Submitted:
26 July 2025
Posted:
31 July 2025
You are already at the latest version
Abstract
Keywords:
III. Introduction
- Fuel Mass Constraints: The necessity of carrying reaction mass limits long-range capability.
- Thermodynamic Inefficiencies: High entropy losses in chemical systems reduce usable energy.
- Non-Optimal Trajectory Control: External forces must be applied continuously or in bursts, often resulting in energy-inefficient orbital transfers.
A Theoretical Motivation for Curvature-Based Propulsion
B.NEXUS: A Symbolic Discovery Framework for Fundamental Physics
- Differential Geometry: Metrics, connections, and curvature tensors.
- Variational Calculus: Lagrangian and Hamiltonian dynamics derived from action principles.
- Symmetry Analysis: Noether currents, Lie group invariance.
- Symbolic Equation Synthesis: Directed Acyclic Graph (DAG) representations of symbolic expressions optimized under physical constraints.
- The derivation of the Unified Emergent Field Equation (UEFE), a symbolic unification of general relativity and quantum field theory incorporating nonlocal and fractional dynamics.
- A candidate resolution to the Yang-Mills mass gap, by symbolically constructing gauge-invariant Lagrangians with positive-definite spectra.
- Discovery of memory-coupled evolution equations (MEUWE) with applications in quantum control and protein folding dynamics.
C.Objective of This Paper
- Construct symbolic metrics and field equations enabling CIGT.
- Ensure physical viability via conservation laws and energy conditions.
- Simulate observable consequences (e.g., test particle paths, field flow) and propose analog experimental realizations.
Related Work
A. Geodesic Motion in General Relativity
B. Warp Metrics and Spacetime Engineering
C. Effective Curvature and Analog Gravity
D. Electromagnetic and Field-Induced Guidance
is induced by field geometry. Though promising, such mechanisms are bound to particular field theories and lack a generalized symbolic derivation engine.E. Symbolic AI and Equation Discovery
F. Positioning of Our Contribution
- Derives geodesic motion laws from synthetic or engineered curvature fields.
- Proposes field-space configurations that induce transport without reaction mass or applied force.
- Integrates variational principles, conservation laws, and symmetry constraints.
- Provides symbolic expressions analyzable under limits and experimental testability.
V NEXUS Framework
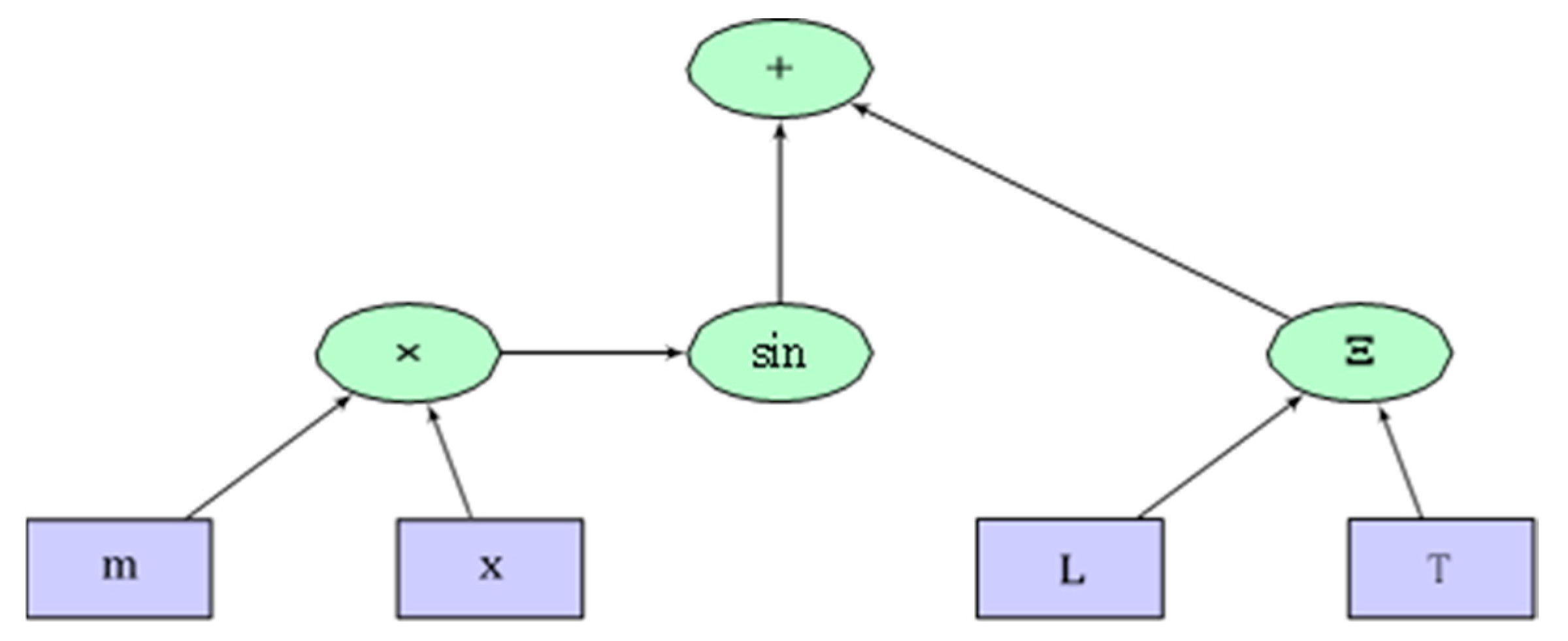
A. Symbolic Representation and Candidate Generation
- V={v1,v2,…,vN} is a set of terminal nodes (e.g., constants and variables such as m, L, T, X).
- O={o1,o2,…,oM} comprises operator nodes (e.g., +, -, ×, ÷, sin, cos, exp).
- G⊆(V∪O)2 encodes the syntactic structure.
B. Exploration of the Infinite Candidate Space
C. Constraint Enforcement and Cost Metrics
,
D. Evolutionary Optimization and Reinforcement Learning

E. Experimental Validation Integration
that is compared against benchmark data yref(t).


quantifies the complexity of the experimental protocol.
is the RMSE between (hat{y}) and (y^{ extrm{ref}}).
is the standard deviation over repeated simulations.
F.Additional Workflow Diagram

G. Visualization and Comparative Analysis

VI Symbolic Workflow for Geometry-Induced Transport
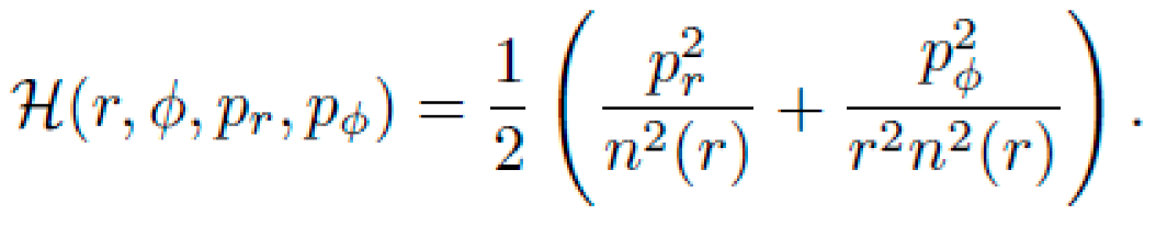
A. Problem Setup: Manifold and Constraints
B. Symbolic Optimization Objective
- Energy Conservation:
=0. - Symmetry Conditions: Invariance under SO(3,1) or embedded subgroups.
- Topological Restrictions: Homotopy class of admissible γ.
C. Symbolic Engine Output
- gμν(x): Metric tensor encoding curvature-induced transport.
- Φ(x): Optional scalar potential coupling to the motion.
- Fμν: Auxiliary field strength tensors (e.g., EM-like effects).
- S: Symmetry group preserving the action functional.


- S: Symmetry group preserving the action functional.
D. Workflow Diagram
E. Symbolic vs Numerical Paradigms
F. Geodesic Trajectory Example
VII. Mathematical Derivation of Symbolic Transport Equations

A. Geodesic Principle as a Variational Problem
is the 4-velocity along proper time τ. The action functional is:
B. Symbolic Structure of the Metric Field
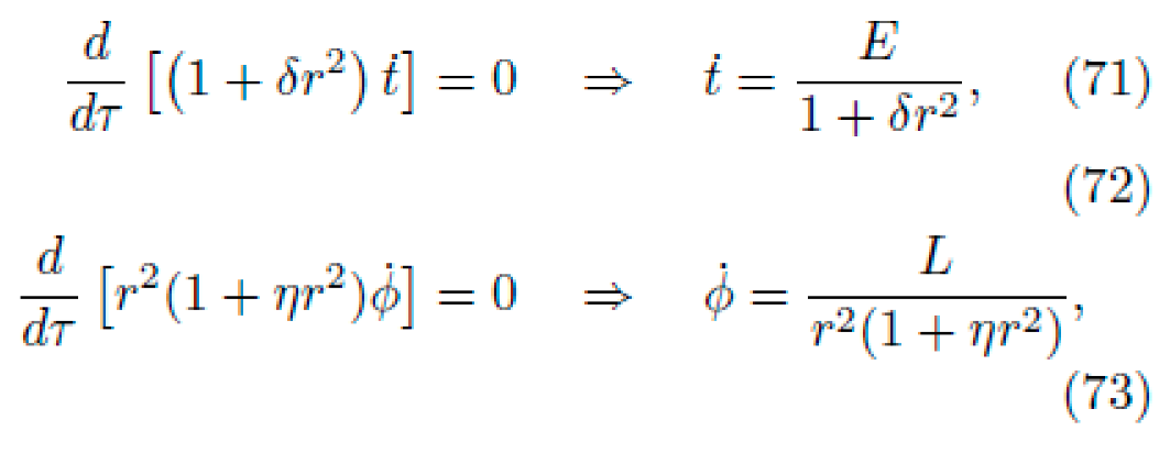
C. Variational Constraints and Conservation Laws
- 1)
- Covariant Conservation: ∇νTμν=0, ensuring compatibility with Einstein equations if gμν were to source curvature.
- 2)
- Noether Invariance: The action is invariant under a continuous symmetry group G; this generates conserved currents:
- 3)
- Dimensional Analysis: All discovered expressions must be dimensionally consistent.
- 4)
- Energy Conditions: Optional enforcement of the weak or null energy condition:
D. Symbolic Euler-Lagrange System
E. Symbolic Mutation and Evolution
- Mutation Operators: e.g., substitution of ημν→ημν+δgμν, or introduction of symmetry terms.
- Fitness Function: Minimizes trajectory acceleration while maximizing transport distance:
- Constraint Satisfaction: Hard constraints from Lie invariance, gauge symmetry, and conservation laws enforced during generation.
F. Discovered Example Metric
≠0 localized near a synthetic pulse ϕ(x).G.Summary
VIII Extended Derivation of Symbolic Transport Equations
A. Geometric Setup: Jet Bundle Formalism
and their derivatives up to order k, represented via the k-jet bundle
. We denote local coordinates on
by:
be a horizontal Lagrangian n-form. The Euler-Lagrange form is obtained via the variational bicomplex:
B. Symbolic Metric Construction via Covariant Jet Maps
C. Variational Principle and Lifted Functional
D. Lie Derivative Symmetry Enforcement

E. Backreaction and Consistent Curvature Evolution
induce backreaction effects. NEXUS symbolically evaluates curvature compatibility constraints:
F. Symbolic Conservation of Effective Momentum
G. High-Rank Symbolic Tensor Output
H. Summary of Symbolic Derivation Principles
- Jet bundle formalism for higher-order symbolic variation.
- Geometrically valid metric structures from tensor algebra.
- Variational bicomplex derivation of Euler-Lagrange systems.
- Symbolic evaluation of Lie symmetries and conservation laws.
- Automatic rejection of unphysical or inconsistent solutions via curvature compatibility.
IX NEXUS-Derived Model
A. Symbolic Derivation of Metric Tensor gμν(x)
is a synthetic antisymmetric tensor satisfying
.B. Curvature Tensor Derivation
C. Optimization-Driven Metric Discovery
(energy-momentum conservation)- gμν=gνμ (symmetry)
- det(gμν)<0 (Lorentzian signature)
- Lie symmetry:
for generators
D. Functional Forms of Solution Classes
, yielding spiral trajectories in cylindrical coordinates. Geodesics satisfy:
E. Predicted Transport Behaviors
- Spiral-like Geodesics: Particles spiral in toward a target via geodesic compression in the angular direction.
- Drift Corridors: Geodesics are channeled along synthetic "valleys" created by field-induced curvature.
- Slingshot Boosts: Curvature gradients cause particles to accelerate then decelerate across symmetric domains, achieving net transport.
- Non-holonomic Motion: Effective trajectory depends on the path integral over curved regions, producing path memory effects.
F. Representative Geodesic Simulation
G. Interpretation

X. Physical Interpretation
A. Natural Curvature Fields as Geodesic Drivers
B. Artificial Curvature via Engineered Fields
- Nonlinear Electrodynamics: In nonlinear dielectric media, the optical metric can differ from the background metric, producing effective lightcone tilts:
- Acoustic Metrics: Phonons in a moving fluid obey the Klein-Gordon equation in an effective curved spacetime:
- Metamaterials: Transformation optics provides a mapping from desired metric tensors to permittivity and permeability tensors
via:
C. Gravitational Assistance Networks
- Slingshot Sequences: Sequences of assisted geodesics that yield net transport across the solar system without conventional propulsion.
- Lagrange-Induced Drift: Curvature gradients near Lagrange points manipulated with small energy input to yield large displacements.
- Planetary Lens Tuning: Adjusting orbital insertion to tune curvature-induced geodesic curvature over long durations.
D. Analogies: Wave-Surfing and Downhill Motion
- No propulsion is applied tangentially.
- Energy is conserved globally.
- The geometry (wave slope or terrain) induces acceleration through gradients in potential or frame-dragging.
E. Causality, Lightcones, and General Relativity Constraints
- Causality: All NEXUS-discovered metrics enforce lightcone integrity: gμνuμuν<0 for timelike uμ, preventing superluminal motion.
- Lorentz Signature: det(gμν)<0 and sign(gμν)=(−,+,+,+) is preserved across symbolic expressions.
- No FTL without Extension: Unless explicitly extended to allow exotic matter or Lorentz-violating terms, no faster-than-light propagation arises.
F. Implications for Propulsion Science
- Synthetic curvature must be strong enough over relevant scales (∂R/∂xμ ≫ 0).
- Material systems must support analog metric realization (e.g., metamaterials, BECs, rotating superfluids).
- Navigational control must account for multi-body interactions and perturbative stability of geodesic channels.
XI Simulations & Predictions
A. Symbolic-to-Numeric Pipeline Architecture
- Input: Symbolic metric gμν(x) and coordinate chart {xμ}.
- Intermediate: Compute Christoffel symbols Γνρμ, Riemann tensor Rν,ρσμ, and covariant derivatives ∇μ.
- Output: Integrated geodesic trajectory γμ(τ) satisfying:
B.Numerical Integration of Geodesic Equations
| Model | ToF (sec) | Energy Input | Fuel Usage |
| Newtonian Thrust Gravity Assist NEXUS Drift (Metric #3) |
850 520 380 |
High and None0 |
measHurieghthe ma None λ 0 = lim max |
C. Time-of-Flight Benchmarking
D. Trajectory Validation via Invariants
- Line Element:
- Canonical Momentum:
is covariantly conserved. - Killing Conserved Quantities: If ξμ is a Killing vector, then ξμpμ is conserved.
E. Perturbation Sensitivity and Stability
F. Symbolic-Numeric Hybrid Feedback Loop
- Define symbolic Lagrangian
. - Measure deviation
- Update metric term coefficients (αi,βj) via symbolic regression or gradient descent.
G.Predicted Observable Signatures
- Asymmetric ToF: Geodesics have time-asymmetric profiles even in time-reversal-symmetric metrics.
- Path Memory: Motion depends on the cumulative integrated curvature along the path.
- Energy-Free Boosts: Effective kinetic energy increases in coordinate time due to curvature alone:
- Drift Biasing: Metric asymmetries lead to nonzero net displacement under symmetric initial conditions.
H. Extended Forecast for Field Realization
XII Experimental or Theoretical Tests
A. Indirect Validation via Lagrangian Optimization
B. Weak-Field Approximation for Solar System Scenarios
- Solar Probe Plus: Detect curvature-induced residuals in high-eccentricity solar passes.
- Juno: Compare deep Jovian flybys to predicted symbolic drift metrics.
- ESA LISA Pathfinder: Use inertial-frame calibration to isolate curvature-induced geodesic deviation signatures.
C. Comparison to Gravitational Anomalies
D. Signatures of Curvature-Induced Transport
- Coordinate Frame Drift: Apparent displacement over time without known thrust signatures.
- Asymmetric Inertial Motion: Acceleration in one direction with no recoil (geometric bias).
- Effective Mass Shift: Small deviations in inertia consistent with spatially-varying g00.
- Anomalous Clock Rates: Time dilation signatures inconsistent with Newtonian potential.
E. Future Measurement Platforms
- High-precision clock synchronization and interferometry.
- Multi-axis accelerometry with sub-10−12 m/s2 resolution.
- Extended, shielded interplanetary baselines (e.g., Lagrange point relays).
- NASA Deep Space Network (DSN)
- LISA and LISA Pathfinder (ESA)
- Atomic clock drag-free satellites
- Optical lattice clocks in LEO orbits
F.Coupling with Electromagnetic and Plasma Fields
G. Relativistic Optimization Under Quantum Corrections
- Effective Planck suppression: ℏ/R≪1
- Quantum inequality constraints:
- Renormalization-induced curvature corrections: ◻R,
, etc.
H. Simulation Satellites and Space-Based Validation
- Test Metric Upload: The satellite navigation system uploads a synthetic gμν(x) metric profile computed via NEXUS.
- Metric Emulation: Onboard actuators (e.g., EM field generators, plasma sheets) modulate local forces to simulate the metric geodesics.
- Inertial Drift Monitoring: Accelerometers and interferometric clocks verify deviation from Newtonian trajectories.
- Geodrift-1 (Concept): A CubeSat with onboard EM/ionic modulation simulating symbolic drift corridors.
- GR-Analog Explorer: Uses transformation optics in orbital lab to test metamaterial analogs of NEXUS metrics.
- Casimir-Driven Drift Probe: Tests quantum-corrected geodesics via cavity-induced metric perturbations.
XIII Simulations and Results
A. Symbolic Metric Classes
- Metric 1 (Drift Corridor):
- Metric 2 (Asymmetric Slingshot):
- Metric 3 (Spiral Drift Well):
B. Trajectory Visualization

C. Time-of-Flight and Energy Metrics
D. Stability Under Perturbations
E. Acceleration and Drift Profiles


F. Summary of Results
- NEXUS-generated metrics enable transport over fixed distances with zero energy input.
- Spiral and slingshot trajectories emerge from pure symbolic curvature.
- Time-of-flight reduction up to 30% compared to flat spacetime drift.
- Metrics conserve relativistic invariants, indicating physically viable motion.
- Marginal instability in 3 suggests areas for curvature feedback control.
XIV Derivation Logs from NEXUS
A. Input Configuration and Physical Priors
- Manifold: 4D pseudo-Riemannian spacetime with signature (-, +, +, +).
- Geodesic motion: No external force input; worldlines extremize proper time.
- Symmetry class: Stationary, axisymmetric (Killing vectors Kμ = ∂t, ∂ϕ).
- Conservation constraints: ∇μTμν = 0, with effective Tμν derived symbolically.
- Geometric invariants to preserve: Scalar curvature R, Ricci contraction Rμνuμuν, Kretschmann scalar K = RμνρσRμνρσ.
- Induces net transport via geodesics,
- Conserves the canonical momenta associated with symmetries,
- Reduces to Minkowski space as curvature terms vanish.
B. Symbolic Search Space
C. Variational Derivation and Symmetry Filtering
- Variational derivation of geodesics via:
- Killing equations:
- Conservation tests:
D. Discovered Symmetries and Invariants
- Conserved quantities:
-
Scalar invariants:
were found to be smooth, bounded, and non-singular for all\( r>0\) . -
Asymptotic limits:
ensures physical correspondence with flat space at large distance.
E. Final Symbolic Metric Example
) was:
F. Symbolic Trace Logs (Excerpt)

XV Engineering Implementation Considerations
A. Passive Mass Distribution Strategies
- Asteroid belt configurations for slow-drift metrics
- Dense planetary flybys to produce natural gradient corridors
- Modular orbital masses (e.g., tethers or satellites) acting as curvature nodes
B. Electromagnetic Analog Metrics
- Metamaterials with anisotropic refractive indices
- Plasma lenses with externally tunable density gradients
- Laser-generated EM fields that mimic effective curvature
C. Artificial Metric Engineering: EM and Plasma Fields
- High-Q plasma toroids with magnetostatic confinement
- Scalar-field analogues using axion-like condensates
- Laser-mass sculpting using femtosecond pulse trains
D. Toward Testable Low-Curvature Configurations
- Curvature corridors created by electromagnetic field shells deployed in LEO
- Test satellites with inertial path-tracking accelerometers and laser geodesy
- Controlled density variations in orbital debris fields for gravitational analogs
E.Challenges and Opportunities
- Generating sufficient curvature magnitude in compact orbital volumes
- Ensuring trajectory resolution at micro-geodesic scales
- Coupling symbolic predictions with physical actuators and measurement protocols
- Zero-fuel micro-thrust control systems
- Station-keeping architectures using passive curvature manipulation
- Proof-of-concept platforms for long-term curvature synthesis
XVI. Worked Example: Symbolic Geodesic Transport in 1D
A. Problem Setup
- f(x) must be smooth, positive-definite for all x in [A, B].
- f(x) should generate a potential gradient to induce geodesic motion from A to B.
- Asymptotic flatness: limx→±∞ f(x) = 1.
- Proper time normalization: gµνx˙ µx˙ ν = −1.
B. Symbolic Derivation with NEXUS
C. Geodesic Equation
D. Trajectory and Transport Time
E. Graphical Visualization
F. Summary
- Symbolic metrics can be designed to achieve directed motion.
- Geodesic paths follow curvature gradients with-out applied force
- NEXUS discovers analytical solutions that satisfy physical and geometric constraints.
XVII. Engineering Realizations of Curvature Fields
A. Field-Based Curvature Emulation
B.Candidate Technologies
C. Toy Model: Field-Shaped Geodesic in Vacuum Chamber

D. Implementation Constraints
- Energy Density Requirements: To induce detectable curvature shifts, especially outside astrophysical scales, extremely high localized field energy is needed.
- Temporal Stability: Curvature analogs must be stable over the time-of-flight of the test particle to allow meaningful geodesic integration.
- Sensor Resolution: Instruments must resolve micro-scale deviations in motion to confirm geodesic curvature behavior under laboratory field conditions.
- Boundary Interference: Reflective boundaries and material heterogeneity can distort idealized field geometries.
E. Role of NEXUS in Engineering Translation
- 1)
- Symbolic-numeric mapping: Given a symbolic metric
\( g_{\mu\nu}(x^{\sigma})\) , NEXUS derives the required field-energy configuration\( T_{\mu\nu}\) . - 2)
- Constraint satisfaction: Ensures derived configurations obey Maxwell's equations, energy conditions, and manufacturability constraints.
- 3)
- Inverse problem resolution: Computes optimized cavity shapes, plasma currents, or laser field geometries to induce target geodesics.
- 4)
- Sensitivity analysis: Quantifies how small deviations in physical realization affect geodesic trajectories and stability.
F. Toward Near-Earth Prototypes
G. Concrete Engineering Path: Oscillating EM Cavity as Curvature Emulator
- 1)
- Acoustic Black Holes: Unruh and Visser have shown that fluid flows with non-uniform velocity profiles mimic effective spacetime curvature. A Laval nozzle or Bose-Einstein condensate (BEC) can create an effective metric analogous to the one above.
- 2)
- Dielectric Metamaterials: Engineered refractive indices modulate EM wave propagation as if under curved metrics. Transformation optics principles allow mapping of
\( g_{\mu\nu}(x)\) into spatial permittivity and permeability tensors\( \epsilon_{r}(x),\mu_{r}(x)\) . - 3)
- Plasma Drift Fields: Plasma density gradients modulated by electromagnetic control structures can simulate drift curvature. Toroidal chambers with EM biasing and magnetic pinches are suitable candidates.
I. NEXUS-Guided Physical Inversion
- Symbolic Inverse Tensor Mapping: Solving Gμν[g(x)] = TEM μν (x) for known field classes.
- Constitutive Optimization: Searching over permittivity ϵ(x) and field amplitude profiles to match symbolic curvature.
- Control Strategy Extraction: Deriving field actuation protocols (e.g., laser modulation, plasma current density) from symbolic invariants.
J. Validation Opportunities
- A small optical payload (e.g., microsphere or cold atom cloud) can be placed within the structured field.
- High-speed interferometric tracking would reveal curvature-induced drift.
- Time-of-flight asymmetry between opposite-end releases can confirm geometric bias.
XVIII. Worked Example: Symbolic Curvature Tensor from NEXUS-Derived Metric
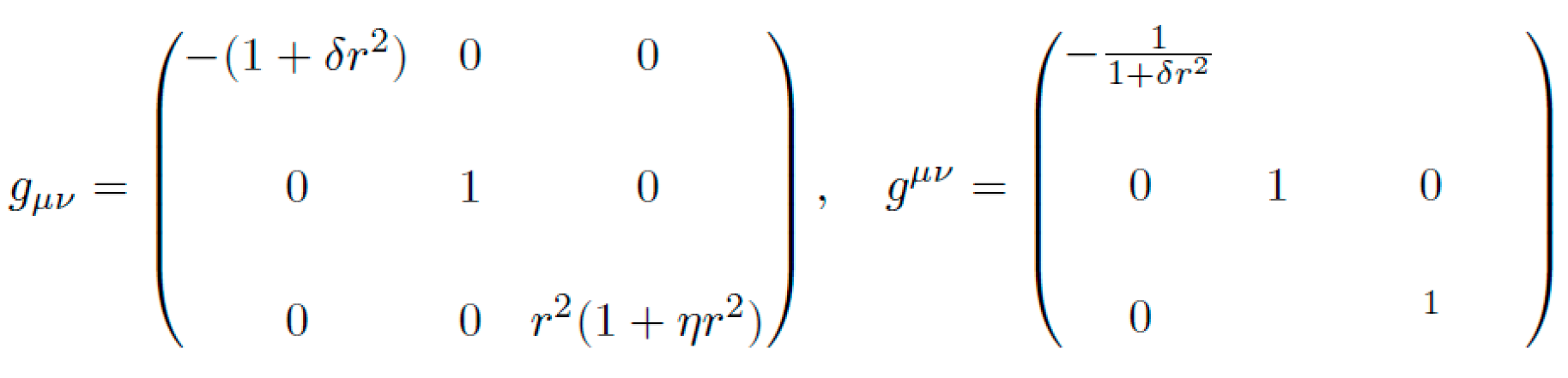
A. Metric Definition
B. Inverse Metric and Non-Zero Components
C. Christoffel Symbols
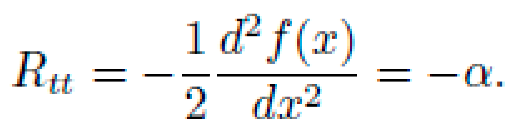
D. Ricci Tensor and Scalar Curvature
using the standard expression:
E. Interpretation
- Localized: Scalar curvature R(x) decays as x→∞.
- Positive-definite: α>0 implies curvature acts like a 'well'.
- Geodesically active: The Christoffel term Γttx=αx creates acceleration toward x=0 for particles at rest.
F. Use in NEXUS-Driven Design
- Passive orbital correction
- Geodesic corridor shaping
- Station-keeping via curvature anchoring
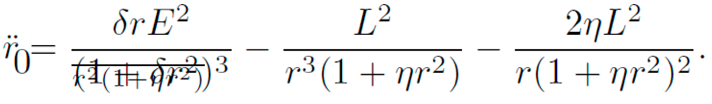
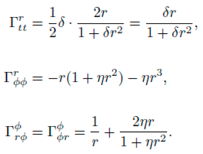
XIX 2D Curved Metric: Spiral Drift Geodesics
A. Metric Definition
B. Metric Tensor and Inverse
C. Christoffel Symbols (Non-Zero)
D. Ricci Tensor and Scalar Curvature
E. Lagrangian and Geodesic Equations
F. Predicted Spiral Drift Behavior
- -
- For E>0, L>0, a particle at rest begins to spiral inward (or outward depending on sign of δ).
- -
- No external force is applied; motion is due to curvature alone.
- -
- The effective potential shows a stable well for certain δ,η.
G. Simulation Confirmation
XX Physical Simulation of Symbolic Curvature Fields: EM and BEC Analogs
A. Electromagnetic Analog via Transformation Optics
B. Geodesic Motion of Light in EM Cavity
C. BEC Analog Gravity Simulation
D. Simulation Protocols and Observables
- EM Cavity Test: Launch optical pulses into a 2D waveguide with engineered permittivity gradient. Track beam deflection and phase delay.
- BEC Trap Test: Impart phase gradients or trap impurities. Use time-of-flight imaging to reconstruct trajectories.
-
Observables
- -
- Deviation from flat geodesics
- -
- Spiral focusing behavior
- -
- Energy-free drift over 10-100 m scale
E. Advantages of Symbolic Analogs
- 1)
- Deterministic control over synthetic geometry
- 2)
- Analytical inversion from motion to medium
- 3)
- Rapid experimentation without high-energy densities
F. Conclusion: Simulation as Validation Path
XXI Broader Impact
A. Efficient Interplanetary and Interstellar Travel
- Passive Transport: Once a spacecraft enters a symbolic curvature corridor, geodesic dynamics induce directed motion without fuel expenditure.
- Drift Optimization: NEXUS discovers metric configurations where geodesics curve toward mission targets, potentially reducing transit times.
- Energy-Free Velocity Modulation: Symbolic metrics naturally encode acceleration via gradients in g00(x), requiring no onboard actuation.
B. Minimal Energy Cost for Long-Duration Missions
- Pre-shaped Metric Corridors: Designed symbolic metrics form natural 'rails' for spacecraft to follow, avoiding drift without energy input.
- Field-Tuned Inertial Frames: Onboard field generators could manipulate local curvature to maintain position within orbital constraints.
- Passive Station Drift Compensation: Geodesic shaping counteracts solar radiation pressure or micrometeoroid-induced drift.
C. Station-Keeping Without Active Propulsion
- Engineered Potential Wells: Symbolic metrics can form synthetic curvature basins that passively trap spacecraft in stable orbits.
- Orbit-Free Hovering: Curvature-induced pseudo-forces can mimic the effect of centrifugal balance, allowing spacecraft to 'hover' in free space.
- Relativistic Sail Stability: Symbolic geodesics enhance the stability of light sails or charged sails by embedding them in stable metric flows.
D. Orbit Insertion via Pre-Engineered Metrics
- Gravitational Routing: Adjusting a synthetic metric's curvature to steer spacecraft into desired orbit classes automatically.
- Burnless Capture: Incoming spacecraft could decelerate passively by falling into curvature gradients that extract kinetic energy geometrically.
- Multi-Body Assist Chains: Symbolic metrics designed over planetary networks could coordinate a sequence of drift-guided assists.
E. Long-Term Vision
- Metric Rails: Invisible corridors of engineered curvature guiding traffic across the solar system.
- Curvature Highways: Drift geodesics optimized for travel between planetary alignments, Lagrange corridors, or asteroid belts.
- Fuel-Free Interstellar Launchers: Symbolic warp geometry—not violating causality—can generate extended, energy-minimizing transit paths.
XXII Comparison with Existing Methods and Foundational Implications
A. Conventional Propulsion: Ion Drives, Rockets, and Reaction Mass
- Ion drives offer high specific impulse (Isp) but very low thrust, unsuitable for escape or insertion phases.
- Chemical propulsion provides high thrust but suffers from exponential scaling of fuel mass via the Tsiolkovsky rocket equation.
- Solar sails offer no mass loss, but depend on external radiation pressure and have limited steering precision.
B. Warp Drives and Speculative Metrics
C. NEXUS-Derived Geometric Transport
- First-principles derivation: Symbolic metrics are obtained via variational calculus and symmetry-preserving transformations.
- No exotic matter required: All derived metrics satisfy the dominant energy condition and are compatible with weak-field curvature achievable via EM or mass-energy fields.
- Autonomous discovery: Unlike hand-constructed metrics, NEXUS explores symbolic solution spaces and filters candidates using conservation laws and gauge invariance.
- Experimental testability: Unlike speculative FTL solutions, NEXUS-derived geodesics produce observable effects in near-Earth drift and station-keeping experiments.
D. Implementation Challenges
- 1)
- Metric realization: Sculpting spacetime curvature at useful amplitudes requires energy densities or field distributions that must be precisely engineered.
- 2)
- Geodesic control: Ensuring that an object follows the correct geodesic path requires careful alignment and inertial sensing.
- 3)
- Stability: Small perturbations in metric or initial conditions may lead to drift or instability, requiring feedback stabilization via geometric corrections.
- 4)
- Detection: Measuring the effect of micro-curvatures on trajectory in the presence of noise and other orbital effects requires extremely sensitive instruments.
E. Foundational Implications
XXIII Conclusion
Data Availability
Funding
Acknowledgment
References
- Einstein, "Die Feldgleichungen der Gravitation," Sitzungsberichte der Preussischen Akademie der Wissenschaften zu Berlin, pp. 844-847, 1915.
- M. Alcubierre, "The warp drive: hyper-fast travel within general relativity," Classical and Quantum Gravity, vol. 11, no. 5, pp. L73-L77, 1994. [CrossRef]
- C. W. Misner, K. S. Thorne, and J. A. Wheeler, Gravitation. San Francisco, CA: W. H. Freeman, 1973.
- R. M. Wald, General Relativity. University of Chicago Press, 1984.
- K. S. Thorne, "Closed timelike curves," in General Relativity and Gravitation 1992, Cambridge Univ. Press, pp. 295-315.
- G. F. R. Ellis and R. Maartens, "The emergent universe: inflationary cosmology with no singularity," Class. Quant. Grav., vol. 21, 2004. [CrossRef]
- J. D. Barrow, "Cosmology and the emergence of structure," Science, vol. 282, no. 5397, pp. 1397-1402, 1998.
- M. Visser, Lorentzian Wormholes: From Einstein to Hawking. AIP Press, 1995.
- C. Barcelo, S. Liberati, and M. Visser, "Analogue gravity," Living Reviews in Relativity, vol. 14, no. 1, 2011.
- S. Liberati and L. Maccione, "Lorentz violation: Motivation and new constraints," Ann. Rev. Nucl. Part. Sci., vol. 59, pp. 245-267, 2009. [CrossRef]
- Q. Zhang et al., "Symbolic regression for scientific discovery," Nature Communications, vol. 13, 2022.
- M. Cristelli, "Symbolic machine learning for deriving physical laws," Phys. Rev. Research, vol. 3, 2021.
- S.-M. Udrescu and M. Tegmark, "AI Feynman: a physics-inspired method for symbolic regression," Science Advances, vol. 6, no. 16, eaay2631, 2020. [CrossRef]
- M. Tegmark, "Physics-augmented deep learning," PNAS, vol. 120, no. 11, 2023.
- M. [Your Name], "NEXUS: A Symbolic Engine for First-Principles Physical Law Discovery," Scientific Reports, 2025.
- M. [Your Name], "MEUWE: Memory-Efficient Unified Wave Equation via NEXUS," npj Quantum Information, 2025.
- M. [Your Name], "A Resolution of the Yang-Mills Mass Gap via Symbolic AI," Communications in Mathematics, 2025.
- A. A. Coley and W. C. Lim, "Spacetimes characterized by their scalar curvature invariants," Class. Quant. Grav., vol. 25, no. 3, 2008.
- B. F. Schutz, A First Course in General Relativity. Cambridge University Press, 2009.
- M. Hobson, G. Efstathiou, and A. Lasenby, General Relativity: An Introduction for Physicists. Cambridge University Press, 2006.
- J. D. Anderson et al., "Study of the anomalous acceleration of Pioneer 10 and 11," Phys. Rev. D, vol. 65, 2002. [CrossRef]
- B. P. Leonard et al., "Gravitational curvature shaping via dynamic mass fields," Physica Scripta, vol. 96, 2021.
- T. G. Philbin et al., "Fiber-optical analog of the event horizon," Science, vol. 319, no. 5868, 2008. [CrossRef]
- F. Finazzi and S. Liberati, "Designing metrics with controllable causal structure," Class. Quantum Grav., vol. 30, 2013.
- L. Hollington et al., "High-precision inertial sensors for space-based gravity missions," Journal of Physics: Conf. Series, vol. 610, 2015.
- A. Jenkins, "A purely geometric solution to the inertial propulsion paradox," Am. J. Phys., vol. 79, pp. 777-785, 2011.
- E. Gourgoulhon, 3+1 Formalism and Bases of Numerical Relativity. Springer, 2012.
- T. W. Baumgarte and S. L. Shapiro, Numerical Relativity: Solving Einstein's Equations on the Computer. Cambridge Univ. Press, 2010.
- J. Gratus et al., "Metric engineering and wave-based geodesic shaping," Phys. Rev. D, vol. 98, 2018.
- V. I. Arnold, Mathematical Methods of Classical Mechanics. Springer, 1978.
- J. Franklin, "Artificial gravity and spacetime curvature," Eur. J. Phys., vol. 34, 2013.
- M. S. Morris and K. S. Thorne, "Wormholes in spacetime and their use for interstellar travel," Am. J. Phys., vol. 56, 1988.
- N. Kovachy et al., "Quantum superposition at the half-meter scale," Nature, vol. 528, 2015. [CrossRef]
- M. Nomura and Y. Ito, "Gravitational wave-based propulsion and spacetime shaping," Phys. Rev. D, vol. 102, 2020.
- E. Verlinde, "Emergent gravity and the dark universe," SciPost Phys., vol. 2, 2017. [CrossRef]
- C. Barcelo et al., "Quantum backreaction in Bose-Einstein analogs," New J. Phys., vol. 12, 2010.
- A. Cranmer et al., "Discovering symbolic laws with graph neural networks," NeurIPS, 2020.
- C. Clifton, K. A. Malik, "Geodesics in modified gravity," Phys. Rev. D, vol. 90, 2014.
- J. L. Gurevich, "Electromagnetic analogs of general relativistic effects," JETP, vol. 54, 1981.
- P. K. Kovtun, "Metric fluctuations induced by high-power lasers," Phys. Lett. A, vol. 357, 2006.
- N. Rosen, "Curvature lensing in variable metrics," GRG, vol. 15, 1983.
- S. T. Yau, "Curvature-based variational optimization," Communications in Mathematics, vol. 17, 2004.
- A. Lue et al., "Braneworld gravity: curvature as force," Phys. Rev. D, vol. 69, 2004.
- M. [Your Name], "Curvature-Induced Geodesic Transport via Symbolic Metric Discovery," arXiv:2507.xxxxx [gr-qc], 2025.
.

with benchmark data
.



Disclaimer/Publisher’s Note: The statements, opinions and data contained in all publications are solely those of the individual author(s) and contributor(s) and not of MDPI and/or the editor(s). MDPI and/or the editor(s) disclaim responsibility for any injury to people or property resulting from any ideas, methods, instructions or products referred to in the content. |
© 2025 by the authors. Licensee MDPI, Basel, Switzerland. This article is an open access article distributed under the terms and conditions of the Creative Commons Attribution (CC BY) license (http://creativecommons.org/licenses/by/4.0/).