Submitted:
17 July 2025
Posted:
17 July 2025
You are already at the latest version
Abstract
Keywords:
1. Introduction
2. Related Work
3. Quadcopter’s Dynamics
3.1. Quadcopter Mathematical Modeling
3.2. Rotor dynamics and motor fault modeling
3.3. Physical Parameters of the Quadcopter
4. Methodology
4.1. Integral Backstepping Controller Design for Translational Motion Control
4.2. Rotational Motion Control using Nonlinear Disturbance Observer-Based Sliding Mode Control (NLDO-SMC)
- The left-hand plane of the complex domain must include the matrix’s eigenvalues .
- The nonlinear function and its derivatives (,) should be bounded.
- is the transfer function which must be strictly stable, in this the Laplace transform is shown by .
5. Results
5.1. No Fault on any Motor of the Quadcopter
5.2. Cartesian Coordinate Based Trajectory Results after Faults on each Motor
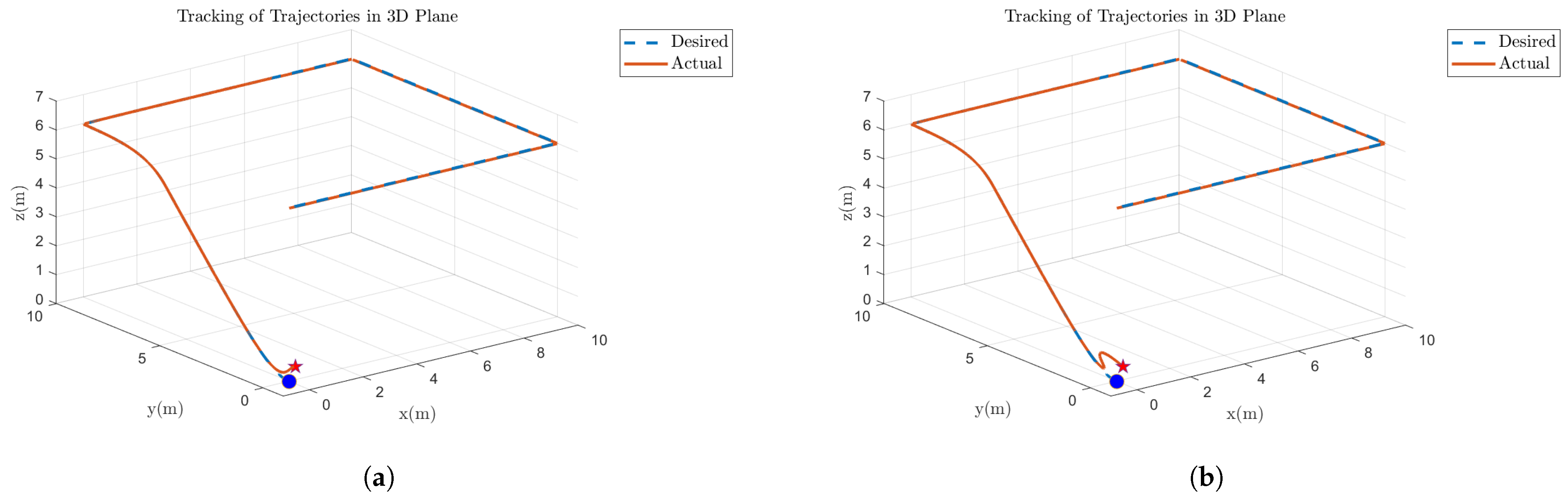
5.3. 3D Plane Trajectory Results Analysis after the Faulty Motors of the Quadcopter
5.4. System Dynamics Results Analysis During the Faulty Motor Conditions of the Quadcopter Results
5.5. Thrust Control, Rotational orientation, Disturbance estimation, and Motor speeds During the Faulty Motor Conditions of the Quadcopter results
5.6. Discussion
6. Conclusion
Author Contributions
Funding
Data Availability Statement
Acknowledgments
Conflicts of Interest
References
- Tsouros, D.C.; Bibi, S.; Sarigiannidis, P.G. A review on UAV-based applications for precision agriculture. Information 2019, 10, 349. [Google Scholar] [CrossRef]
- Fascista, A. Toward integrated large-scale environmental monitoring using WSN/UAV/Crowdsensing: A review of applications, signal processing, and future perspectives. Sensors 2022, 22, 1824. [Google Scholar] [CrossRef] [PubMed]
- Gargalakos, M. The role of unmanned aerial vehicles in military communications: application scenarios, current trends, and beyond. The Journal of Defense Modeling and Simulation 2024, 21, 313–321. [Google Scholar] [CrossRef]
- Mazare, M.; Taghizadeh, M.; Ghaf-Ghanbari, P.; Davoodi, E. Robust fault detection and adaptive fixed-time fault-tolerant control for quadrotor UAVs. Robotics and Autonomous Systems 2024, 179, 104747. [Google Scholar] [CrossRef]
- Sonugür, G. A Review of quadrotor UAV: Control and SLAM methodologies ranging from conventional to innovative approaches. Robotics and Autonomous Systems 2023, 161, 104342. [Google Scholar] [CrossRef]
- Jung, S. Precision Landing of Unmanned Aerial Vehicle under Wind Disturbance Using Derivative Sliding Mode Nonlinear Disturbance Observer-Based Control Method. Aerospace 2024, 11, 265. [Google Scholar] [CrossRef]
- Alharbi, A.; Petrunin, I.; Panagiotakopoulos, D. Assuring safe and efficient operation of UAV using explainable machine learning. Drones 2023, 7, 327. [Google Scholar] [CrossRef]
- Raza, S.; Qureshi, R.; Zahid, A.; Fioresi, J.; Sadak, F.; Saeed, M.; Sapkota, R.; Jain, A.; Zafar, A.; Hassan, M.U.; et al. Who is responsible? the data, models, users or regulations? a comprehensive survey on responsible generative ai for a sustainable future. arXiv preprint, 2025; arXiv:2502.08650. [Google Scholar]
- Qureshi, R.; Sapkota, R.; Shah, A.; Muneer, A.; Zafar, A.; Vayani, A.; Shoman, M.; Eldaly, A.; Zhang, K.; Sadak, F.; et al. Thinking Beyond Tokens: From Brain-Inspired Intelligence to Cognitive Foundations for Artificial General Intelligence and its Societal Impact. arXiv preprint, 2025; arXiv:2507.00951. [Google Scholar]
- Rezwan, S.; Choi, W. Artificial intelligence approaches for UAV navigation: Recent advances and future challenges. IEEE access 2022, 10, 26320–26339. [Google Scholar] [CrossRef]
- Steen, R.; Håheim-Saers, N.; Aukland, G. Military unmanned aerial vehicle operations through the lens of a high-reliability system: Challenges and opportunities. Risk, Hazards & Crisis in Public Policy 2024, 15, 347–373. [Google Scholar]
- Srivastava, A.; Prakash, J. Techniques, answers, and real-world UAV implementations for precision farming. Wireless Personal Communications 2023, 131, 2715–2746. [Google Scholar] [CrossRef]
- Jadischke, J.H.; Wolff, M.; Zumberge, J.; Hencey, B.; Ngo, A. Optimal Route Planning and Power Management for Hybrid UAV Using A* Algorithm. In Proceedings of the AIAA AVIATION 2023 Forum; 2023; p. 4508. [Google Scholar]
- Ghirardelli, M.; Kral, S.T.; Müller, N.C.; Hann, R.; Cheynet, E.; Reuder, J. Flow structure around a multicopter drone: A computational fluid dynamics analysis for sensor placement considerations. Drones 2023, 7, 467. [Google Scholar] [CrossRef]
- Saviolo, A.; Loianno, G. Learning quadrotor dynamics for precise, safe, and agile flight control. Annual Reviews in Control 2023, 55, 45–60. [Google Scholar] [CrossRef]
- Chung, W.; Son, H. Fault-tolerant control of multirotor UAVs by control variable elimination. IEEE/ASME Transactions on Mechatronics 2020, 25, 2513–2522. [Google Scholar] [CrossRef]
- Pérez-Ventura, U.; Fridman, L.; Capello, E.; Punta, E. Fault tolerant control based on continuous twisting algorithms of a 3-DoF helicopter prototype. Control Engineering Practice 2020, 101, 104486. [Google Scholar] [CrossRef]
- Asadi, D.; Ahmadi, K.; Nabavi-chashmi, S.y.; Tutsoy, Ö. Controlability of multi-rotors under motor fault effect. Artıbilim: Adana Alparslan Türkeş Bilim ve Teknoloji Üniversitesi Fen Bilimleri Dergisi 2021, 4, 24–43. [Google Scholar]
- Chashmi, S.Y.N.; Asadi, D.; Dastgerdi, K.A. Safe land system architecture design of multi-rotors considering engine failure. International Journal of Aeronautics and Astronautics 2022, 3, 7–19. [Google Scholar] [CrossRef]
- Wang, Z.; Huang, D.; Huang, T.; Qin, N. Active disturbance rejection control for a quadrotor UAV. In Proceedings of the 2020 IEEE 9th Data Driven Control and Learning Systems Conference (DDCLS). IEEE; 2020; pp. 1–5. [Google Scholar]
- Lien, Y.H.; Peng, C.C.; Chen, Y.H. Adaptive observer-based fault detection and fault-tolerant control of quadrotors under rotor failure conditions. Applied Sciences 2020, 10, 3503. [Google Scholar] [CrossRef]
- Liao, F.; Zhao, Z.; Wang, J. Fault Tolerant Control of Hexarotor UAVs against Motor Failure. In Proceedings of the 2023 31st Mediterranean Conference on Control and Automation (MED). IEEE; 2023; pp. 221–226. [Google Scholar]
- Mao, J.; Yeom, J.; Nair, S.; Loianno, G. From propeller damage estimation and adaptation to fault tolerant control: Enhancing quadrotor resilience. IEEE Robotics and Automation Letters 2024. [Google Scholar] [CrossRef]
- Yu, H.; Wu, S.; He, W.; Liang, X.; Han, J.; Fang, Y. Fault-Tolerant Control for Multirotor Aerial Transportation Systems With Blade Damage. IEEE Transactions on Industrial Electronics 2024. [Google Scholar] [CrossRef]
- Nguyen, D.T.; Saussie, D.; Saydy, L. Design and experimental validation of robust self-scheduled fault-tolerant control laws for a multicopter UAV. IEEE/ASME Transactions on Mechatronics 2020, 26, 2548–2557. [Google Scholar] [CrossRef]
- Tan, J.; Fan, Y.; Yan, P.; Wang, C.; Feng, H. Sliding mode fault tolerant control for unmanned aerial vehicle with sensor and actuator faults. Sensors 2019, 19, 643. [Google Scholar] [CrossRef] [PubMed]
- Zhuang, H.; Sun, Q.; Chen, Z.; Zeng, X. Back-stepping active disturbance rejection control for attitude control of aircraft systems based on extended state observer. International Journal of Control, Automation and Systems 2021, 19, 2134–2149. [Google Scholar] [CrossRef]
- Liu, C.; Jiang, B.; Zhang, K. Adaptive fault-tolerant H-Infinity output feedback control for Lead–Wing close formation flight. IEEE Transactions on Systems, Man, and Cybernetics: Systems 2018, 50, 2804–2814. [Google Scholar] [CrossRef]
- Gai, W.; Zhou, Y.; Zhong, M.; Sheng, C.; Zhang, J. Simple adaptive control with an adaptive anti-windup compensator for the unmanned aerial vehicle attitude control. IEEE Access 2020, 8, 52323–52332. [Google Scholar] [CrossRef]
- Xian, B.; Hao, W. Nonlinear robust fault-tolerant control of the tilt trirotor UAV under rear servo’s stuck fault: Theory and experiments. IEEE Transactions on Industrial Informatics 2018, 15, 2158–2166. [Google Scholar] [CrossRef]
- Yang, B.; Lu, P.; Du, C.; Cao, F. A GRU network framework towards fault-tolerant control for flight vehicles based on a gain-scheduled approach. Aerospace Science and Technology 2024, 146, 108954. [Google Scholar] [CrossRef]
- Wang, L.; Pei, H.; Cheng, Z. Geometric Attitude Fault-Tolerant Control of Quadrotor Unmanned Aerial Vehicles with Adaptive Extended State Observers. Machines 2024, 12, 47. [Google Scholar] [CrossRef]
- Abdelmaksoud, S.I.; Mailah, M.; Abdallah, A.M. Control strategies and novel techniques for autonomous rotorcraft unmanned aerial vehicles: A review. IEEE Access 2020, 8, 195142–195169. [Google Scholar] [CrossRef]
- Li, Y.; Yonezawa, K.; Liu, H. Effect of ducted multi-propeller configuration on aerodynamic performance in quadrotor drone. Drones 2021, 5, 101. [Google Scholar] [CrossRef]
- Swedan, M.B.; Abougarair, A.J.; Emhemmed, A.S. Stabilizing of Quadcopter Flight Model. In Proceedings of the 2023 IEEE 3rd International Maghreb Meeting of the Conference on Sciences and Techniques of Automatic Control and Computer Engineering (MI-STA). IEEE; 2023; pp. 254–260. [Google Scholar]
- Abdulkareem, A.; Oguntosin, V.; Popoola, O.M.; Idowu, A.A. Modeling and nonlinear control of a quadcopter for stabilization and trajectory tracking. Journal of Engineering 2022, 2022, 2449901. [Google Scholar] [CrossRef]
- Miloš, M.; Mirosavljević, P. Analysis of the Performance and Kinematics of the Movement of UAV. FME Transactions 2023, 51. [Google Scholar] [CrossRef]
- Khaneghaei, M.; Asadi, D.; Tutsoy, Ö. Software in the Loop (SIL) Simulation for an Autonomous Multirotor Flight Planning and Landing with ROS and Gazebo. In Proceedings of the 2023 7th International Symposium on Innovative Approaches in Smart Technologies (ISAS). IEEE; 2023; pp. 1–10. [Google Scholar]
- Eze, C.N.; Ene, I.I.; Ene, P.C. Development of Control System Model for Multiple Quad-Copter Under Dynamic Environment. Environment,” International 2023, 8, 73–77. [Google Scholar]
- Liu, W.; Cheng, X.; Zhang, J. Command filter-based adaptive fuzzy integral backstepping control for quadrotor UAV with input saturation. Journal of the Franklin Institute 2023, 360, 484–507. [Google Scholar] [CrossRef]
- Khadhraoui, A.; Zouaoui, A.; Saad, M. Barrier Lyapunov function and adaptive backstepping-based control of a quadrotor UAV. Robotica 2023, 41, 2941–2963. [Google Scholar] [CrossRef]
- Martini, S.; Valavanis, K.P.; Stefanovic, M.; Rutherford, M.J.; Rizzo, A. Correction to the Euler Lagrange Multirotor Model with Euler Angles Generalized Coordinates. Journal of Intelligent & Robotic Systems 2024, 110, 17. [Google Scholar] [CrossRef]
- Zhu, G.; Wang, S.; Sun, L.; Ge, W.; Zhang, X. Output Feedback Adaptive Dynamic Surface Sliding-Mode Control for Quadrotor UAVs with Tracking Error Constraints. Complexity 2020, 2020, 8537198. [Google Scholar] [CrossRef]
- Wei, H.; Shen, C.; Shi, Y. Distributed Lyapunov-based model predictive formation tracking control for autonomous underwater vehicles subject to disturbances. IEEE Transactions on Systems, Man, and Cybernetics: Systems 2019, 51, 5198–5208. [Google Scholar] [CrossRef]
- Maqsood, H.; Qu, Y. Nonlinear disturbance observer based sliding mode control of quadrotor helicopter. Journal of Electrical Engineering & Technology 2020, 15, 1453–1461. [Google Scholar] [CrossRef]
- Wu, Z.; Ni, J.; Qian, W.; Bu, X.; Liu, B. Composite prescribed performance control of small unmanned aerial vehicles using modified nonlinear disturbance observer. ISA transactions 2021, 116, 30–45. [Google Scholar] [CrossRef] [PubMed]






















| Reference | Proposed Control System | Results | Limitations |
|---|---|---|---|
| [22] | Sliding mode control with dynamic control allocation | Results showed the effectiveness in maintaining flight stability and performance in the event of motor failure | Complexity of implementing the control strategy in real-time scenarios, limited to simulations only |
| [23] | Novel adaptive control scheme that integrates an L1 adaptive controller with an optimization routine | The system effectively maintained operational resilience and compensates the failure of single propeller failure | Complex real-time implementation and no work if multiple propellers fail. |
| [24] | Finite-time disturbance observer-(FTDO) | The findings showed the effectiveness in multirotor positioning and swing control | Complex techniques to address uncertainties with simulation-based analysis only |
| [25] | Gain-scheduling (GS) controller within the framework of H ∞ synthesis | Results demonstrated robust performance under multiple critical actuator faults | Unsuitable for systems with excessive actuators, such as hexacopters |
| [26] | RBF neural network with SMC method | Efficient in managing UAVs when an accelerometer, gyroscope, or actuator malfunctions | No comprehensive fault tolerance; No HIL testing. |
| [27] | Integral back-stepping control with disturbance rejection for translational motion | Stable translational control with effective disturbance rejection | No HIL testing and no rotational fault tolerance. |
| [28] | Adaptive Fault-Tolerant H-Infinity Output Feedback Control | The Lead-Wing close formation flight simulation results validate the practicality of the model | lack of FPGA testing and limited to small-magnitude faults |
| [29] | The study employs a Simple Adaptive Control with Anti-Windup Compensator | Actuator saturation successfully countered, such that stable control outputs result, even in the presence of actuator faults | Simulation performed in a controlled environment, extreme parameter uncertainties and actuator faults can challenge its validity |
| [30] | SMC to address issues related to a rear servo’s stuck fault in a tilt trirotor | UAV maintains stable attitudes even when external disturbances are introduced | The control scheme is effective, it may still be sensitive to minor disturbances only |
| [31] | Gated recurrent unit (GRU) neural network within a gain-scheduled framework | Three attitude angles effectiveness loss 10%, 30%, and 10% | The efficiency of the model is heavily depends on the quality of the training data. |
| [32] | AESO-based geometric fault-tolerant control (AESOGFTC) | Attitude error to converge to zero in the first 10 seconds, with little shift for actuator faults | The lumped disturbance’s upper bound was unknown when the controllers were constructed |
| This work | Integrates NLDO-based SMC with IBSC as FTC for quadcopter motion control | The proposed control model can tolerate 50% fault in any single motor of the quadcopter | Real-time validation using FPGA, Hybrid control system |
| Parameters | Values |
|---|---|
| Mass (m) | |
| Length (l) | |
| Gravity (g) | |
| Propeller Chord (c) | |
| Propeller Radius () | |
| Propeller DC () | |
| Arm Length (l) | |
| Thrust Factor (b) | |
| Drag Factor (d) | |
| Air density () | |
| Span Area (A) | |
| Rotor Inertia () | |
| Max. Rotor Speed () | |
| Inertial Moment () | |
| Inertial Moment () | |
| Inertial Moment () | |
| Translational DC (, ) | |
| Translational DC () | |
| Rotational DC. (, ) | |
| Rotational DC () |
| Parameter | Value |
|---|---|
| Translational Gain | , |
| , | |
| , | |
| Rotational Gain | , |
| , | |
| , | |
| Starting Point | , , |
| , , | |
| Tuning Paramater | , , |
| Simulation Based Numerical Results | |||||||||
|---|---|---|---|---|---|---|---|---|---|
| Motor | Fault % | ||||||||
| Motor 1 | 20% | 0.885 | 1.168 | 4.10E-23 | 6.16E-23 | 3.77E-40 | 121.88 | 16196.7 | 19.272 |
| Motor 2 | 30% | 1.331 | 1.234 | 3.39E-23 | 6.04E-23 | 3.78E-40 | 318.32 | 25196.7 | 29.690 |
| Motor 3 | 40% | 1.778 | 1.273 | 4.10E-23 | 5.89E-23 | 3.76E-40 | 257.30 | 34942.9 | 40.686 |
| Motor 4 | 50% | 2.228 | 1.295 | 5.19E-08 | 6.14E-23 | 3.79E-40 | 560.85 | 45596.3 | 52.311 |
| FPGA Hardware Based Numerical Results | |||||||||
| Motor | Fault % | ||||||||
| Motor 1 | 20% | 0.885 | 1.168 | 4.10E-23 | 6.16E-23 | 3.77E-40 | 121.88 | 16196.7 | 19.272 |
| Motor 2 | 30% | 1.331 | 1.234 | 3.39E-23 | 6.04E-23 | 3.78E-40 | 318.32 | 25196.7 | 29.690 |
| Motor 3 | 40% | 1.778 | 1.273 | 4.10E-23 | 5.89E-23 | 3.76E-40 | 257.30 | 34942.9 | 40.686 |
| Motor 4 | 50% | 2.228 | 1.295 | 5.19E-08 | 6.14E-23 | 3.79E-40 | 560.85 | 45596.3 | 52.311 |
Disclaimer/Publisher’s Note: The statements, opinions and data contained in all publications are solely those of the individual author(s) and contributor(s) and not of MDPI and/or the editor(s). MDPI and/or the editor(s) disclaim responsibility for any injury to people or property resulting from any ideas, methods, instructions or products referred to in the content. |
© 2025 by the authors. Licensee MDPI, Basel, Switzerland. This article is an open access article distributed under the terms and conditions of the Creative Commons Attribution (CC BY) license (http://creativecommons.org/licenses/by/4.0/).