Submitted:
04 August 2025
Posted:
05 August 2025
You are already at the latest version
Abstract
Keywords:
1. Introduction
2. Methods
2.1. DTI Images
2.2. Modeling of the Heart from DTI
2.3. The Weight Effective Sphere (WES) Filter
- 1-
- Take the Mean value of all fiber directions included in a sphere of radius R and current element as the sphere center (excluding current fiber).
- 2-
- Derive the SD for all fibers inside the sphere.
- 3-
- If the current fiber direction is out the zone of the Effective Elements (Mean ± C*SD), then it is considered an out of order fiber and its direction is readjusted to the Mean direction of the Effective Elements only.
- 4-
- Store the direction in a new map.
- 1-
- Take the Mean value of all fiber directions included in a sphere or radius R and current fiber as the sphere center.
- 2-
- Derive the SD for all fibers inside the sphere.
- 3-
- Consider fibers of Effective Elements (Mean ± C*SD) and recalculate their Mean by giving a larger weight to the current fiber (which is in the center of the sphere) according to the number of Effective Elements inside the sphere.
- 4-
- Store direction in a new map.
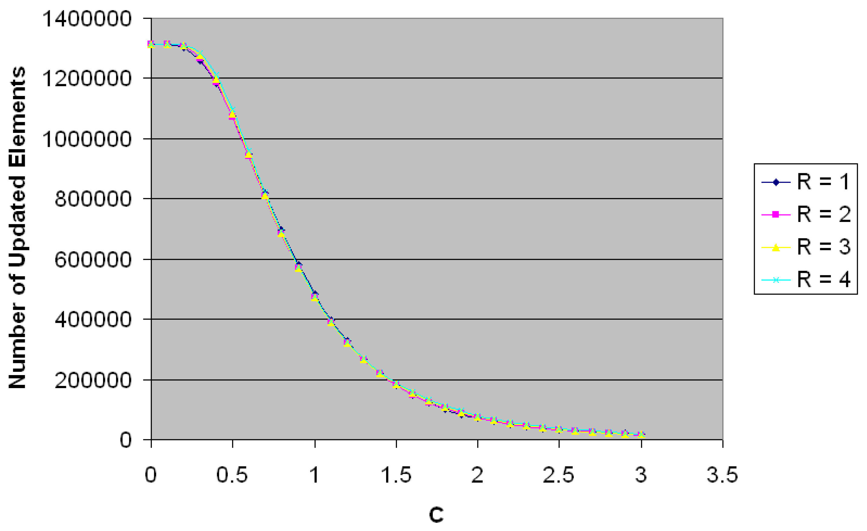
3. Results
4. Conclusion
Acknowledgments
References
- A.C. Guyton "Human Physiology and Mechanisms of Diseases" 5th Ed., Saunders Co., (1992), ISBN: 0-7216-3961-5.
- M.J. Kocica, A.F. Corno, F. Carreras-Costa, M. Ballester-Rodes, M.C. Moghbel, C.N.C. Cueva, V. Lackovic, V.I. Kanjuh, F. Torrent-Guasp "The helical ventricular myocardial band: global, three-dimensional, functional architecture of the ventricular myocardium" Euro. J. Cardio-thoracic Surg., (2006); 29S: S21—S40.
- D.D. Streeter, H.M. Spotnitz, D.P. Patel, J. Ross and E.H. Sonnenblick "Fibre orientation in the canine left ventricle during diastole and systole". Circ Res., (1969); 24(3): 339-347.
- F.P. Mall "On The Muscular Architecture of the Ventricles of the Human Heart" The American Journal of Anatomy (1911); vol. 11(3):211-266.
- R.F. Shaner "On the Mascular Architecture of the Ventricles of the Alligator Heart, with a note on the Formation of the Interventricular Septum of Birds and Mammals" The Ana. Rec. J., (1924); 29(1):21-32.
- J.M. Peyrat, M. Sermesant, X. Pennec, H. Delingette, C. Xu, E. McVeigh and N. Ayache "Statistical Comparison of Cardiac Fibre Architectures", FIMH (2007); 4466: 413-423.
- L. Zhukov, A.H. Barr "Heart-Muscle Fibre Reconstruction from Diffusion Tensor MRI" VIS 2003. IEEE, (2003); Conf. Proc.: 597-602.
- M. McLean and J. Prothero "Determination of Relative Fibre Orientation in Heart Muscle: Methodological Problems", Wiley InterScience Journal (1992); 232(4): 459-465.
- F. Torrent-Guasp, M.J. Kocica, A.F. Corno, M. Komeda, F. Carreras-Costa, A. Flotats, J. Cosin-Aguillar and H. Wen "Towards new understanding of the heart structure and function", European Journal of Cardio-thoracic Surgery (2005); 27:191–201. [CrossRef]
- B. Pansky "Dynamic Anatomy and Physiology", Macmillan Pub. co. (1975), ISBN: 0-02-390740-1.
- J.W. Hurst, R.B. Logue, R.C. Schlant and N.K.Wenger "The Heart", 3rd Ed., Mc Graw-Hill (1974), ISBN: 0-07-031471-3.
- J. Clancy and A.J. Mc Vicar "Physiology and Anatomy: A Homeostatic Approach", 2nd Ed., Arnold (2002), ISBN: 0-340-76237-X.
- P.R. Wheater, H.G. Burkitt and V.G. Daniels "Functional Histology: A Text and ColourAtlas" 2nd Ed., Longman Group UK Ltd., (1987), ISBN: 0-443-02341-7.
- G.J. Tortora and B. Derrickson "Principles of Anatomy and Physiology", 11th Ed., John Wiley & Sons, Inc. (2006), ISBN: 0-471-68934-3.
- R.G. Kessel "Basic Medical Histology: The Biology of Cells, Tissues, and Organs", Oxford University Press, Inc. (1998), ISBN: 0-19-509528-6.
- C. Brooker "Human Structure and Function", 2nd Ed., Mosby Int. Ltd. (1998), ISBN: 0-7234-2661-9.
- S. Standrint, H. Ellis, J.C. Healy, D. Johnson, A. Williams, P. Collins and C. Wigley "Gray's Anatomy",39th Ed., Elsevier (2005), ISBN: 044-07168-3.
- E.P. Widmaier, H. Raff and K.T.Strang "Vander's Human Physiology: The mechanisms of Body Function", 10th ED., Mc Graw Hill (2006), ISBN: 0072827416.
- Elaff, I. “Modeling of the Human Heart in 3D Using DTI Images”, World Journal of Advanced Engineering Technology and Sciences, 2025, 15(02), 2450-2459. [CrossRef]
- El-Aff, I.A.I. "Extraction of human heart conduction network from diffusion tensor MRI" The 7th IASTED International Conference on Biomedical Engineering, 217-22.
- Elaff, I. “Modeling the Human Heart Conduction Network in 3D using DTI Images”, World Journal of Advanced Engineering Technology and Sciences, 2025, 15(02), 2565–2575. [CrossRef]
- Elaff, I. “Modeling of The Excitation Propagation of The Human Heart”, World Journal of Biology Pharmacy and Health Sciences, 2025, 22(02): 512–519. [CrossRef]
- The Center for Cardiovascular Bioinformatics and Modeling, John Hopkins University Site "http://www.ccbm.jhu.edu/research/DTMRIDS.php".
- U.S. National Library of Medicine “http://www.nlm.nih.gov/”.






Disclaimer/Publisher’s Note: The statements, opinions and data contained in all publications are solely those of the individual author(s) and contributor(s) and not of MDPI and/or the editor(s). MDPI and/or the editor(s) disclaim responsibility for any injury to people or property resulting from any ideas, methods, instructions or products referred to in the content. |
© 2025 by the authors. Licensee MDPI, Basel, Switzerland. This article is an open access article distributed under the terms and conditions of the Creative Commons Attribution (CC BY) license (http://creativecommons.org/licenses/by/4.0/).