Submitted:
30 July 2025
Posted:
31 July 2025
You are already at the latest version
Abstract
Keywords:
1. Introduction
2. Methods
2.1. Data Source
2.2. Study Population
2.3. COVID-19 Vaccine Group
2.4. Without COVID-19 Vaccine Group
2.5. Outcomes
2.6. Additional Variables
2.7. Statistical Analysis
3. Results
4. Discussion
5. Strengths and Limitations
6. Conclusions
Author Contributions
Funding
Data sharing statement
Declaration of competing interests:
Acknowledgments
References
- Hu PJ, Chen CH, Wong CS, et al. Influenza vaccination reduces incidence of peripheral arterial occlusive disease in elderly patients with chronic kidney disease. Sci Rep. 2021;11(1):4847. [CrossRef]
- Hur DJ, Kizilgul M, Aung WW, et al. Frequency of coronary artery disease in patients undergoing peripheral artery disease surgery. Am J Cardiol. 2012;110(5):736-740. [CrossRef]
- Lawall H, Huppert P, Espinola-Klein C, et al. The diagnosis and treatment of peripheral arterial vascular disease. Dtsch Arztebl Int. 2016;113(43):729-736. [CrossRef]
- Zhu N, Zhang D, Wang W, et al. A novel coronavirus from patients with pneumonia in China, 2019. N Engl J Med. 2020;382(8):727-733. [CrossRef]
- Xie B, Semaan DB, Binko MA, et al. COVID-associated acute limb ischemia during the Delta surge and the effect of vaccines. J Vasc Surg. 2023;77(4):1165-1173.e1. [CrossRef]
- Bellosta R, Luzzani L, Natalini G, et al. Acute limb ischemia in patients with COVID-19 pneumonia. J Vasc Surg. 2020;72(6):1864-1872. [CrossRef]
- Fournier M, Faille D, Dossier A, et al. Arterial thrombotic events in adult inpatients with COVID-19. Mayo Clin Proc. 2021;96(2):295-303. [CrossRef]
- Bilaloglu S, Aphinyanaphongs Y, Jones S, et al. Thrombosis in hospitalized patients with COVID-19 in a New York City health system. JAMA. 2020;324(8):799-801. [CrossRef]
- Indes JE, Koleilat I, Hatch AN, et al. Early experience with arterial thromboembolic complications in patients with COVID-19. J Vasc Surg. 2021;73(2):381-389.e1. [CrossRef]
- Libby P, Lüscher T. COVID-19 is, in the end, an endothelial disease. Eur Heart J. 2020;41(32):3038-3044. [CrossRef]
- Silingardi R, Gennai S, Migliari M, et al. Acute limb ischemia in COVID-19 patients: Could aortic floating thrombus be the source of embolic complications? J Vasc Surg. 2020;72(3):1152-1153. [CrossRef]
- Arbelaez DG, Sanchez GI, Gutierrez AG, et al. COVID-19-related aortic thrombosis: A report of four cases. Ann Vasc Surg. 2020;67:10-13. [CrossRef]
- Sánchez JB, Alcalde JDC, Isidro RR, et al. Acute limb ischemia in a Peruvian cohort infected by COVID-19. Ann Vasc Surg. 2021;72:196-204. [CrossRef]
- Goldman IA, Ye K, Scheinfeld MH, et al. Lower-extremity arterial thrombosis associated with COVID-19 is characterized by greater thrombus burden and increased rate of amputation and death. Radiology. 2020;297(2):E263-E269. [CrossRef]
- Cantador E, Nunez A, Sobrino P, et al. Incidence and consequences of systemic arterial thrombotic events in COVID-19 patients. J Thromb Thrombolysis. 2020;50(3):543-547. [CrossRef]
- Gonzalez-Fajardo JA, Ansuategui M, Romero C, et al. Mortality of COVID-19 patients with vascular thrombotic complications. Med Clin (Engl Ed). 2021;156(3):112-117. [CrossRef]
- Ilonzo N, Rao A, Safir S, et al. Acute thrombotic manifestations of coronavirus disease 2019 infection: Experience at a large New York City health care system. J Vasc Surg. 2021;73(3):789-796. [CrossRef]
- Hu B, Huang S, Yin L. The cytokine storm and COVID-19. J Med Virol. 2021;93(1):250-256.
- Vahia IV, Jeste DV, Charles F, et al. Older adults and the mental health effects of COVID-19. JAMA. 2020;324(22):2253-2254. [CrossRef]
- Kloka FA, Kruip MJHA, van der Meer NJM, et al. Confirmation of the high cumulative incidence of thrombotic complications in critically ill ICU patients with COVID-19: An updated analysis. Thromb Res. 2020;191:148-150. [CrossRef]
- Ackermann M, Verleden SE, Kuehnel M, et al. Pulmonary vascular endothelialitis, thrombosis, and angiogenesis in COVID-19. N Engl J Med. 2020;383(2):120-128. [CrossRef]
- Nopp S, Moik F, Jilma B, et al. Risk of venous thromboembolism in patients with COVID-19: A systematic review and meta-analysis. Res Pract Thromb Haemost. 2020;4(7):1178-1191. [CrossRef]
- Beyerstedt S, Casaro EB, Rangel ÉB. COVID-19: Angiotensin-converting enzyme 2 (ACE2) expression and tissue susceptibility to SARS-CoV-2 infection. Eur J Clin Microbiol Infect Dis. 2021;40(5):905-919. [CrossRef]
- Mohammed M, Berdasco C, Lazartigues E. Brain angiotensin converting enzyme-2 in central cardiovascular regulation. Clin Sci (Lond). 2020;134(19):2535-2547. [CrossRef]
- Wang W, Wang CY, Wang SI, Wei JCC. Long-term cardiovascular outcomes in COVID-19 survivors among non-vaccinated populations: A retrospective cohort study from the TriNetX US collaborative networks. EClinicalMedicine. 2022;53:101619. [CrossRef]
- Lu Y, Matuska K, Nadimpalli G, et al. Stroke risk after COVID-19 bivalent vaccination among US older adults. JAMA. 2024;331(11):938-950. [CrossRef]
- Etkin Y, Conway AM, Silpe J, et al. Acute arterial thromboembolism in patients with COVID-19 in the New York City area. Ann Vasc Surg. 2021;70:290-294. [CrossRef]


| Before PSM | After PSM | |||||
| With vaccine | Without vaccine | SMD | With vaccine | Without vaccine | SMD | |
| N | 11956 | 40324 | 11822 | 11822 | ||
| Age at index date | 66.5±14.1 | 65.7±14.9 | 0.0554 | 66.5±14.1 | 66.4±14.3 | 0.0039 |
| Sex | ||||||
| Female | 6652(55.6%) | 21284(52.8%) | 0.0573 | 6569(55.6%) | 6608(55.9%) | 0.0066 |
| Male | 4900(41.0%) | 15813(39.2%) | 0.0361 | 4849(41.0%) | 4813(40.7%) | 0.0062 |
| Ethnicity | ||||||
| Not Hispanic or Latino | 10448(87.4%) | 30345(75.3%) | 0.3152 | 10321(87.3%) | 10338(87.4%) | 0.0043 |
| Hispanic or Latino | 832(7.0%) | 2368(5.9%) | 0.0443 | 825(7.0%) | 821(6.9%) | 0.0013 |
| Race | ||||||
| White | 9360(78.3%) | 29012(71.9%) | 0.1470 | 9252(78.3%) | 9261(78.3%) | 0.0018 |
| Black or African American | 1374(11.5%) | 4708(11.7%) | 0.0057 | 1370(11.6%) | 1372(11.6%) | 0.0005 |
| Asian | 299(2.5%) | 527(1.3%) | 0.0874 | 280(2.4%) | 291(2.5%) | 0.0061 |
| Socioeconomic and psychosocial circumstances | 2068(17.3%) | 4040(10.0%) | 0.2131 | 2005(17.0%) | 2012(17.0%) | 0.0016 |
| BMI | ||||||
| <30.0 | 5946(49.7%) | 16350(40.5%) | 0.1854 | 5839(49.4%) | 5926(50.1%) | 0.0147 |
| 30.0-34.9 | 2891(24.2%) | 8244(20.4%) | 0.0898 | 2850(24.1%) | 2800(23.7%) | 0.0099 |
| ≧35.0 | 2536(21.2%) | 7276(18.0%) | 0.0798 | 2503(21.2%) | 2488(21.0%) | 0.0031 |
| Lifestyle | ||||||
| Nicotine dependence | 3269(27.3%) | 5213(12.9%) | 0.3654 | 3139(26.6%) | 3115(26.3%) | 0.0046 |
| Alcohol related disorders | 716(6.0%) | 1581(3.9%) | 0.0954 | 690(5.8%) | 689(5.8%) | 0.0004 |
| Baseline medical utilization | ||||||
| Preventive Medicine Services | 1094(9.2%) | 2359(5.9%) | 0.1255 | 1055(8.9%) | 1022(8.6%) | 0.0099 |
| Emergency Department Services | 3666(30.7%) | 13376(33.2%) | 0.0538 | 3644(30.8%) | 3597(30.4%) | 0.0086 |
| Inpatient Encounter | 3425(28.6%) | 11459(28.4%) | 0.0051 | 3402(28.8%) | 3353(28.4%) | 0.0092 |
| Baseline co-morbidity | ||||||
| Hypertensive diseases | 8672(72.5%) | 26705(66.2%) | 0.1371 | 8555(72.4%) | 8576(72.5%) | 0.0040 |
| Disorders of lipoprotein metabolism | 7247(60.6%) | 21973(54.5%) | 0.1241 | 7140(60.4%) | 7121(60.2%) | 0.0033 |
| Diabetes mellitus | 5143(43.0%) | 15269(37.9%) | 0.1051 | 5065(42.8%) | 5015(42.4%) | 0.0086 |
| T2DM with circulatory complications | 1318(11.0%) | 4091(10.1%) | 0.0286 | 1302(11.0%) | 1255(10.6%) | 0.0128 |
| T1DM with circulatory complications | 31(0.3%) | 162(0.4%) | 0.0248 | 31(0.3%) | 33(0.3%) | 0.0033 |
| Chronic lower respiratory diseases | 4236(35.4%) | 12529(31.1%) | 0.0926 | 4156(35.2%) | 4113(34.8%) | 0.0076 |
| Ischemic heart diseases | 4806(40.2%) | 14830(36.8%) | 0.0703 | 4735(40.1%) | 4735(40.1%) | 0.0000 |
| Heart failure | 3108(26.0%) | 9321(23.1%) | 0.0670 | 3059(25.9%) | 2978(25.2%) | 0.0157 |
| Cerebrovascular diseases | 2712(22.7%) | 7611(18.9%) | 0.0940 | 2667(22.6%) | 2611(22.1%) | 0.0114 |
| Chronic kidney disease (CKD) | 3389(28.3%) | 10433(25.9%) | 0.0556 | 3346(28.3%) | 3323(28.1%) | 0.0043 |
| Diseases of liver | 1775(14.8%) | 4037(10.0%) | 0.1469 | 1727(14.6%) | 1656(14.0%) | 0.0172 |
| Osteoporosis without current pathological fracture | 1449(12.1%) | 3238(8.0%) | 0.1362 | 1389(11.7%) | 1357(11.5%) | 0.0084 |
| Osteoporosis with current pathological fracture | 121(1.0%) | 271(0.7%) | 0.0372 | 114(1.0%) | 111(0.9%) | 0.0026 |
| Rheumatoid arthritis with rheumatoid factor | 258(2.2%) | 508(1.3%) | 0.0693 | 241(2.0%) | 242(2.0%) | 0.0006 |
| Other rheumatoid arthritis | 644(5.4%) | 1555(3.9%) | 0.0729 | 619(5.2%) | 614(5.2%) | 0.0019 |
| Non-pressure chronic ulcer of lower limb | 474(4.0%) | 1595(4.0%) | 0.0005 | 470(4.0%) | 461(3.9%) | 0.0039 |
| Gangrene | 191(1.6%) | 361(0.9%) | 0.0633 | 174(1.5%) | 174(1.5%) | 0.0000 |
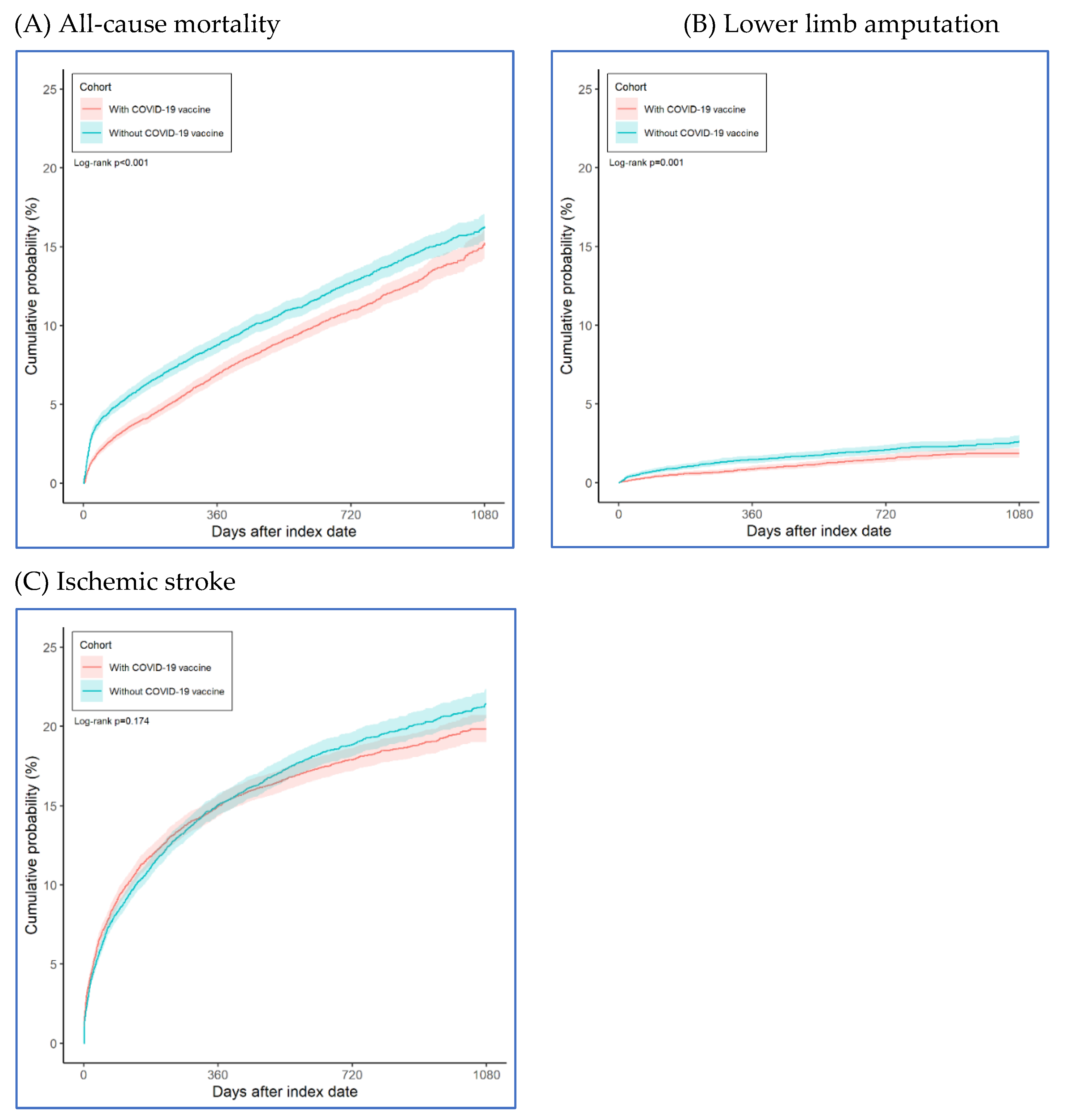
| Cumulative probability (95% CI) ofpsychiatric disorders | |||||
| Event | 1-year | 2-year | 3-year | Hazard ratio (95% CI) | |
| Risk of all-cause mortality | |||||
| With vaccine cohort (n=11,822) | 1,363 | 6.9% (7.4%-6.5%) | 10.9% (11.5%-10.4%) | 15.3% (16.2%-14.4%) | 0.857 (0.796-0.922) |
| Without vaccine cohort (n=11,822) | 1,494 | 8.8% (9.3%-8.2%) | 12.7% (13.4%-12.1%) | 16.3% (17.1%-15.5%) | Reference |
| Risk of lower limb amputation | |||||
| With vaccine cohort (n=11,822) | 174 | 0.9% (1.1%-0.7%) | 1.5% (1.8%-1.3%) | 1.9% (2.2%-1.6%) | 0.716 (0.587-0.873) |
| Without vaccine cohort (n=11,822) | 226 | 1.5% (1.7%-1.2%) | 2.1% (2.4%-1.8%) | 2.6% (3.0%-2.3%) | Reference |
| Risk of ischemic stroke | |||||
| With vaccine cohort (n=11,822) | 2,056 | 15.0% (15.6%-14.3%) | 17.9% (18.6%-17.2%) | 19.8% (20.7%-19.0%) | 0.958 (0.902-1.019) |
| Without vaccine cohort (n=11,822) | 2,041 | 15.1% (15.8%-14.4%) | 18.9% (19.6%-18.1%) | 21.4% (22.3%-20.5%) | Reference |
| Author | Covid-19 Patient | ALI patient | age | sex | Study population | Motality | Amputation rate |
| Juan Bautista S_anchez et al.,2021 [13] | 30 | 60 | Male:76.6% | Six hospital in Peruvian | 23.3%, (all ARDS) | 9, 30% | |
| Bellosta et al.,2020 [6] | 20 | 75 | Male:90% | Italian | 8, 40%,(4ARDS, 2MOF, 1AMI, 1ARF) | 1 | |
| Seda Bilaloglu et al.,2020 [8] | 3334 | Venous:207 Arterial:365 |
64 | Male:60.4% | 4 hospital in New York City | 24.5% | |
| Goldman et al.,2020 [14] | 16 | 15, 94% | 70 | Male:56% Female:7, 44% |
Montefiore Medical Center | 38% | 25% |
| Estefania Cantador et al.,2020 [15] | 14 | 3 | 73 | Male:78.6% Femael:3, 21.4% |
Spain | 28.6% | |
| Jose A. Gonzalez-Fajardoa et al.,2020 [16] | 2943 | 106 | 65 | Male:72, 67.92% | Spain | 25 (9PAOD, 8stroke, 1DVT, 7PE), 23.6% | 1 |
| Ilonzo et al.,2021 [17] | 21(arterial :76.2%) | 64.6 | Male:52.4% | New York | 33.3%, (4 hypoxic respiratory failure) | ||
| Jeffrey E. Indes et al.,2021 [9] | 424 | 15 | 64 | Male:10, 66.7% | New York City | 40% | 4 |
| Yana Etkin., et al.2021 [27] | 12630 | 49 | 67 | Male:37, 76% | United States | 21, 43% | 5, 10% |
Disclaimer/Publisher’s Note: The statements, opinions and data contained in all publications are solely those of the individual author(s) and contributor(s) and not of MDPI and/or the editor(s). MDPI and/or the editor(s) disclaim responsibility for any injury to people or property resulting from any ideas, methods, instructions or products referred to in the content. |
© 2025 by the authors. Licensee MDPI, Basel, Switzerland. This article is an open access article distributed under the terms and conditions of the Creative Commons Attribution (CC BY) license (http://creativecommons.org/licenses/by/4.0/).