Submitted:
28 July 2025
Posted:
30 July 2025
You are already at the latest version
Abstract
Keywords:
1. Introduction
2. Related Works
2.1. Federated Learning in Additive Manufacturing
2.2. Federated Learning in Smart Manufacturing
2.3. Federated Learning in Secure Comminucation
3. Proposed Methodology
- Local Data Collection and Preprocessing: Each WAAM client acquires structured and unstructured process data, which are filtered, normalized, and aligned temporally to construct feature matrices suitable for model training.
- Local Model Training: Clients train sensor-specific models on preprocessed data to learn localized anomaly patterns without transmitting raw information externally.
- Model Aggregation via FL: Encrypted local model parameters are securely transmitted and aggregated into a global model using privacy-preserving fusion techniques.
- Global Model Update: The aggregated model updates are redistributed to clients, enabling them to enhance their local inference capabilities based on collective knowledge.
- Iteration and Model Convergence: The training-aggregation-update cycle repeats multiple times until the model achieves convergence across all validation criteria.
- Security and Privacy Mechanisms: A dual-layered protection scheme combining reversible encryption and differential privacy ensures confidentiality and resistance to inference attacks.
- Model Deployment and Inference: Once converged, the global model is deployed locally at each client for real-time anomaly detection and process monitoring.
3.1. Multi-Source Data Collection and Processing
3.2. Federated Secure Channel
3.3. Local Client Model Development
3.4. Global Server Model Aggregation
4. System Development Architecture
4.1. Data Collection and Preprocessing


4.2. Reversible Data Hiding
4.3. Client Models Development



4.4. Federated Learning Approach









5. Results and Discussion
5.1. Global Performance Across Strategies and Aggregators
5.2. Client-Level Performance Disaggregation
5.3. Client-Wise Confusion Matrices Analysis
5.4. Comparative Convergence Trends
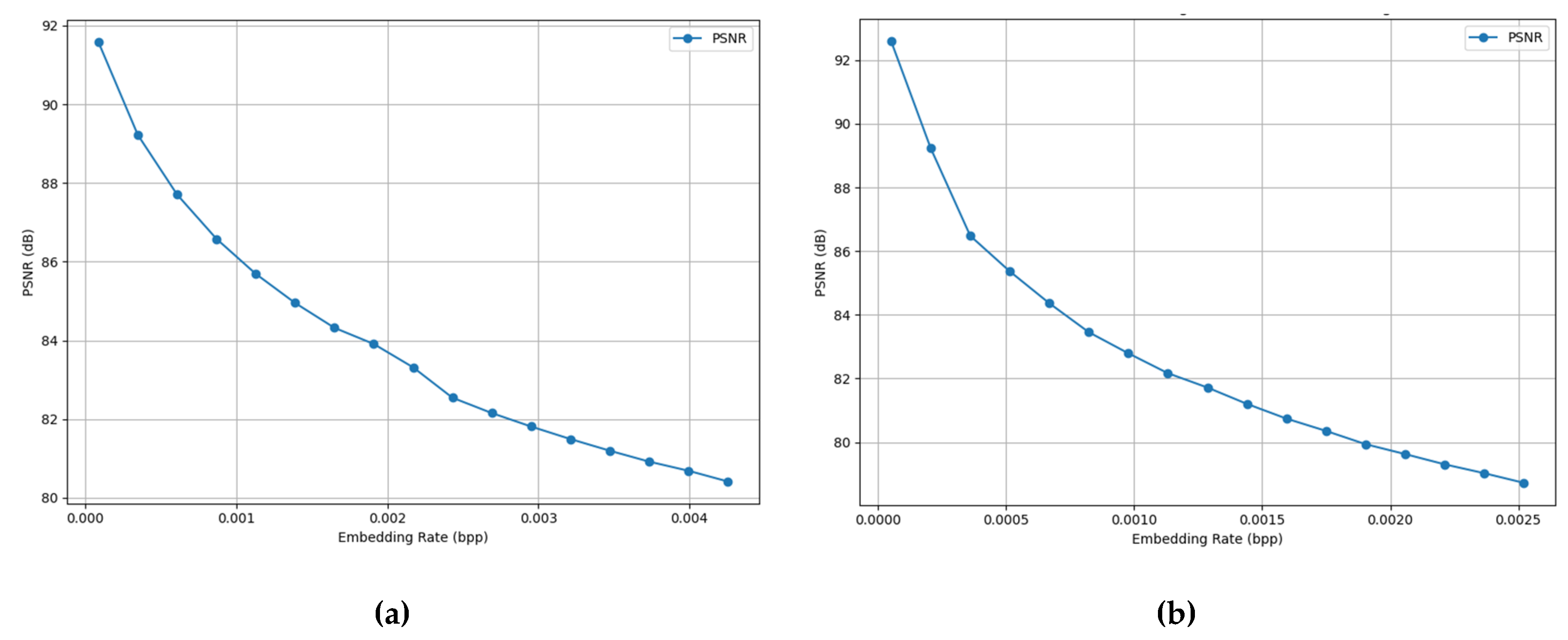
5.5. Reversible Data Hiding Evaluation
5.6. Optimal Configuration Synthesis
6. Conclusions
Acknowledgments
References
- Agarwala, M.; Bourell, D.; Beaman, J.; Marcus, H.; Barlow, J. Direct selective laser sintering of metals. Rapid Prototyping Journal 1995, 1, 26–36. [Google Scholar] [CrossRef]
- Gibson, I.; Rosen, D.; Stucker, B.; Khorasani, M.; Rosen, D.; Stucker, B.; Khorasani, M. Additive manufacturing technologies, Springer: 2021.
- Jadhav, S.; Jeong, G.H.; Bajestani, M.S.; Islam, S.; Lee, H.; Cho, Y.T.; Kim, D.B. Investigation of surface roughness, microstructure, and mechanical properties of overhead structures fabricated by wire + arc additive manufacturing. Int J Adv Manuf Technol 2024, 131, 5001–5021. Available online: https://link.springer.com/article/10.1007/s00170-024-13330-3. [CrossRef]
- Jadhav, S.; Bajestani, M.S.; Islam, S.; Karim, M.A.; Kim, C.J.; Lee, H.; Cho, Y.T.; Kim, D.B. Materials characterization of Ti6Al4V to NbZr1 bimetallic structure fabricated by wire arc additive manufacturing. Materials today communications 2023, 36, 106934. Available online: https://www.sciencedirect.com/science/article/am/pii/S2352492823016252. [CrossRef]
- Taşdemir, A.; Nohut, S. An overview of wire arc additive manufacturing (WAAM) in shipbuilding industry. Ships and Offshore Structures 2021, 16, 797–814. [Google Scholar] [CrossRef]
- Pant, H.; Arora, A.; Gopakumar, G.S.; Chadha, U.; Saeidi, A.; Patterson, A.E. Applications of wire arc additive manufacturing (WAAM) for aerospace component manufacturing. The International Journal of Advanced Manufacturing Technology 2023, 127, 4995–5011. [Google Scholar] [CrossRef]
- Viliš, J.; Pokorný, Z.; Zouhar, J.; Vítek, R.; Fornůsek, T. Comparative Analysis of Metal Components Manufactured by WAAM Technology for the Strike Face Layer of Ballistic Protection, Materials Science Forum, Trans Tech Publ: 2025; pp. 3–12.
- Wang, Y.; Xu, X.; Zhao, Z.; Deng, W.; Han, J.; Bai, L.; Liang, X.; Yao, J. Coordinated monitoring and control method of deposited layer width and reinforcement in WAAM process. Journal of Manufacturing Processes 2021, 71, 306–316. [Google Scholar] [CrossRef]
- Xia, C.; Pan, Z.; Polden, J.; Li, H.; Xu, Y.; Chen, S.; Zhang, Y. A review on wire arc additive manufacturing: Monitoring, control and a framework of automated system. J Manuf Syst 2020, 57, 31–45. [Google Scholar] [CrossRef]
- Hamrani, A.; Agarwal, A.; Allouhi, A.; McDaniel, D. Applying machine learning to wire arc additive manufacturing: a systematic data-driven literature review. J Intell Manuf 2024, 35, 2407–2439. [Google Scholar] [CrossRef]
- Guo, Y.; Zhang, Y.; Pan, Z.; Zhou, W. Recent progress of sensing and machine learning technologies for process monitoring and defects detection in wire arc additive manufacturing. Journal of Manufacturing Processes 2024, 125, 489–511. [Google Scholar] [CrossRef]
- Mattera, G.; Nele, L.; Paolella, D. Monitoring and control the Wire Arc Additive Manufacturing process using artificial intelligence techniques: a review. J Intell Manuf 2024, 35, 467–497. [Google Scholar] [CrossRef]
- Mahdi, M.M.; Bajestani, M.S.; Do Noh, S.; Kim, D.B. Digital twin-based architecture for wire arc additive manufacturing using OPC UA. Robot Comput Integrated Manuf 2025, 94, 102944. [Google Scholar] [CrossRef]
- Balasubramanian, A. Integration of Artificial Intelligence and Blockchain in Robotic Wire Arc Additive Manufacturing: A Comprehensive Review and Patent Landscape Analysis. 2024.
- Wattanapanit, S. Application of Federated Machine Learning for Cross-Platform Knowledge Sharing in Distributed Additive Manufacturing Environments. Open Journal of Robotics, Autonomous Decision-Making, and Human-Machine Interaction 2025, 10, 1–11.
- Konečný, J.; McMahan, H.B.; Yu, F.X.; Richtárik, P.; Suresh, A.T.; Bacon, D. Federated learning: Strategies for improving communication efficiency. arXiv preprint arXiv:1610.05492 2016.
- Aggarwal, M.; Khullar, V.; Goyal, N. A comprehensive review of federated learning: Methods, applications, and challenges in privacy-preserving collaborative model training. Applied Data Science and Smart Systems 2024, 570–575. [Google Scholar]
- Eslaminia, A.; Meng, Y.; Nahrstedt, K.; Shao, C. Federated domain generalization for condition monitoring in ultrasonic metal welding. J Manuf Syst 2024, 77, 1–12. [Google Scholar] [CrossRef]
- Zhang, Z.; He, N.; Li, Q.; Wang, K.; Gao, H.; Gao, T. DetectPMFL: Privacy-preserving momentum federated learning considering unreliable industrial agents. IEEE Transactions on Industrial Informatics 2022, 18, 7696–7706. [Google Scholar] [CrossRef]
- Leng, J.; Li, R.; Xie, J.; Zhou, X.; Li, X.; Liu, Q.; Chen, X.; Shen, W.; Wang, L. Federated learning-empowered smart manufacturing and product lifecycle management: A review. Advanced Engineering Informatics 2025, 65, 103179. [Google Scholar] [CrossRef]
- Sagar, K.G. Federated Learning in Digital Manufacturing: A Review. IUP Journal of Mechanical Engineering 2024, 17, 24–40. [Google Scholar]
- Mehta, M.; Shao, C. Federated learning-based semantic segmentation for pixel-wise defect detection in additive manufacturing. Journal of Manufacturing Systems 2022, 64, 197. 1016. [Google Scholar] [CrossRef]
- Shi, Z.; Li, Y.; Liu, C. Knowledge Distillation-based Information Sharing for Online Process Monitoring in Decentralized Manufacturing System.
- Russell, M.; Wang, P. Maximizing Model Generalization for Machine Condition Monitoring with Self-Supervised Learning and Federated Learning. 2023.
- Kim, D.B.; Bajestani, M.S.; Lee, J.Y.; Shin, S.; Kim, G.; Sajadieh, S.M.M.; Noh, S. Human-in-the-loop in smart manufacturing (H-SM): A review and perspective. Journal of manufacturing systems 2025, 82, 178–199. [CrossRef]
- Aggour, K.S.; Kumar, V.S.; Cuddihy, P.; Weisenberg, J.; Gupta, V.; Dial, L.; Hanlon, T.; Gambone, J.; Vinciquerra, J. Federated Multimodal Big Data Storage & Analytics Platform for Additive Manufacturing.
- Huong, T.T.; Bac, T.P.; Ha, K.N.; Hoang, N.V.; Hoang, N.X.; Hung, N.T.; Tran, K.P. Federated Learning-Based Explainable Anomaly Detection for Industrial Control Systems. IEEE Access 2022, 10, 53854. [CrossRef]
- Da Silveira Dib, M.A.; Ribeiro, B.; Prates, P. Federated Learning as a Privacy-Providing Machine Learning for Defect Predictions in Smart Manufacturing. Smart and Sustainable Manufacturing Systems 2021, 5, 1. [CrossRef]
- Chen, D.; Wang, D.; Zhu, Y.; Han, Z. Digital Twin for Federated Analytics Using a Bayesian Approach. IEEE Internet Things J 2021, 8, 16301. [CrossRef]
- Kanagavelu, R.; Li, Z.; Samsudin, J.; Yang, Y.; Yang, F.; Siow, R.; Goh, M.; Cheah, M.; Wiwatphonthana, P.; Akkarajitsakul, K.; Wang, S. Two-Phase Multi-Party Computation Enabled Privacy-Preserving Federated Learning.
- Gao, W.; Zhao, Z.; Min, G.; Ni, Q.; Jiang, Y. Resource Allocation for Latency-Aware Federated Learning in Industrial Internet of Things. IEEE Trans Ind Inf 2021, 17, 8505. [CrossRef]
- Brik, B.; Messaadia, M.; Sahnoun, M.; Bettayeb, B.; Benatia, M.A. Fog-supported Low-latency Monitoring of System Disruptions in Industry 4.0: A Federated Learning Approach. ACM Trans Cyber-Phys Syst 2022, 6, 1.
- Kusiak, A. Federated explainable artificial intelligence (fXAI): a digital manufacturing perspective. International Journal of Production Research 2023, 62, 171.
- Paramartha Putra, M.A.; Rachmawati, S.M.; Alief, R.N.; Chijioke Ahakonye, L.A.; Gohil, A.; Kim, D.; Lee, J. Federated Learning-Enabled Digital Twin for Smart Additive Manufacturing Industry, IEEE: 2023-02-20; pp. 806.
- Verma, P.; Breslin, J.G.; O’shea, D. FLDID: Federated Learning Enabled Deep Intrusion Detection in Smart Manufacturing Industries. Sensors 2022, 22. [CrossRef]
- Sun, F.; Diao, Z. Federated Learning and Blockchain-Enabled Intelligent Manufacturing for Sustainable Energy Production in Industry 4.0. Processes 2023, 11. [CrossRef]
- Liu, Y.; Kang, Y.; Zou, T.; Pu, Y.; He, Y.; Ye, X.; Ouyang, Y.; Zhang, Y.; Yang, Q. Vertical Federated Learning: Concepts, Advances, and Challenges. IEEE Trans Knowl Data Eng 2024, 36, 3615. [CrossRef]
- Zhang, Z.; He, N.; Li, Q.; Wang, K.; Gao, H.; Gao, T. DetectPMFL: Privacy-Preserving Momentum Federated Learning Considering Unreliable Industrial Agents. IEEE Trans Ind Inf 2022, 18, 7696. [CrossRef]
- Ranathunga, T.; Mcgibney, A.; Rea, S.; Bharti, S. Blockchain-Based Decentralized Model Aggregation for Cross-Silo Federated Learning in Industry 4.0. IEEE Internet Things J 2023, 10, 4449. [CrossRef]
- Kuo, T.; Yang, H. Federated Learning on Distributed and Encrypted Data for Smart Manufacturing.
- Li, W.; Fan, K.; Yang, K.; Yang, Y.; Li, H. PBFL: Privacy-Preserving and Byzantine-Robust Federated-Learning-Empowered Industry 4.0. IEEE Internet Things J 2024, 11, 7128. [CrossRef]
- Zhang, L.; Wu, S.; Xu, H.; Liu, Q.; Hong, C.S.; Han, Z. Optimizing Tradeoff Between Learning Speed and Cost for Federated-Learning-Enabled Industrial IoT. IEEE Internet Things J 2024, 11, 11663. [CrossRef]
- Kang, M.; Lee, D.; Bajestani, M.S.; Kim, D.B.; Noh, S.D. Edge Computing-Based Digital Twin Framework Based on ISO 23247 for Enhancing Data Processing Capabilities. Machines (Basel) 2025, 13, 19. Available online: https://www.proquest.com/docview/3159515400. [CrossRef]
- Mahdi, M.M.; Nyeem, H. Data-driven Embedding with Pixel Repetition for High Capacity Reversible Data Hiding, 2021 5th International Conference on Electrical Engineering and Information Communication Technology (ICEEICT), IEEE: 2021; pp. 1–4.












| Client | Train Data | Test Data |
|---|---|---|
| 1 | 216 | 72 |
| 2 | 348 | 116 |
| 3 | 1692 | 564 |
| 4 | 300 | 100 |
| 5 | 348 | 116 |
| 6 | 348 | 116 |
| 7 | 348 | 116 |
| 8 | 348 | 116 |
| Krum | Multi-Krum | Trimmed Mean | FedAvg (Vanilla) | ||||||||||||||||||||||||||||||||
|---|---|---|---|---|---|---|---|---|---|---|---|---|---|---|---|---|---|---|---|---|---|---|---|---|---|---|---|---|---|---|---|---|---|---|---|
| Client | 1 | 2 | 3 | 4 | 5 | 6 | 7 | 8 | 1 | 2 | 3 | 4 | 5 | 6 | 7 | 8 | 1 | 2 | 3 | 4 | 5 | 6 | 7 | 8 | 1 | 2 | 3 | 4 | 5 | 6 | 7 | 8 | |||
| TP | 48 | 67 | 317 | 65 | 73 | 72 | 72 | 74 | 48 | 67 | 317 | 65 | 73 | 73 | 73 | 74 | 48 | 67 | 317 | 66 | 73 | 73 | 73 | 74 | 48 | 67 | 317 | 64 | 73 | 73 | 73 | 74 | |||
| TN | 24 | 42 | 198 | 15 | 7 | 26 | 29 | 42 | 24 | 42 | 198 | 17 | 40 | 38 | 39 | 42 | 24 | 42 | 198 | 21 | 41 | 37 | 37 | 42 | 24 | 42 | 198 | 21 | 41 | 39 | 39 | 42 | |||
| FP | 0 | 0 | 1 | 17 | 35 | 16 | 13 | 0 | 0 | 0 | 1 | 15 | 2 | 4 | 3 | 0 | 0 | 0 | 1 | 11 | 1 | 5 | 5 | 0 | 0 | 0 | 1 | 11 | 1 | 3 | 3 | 0 | |||
| FN | 0 | 7 | 48 | 3 | 1 | 2 | 2 | 0 | 0 | 7 | 48 | 3 | 1 | 1 | 1 | 0 | 0 | 7 | 48 | 2 | 1 | 1 | 1 | 0 | 0 | 7 | 48 | 4 | 1 | 1 | 1 | 0 | |||
| Acc | 1.00 | 0.94 | 0.91 | 0.80 | 0.69 | 0.84 | 0.87 | 1.00 | 1.00 | 0.94 | 0.91 | 0.82 | 0.97 | 0.96 | 0.97 | 1.00 | 1.00 | 0.94 | 0.91 | 0.87 | 0.98 | 0.95 | 0.95 | 1.00 | 1.00 | 0.94 | 0.91 | 0.85 | 0.98 | 0.97 | 0.97 | 1.00 | |||
| Krum | Multi-Krum | Trimmed Mean | FedAvg (Vanilla) | ||||||||||||||||||||||||||||||||
|---|---|---|---|---|---|---|---|---|---|---|---|---|---|---|---|---|---|---|---|---|---|---|---|---|---|---|---|---|---|---|---|---|---|---|---|
| Client | 1 | 2 | 3 | 4 | 5 | 6 | 7 | 8 | 1 | 2 | 3 | 4 | 5 | 6 | 7 | 8 | 1 | 2 | 3 | 4 | 5 | 6 | 7 | 8 | 1 | 2 | 3 | 4 | 5 | 6 | 7 | 8 | |||
| TP | 48 | 67 | 317 | 66 | 73 | 73 | 73 | 74 | 48 | 67 | 318 | 66 | 73 | 73 | 73 | 74 | 48 | 67 | 317 | 66 | 73 | 73 | 73 | 74 | 48 | 67 | 317 | 66 | 73 | 73 | 73 | 74 | |||
| TN | 24 | 36 | 198 | 13 | 41 | 3 | 4 | 42 | 24 | 42 | 198 | 17 | 41 | 38 | 38 | 42 | 24 | 42 | 197 | 21 | 40 | 39 | 39 | 42 | 24 | 42 | 198 | 21 | 41 | 39 | 39 | 42 | |||
| FP | 0 | 6 | 1 | 19 | 1 | 39 | 38 | 0 | 0 | 0 | 1 | 15 | 1 | 4 | 4 | 0 | 0 | 0 | 2 | 11 | 2 | 3 | 3 | 0 | 0 | 0 | 1 | 11 | 1 | 3 | 3 | 0 | |||
| FN | 0 | 7 | 48 | 2 | 1 | 1 | 1 | 0 | 0 | 7 | 47 | 2 | 1 | 1 | 1 | 0 | 0 | 7 | 48 | 2 | 1 | 1 | 1 | 0 | 0 | 7 | 48 | 2 | 1 | 1 | 1 | 0 | |||
| Acc | 1.00 | 0.89 | 0.91 | 0.79 | 0.98 | 0.66 | 0.66 | 1.00 | 1.00 | 0.94 | 0.91 | 0.83 | 0.98 | 0.96 | 0.96 | 1.00 | 1.00 | 0.94 | 0.91 | 0.87 | 0.97 | 0.97 | 0.97 | 1.00 | 1.00 | 0.94 | 0.91 | 0.87 | 0.98 | 0.97 | 0.97 | 1.00 | |||
| Krum | Multi-Krum | Trimmed Mean | FedAvg (Vanilla) | ||||||||||||||||||||||||||||||||
|---|---|---|---|---|---|---|---|---|---|---|---|---|---|---|---|---|---|---|---|---|---|---|---|---|---|---|---|---|---|---|---|---|---|---|---|
| Client | 1 | 2 | 3 | 4 | 5 | 6 | 7 | 8 | 1 | 2 | 3 | 4 | 5 | 6 | 7 | 8 | 1 | 2 | 3 | 4 | 5 | 6 | 7 | 8 | 1 | 2 | 3 | 4 | 5 | 6 | 7 | 8 | |||
| TP | 48 | 67 | 317 | 66 | 66 | 72 | 72 | 74 | 48 | 67 | 318 | 67 | 73 | 73 | 73 | 74 | 48 | 67 | 317 | 66 | 73 | 73 | 73 | 74 | 48 | 67 | 317 | 66 | 56 | 73 | 73 | 74 | |||
| TN | 24 | 42 | 198 | 15 | 42 | 25 | 23 | 42 | 24 | 42 | 198 | 16 | 40 | 38 | 38 | 42 | 24 | 42 | 198 | 21 | 39 | 38 | 38 | 42 | 24 | 42 | 198 | 21 | 41 | 36 | 36 | 42 | |||
| FP | 0 | 0 | 1 | 17 | 0 | 17 | 19 | 0 | 0 | 0 | 1 | 16 | 2 | 4 | 4 | 0 | 0 | 0 | 1 | 11 | 3 | 4 | 4 | 0 | 0 | 0 | 1 | 11 | 1 | 6 | 6 | 0 | |||
| FN | 0 | 7 | 48 | 2 | 8 | 2 | 2 | 0 | 0 | 7 | 47 | 1 | 1 | 1 | 1 | 0 | 0 | 7 | 48 | 2 | 1 | 1 | 1 | 0 | 0 | 7 | 48 | 2 | 18 | 1 | 1 | 0 | |||
| Acc | 1.00 | 0.94 | 0.91 | 0.81 | 0.93 | 0.84 | 0.82 | 1.00 | 1.00 | 0.94 | 0.91 | 0.83 | 0.97 | 0.96 | 0.96 | 1.00 | 1.00 | 0.94 | 0.91 | 0.87 | 0.97 | 0.96 | 0.96 | 1.00 | 1.00 | 0.94 | 0.91 | 0.87 | 0.84 | 0.94 | 0.94 | 1.00 | |||
Disclaimer/Publisher’s Note: The statements, opinions and data contained in all publications are solely those of the individual author(s) and contributor(s) and not of MDPI and/or the editor(s). MDPI and/or the editor(s) disclaim responsibility for any injury to people or property resulting from any ideas, methods, instructions or products referred to in the content. |
© 2025 by the authors. Licensee MDPI, Basel, Switzerland. This article is an open access article distributed under the terms and conditions of the Creative Commons Attribution (CC BY) license (https://creativecommons.org/licenses/by/4.0/).