestiya, Physics of the Solid Earth 2017, 53, 274–292. [Google Scholar] [CrossRef]
- Gribov, S.; Shcherbakov, V.; Aphinogenova, N. Magnetic properties of artificial CRM created on titanomagnetite-bearing oceanic basalts. In Proceedings of the Recent Advances in Rock Magnetism, Environmental Magnetism and Paleomagnetism: International Conference on Geomagnetism, Paleomagnetism and Rock Magnetism (Kazan, Russia). Springer, 2019, pp. 173–194.
- Gapeev, A.K.; Gribov, S.K. Kinetics of single-phase oxidation of titanomagnetite. Physics of the earth and planetary interiors 1990, 63, 58–65. [Google Scholar] [CrossRef]
- Nishitani, T.; Kono, M. Curie temperature and lattice constant of oxidized titanomagnetite. Geophysical Journal International 1983, 74, 585–600. [Google Scholar]
- Özdemir, Ö.; Dunlop, D.J. An experimental study of chemical remanent magnetizations of synthetic monodomain titanomaghemites with initial thermoremanent magnetizations. Journal of Geophysical Research: Solid Earth 1985, 90, 11513–11523. [Google Scholar] [CrossRef]
- Walderhaug, H.J.; Torsvik, T.H.; Løvlie, R. Experimental CRM production in a basaltic rock; evidence for stable, intermediate palaeomagnetic directions. Geophysical Journal International 1991, 105, 747–756. [Google Scholar] [CrossRef]
- Trukhin, V.I.; Bezaeva, N.S. Self-reversal of the magnetization of natural and synthesized ferrimagnets. Physics-Uspekhi 2006, 49, 489. [Google Scholar] [CrossRef]
- Krása, D.; Shcherbakov, V.P.; Kunzmann, T.; Petersen, N. Self-reversal of remanent magnetization in basalts due to partially oxidized titanomagnetites. Geophysical Journal International 2005, 162, 115–136. [Google Scholar] [CrossRef]
- Doubrovine, P.V.; Tarduno, J.A. Self-reversed magnetization carried by titanomaghemite in oceanic basalts. Earth and Planetary Science Letters 2004, 222, 959–969. [Google Scholar] [CrossRef]
- Maksimochkin, V.; Grachev, R.; Tselebrovskiy, A. Effect of Single-Phase Oxidation of Titanomagnetite in Basalts on the Determination of Intensity and Direction of Paleomagnetic Field. Izvestiya, Physics of the Solid Earth 2022, 58, 216–229. [Google Scholar] [CrossRef]
- Shcherbakov, V.; Lhuillier, F.; Gribov, S.; Tselmovich, V.; Aphinogenova, N. Potential bias in volcanic paleomagnetic records due to superimposed chemical remanent magnetization. Geophysical Research Letters 2024, 51, e2024GL109630. [Google Scholar] [CrossRef]
- Shreider, A.A.e.a. Detailed Geomagnetic Investigations of the Rift Zone in the Southern Red Sea (in russian). Oceanology 1982, 22, 439–445, In Russian. [Google Scholar]
- Bogdanov, Y.A.; Zhuleva, E.V.; Zonenshajn, L.P.; Matveenkov, V.V.; Mirlin, E.G.; Sagilevich, A.M.; Sborschikov, I.M. Atlas of Underwater Photographs of the Red Sea Rift (in russian); Nauka, 1983; p. 139.
- Dunlop, D.J. Theory and application of the Day plot (Mrs/Ms versus Hcr/Hc) 1. Theoretical curves and tests using titanomagnetite data. Journal of Geophysical Research: Solid Earth 2002, 107, EPM–4. [Google Scholar] [CrossRef]
- Gribov, S.; Shcherbakov, V.; Aphinogenova, N. Magnetic properties of artificial CRM created on titanomagnetite-bearing oceanic basalts. In Proceedings of the Recent Advances in Rock Magnetism, Environmental Magnetism and Paleomagnetism: International Conference on Geomagnetism, Paleomagnetism and Rock Magnetism (Kazan, Russia). Springer, 2018, pp. 173–194.
- Lowrie, W. Identification of ferromagnetic minerals in a rock by coercivity and unblocking temperature properties. Geophysical research letters 1990, 17, 159–162. [Google Scholar] [CrossRef]
- Thellier, E. Sur l’intensite du shamp magnetique terrestre dans le passe historique et geologique. Ann. Geophys. 1959, 15, 285–376. [Google Scholar]
- Coe, R.S. The determination of paleo-intensities of the Earth’s magnetic field with emphasis on mechanisms which could cause non-ideal behavior in Thellier’s method. Journal of geomagnetism and geoelectricity 1967, 19, 157–179. [Google Scholar] [CrossRef]
- Selkin, P.A.; Tauxe, L. Long-term variations in palaeointensity. Philosophical Transactions of the Royal Society of London. Series A: Mathematical, Physical and Engineering Sciences 2000, 358, 1065–1088. [Google Scholar] [CrossRef]






| tan, | CRM‖TRM | CRM⊥TRM | κ0⋅10−2, | Bc, | Bcr/Bc | Msa | Mrs/Ms | Tc1b, | Tc2b, | Zc | ||
| hours | Mx, A/m |
Mz, A/m |
Mx, A/m |
Mz, A/m |
SI/g | μT | A/m | °C | °C | |||
| 0 | – | 30* | – | 28* | 0.54 | 17.3 | 1.28 | 2400 | 0.37 | 260 | 265 | 0 |
| 12.5 | – | 33.8 | 2.8 | 24.4 | 0.59 | 17.4 | 1.28 | 2520 | 0.36 | 301 | 260 | 0.15 |
| 100 | – | 32.3 | 3.1 | 22.7 | 0.65 | 16.4 | 1.29 | 2730 | 0.35 | 340 | 267 | 0.31 |
| 400 | – | 33.3 | 4.4 | 21.9 | 0.73 | 14.4 | 1.29 | 2820 | 0.30 | 350–415 | 269 | 0.48 |
| 1300 | – | 33.9 | 6.1 | 21.6 | 0.83 | 14.3 | 1.34 | 3030 | 0.31 | 370–435 | 285 | 0.56 |
| Sample | tan | Field | Z | ΔT | Bcalc1 | N | g | f | |b| | σ(b) | q | DRATmean, |
| number | hours | orientation | °C | μT | % | |||||||
| 95 | 0 | – | 0 | 20–400 | 48.9 | 15 | 0.92 | 0.96 | 0.98 | 0.0447 | 19.25 | 2.2 |
| 92 | 12.5 | ‖ | 0.15 | 260–360 | 51.8 | 10 | 0.86 | 0.59 | 1.04 | 0.0221 | 23.89 | 1.7 |
| 153 | 12.5 | ⊥ | 0.15 | 260–360 | 69.2 | 11 | 0.87 | 0.58 | 1.38 | 0.0239 | 29.37 | 6.4 |
| 96 | 100 | ‖ | 0.31 | 260–360 | 52.5 | 10 | 0.87 | 0.55 | 1.05 | 0.0142 | 35.59 | 1.0 |
| 155 | 100 | ⊥ | 0.31 | 260–360 | 51.4 | 11 | 0.86 | 0.50 | 1.03 | 0.0275 | 15.97 | 3.4 |
| 98 | 400 | ‖ | 0.48 | 260–360 | 48.5 | 10 | 0.84 | 0.49 | 0.97 | 0.0180 | 22.38 | 3.6 |
| 157 | 400 | ⊥ | 0.48 | 260–360 | 41.2 | 11 | 0.84 | 0.40 | 0.82 | 0.0226 | 12.33 | 6.9 |
| 138 | 1300 | ‖ | 0.56 | 260–360 | 60.2 | 10 | 0.80 | 0.36 | 1.20 | 0.0162 | 21.26 | 5.5 |
| 160 | 1300 | ⊥ | 0.56 | 260–360 | 41.2 | 11 | 0.79 | 0.35 | 0.82 | 0.0142 | 15.89 | 7.2 |
Disclaimer/Publisher’s Note: The statements, opinions and data contained in all publications are solely those of the individual author(s) and contributor(s) and not of MDPI and/or the editor(s). MDPI and/or the editor(s) disclaim responsibility for any injury to people or property resulting from any ideas, methods, instructions or products referred to in the content. |
© 2025 by the authors. Licensee MDPI, Basel, Switzerland. This article is an open access article distributed under the terms and conditions of the Creative Commons Attribution (CC BY) license (http://creativecommons.org/licenses/by/4.0/).
