Submitted:
23 July 2025
Posted:
24 July 2025
You are already at the latest version
Abstract
Keywords:
1. Introduction
2. Sensors and Data Streams for Livestock Monitoring
| Name | Species being Monitored1 |
What is Being Measured |
Sensor Technology |
Purpose of Monitoring |
Comments |
|---|---|---|---|---|---|
| 1 Individual intakes | Dairy Cows, Beef Cattle, Calves, Sheep | Individual feeding & drinking behaviour; Amounts if technology allows | Sensors at feeders/drinkers that record individual RFID tags. More advanced systems that also record feed or drink taken at each bout. | Managing Nutrition & Production; Detecting Health & Welfare Problems of individuals | |
| 2 Group intakes |
Dairy Cows, Beef Cattle, Calves, Pigs, Poultry, Goats, Sheep | Group feeding & drinking including amounts | Automatic livestock feeders and drinkers | Managing group Nutrition & Production; Detecting Health & Welfare Problems in groups | |
| 3 Individual weights | Dairy Cows, Beef Cattle, Pigs, Sheep | Individual Live-weights | Walk over weighers that record individual RFID tags. | Managing Nutrition & Production; Detecting Health & Welfare Problems of individuals | Walk over weighers placed to maximise the number of readings (e.g. on way in/out of milking parlour) |
| 4 Estimated weights per individual | Pigs, Sheep | Live-weights estimates per individual but individuals not identified | Walk over weighers (e.g. at races, or in pens) | Managing Nutrition & Production; Detecting Health & Welfare Problems in groups/of individuals | Can be used to sort into different feeding areas using marking and/or gates system. For pigs in pens can be placed between loafing and feeding areas or separating off if unwell. |
| 5 Estimated liveweights per group/ individual |
Poultry - Broilers, Turkeys | Live-weight plus number on plate hence average liveweights; Individuals not identified; Some platforms only measure one bird at a time | Weighing Plates/Platforms for individuals/groups | Managing group Nutrition & Production; Detecting Health & Welfare Problems in groups | This is a sampling of weights in the flock. Could give 1000s of weight measurements per day. |
| 6 Milk parlour data |
Dairy Cows | Milk yield, milking duration, peak flow; milk quality, Somatic Cell Count (SCC); position in parlour/ milker | Automatic milking systems plus manual sampling | Managing Nutrition & Production; Detecting Health & Welfare Problems of individuals | Milk quality and SCC measures may not be available in real time but could be sampled regularly (e.g. once per day or week). |
| 7 Milk bulk lab data | Dairy Cows | Somatic Cell Count (SCC), Milk quality | Milk bulk sampling - manual sampling | Managing group Nutrition & Production; Detecting Health & Welfare Problems in groups | Milk quality and SCC measures may not be available in real time but could be sampled regularly (e.g. once per day or week). |
| 8 Milk other bulk data | Dairy Cows | Temperature, Volume, Stirring | Milk bulk sampling - various sensors | Managing group Milk Production and Processing | Real time monitoring of physical attributes of milk in bulk tank are available |
| 9 Accelerometer | Dairy Cows, Beef Cattle, Pigs, Sheep, Goat | Behaviour (e.g. activity or time budgets in different classes: lying/standing, grazing/not, rumination, … or raw acceleration in x, y and z direction) | Accelerometer | Detecting Heat, Calving/ Lambing/ Farrowing, Health & Welfare Problems | Not usually used on pigs on real farms. For sheep cheaper options needed. For grazing animals often removed at intervals for data download and recharging. Can give raw accelerometer data but sometimes measures are derived only (e.g. behaviour). |
| 10 Pedometer | Dairy Cows, Beef Cattle, Pigs, Sheep, Goat | Behaviour (step count) | Pedometer | Detecting Heat, Calving/ Lambing/ Farrowing, Health & Welfare Problems | Less advanced than accelerometer |
| 11 Location | Dairy Cows, Beef Cattle, Pigs, Sheep, Goat | Location and behaviour | GNSS (Global navigation satellite system), GPS (global positioning system) | Managing Grazing & Production; Detecting Health & Welfare Problems of individuals | |
| 12 Relative location | Dairy Cows, Beef Cattle, Pigs, Sheep, Goat | Location relative to static receivers and behaviour | Proximity loggers plus static receivers | Managing Grazing & Production; Detecting Health & Welfare Problems of individuals | Locations can be estimated as well as mother-off spring distances |
| 13 2D Imaging – pigs |
Pigs | Body condition score, Liveweight | 2D Imaging from above | Managing Nutrition & Production; Detecting Health & Welfare Problems of individuals | Can be placed between loafing and feeding areas and used to sort into different feeding areas using gates system |
| 14 2D/3D Imaging – identified cows & pigs |
Cows, Pigs | Body condition score, Liveweight, Behaviour | 2D/3D Imaging from above | Managing Nutrition & Production; Detecting Health & Welfare Problems of individuals | Identifying individuals is difficult so used in combination with reading RFID tags at intervals and then tracking. |
| 15 2D Imaging - birds |
Poultry - Broilers, Turkeys | Location and behaviour; Dead birds; Weight estimation; | 2D Imaging from above | Managing Nutrition & Production; Detecting Health & Welfare Problems of groups | |
| 16 Thermal imaging | Dairy Cows, Beef Cattle, Calves, Pigs, Poultry, Goats, Sheep | Body Temperature | Thermal Imaging | Detecting Health & Welfare Problems of individuals | Can be used for detecting heat stress, and potentially fever, pain, … |
| 17 Thermometer | Dairy Cows | Body Temperature | Thermometer | Detecting Health & Welfare Problems of individuals | |
| 18 Sound - vocalisations | Dairy Cows, Beef Cattle, Calves, Pigs, Poultry, Goats, Sheep | Specific Species Dependent Vocalisations | Acoustic Sensors | Detecting Health & Welfare Problems of Groups | These sensors are mounted in e.g. house, but could be used outside in confined areas |
| 19 Sound – feeding behaviour | Cows, Sheep | Feed intake, Behaviour (grazing, ruminating) | Acoustic Sensors | Managing Grazing & Production | These sensors are mounted on animals |
| 20 Remote satellite sensing | Available Grazing for Cows, Sheep | Quality of grazing | Remote Sensing (Satellite imaging) | Managing Grazing | |
| 21 Drones | Cows, Sheep and Available Grazing | Quality of grazing; Location of groups; | UAV (Unmanned Aerial Vehicle) | Managing Grazing; Detecting Health & Welfare Problems | |
| 22 Environmental sensors | Environmental conditions for livestock | Temperature, Humidity, Emissions (e.g. Ammonia, Methane, CO2) | Environmental sensors | Managing Health & Welfare Problems of groups; Managing emissions | |
| 23 Weather | Weather for livestock | Temperature, Humidity, Rainfall, Windspeed, … | Weather station | Managing Health & Welfare Problems of groups |
| Name |
Measurement on: |
Timing of sensor measurements |
Animals are: |
Sensor is: |
Sensor is: |
||||||||
|---|---|---|---|---|---|---|---|---|---|---|---|---|---|
| Name | Individuals ID known | Individuals ID not known | Some Individuals ID not known | Groups or impact on groups | Continuous or near-continuous | Intermittent | Regular | Housed (usually) | Outside/grazing | On animal | Not on animal | At fixed location1 | Mobile |
| 1 Individual intakes | ● | ● | ● | ● | ● | ● | |||||||
| 2 Group intakes | ● | ● | ● | ● | ● | ● | ● | ||||||
| 3 Individual weights | ● | ● | ● | ● | ● | ● | ● | ||||||
| 4 Estimated weights per individual | ● | ● | ● | ● | ● | ||||||||
| 5 Estimated liveweights per group/individual | ● | ● | ● | ● | ● | ||||||||
| 6 Milk parlour data | ● | ● | ● | ● | ● | ● | ● | ||||||
| 7 Milk bulk lab data | ● | ● | ● | ● | ● | ● | ● | ||||||
| 8 Milk bulk other data | ● | ● | ● | ● | ● | ● | |||||||
| 9 Accelerometer | ● | ● | ● | ● | ● | ● | ● | ||||||
| 10 Pedometer | ● | ● | ● | ● | ● | ● | ● | ||||||
| 11 Location | ● | ● | ● | ● | ● | ● | |||||||
| 12 Relative location | ● | ● | ● | ● | ● | ● | ● | ||||||
| 13 2D Imaging – pigs | ● | ● | ● | ● | ● | ● | |||||||
| 14 2D/3D Imaging – identified cows & pigs | ● | ● | ● | ● | ● | ● | |||||||
| 15 2D Imaging - birds | ● | ● | ● | ● | ● | ● | ● | ● | |||||
| 16 Thermal imaging | ● | ● | ● | ● | ● | ● | ● | ● | |||||
| 17 Thermometer | ● | ● | ● | ● | ● | ● | ● | ||||||
| 18 Sound - vocalisations | ● | ● | ● | ● | ● | ● | |||||||
| 19 Sound – feeding behaviour | ● | ● | ● | ● | ● | ● | ● | ||||||
| 20 Remote satellite sensing | ● | ● | ● | ● | |||||||||
| 21 Drones | ● | ● | ● | ● | ● | ● | ● | ||||||
| 22 Environmental sensors | ● | ● | ● | ● | ● | ||||||||
| 23 Weather | ● | ● | ● | ● | ● | ||||||||
3. Framing the Prediction/Decision and Validation Problem
4. Methods for Predictions/Decisions
4.1. Simple Methods

4.2. Anomaly/Change-Point Detection
4.3. Classical Statistical Modelling
4.3.1. Modelling Usual Monitoring Data
4.3.2. Modelling based on the Outcome of Interest
4.4. Latent Class or Variable Modelling
4.5. Machine Learning Methods
4.5.1. Basic Machine Learning Methods
4.5.2. Neural Networks
4.5.3. Application of Machine Learning in Prediction/Decision Context
4.6. Discussion of Alternative Prediction/Decision Methods
5. Validation of Predictions/Decisions
5.1. Challenges
- Instead of one prediction per sampling unit (e.g. animal) we have a sequence of predictions so there is the additional complexity of random effects/longitudinal data, which complicates calculation of simple validation measures akin to sensitivity and specificity;
- There is often no gold standard measurement (validation data) against which validation of predictions can occur;
- Where there is useful validation data for on farm studies, there are often lags between a problem starting and it being observed in the validation data. For example, the validation data collection may only detect disease when it becomes severe. Indeed, if the monitoring can detect pre-clinical disease, which is often the aim of auto-monitoring, this validation data would not be expected to coincide with detection by the monitoring data. Alternatively, very accurate validation may be possible in theory, but it is not practical to collect it locally in time in a study, particularly naturally occurring adverse events in long term on farm studies, for example, animals may be assessed just once a week;
- Furthermore, the true issue in which there is interest in predicting will often not suddenly occur at a single time step, but more likely will gradually increase over time, and then diminish, and much, or all, of this true process may go unobserved at the time at which it is occurring.
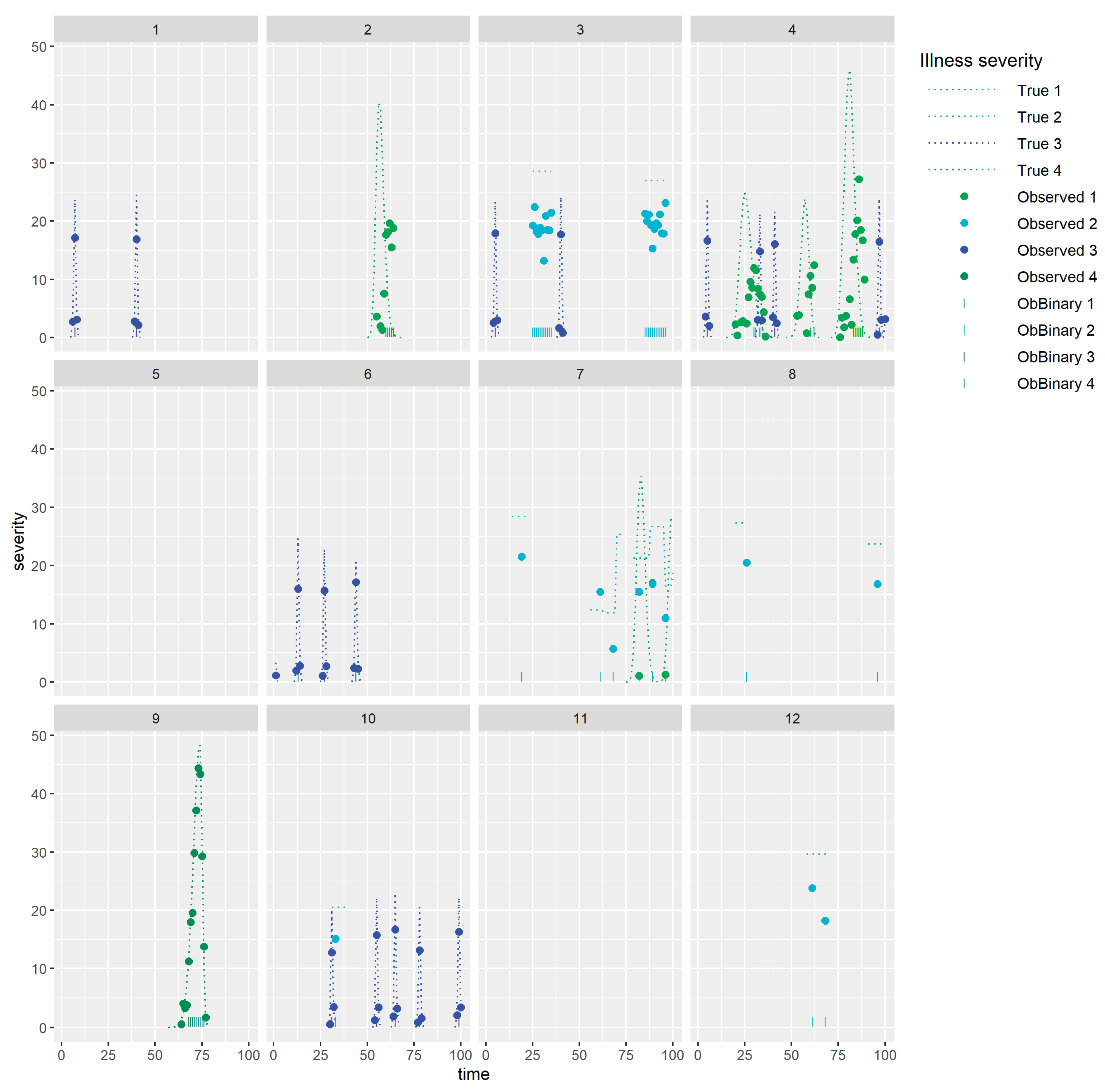
5.2. Data Visualisation
- the time of the first binary observation of an illness type
- the time of the first positive value of an observed illness severity measure
- the time of the maximum value of an observed illness severity measure
5.3. Quantitative Assessment
- the nature of the measurement on which the decisions are based;
- whether assessment is based on the data measurement or the decisions;
- the nature of the available validation data;
- the availability and accuracy of validation data;
- the structure of the data set, in particular the hierarchy (e.g. repeated measurements within individuals within farms).
5.3.1. Classification
5.3.2. Severity
5.3.3. Time Lags and Other Temporal Considerations
5.4. Cross Validation
5.5. On Farm Validation in Practice
5.6. Other Considerations
6. Detailed Examples and Types of Studies
6.1. Small Scale Clinical Studies for Specific Health Issues
6.2. On-Farm and In-Field Studies
6.2.1. Dairy Farms
- parlour data (2-3 times per day) from the automatic milking system, which includes milk yield, duration, peak flow and position in parlour
- live weight from walk over weighers on exiting the parlour
- lameness related measures from step sensor platform, Stepmetrix [172], on exiting the parlour
- feed and water intake from HOKOs [173]
- from 2013, behaviour at 15 minute intervals from IceCube accelerometers [174]
6.2.2. Extensively Managed Cattle and Sheep
6.2.3. Pigs & Poultry
6.2.4. Summary
6.3. High Level Validation Studies
7. Conclusions
Author Contributions
Funding
Institutional Review Board Statement
Informed Consent Statement
Data Availability Statement
Acknowledgments
Conflicts of Interest
References
- Dayioğlu, M.A.; Türker, U. Digital Transformation for Sustainable Future-Agriculture 4.0: A Review. Tarim Bilimleri Dergisi 2021, 27, 373–399. [Google Scholar] [CrossRef]
- Monteiro, A.; Santos, S.; Gonçalves, P. Precision Agriculture for Crop and Livestock Farming—Brief Review. Animals 2021, 11. [Google Scholar] [CrossRef] [PubMed]
- Karunathilake, E.M.B.M.; Le, A.T.; Heo, S.; Chung, Y.S.; Mansoor, S. The Path to Smart Farming: Innovations and Opportunities in Precision Agriculture. Agriculture (Switzerland) 2023, 13. [Google Scholar] [CrossRef]
- Karunathilake, E.M.B.M.; Le, A.T.; Heo, S.; Chung, Y.S.; Mansoor, S. The Path to Smart Farming: Innovations and Opportunities in Precision Agriculture. Agriculture (Switzerland) 2023, 13. [Google Scholar] [CrossRef]
- Benos, L.; Tagarakis, A.C.; Dolias, G.; Berruto, R.; Kateris, D.; Bochtis, D. Machine Learning in Agriculture: A Comprehensive Updated Review. Sensors 2021, 21. [Google Scholar] [CrossRef]
- Sharma, A.; Jain, A.; Gupta, P.; Chowdary, V. Machine Learning Applications for Precision Agriculture: A Comprehensive Review. IEEE Access 2021, 9, 4843–4873. [Google Scholar] [CrossRef]
- Kamilaris, A.; Prenafeta-Boldú, F.X. Deep Learning in Agriculture: A Survey. Comput Electron Agric 2018, 147, 70–90. [Google Scholar] [CrossRef]
- Jiang, B.; Tang, W.; Cui, L.; Deng, X. Precision Livestock Farming Research: A Global Scientometric Review. Animals 2023, 13. [Google Scholar] [CrossRef]
- Zhang, M.; Wang, X.; Feng, H.; Huang, Q.; Xiao, X.; Zhang, X. Wearable Internet of Things Enabled Precision Livestock Farming in Smart Farms: A Review of Technical Solutions for Precise Perception, Biocompatibility, and Sustainability Monitoring. J Clean Prod 2021, 312, 127712. [Google Scholar] [CrossRef]
- Rosa, G.J.M. Grand Challenge in Precision Livestock Farming. Frontiers in Animal Science 2021, 2. [Google Scholar] [CrossRef]
- van Erp-van der, E.; Rutter, S.M. Using Precision Farming to Improve Animal Welfare. CABI Reviews 2020, 2020. [Google Scholar] [CrossRef]
- Bailey, D.W.; Trotter, M.G.; Tobin, C.; Thomas, M.G. Opportunities to Apply Precision Livestock Management on Rangelands. Front Sustain Food Syst 2021, 5. [Google Scholar] [CrossRef]
- Tobin, C.T.; Bailey, D.W.; Stephenson, M.B.; Trotter, M.G.; Knight, C.W.; Faist, A.M. Opportunities to Monitor Animal Welfare Using the Five Freedoms with Precision Livestock Management on Rangelands. Frontiers in Animal Science 2022, 3. [Google Scholar] [CrossRef]
- Aquilani, C.; Confessore, A.; Bozzi, R.; Sirtori, F.; Pugliese, C. Review: Precision Livestock Farming Technologies in Pasture-Based Livestock Systems. Animal 2022, 16. [Google Scholar] [CrossRef]
- Neethirajan, S.; Kemp, B. Digital Livestock Farming. Sens Biosensing Res 2021, 32, 100408. [Google Scholar] [CrossRef]
- García, R.; Aguilar, J.; Toro, M.; Pinto, A.; Rodríguez, P. A Systematic Literature Review on the Use of Machine Learning in Precision Livestock Farming. Comput Electron Agric 2020, 179, 105826. [Google Scholar] [CrossRef]
- Neethirajan, S. The Role of Sensors, Big Data and Machine Learning in Modern Animal Farming. Sens Biosensing Res 2020, 29, 100367. [Google Scholar] [CrossRef]
- Tedeschi, L.O.; Greenwood, P.L.; Halachmi, I. Advancements in Sensor Technology and Decision Support Intelligent Tools to Assist Smart Livestock Farming. J Anim Sci 2021, 99. [Google Scholar] [CrossRef] [PubMed]
- Neethirajan, S. Artificial Intelligence and Sensor Technologies in Dairy Livestock Export: Charting a Digital Transformation. Sensors 2023, 23. [Google Scholar] [CrossRef] [PubMed]
- Morota, G.; Ventura, R. V.; Silva, F.F.; Koyama, M.; Fernando, S.C. Big Data Analytics and Precision Animal Agriculture Symposium: Machine Learning and Data Mining Advance Predictive Big Data Analysis in Precision Animal Agriculture. J Anim Sci 2018, 96, 1540–1550. [Google Scholar] [CrossRef]
- Neethirajan, S. SOLARIA-SensOr-Driven ResiLient and Adaptive MonitoRIng of Farm Animals. Agriculture (Switzerland) 2023, 13. [Google Scholar] [CrossRef]
- Neethirajan, S. Artificial Intelligence and Sensor Innovations: Enhancing Livestock Welfare with a Human-Centric Approach. Human-Centric Intelligent Systems 2023. [Google Scholar] [CrossRef]
- Agrawal, S.; Ghosh, S.; Kaushal, S.; Roy, B.; Nigwal, A.; Lakhani, G.P.; Jain, A.; Udde, V. Precision Dairy Farming: A Boon for Dairy Farm Management. 2023, 8. [Google Scholar]
- Kleen, J.L.; Guatteo, R. Precision Livestock Farming: What Does It Contain and What Are the Perspectives? Animals 2023, 13. [Google Scholar] [CrossRef] [PubMed]
- Michie, C.; Andonovic, I.; Davison, C.; Hamilton, A.; Tachtatzis, C.; Jonsson, N.; Duthie, C.A.; Bowen, J.; Gilroy, M. The Internet of Things Enhancing Animal Welfare and Farm Operational Efficiency. Journal of Dairy Research 2020, 87, 20–27. [Google Scholar] [CrossRef]
- Knight, C.H. Review: Sensor Techniques in Ruminants: More than Fitness Trackers. Animal 2020, 14, S187–S195. [Google Scholar] [CrossRef] [PubMed]
- Szenci, O. Accuracy to Predict the Onset of Calving in Dairy Farms by Using Different Precision Livestock Farming Devices. Animals 2022, 12, 2006. [Google Scholar] [CrossRef]
- Santos, C.A. dos; Landim, N.M.D.; Araújo, H.X. de; Paim, T. do P. Automated Systems for Estrous and Calving Detection in Dairy Cattle. AgriEngineering 2022, 4, 475–482. [Google Scholar] [CrossRef]
- Antanaitis, R.; Anskienė, L.; Palubinskas, G.; Džermeikaitė, K.; Bačėninaitė, D.; Viora, L.; Rutkauskas, A. Ruminating, Eating, and Locomotion Behavior Registered by Innovative Technologies around Calving in Dairy Cows. Animals 2023, 13. [Google Scholar] [CrossRef]
- Borchers, M.R.; Chang, Y.M.; Proudfoot, K.L.; Wadsworth, B.A.; Stone, A.E.; Bewley, J.M. Machine-Learning-Based Calving Prediction from Activity, Lying, and Ruminating Behaviors in Dairy Cattle. J Dairy Sci 2017, 100, 5664–5674. [Google Scholar] [CrossRef]
- Keceli, A.S.; Catal, C.; Kaya, A.; Tekinerdogan, B. Development of a Recurrent Neural Networks-Based Calving Prediction Model Using Activity and Behavioral Data. Comput Electron Agric 2020, 170. [Google Scholar] [CrossRef]
- Horváth, A.; Lénárt, L.; Csepreghy, A.; Madar, M.; Pálffy, M.; Szenci, O. A Field Study Using Different Technologies to Detect Calving at a Large-Scale Hungarian Dairy Farm. Reproduction in Domestic Animals 2021, 56, 673–679. [Google Scholar] [CrossRef] [PubMed]
- Crociati, M.; Sylla, L.; De Vincenzi, A.; Stradaioli, G.; Monaci, M. How to Predict Parturition in Cattle? A Literature Review of Automatic Devices and Technologies for Remote Monitoring and Calving Prediction. Animals 2022, 12. [Google Scholar] [CrossRef]
- Steensels, M.; Antler, A.; Bahr, C.; Berckmans, D.; Maltz, E.; Halachmi, I. A Decision-Tree Model to Detect Post-Calving Diseases Based on Rumination, Activity, Milk Yield, BW and Voluntary Visits to the Milking Robot. Animal 2016, 10, 1493–1500. [Google Scholar] [CrossRef] [PubMed]
- Higaki, S.; Matsui, Y.; Sasaki, Y.; Takahashi, K.; Honkawa, K.; Horii, Y.; Minamino, T.; Suda, T.; Yoshioka, K. Prediction of 24-h and 6-h Periods before Calving Using a Multimodal Tail-Attached Device Equipped with a Thermistor and 3-Axis Accelerometer through Supervised Machine Learning. Animals 2022, 12, 2095. [Google Scholar] [CrossRef]
- Van Hertem, T.; Bahr, C.; Tello, A.S.; Viazzi, S.; Steensels, M.; Romanini, C.E.B.; Lokhorst, C.; Maltz, E.; Halachmi, I.; Berckmans, D. Lameness Detection in Dairy Cattle: Single Predictor v. Multivariate Analysis of Image-Based Posture Processing and Behaviour and Performance Sensing. Animal 2016, 10, 1525–1532. [Google Scholar] [CrossRef] [PubMed]
- Riaboff, L.; Relun, A.; Petiot, C.-E.; Feuilloy, M.; Couvreur, S.; Madouasse, A. Identification of Discriminating Behavioural and Movement Variables in Lameness Scores of Dairy Cows at Pasture from Accelerometer and GPS Sensors Using a Partial Least Squares Discriminant Analysis. Prev Vet Med 2021, 193, 105383. [Google Scholar] [CrossRef]
- Lemmens, L.; Schodl, K.; Fuerst-Waltl, B.; Schwarzenbacher, H.; Egger-Danner, C.; Linke, K.; Suntinger, M.; Phelan, M.; Mayerhofer, M.; Steininger, F.; et al. The Combined Use of Automated Milking System and Sensor Data to Improve Detection of Mild Lameness in Dairy Cattle. Animals 2023, 13. [Google Scholar] [CrossRef]
- Zhang, K.; Han, S.; Wu, J.; Cheng, G.; Wang, Y.; Wu, S.; Liu, J. Early Lameness Detection in Dairy Cattle Based on Wearable Gait Analysis Using Semi-Supervised LSTM-Autoencoder. Comput Electron Agric 2023, 213, 108252. [Google Scholar] [CrossRef]
- Beer, G.; Alsaaod, M.; Starke, A.; Schuepbach-Regula, G.; Müller, H.; Kohler, P.; Steiner, A. Use of Extended Characteristics of Locomotion and Feeding Behavior for Automated Identification of Lame Dairy Cows. PLoS One 2016, 11. [Google Scholar] [CrossRef]
- Post, C.; Rietz, C.; Büscher, W.; Müller, U. Using Sensor Data to Detect Lameness and Mastitis Treatment Events in Dairy Cows: A Comparison of Classification Models. Sensors (Switzerland) 2020, 20, 1–18. [Google Scholar] [CrossRef]
- Kang, X.; Zhang, X.D.; Liu, G. A Review: Development of Computer Vision-based Lameness Detection for Dairy Cows and Discussion of the Practical Applications. Sensors (Switzerland) 2021, 21, 1–24. [Google Scholar] [CrossRef] [PubMed]
- O’Leary, N.W.; Byrne, D.T.; O’Connor, A.H.; Shalloo, L. Invited Review: Cattle Lameness Detection with Accelerometers. J Dairy Sci 2020, 103, 3895–3911. [Google Scholar] [CrossRef] [PubMed]
- Busin, V.; Viora, L.; King, G.; Tomlinson, M.; Lekernec, J.; Jonsson, N.; Fioranelli, F. Evaluation of Lameness Detection Using Radar Sensing in Ruminants. Veterinary Record 2019, 185, 572. [Google Scholar] [CrossRef]
- Shrestha, A.; Loukas, C.; Le Kernec, J.; Fioranelli, F.; Busin, V.; Jonsson, N.; King, G.; Tomlinson, M.; Viora, L.; Voute, L. Animal Lameness Detection with Radar Sensing. IEEE Geoscience and Remote Sensing Letters 2018, 15, 1189–1193. [Google Scholar] [CrossRef]
- Perttu, R.K.; Peiter, M.; Bresolin, T.; Dórea, J.R.R.; Endres, M.I. Predictive Models for Disease Detection in Group-Housed Preweaning Dairy Calves Using Data Collected from Automated Milk Feeders. J Dairy Sci 2024, 107, 331–341. [Google Scholar] [CrossRef]
- Silva, F.G.; Conceição, C.; Pereira, A.M.F.; Cerqueira, J.L.; Silva, S.R. Literature Review on Technological Applications to Monitor and Evaluate Calves’ Health and Welfare. Animals 2023, 13. [Google Scholar] [CrossRef]
- Džermeikaitė, K.; Bačėninaitė, D.; Antanaitis, R. Innovations in Cattle Farming: Application of Innovative Technologies and Sensors in the Diagnosis of Diseases. Animals 2023, 13. [Google Scholar] [CrossRef]
- Vidal, G.; Sharpnack, J.; Pinedo, P.; Tsai, I.C.; Lee, A.R.; Martínez-López, B. Impact of Sensor Data Pre-Processing Strategies and Selection of Machine Learning Algorithm on the Prediction of Metritis Events in Dairy Cattle. Prev Vet Med 2023, 215. [Google Scholar] [CrossRef] [PubMed]
- Denholm, S.J.; Brand, W.; Mitchell, A.P.; Wells, A.T.; Krzyzelewski, T.; Smith, S.L.; Wall, E.; Coffey, M.P. Predicting Bovine Tuberculosis Status of Dairy Cows from Mid-Infrared Spectral Data of Milk Using Deep Learning. J Dairy Sci 2020, 103, 9355–9367. [Google Scholar] [CrossRef]
- Cantor, M.C.; Casella, E.; Silvestri, S.; Renaud, D.L.; Costa, J.H.C. Using Machine Learning and Behavioral Patterns Observed by Automated Feeders and Accelerometers for the Early Indication of Clinical Bovine Respiratory Disease Status in Preweaned Dairy Calves. Frontiers in Animal Science 2022, 3. [Google Scholar] [CrossRef]
- Bowen, J.M.; Haskell, M.J.; Miller, G.A.; Mason, C.S.; Bell, D.J.; Duthie, C.A. Early Prediction of Respiratory Disease in Preweaning Dairy Calves Using Feeding and Activity Behaviors. J Dairy Sci 2021, 104, 12009–12018. [Google Scholar] [CrossRef]
- Duthie, C.A.; Bowen, J.M.; Bell, D.J.; Miller, G.A.; Mason, C.; Haskell, M.J. Feeding Behaviour and Activity as Early Indicators of Disease in Pre-Weaned Dairy Calves. Animal 2021, 15. [Google Scholar] [CrossRef]
- De Vries, A.; Bliznyuk, N.; Pinedo, P. Invited Review: Examples and Opportunities for Artificial Intelligence (AI) in Dairy Farms*. Applied Animal Science 2023, 39, 14–22. [Google Scholar] [CrossRef]
- Ghaffari, M.H.; Monneret, A.; Hammon, H.M.; Post, C.; Müller, U.; Frieten, D.; Gerbert, C.; Dusel, G.; Koch, C. Deep Convolutional Neural Networks for the Detection of Diarrhea and Respiratory Disease in Preweaning Dairy Calves Using Data from Automated Milk Feeders. J Dairy Sci 2022, 105, 9882–9895. [Google Scholar] [CrossRef] [PubMed]
- Shahinfar, S.; Khansefid, M.; Haile-Mariam, M.; Pryce, J.E. Machine Learning Approaches for the Prediction of Lameness in Dairy Cows. Animal 2021, 15. [Google Scholar] [CrossRef] [PubMed]
- Williams, T.; Wilson, C.; Wynn, P.; Costa, D. Opportunities for Precision Livestock Management in the Face of Climate Change: A Focus on Extensive Systems. Animal Frontiers 2021, 11, 63–68. [Google Scholar] [CrossRef]
- Chang, A.Z.; Swain, D.L.; Trotter, M.G. A Multi-Sensor Approach to Calving Detection. Information Processing in Agriculture 2022. [Google Scholar] [CrossRef]
- Williams, T.M.; Costa, D.F.A.; Wilson, C.S.; Chang, A.; Manning, J.; Swain, D.; Trotter, M.G. Sensor-Based Detection of Parturition in Beef Cattle Grazing in an Extensive Landscape: A Case Study Using a Commercial GNSS Collar. Anim Prod Sci 2022, 62, 993–999. [Google Scholar] [CrossRef]
- García García, M.J.; Maroto Molina, F.; Pérez Marín, C.C.; Pérez Marín, D.C. Potential for Automatic Detection of Calving in Beef Cows Grazing on Rangelands from Global Navigate Satellite System Collar Data. Animal 2023, 17. [Google Scholar] [CrossRef]
- Chang, A.Z.; Swain, D.L.; Trotter, M.G. Towards Sensor-Based Calving Detection in the Rangelands: A Systematic Review of Credible Behavioral and Physiological Indicators. Transl Anim Sci 2020, 4, 1–18. [Google Scholar] [CrossRef]
- Wolfger, B.; Schwartzkopf-Genswein, K.S.; Barkema, H.W.; Pajor, E.A.; Levy, M.; Orsel, K. Feeding Behavior as an Early Predictor of Bovine Respiratory Disease in North American Feedlot Systems1. J Anim Sci 2015, 93, 377–385. [Google Scholar] [CrossRef]
- Bailey, D.W.; Trotter, M.G.; Knight, C.W.; Thomas, M.G. Use of GPS Tracking Collars and Accelerometers for Rangeland Livestock Production Research. Transl Anim Sci 2018, 2, 81–88. [Google Scholar] [CrossRef]
- Qiao, Y.; Kong, H.; Clark, C.; Lomax, S.; Su, D.; Eiffert, S.; Sukkarieh, S. Intelligent Perception-Based Cattle Lameness Detection and Behaviour Recognition: A Review. Animals 2021, 11. [Google Scholar] [CrossRef] [PubMed]
- Greenwood, P.L.; Kardailsky, I.; Badgery, W.B.; Bishop-Hurley, G.J. Smart Farming for Extensive Grazing Ruminant Production Systems. J Anim Sci 2020, 98, 139–140. [Google Scholar] [CrossRef]
- Tzanidakis, C.; Tzamaloukas, O.; Simitzis, P.; Panagakis, P. Precision Livestock Farming Applications (PLF) for Grazing Animals. Agriculture (Switzerland) 2023, 13. [Google Scholar] [CrossRef]
- Fogarty, E.S.; Swain, D.L.; Cronin, G.; Trotter, M. Autonomous On-Animal Sensors in Sheep Research: A Systematic Review. Comput Electron Agric 2018, 150, 245–256. [Google Scholar] [CrossRef]
- Silva, S.R.; Sacarrão-Birrento, L.; Almeida, M.; Ribeiro, D.M.; Guedes, C.; Montaña, J.R.G.; Pereira, A.F.; Zaralis, K.; Geraldo, A.; Tzamaloukas, O.; et al. Extensive Sheep and Goat Production: The Role of Novel Technologies towards Sustainability and Animal Welfare. Animals 2022, 12. [Google Scholar] [CrossRef]
- Odintsov Vaintrub, M.; Levit, H.; Chincarini, M.; Fusaro, I.; Giammarco, M.; Vignola, G. Review: Precision Livestock Farming, Automats and New Technologies: Possible Applications in Extensive Dairy Sheep Farming. Animal 2021, 15. [Google Scholar] [CrossRef]
- Morgan-Davies, C.; Tesnière, G.; Gautier, J.M.; Jørgensen, G.H.M.; González-García, E.; Patsios, S.I.; Sossidou, E.N.; Keady, T.W.J.; McClearn, B.; Kenyon, F.; et al. Review: Exploring the Use of Precision Livestock Farming for Small Ruminant Welfare Management. Animal 2024, 18. [Google Scholar] [CrossRef]
- Fogarty, E.S.; Swain, D.L.; Cronin, G.M.; Moraes, L.E.; Bailey, D.W.; Trotter, M.G. Potential for Autonomous Detection of Lambing Using Global Navigation Satellite System Technology. Anim Prod Sci 2020, 60, 1217. [Google Scholar] [CrossRef]
- Fogarty, E.S.; Swain, D.L.; Cronin, G.M.; Moraes, L.E.; Bailey, D.W.; Trotter, M. Developing a Simulated Online Model That Integrates GNSS, Accelerometer and Weather Data to Detect Parturition Events in Grazing Sheep: A Machine Learning Approach. Animals 2021, 11, 303. [Google Scholar] [CrossRef]
- Dobos, R.C.; Dickson, S.; Bailey, D.W.; Trotter, M.G. The Use of GNSS Technology to Identify Lambing Behaviour in Pregnant Grazing Merino Ewes. Anim Prod Sci 2014, 54, 1722–1727. [Google Scholar] [CrossRef]
- Sohi, R.; Almasi, F.; Nguyen, H.; Carroll, A.; Trompf, J.; Weerasinghe, M.; Bervan, A.; Godoy, B.I.; Ahmed, A.; Stear, M.J.; et al. Determination of Ewe Behaviour around Lambing Time and Prediction of Parturition 7days Prior to Lambing by Tri-Axial Accelerometer Sensors in an Extensive Farming System. Anim Prod Sci 2022. [Google Scholar] [CrossRef]
- Fogarty, E.S.; Manning, J.K.; Trotter, M.G.; Schneider, D.A.; Thomson, P.C.; Bush, R.D.; Cronin, G.M. GNSS Technology and Its Application for Improved Reproductive Management in Extensive Sheep Systems. Anim Prod Sci 2015, 55, 1272–1280. [Google Scholar] [CrossRef]
- Gurule, S.C.; Flores, V. V.; Forrest, K.K.; Gifford, C.A.; Wenzel, J.C.; Tobin, C.T.; Bailey, D.W.; Hernandez Gifford, J.A. A Case Study Using Accelerometers to Identify Illness in Ewes Following Unintentional Exposure to Mold-Contaminated Feed. Animals 2022, 12, 266. [Google Scholar] [CrossRef]
- Fogarty, E.; Cronin, G.; Trotter, M. Exploring the Potential for On-Animal Sensors to Detect Adverse Welfare Events: A Case Study of Detecting Ewe Behaviour Prior to Vaginal Prolapse. Animal Welfare 2022, 31, 355–359. [Google Scholar] [CrossRef]
- Fan, B.; Bryant, R.H.; Greer, A.W. Automatically Identifying Sickness Behavior in Grazing Lambs with an Acceleration Sensor. Animals 2023, 13. [Google Scholar] [CrossRef]
- Evans, C.A.; Trotter, M.G.; Manning, J.K. Sensor-Based Detection of Predator Influence on Livestock: A Case Study Exploring the Impacts of Wild Dogs (Canis Familiaris) on Rangeland Sheep. Animals 2022, 12. [Google Scholar] [CrossRef]
- Sohi, R.; Trompf, J.; Marriott, H.; Bervan, A.; Godoy, B.I.; Weerasinghe, M.; Desai, A.; Jois, M. Determination of Maternal Pedigree and Ewe–Lamb Spatial Relationships by Application of Bluetooth Technology in Extensive Farming Systems. J Anim Sci 2017, 95, 5145–5150. [Google Scholar] [CrossRef]
- Leroux, E.; Llach, I.; Besche, G.; Guyonneau, J.-D.; Montier, D.; Bouquet, P.-M.; Sanchez, I.; González-García, E. Evaluating a Walk-over-Weighing System for the Automatic Monitoring of Growth in Postweaned Mérinos d’Arles Ewe Lambs under Mediterranean Grazing Conditions. Animal - Open Space 2023, 2, 100032. [Google Scholar] [CrossRef]
- Gómez, Y.; Stygar, A.H.; Boumans, I.J.M.M.; Bokkers, E.A.M.; Pedersen, L.J.; Niemi, J.K.; Pastell, M.; Manteca, X.; Llonch, P. A Systematic Review on Validated Precision Livestock Farming Technologies for Pig Production and Its Potential to Assess Animal Welfare. Front Vet Sci 2021, 8. [Google Scholar] [CrossRef]
- van Klompenburg, T.; Kassahun, A. Data-Driven Decision Making in Pig Farming: A Review of the Literature. Livest Sci 2022, 261. [Google Scholar] [CrossRef]
- Vranken, E.; Berckmans, D. Precision Livestock Farming for Pigs. Animal Frontiers 2017, 7, 32–37. [Google Scholar] [CrossRef]
- Benjamin, M.; Yik, S. Precision Livestock Farming in Swinewelfare: A Review for Swine Practitioners. Animals 2019, 9. [Google Scholar] [CrossRef] [PubMed]
- Pomar, C.; Remus, A. Precision Pig Feeding: A Breakthrough toward Sustainability. Animal Frontiers 2019, 9, 52–59. [Google Scholar] [CrossRef]
- de Bruijn, B.G.C.; de Mol, R.M.; Hogewerf, P.H.; van der Fels, J.B. A Correlated-Variables Model for Monitoring Individual Growing-Finishing Pig’s Behavior by RFID Registrations. Smart Agricultural Technology 2023, 4. [Google Scholar] [CrossRef]
- Sadeghi, E.; Kappers, C.; Chiumento, A.; Derks, M.; Havinga, P. Improving Piglets Health and Well-Being: A Review of Piglets Health Indicators and Related Sensing Technologies. Smart Agricultural Technology 2023, 5. [Google Scholar] [CrossRef]
- Garrido, L.F.C.; Sato, S.T.M.; Costa, L.B.; Daros, R.R. Can We Reliably Detect Respiratory Diseases through Precision Farming? A Systematic Review. Animals 2023, 13. [Google Scholar] [CrossRef] [PubMed]
- Habineza, E.; Reza, M.N.; Chowdhury, M.; Kiraga, S.; Chung, S.-O.; Hong, S.J. Pig Diseases and Crush Monitoring Visual Symptoms Detection Using Engineering Approaches: A Review. Precision Agriculture Science and Technology 2021, 3. [Google Scholar] [CrossRef]
- Traulsen, I.; Scheel, C.; Auer, W.; Burfeind, O.; Krieter, J. Using Acceleration Data to Automatically Detect the Onset of Farrowing in Sows. Sensors (Switzerland) 2018, 18. [Google Scholar] [CrossRef] [PubMed]
- Gan, H.; Li, S.; Ou, M.; Yang, X.; Huang, B.; Liu, K.; Xue, Y. Fast and Accurate Detection of Lactating Sow Nursing Behavior with CNN-Based Optical Flow and Features. Comput Electron Agric 2021, 189. [Google Scholar] [CrossRef]
- Yang, A.; Huang, H.; Yang, X.; Li, S.; Chen, C.; Gan, H.; Xue, Y. Automated Video Analysis of Sow Nursing Behavior Based on Fully Convolutional Network and Oriented Optical Flow. Comput Electron Agric 2019, 167. [Google Scholar] [CrossRef]
- Guo, Q.; Sun, Y.; Orsini, C.; Bolhuis, J.E.; de Vlieg, J.; Bijma, P.; de With, P.H.N. Enhanced Camera-Based Individual Pig Detection and Tracking for Smart Pig Farms. Comput Electron Agric 2023, 211, 108009. [Google Scholar] [CrossRef]
- Zhou, H.; Chung, S.; Kakar, J.K.; Kim, S.C.; Kim, H. Pig Movement Estimation by Integrating Optical Flow with a Multi-Object Tracking Model. Sensors 2023, 23. [Google Scholar] [CrossRef] [PubMed]
- Mittek, M.; Psota, E.T.; Pérez, L.C.; Schmidt, T.; Mote, B. Health Monitoring of Group-Housed Pigs Using Depth-Enabled Multi-Object Tracking. In Proceedings of the Proceedings of Int Conf Pattern Recognit, Workshop on Visual.
- Zha, W.; Li, H.; Wu, G.; Zhang, L.; Pan, W.; Gu, L.; Jiao, J.; Zhang, Q. Research on the Recognition and Tracking of Group-Housed Pigs’ Posture Based on Edge Computing. Sensors (Basel) 2023, 23. [Google Scholar] [CrossRef]
- Dong, Y.; Bonde, A.; Codling, J.R.; Bannis, A.; Cao, J.; Macon, A.; Rohrer, G.; Miles, J.; Sharma, S.; Brown-Brandl, T.; et al. PigSense: Structural Vibration-Based Activity and Health Monitoring System for Pigs. ACM Trans Sens Netw 2023, 20. [Google Scholar] [CrossRef]
- Franchi, G.A.; Bus, J.D.; Boumans, I.J.M.M.; Bokkers, E.A.M.; Jensen, M.B.; Pedersen, L.J. Estimating Body Weight in Conventional Growing Pigs Using a Depth Camera. Smart Agricultural Technology 2023, 3. [Google Scholar] [CrossRef]
- Nguyen, A.H.; Holt, J.P.; Knauer, M.T.; Abner, V.A.; Lobaton, E.J.; Young, S.N. Towards Rapid Weight Assessment of Finishing Pigs Using a Handheld, Mobile RGB-D Camera. Biosyst Eng 2023, 226, 155–168. [Google Scholar] [CrossRef]
- Chen, Z.; Lu, J.; Wang, H. A Review of Posture Detection Methods for Pigs Using Deep Learning. Applied Sciences (Switzerland) 2023, 13. [Google Scholar] [CrossRef]
- D’Eath, R.B.; Foister, S.; Jack, M.; Bowers, N.; Zhu, Q.; Barclay, D.; Baxter, E.M. Changes in Tail Posture Detected by a 3D Machine Vision System Are Associated with Injury from Damaging Behaviours and Ill Health on Commercial Pig Farms. PLoS One 2021, 16. [Google Scholar] [CrossRef]
- Chen, C.; Zhu, W.; Steibel, J.; Siegford, J.; Wurtz, K.; Han, J.; Norton, T. Recognition of Aggressive Episodes of Pigs Based on Convolutional Neural Network and Long Short-Term Memory 2. 2019. [Google Scholar]
- Larsen, M.L.V.; Pedersen, L.J.; Edwards, S.; Albanie, S.; Dawkins, M.S. Movement Change Detected by Optical Flow Precedes, but Does Not Predict, Tail-Biting in Pigs. Livest Sci 2020, 240. [Google Scholar] [CrossRef]
- Li, Y.Z.; Johnston, L.J.; Dawkins, M.S. Utilization of Optical Flow Algorithms to Monitor Development of Tail Biting Outbreaks in Pigs. Animals 2020, 10. [Google Scholar] [CrossRef]
- Reza, M.N.; Ali, M.R.; Samsuzzaman; Kabir, M.S.N.; Karim, M.R.; Ahmed, S.; Kyoung, H.; Kim, G.; Chung, S.-O. Thermal Imaging and Computer Vision Technologies for the Enhancement of Pig Husbandry: A Review. J Anim Sci Technol 2024, 66, 31–56. [CrossRef]
- Arulmozhi, E.; Bhujel, A.; Moon, B.E.; Kim, H.T. The Application of Cameras in Precision Pig Farming: An Overview for Swine-Keeping Professionals. Animals 2021, 11. [Google Scholar] [CrossRef] [PubMed]
- Hou, Y.; Li, Q.; Wang, Z.; Liu, T.; He, Y.; Li, H.; Ren, Z.; Guo, X.; Yang, G.; Liu, Y.; et al. Study on a Pig Vocalization Classification Method Based on Multi-Feature Fusion. Sensors 2024, 24. [Google Scholar] [CrossRef]
- Hong, M.; Ahn, H.; Atif, O.; Lee, J.; Park, D.; Chung, Y. Field-Applicable Pig Anomaly Detection System Using Vocalization for Embedded Board Implementations. Applied Sciences (Switzerland) 2020, 10, 6991. [Google Scholar] [CrossRef]
- Lagua, E.B.; Mun, H.S.; Ampode, K.M.B.; Chem, V.; Kim, Y.H.; Yang, C.J. Artificial Intelligence for Automatic Monitoring of Respiratory Health Conditions in Smart Swine Farming. Animals 2023, 13. [Google Scholar] [CrossRef]
- Dawkins, M.S.; Rowe, E. Poultry Welfare Monitoring: Group-Level Technologies. In Understanding the behaviour and improving the welfare of chickens; 2020; pp. 177–196. [Google Scholar]
- Li, N.; Ren, Z.; Li, D.; Zeng, L. Review: Automated Techniques for Monitoring the Behaviour and Welfare of Broilers and Laying Hens: Towards the Goal of Precision Livestock Farming. Animal 2020, 14, 617–625. [Google Scholar] [CrossRef] [PubMed]
- Mortensen, A.K.; Lisouski, P.; Ahrendt, P. Weight Prediction of Broiler Chickens Using 3D Computer Vision. Comput Electron Agric 2016, 123, 319–326. [Google Scholar] [CrossRef]
- Neethirajan, S. ChickTrack – A Quantitative Tracking Tool for Measuring Chicken Activity. Measurement (Lond) 2022, 191. [Google Scholar] [CrossRef]
- Pereira, D.F.; Nääs, I. de A.; Lima, N.D. da S. Movement Analysis to Associate Broiler Walking Ability with Gait Scoring. AgriEngineering 2021, 3, 394–402. [Google Scholar] [CrossRef]
- Aydin, A. Development of an Early Detection System for Lameness of Broilers Using Computer Vision. Comput Electron Agric 2017, 136, 140–146. [Google Scholar] [CrossRef]
- Zhuang, X.; Zhang, T. Detection of Sick Broilers by Digital Image Processing and Deep Learning. Biosyst Eng 2019, 179, 106–116. [Google Scholar] [CrossRef]
- Du, X.; Teng, G. An Automatic Detection Method for Abnormal Laying Hen Activities Using a 3D Depth Camera. Engenharia Agricola 2021, 41, 263–270. [Google Scholar] [CrossRef]
- Dawkins, M.S.; Wang, L.; Ellwood, S.A.; Roberts, S.J.; Gebhardt-Henrich, S.G. Optical Flow, Behaviour and Broiler Chicken Welfare in the UK and Switzerland. Appl Anim Behav Sci 2021, 234. [Google Scholar] [CrossRef]
- Herborn, K.A.; McElligott, A.G.; Mitchell, M.A.; Sandilands, V.; Bradshaw, B.; Asher, L. Spectral Entropy of Early-Life Distress Calls as an Iceberg Indicator of Chicken Welfare. J R Soc Interface 2020, 17, 20200086. [Google Scholar] [CrossRef]
- Liu, L.; Li, B.; Zhao, R.; Yao, W.; Shen, M.; Yang, J. A Novel Method for Broiler Abnormal Sound Detection Using WMFCC and HMM. J Sens 2020, 2020. [Google Scholar] [CrossRef]
- Huang, J.; Zhang, T.; Cuan, K.; Fang, C. An Intelligent Method for Detecting Poultry Eating Behaviour Based on Vocalization Signals. Comput Electron Agric 2021, 180. [Google Scholar] [CrossRef]
- Ellen, E.D.; van der Sluis, M.; Siegford, J.; Guzhva, O.; Toscano, M.J.; Bennewitz, J.; Van Der Zande, L.E.; Van Der Eijk, J.A.J.; De Haas, E.N.; Norton, T.; et al. Review of Sensor Technologies in Animal Breeding: Phenotyping Behaviors of Laying Hens to Select against Feather Pecking. Animals 2019, 9. [Google Scholar] [CrossRef] [PubMed]
- Borgonovo, F.; Ferrante, V.; Grilli, G.; Guarino, M. An Innovative Approach for Analysing and Evaluating Enteric Diseases in Poultry Farm. Acta IMEKO 2024, 13, 1–5. [Google Scholar] [CrossRef]
- Li, L.; Zhao, Y.; Oliveira, J.; Verhoijsen, W.; Liu, K.; Xin, H. A UHF RFID System for Studying Individual Feeding and Nesting Behaviors of Group-Housed Laying Hens. Trans ASABE 2017, 60, 1337–1347. [Google Scholar] [CrossRef]
- Yang, X.; Zhao, Y.; Street, G.M.; Huang, Y.; Filip To, S.D.; Purswell, J.L. Classification of Broiler Behaviours Using Triaxial Accelerometer and Machine Learning. Animal 2021, 15. [Google Scholar] [CrossRef]
- Ahmed, G.; Malick, R.A.S.; Akhunzada, A.; Zahid, S.; Sagri, M.R.; Gani, A. An Approach towards Iot-Based Predictive Service for Early Detection of Diseases in Poultry Chickens. Sustainability (Switzerland) 2021, 13. [Google Scholar] [CrossRef]
- Stachowicz, J.; Umstätter, C. Do We Automatically Detect Health- or General Welfare-Related Issues? A Framework. Proceedings of the Royal Society B: Biological Sciences 2021, 288. [Google Scholar] [CrossRef]
- Fuchs, P.; Adrion, F.; Shafiullah, A.Z.M.; Bruckmaier, R.M.; Umstätter, C. Detecting Ultra- and Circadian Activity Rhythms of Dairy Cows in Automatic Milking Systems Using the Degree of Functional Coupling—A Pilot Study. Frontiers in Animal Science 2022, 3. [Google Scholar] [CrossRef]
- Schneider, M.; Umstätter, C.; Nasser, H.-R.; Gallmann, E.; Barth, K. Effect of the Daily Duration of Calf Contact on the Dam’s Ultradian and Circadian Activity Rhythms. JDS Communications 2024, 5, 457–461. [Google Scholar] [CrossRef] [PubMed]
- Sturm, V.; Efrosinin, D.; Öhlschuster, M.; Gusterer, E.; Drillich, M.; Iwersen, M. Combination of Sensor Data and Health Monitoring for Early Detection of Subclinical Ketosis in Dairy Cows. Sensors (Switzerland) 2020, 20. [Google Scholar] [CrossRef]
- da Silva Santos, A.; de Medeiros, V.W.C.; Gonçalves, G.E. Monitoring and Classification of Cattle Behavior: A Survey. Smart Agricultural Technology 2023, 3. [Google Scholar] [CrossRef]
- Riaboff, L.; Shalloo, L.; Smeaton, A.F.; Couvreur, S.; Madouasse, A.; Keane, M.T. Predicting Livestock Behaviour Using Accelerometers: A Systematic Review of Processing Techniques for Ruminant Behaviour Prediction from Raw Accelerometer Data. Comput Electron Agric 2022, 192. [Google Scholar] [CrossRef]
- Diggle, P.J. Time Series; A Biostatistical Introduction, 1st ed.; Oxford Science Publications, 1990; ISBN 0-19-852226-6. [Google Scholar]
- Hastie, T.; Tibshirani, R.; Friedman, J. The Elements of Statistical Learning: Data Mining, Inference, and Prediction; 2nd ed.; Springer, 2009.
- Diggle, P.; Giorgi, E. Time Series: A Biostatistical Introduction; 2nd ed. 2025. [Google Scholar]
- Hyndman, R.; Koehler, A.; Ord, K.; Snyder, R. Forecasting with Exponential Smoothing; Springer Berlin Heidelberg: Berlin, Heidelberg, 2008; ISBN 978-3-540-71916-8. [Google Scholar]
- Basseville, M.; Nikiforov, I. V Detection of Abrupt Changes: Theory and Application 1; Prentice Hall Englewood Cliffs, 1993; ISBN 978-0-13-126780-0.
- Montgomery, D.C. Statistical Quality Control: A Modern Introduction; 7th ed.; John Wiley & Sons, 2012.
- Gupta, M.; Gao, J.; Aggarwal, C.C.; Han, J. Outlier Detection for Temporal Data: A Survey. IEEE Trans Knowl Data Eng 2014, 26, 2250–2267. [Google Scholar] [CrossRef]
- Kolambe, M.; Arora, S. Forecasting the Future: A Comprehensive Review of Time Series Prediction Techniques; 2024; Vol. 20;
- Brown, H.; Prescott, R. Applied Mixed Models in Medicine; 3rd ed.; Wiley, 1999. ISBN 0-471-96554-5.
- McCullagh, P.; Nelder, J.A. Generalized Linear Models; 2nd ed.; Chapman & Hall, 1989. ISBN 0-412-31760-5.
- Skrondal, A.; Rabe-Hesketh, S. Latent Variable Modelling: A Survey. Scandinavian Journal of Statistics 2007, 34, 712–745. [Google Scholar] [CrossRef]
- Mor, B.; Garhwal, S.; Kumar, A. A Systematic Review of Hidden Markov Models and Their Applications. Archives of Computational Methods in Engineering 2021, 28, 1429–1448. [Google Scholar] [CrossRef]
- Everitt, B.S.; Landau, S.; Leese, M.; Stahl, D. Cluster Analysis; Wiley, 2011; ISBN 978-0-470-74991-3.
- Gilks, W.R.; Richardson, S.; Spiegelhalter, D.J. Markov Chain Monte Carlo in Practice; 1st ed.; Chapman & Hall/CRC, 1996; ISBN 0-412-05551-1.
- Gelman, A.; Carlin, J.B.; Stern, H.S.; Rubin, D.B. Bayesian Data Analysis; 2nd ed.; Chapman & Hall/CRC, 2004; ISBN 1-58488-388-X.
- Doucet, A.; Freitas, N.; Gordon, N. An Introduction to Sequential Monte Carlo Methods. In Sequential Monte Carlo Methods. In Sequential Monte Carlo Methods in Practice; Springer New York: New York, NY, 2001; pp. 3–14. [Google Scholar]
- Shine, P.; Murphy, M.D. Over 20 Years of Machine Learning Applications on Dairy Farms: A Comprehensive Mapping Study. Sensors 2022, 22. [Google Scholar] [CrossRef] [PubMed]
- Greener, J.G.; Kandathil, S.M.; Moffat, L.; Jones, D.T. A Guide to Machine Learning for Biologists. Nat Rev Mol Cell Biol 2022, 23, 40–55. [Google Scholar] [CrossRef]
- Choi, R.Y.; Coyner, A.S.; Kalpathy-Cramer, J.; Chiang, M.F.; Peter Campbell, J. Introduction to Machine Learning, Neural Networks, and Deep Learning. Transl Vis Sci Technol 2020, 9. [Google Scholar]
- Simchoni, G.; Rosset, S. Integrating Random Effects in Deep Neural Networks. Journal of Machine Learning Rsearch 2022, 24. [Google Scholar] [CrossRef]
- Domingos, P. A Few Useful Things to Know about Machine Learning. Commun ACM 2012, 55, 78–87. [Google Scholar] [CrossRef]
- Haveman, M.E.; van Rossum, M.C.; Vaseur, R.M.E.; van der Riet, C.; Schuurmann, R.C.L.; Hermens, H.J.; de Vries, J.P.P.M.; Tabak, M. Continuous Monitoring of Vital Signs With Wearable Sensors During Daily Life Activities: Validation Study. JMIR Form Res 2022, 6. [Google Scholar] [CrossRef]
- Armitage, P.; Berry, G.; Mathews, J.N.S. Statistical Methods in Medical Research; 4th ed.; Blackwell Science, 2002.
- Borchers, M.R.; Chang, Y.M.; Tsai, I.C.; Wadsworth, B.A.; Bewley, J.M. A Validation of Technologies Monitoring Dairy Cow Feeding, Ruminating, and Lying Behaviors. J Dairy Sci 2016, 99, 7458–7466. [Google Scholar] [CrossRef]
- Lasser, J.; Matzhold, C.; Egger-Danner, C.; Fuerst-Waltl, B.; Steininger, F.; Wittek, T.; Klimek, P. Integrating Diverse Data Sources to Predict Disease Risk in Dairy Cattle - A Machine Learning Approach. J. Anim. Sci. 2021, 99. [Google Scholar] [CrossRef] [PubMed]
- Fleiss, J.; Levin, B.; Paik, M.C. Statistical Methods for Rates and Proportions; 3rd ed.; John Wiley & Sons, 2003; ISBN 9780471445425.
- Everitt, B.S. The Analysis of Contingency Tables; 2nd ed.; Chapman & Hall, 1992; ISBN 0-412-39850-8.
- Collet, D. Modelling Binary Data; Chapman & Hall/CRC, 1999; ISBN 0-412-38800-6.
- Tassi, R.; Schiavo, M.; Filipe, J.; Todd, H.; Ewing, D.; Ballingall, K.T. Intramammary Immunisation Provides Short Term Protection Against Mannheimia Haemolytica Mastitis in Sheep. Front Vet Sci 2021, 8. [Google Scholar] [CrossRef]
- Williams-Macdonald, S.E.; Mitchell, M.; Frew, D.; Palarea-Albaladejo, J.; Ewing, D.; Golde, W.T.; Longbottom, D.; Nisbet, A.J.; Livingstone, M.; Hamilton, C.M.; et al. Efficacy of Phase I and Phase II Coxiella Burnetii Bacterin Vaccines in a Pregnant Ewe Challenge Model. Vaccines (Basel) 2023, 11. [Google Scholar] [CrossRef]
- McNee, A.; Smith, T.R.F.; Holzer, B.; Clark, B.; Bessell, E.; Guibinga, G.; Brown, H.; Schultheis, K.; Fisher, P.; Ramos, S.; et al. Establishment of a Pig Influenza Challenge Model for Evaluation of Monoclonal Antibody Delivery Platforms. The Journal of Immunology 2020, 205, 648–660. [Google Scholar] [CrossRef]
- O’Donoghue, S.; Earley, B.; Johnston, D.; McCabe, M.S.; Kim, J.W.; Taylor, J.F.; Duffy, C.; Lemon, K.; McMenamy, M.; Cosby, S.L.; et al. Whole Blood Transcriptome Analysis in Dairy Calves Experimentally Challenged with Bovine Herpesvirus 1 (BoHV-1) and Comparison to a Bovine Respiratory Syncytial Virus (BRSV) Challenge. Front Genet 2023, 14. [Google Scholar] [CrossRef]
- Kang, H.; Brocklehurst, S.; Haskell, M.; Jarvis, S.; Sandilands, V. Do Activity Sensors Identify Physiological, Clinical and Behavioural Changes in Laying Hens Exposed to a Vaccine Challenge? Animals 2025, 15. [Google Scholar] [CrossRef] [PubMed]
- Ahmed, S.T.; Mun, H.S.; Islam, M.M.; Yoe, H.; Yang, C.J. Monitoring Activity for Recognition of Illness in Experimentally Infected Weaned Piglets Using Received Signal Strength Indication ZigBee-Based Wireless Acceleration Sensor. Asian-Australas J Anim Sci 2016, 29, 149–156. [Google Scholar] [CrossRef] [PubMed]
- Kayser, W.C.; Carstens, G.E.; Jackson, K.S.; Pinchak, W.E.; Banerjee, A.; Fu, Y. Evaluation of Statistical Process Control Procedures to Monitor Feeding Behavior Patterns and Detect Onset of Bovine Respiratory Disease in Growing Bulls. J Anim Sci 2019, 97, 1158–1170. [Google Scholar] [CrossRef]
- March, M.D.; Hargreaves, P.R.; Sykes, A.J.; Rees, R.M. Effect of Nutritional Variation and LCA Methodology on the Carbon Footprint of Milk Production From Holstein Friesian Dairy Cows. Front Sustain Food Syst 2021, 5. [Google Scholar] [CrossRef]
- Pollott, G.E.; Coffey, M.P. The Effect of Genetic Merit and Production System on Dairy Cow Fertility, Measured Using Progesterone Profiles and on-Farm Recording. J Dairy Sci 2008, 91, 3649–3660. [Google Scholar] [CrossRef]
- SRUC Dairy Research and Innovation Centre. Available online: https://www.sruc.ac.uk/research/research-facilities/dairy-research-facility/ (accessed on 2 April 2024).
- Stepmetrix from Boumatic. Available online: https://kruegersboumatic.com/automation/stepmetrix/ (accessed on 10 March 2023).
- Hokofarm Group. Available online: https://hokofarmgroup.com/ (accessed on 7 March 2023).
- Peacock Technology (Was IceRobotics). Available online: https://www.peacocktechnology.com/ids-i-qube (accessed on 10 March 2023).
- Stygar, A.H.; Frondelius, L.; Berteselli, G. V.; Gómez, Y.; Canali, E.; Niemi, J.K.; Llonch, P.; Pastell, M. Measuring Dairy Cow Welfare with Real-Time Sensor-Based Data and Farm Records: A Concept Study. Animal 2023, 17. [Google Scholar] [CrossRef] [PubMed]
- EU TechCare Project. Available online: https://techcare-project.eu/ (accessed on 15 March 2023).
- McLaren, A.; Waterhouse, A.; Kenyon, F.; MacDougall, H.; Beechener, E.S.; Walker, A.; Reeves, M.; Lambe, N.R.; Holland, J.P.; Thomson, A.T.; et al. TechCare UK Pilots - Integrated Sheep System Studies Using Technologies for Welfare Monitoring. In Proceedings of the Book of Abstracts of the 74th Annual Meeting of the European Federation of Animal Science; Wageningen Academic Publishers; 2023. [Google Scholar]
- Moredun Research Institute. Available online: https://moredun.org.uk/ (accessed on 2 April 2024).
- AX3 Accelerometer. Available online: https://axivity.com/userguides/ax3/ (accessed on 15 March 2023).
- GotU GT-120B Mobile Action Technology, Inc., Taiwan. Available online: http://www.mobileaction.com/web/en/portfolio-view/gt-120b/ (accessed on 29 January 2024).
- RealTimeID Animal Trackers. Available online: https://realtimeid.no/collections/all (accessed on 29 January 2024).
- Lora, I.; Gottardo, F.; Contiero, B.; Zidi, A.; Magrin, L.; Cassandro, M.; Cozzi, G. A Survey on Sensor Systems Used in Italian Dairy Farms and Comparison between Performances of Similar Herds Equipped or Not Equipped with Sensors. J Dairy Sci 2020, 103, 10264–10272. [Google Scholar] [CrossRef] [PubMed]
- Morgan-Davies, C.; Lambe, N.; Wishart, H.; Waterhouse, T.; Kenyon, F.; McBean, D.; McCracken, D. Impacts of Using a Precision Livestock System Targeted Approach in Mountain Sheep Flocks. Livest Sci 2018, 208, 67–76. [Google Scholar] [CrossRef]
- SRUC Hill & Mountain Research. Available online: https://www.sruc.ac.uk/research/research-facilities/hill-mountain-research/ (accessed on 2 April 2024).








Disclaimer/Publisher’s Note: The statements, opinions and data contained in all publications are solely those of the individual author(s) and contributor(s) and not of MDPI and/or the editor(s). MDPI and/or the editor(s) disclaim responsibility for any injury to people or property resulting from any ideas, methods, instructions or products referred to in the content. |
© 2025 by the authors. Licensee MDPI, Basel, Switzerland. This article is an open access article distributed under the terms and conditions of the Creative Commons Attribution (CC BY) license (http://creativecommons.org/licenses/by/4.0/).