Submitted:
16 July 2025
Posted:
17 July 2025
Read the latest preprint version here
Abstract
Keywords:
1. Introduction
2. Experimental Setup and Methodology
2.1. General Preview
2.2. Data Processing
2.3. Preliminary
3. Results and Discussion
3.1. Measurement of Plasma Parameters
3.2. Measurement of Average Enhancement Coefficients over Different Wavelengths
3.3. Modeling of the Temporal Variation of Average Amount of Enhancement
3. Conclusions
Author Contributions
Funding
Data Availability Statement
Acknowledgments
Appendix A
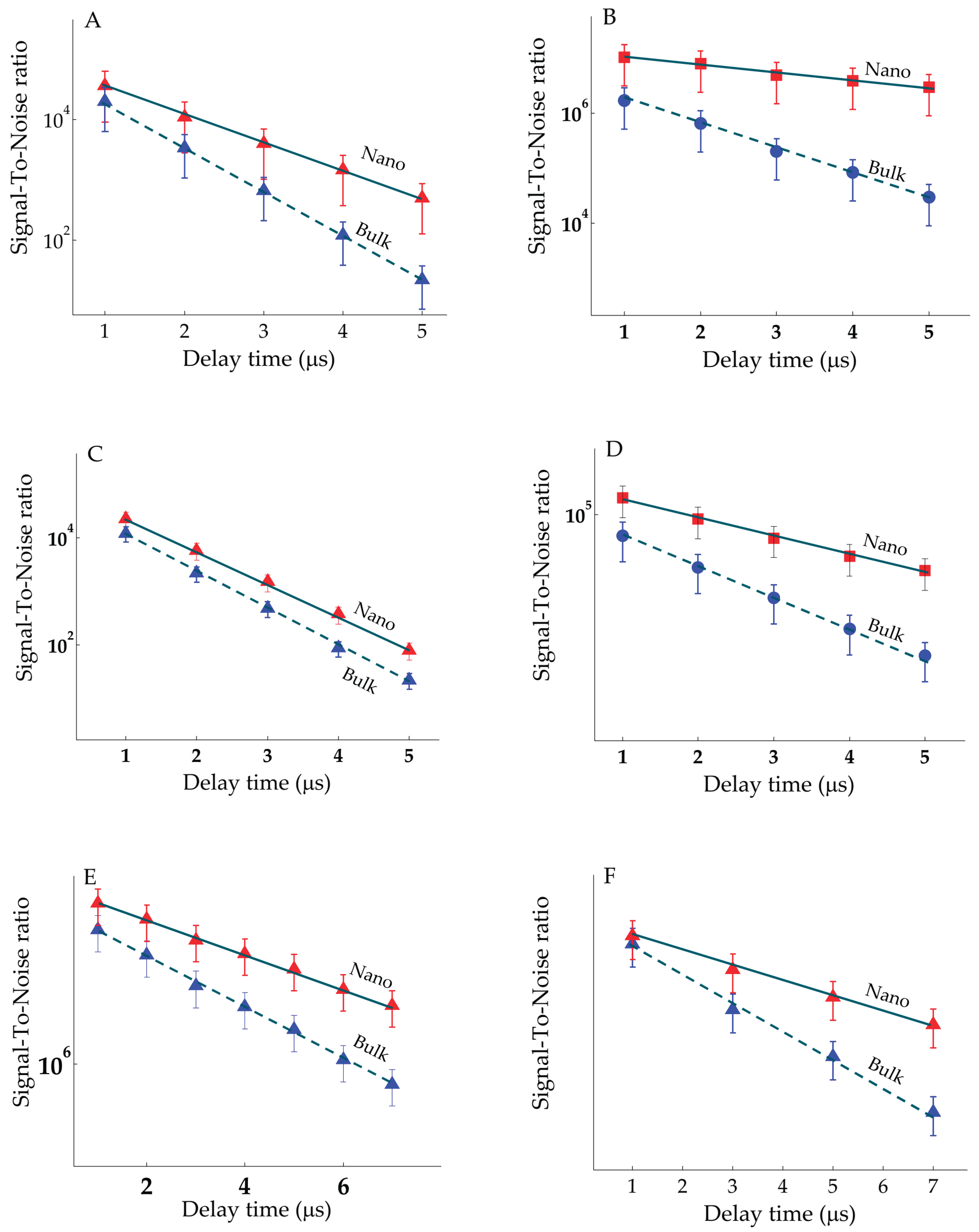
- Calculate the slopes, from the logarithmic plots Figure (1A) ,
- Calculate the difference in slopes and call that as ,
- Record the results in Table 5 (red colored),

References
- Cremers, D.A.; Leon, J.R. Handbook of Laser-Induced Breakdown Spectroscopy, 1st ed.; Wiley: Hoboken, NJ, USA, 2013.
- Fujimoto, T. Plasma Spectroscopy. In Plasma Polarization Spectroscopy. In Plasma Polarization Spectroscopy; Fujimoto, T., Iwamae, A., Eds.; Springer: Berlin/Heidelberg, Germany, 2008; Volume 44, pp. 29–49. [Google Scholar]
- Kunze, H.-J. Introduction to Plasma Spectroscopy; Springer Series on Atomic, Optical, and Plasma Physics; Springer: Berlin/Heidelberg, Germany, 2009; Volume 56.
- Tsurutani, B.T.; Zank, G.P.; Sterken, V.J.; Shibata, K.; Nagai, T.; Mannucci, A.J.; Malaspina, D.M.; Lakhina, G.S.; Kanekal, S.G.; Hosokawa, K.; et al. Space Plasma Physics: A Review. IEEE Trans. Plasma Sci. 2023, 51, 1595–1655. [Google Scholar] [CrossRef]
- Gomez, T.A.; Nagayama, T.; Cho, P.B.; Kilcrease, D.P.; Fontes, C.J.; Zammit, M.C. Introduction to Spectral Line Shape Theory. J. Phys. B: At. Mol. Opt. Phys. 2022, 55, 034002. [Google Scholar] [CrossRef]
- Sorge, S.; Günter, S. Simulation of Shifted and Asymmetric Hydrogen Line Profiles. The European Physical Journal D 2000, 12, 369–375. [Google Scholar] [CrossRef]
- Quintana-Silva, G.; Sobral, H.; Rangel-Cárdenas, J. Characterization of CdTe Thin Films Using Orthogonal Double-Pulse Laser-Induced Breakdown Spectroscopy. Chemosensors 2022, 11, 4. [Google Scholar] [CrossRef]
- El Sherbini, A.M.; El Sherbini, Th.M.; Hegazy, H.; Cristoforetti, G.; Legnaioli, S.; Palleschi, V.; Pardini, L.; Salvetti, A.; Tognoni, E. Evaluation of Self-Absorption Coefficients of Aluminum Emission Lines in Laser-Induced Breakdown Spectroscopy Measurements. Spectrochimica Acta Part B: Atomic Spectroscopy 2005, 60, 1573–1579. [Google Scholar] [CrossRef]
- Sherbini, A.E.; Aboulfotouh, A.; Sherbini, T.E. On the Similarity and Differences Between Nano -Enhanced Laser-Induced Breakdown Spectroscopy and Nano-Enhanced Laser-Induced Plasma Spectroscopy in Laser-Induced Nanomaterials Plasma. QuBS 2024, 9, 1. [Google Scholar] [CrossRef]
- De Giacomo, A.; Alrifai, R.; Gardette, V.; Salajková, Z.; Dell’Aglio, M. Nanoparticle Enhanced Laser Ablation and Consequent Effects on Laser Induced Plasma Optical Emission. Spectrochim. Acta Part B At. Spectrosc. 2020, 166, 105794. [Google Scholar] [CrossRef]
- Jamil, S.; Liaqat, U.; Ahmed, N.; Ahmed, R.; Umar, Z.A.; Baig, M.A. The Role of Nanoparticles Concentration in the EmissionIntensity Enhancement of the Laser-Produced Aluminum Plasma. Phys. B Condens. Matter 2022, 627, 413620. [Google Scholar] [CrossRef]
- Khan, M.R.; Haq, S.U.; Abbas, Q.; Nadeem, A. Improvement in Signal Sensitivity and Repeatability Using Copper NanoparticleEnhanced Laser-Induced Breakdown Spectroscopy. Spectrochim. Acta Part B At. Spectrosc. 2022, 195, 106507. [Google Scholar] [CrossRef]
- Safi, A.; Landis, J.E.; Adler, H.G.; Khadem, H.; Eseller, K.E.; Markushin, Y.; Honarparvaran, S.; De Giacomo, A.; Melikechi, N. Enhancing Biomarker Detection Sensitivity through Tag-Laser Induced Breakdown Spectroscopy with NELIBS. Talanta 2024, 271, 125723. [Google Scholar] [CrossRef] [PubMed]
- Griem, H.R. Plasma Spectroscopy; McGrow-Hill, Inc.: New York, NY, USA, 1964. [Google Scholar]
- EL Sherbini, A.M.; Aboulfotouh, A.; Rashid, F.F.; Allam, S.H.; Dakrouri, A.E.; EL Sherbini, T.M. Observed Enhancement in LIBS Signals from Nano vs. Bulk ZnO Targets: Comparative Study of Plasma Parameters. World J. Nano Sci. Eng. 2012, 2, 181–188. [Google Scholar] [CrossRef]
- Kramida, A.; Ralchenko, Y. NIST Atomic Spectra Database, NIST Standard Reference Database 78 1999.
- Dimitrijević, M.S.; Sahal-Bréchot, S. Stark Broadening of AgI Spectral Lines. Atomic Data and Nuclear Data Tables 2003, 85, 269–290. [Google Scholar] [CrossRef]
- Alhijry, I.A.; El Sherbini, A.M.; El Sherbini, T.M. Measurement of Deviations of Transition Probability of the Neutral Silver Lines at 827.35 and 768.77 Nm Using OES-Technique. Journal of Quantitative Spectroscopy and Radiative Transfer 2020, 245, 106922. [Google Scholar] [CrossRef]
- Dimitrijevic, M.S.; Sahal−Bréchot, S. Stark Broadening Parameter Tables for Neutral Zinc Spectral Lines. Serb Astron J 1999, 21–33. [Google Scholar] [CrossRef]
- Djurović, S.; Blagojević, B.; Konjević, N. Experimental and Semiclassical Stark Widths and Shifts for Spectral Lines of Neutral and Ionized Atoms (A Critical Review of Experimental and Semiclassical Data for the Period 2008 Through 2020). Journal of Physical and Chemical Reference Data 2023, 52, 031503. [Google Scholar] [CrossRef]
- El Sherbini, A.M.; Hegazy, H.; El Sherbini, Th.M. Measurement of Electron Density Utilizing the Hα-Line from Laser Produced Plasma in Air. Spectrochimica Acta Part B: Atomic Spectroscopy 2006, 61, 532–539. [Google Scholar] [CrossRef]






| Element | Wavelength (nm) |
Transition probability (s−1) |
Statistical weight | Energy of upper state (eV) | Stark broadening parameter (nm) /reference density (cm−3) | Ref. |
| Ag I lines | 546.54 | 8.6e+07 | 6 | 6.04 | 0.0262 /0.66×1017 | [17] |
| 520.90 | 7.5e+07 | 4 | 6.043 | 0.0242/0.66×1017 | [17] | |
| 768.77 | 3.0e+05* [18] | 2 | 5.27 | 0.146/ 1×1017 | [17] | |
| 827.35 | 5.5e+05* [18] | 2 | 5.27 | 0.167/ 1×1017 | [17] | |
| 338.28 | 1.3e+08 | 2 | 3.66R | 0.0042/1×1017 | [17] | |
| 328.06 | 1.4e+08 | 4 | 3.77R | 0.0041/1×1017 | [17] | |
| Zn I lines | 481.08 | 7.00e+007 | 3 | 6.65 | 0.125/2.70×1017 | [19] |
| 472.20 | 4.58e+007 | 3 | 6.65 | 0.137/2.70×1017 | [19] | |
| 468.01 | 1.55e+007 | 3 | 6.65 | 0.107/2.70×1017 | [19] | |
| 636.23 | 4.70e+007 | 5 | 7.74 | 0.503/2.70×1017 | [20] | |
| 334.55 | 1.00e+8* | 6* | 7.78 | 0.0488/1×1017 | [19] | |
| 330.27 | 1.001e_008* | 4* | 7.78 | 0.0488/1×1017 | [19] |
| Delay | 1μs | 2μs | 3μs | 4μs | 5μs | ||||||||||||||
| Measured electron density (× 1017 cm−3) | |||||||||||||||||||
| Element | Nano | Bulk | Nano | Bulk | Nano | Bulk | Nano | Bulk | Nano | Bulk | |||||||||
| Silver | 4.29±0.1 | 4.2±0.08 | 1.8±0.12 | 1.79±0.10 | 0.89±0.04 | 0.89±0.03 | 0.55±0.15 | 0.55±0.13 | 0.23±0.04 | 0.23±0.05 | |||||||||
| Zinc | 4.4± | 4.7±0.7 | 2.5±0.9 | 2.4±0.8 | 1.2±0.40 | 1.4±0.5 | 0.7±0.26 | 0.7±0.24 | 0.64±0.08 | 0.54±0.07 | |||||||||
| Iron | 4.42±0.8 | 4.8±0.5 | 1.47±0.09 | 1.27±0.09 | 0.83±0.07 | 0.77±0.08 | 0.42±0.08 | 0.43±0.07 | 0.35±0.02 | 0.33±0.05 | |||||||||
| Titanium | 3.4±0.7 | 3.4±0.03 | 1.8±0.08 | 1.7±0.03 | 0.99±0.05 | 0.91±0.04 | 0.72±0.07 | 0.69±0.02 | 0.52±0.04 | 0.54±0.03 | |||||||||
| Measured electron temperatures (eV) | |||||||||||||||||||
| Element | Nano | Bulk | Nano | Bulk | Nano | Bulk | Nano | Bulk | Nano | Bulk | |||||||||
| Silver | 1.04±0.1 | 1.09±0.09 | 0.89±0.08 | 0.89±0.06 | 0.72±0.05 | 0.72±0.07 | 0.63±0.07 | 0.60±0.02 | 0.51±0.04 | 0.55±0.06 | |||||||||
| Delay | 1 μs | 2 μs | 3 μs | 4 μs | 5 μs | 7μs | ||||||
| Silver | 2.4 | 6.1 | 3.4 | 12.2 | 6.6 | 24.66 | 5.9 | 46.14 | 8.2 | 100 | ---------- | ------- |
| Zinc | 1.98 | 3.76 | 2.1 | 5.4 | 2.7 | 8.2 | 3.15 | 13 | 3.5 | 21 | ---------- | ------- |
| Iron* | 1.85 | ----- | 2.3 | ----- | 2.9 | ----- | 3.4 | ----- | 4.1 | ----- | 6.2 | ----- |
| Titanium* | 1.18 | ----- | ----- | ---- | 2.4 | ----- | ---- | ------ | 3.7 | ----- | 6.8 | ----- |
| With corrections against SA | Without corrections against SA | |||
| χ(μs)−1 | χ(μs)−1 | |||
| Silver | 3 | 0.7 | 1.0 | 0.65 |
| Zinc | 2.4 | 0.42 | 1.7 | 0.15 |
| Iron | ------------- | ------------------ | 1.5 | 0.206 |
| Titanium | ------------------ | ---------------- | 1.0 | 0.265 |
| Uncorrected emission against SA | Corrected emission against SA | |||||
| χ(μs)−1 | χ(μs)−1 | |||||
| Silver | - 1.79 | - 1.07 | + 0.63 | - 1.01 | - 0.31 | + 0.7 |
| Zinc | - 1.56 | - 1.41 | + 0.17 | -1.05 | -0.63 | + 0.41 |
| Iron* | - 0.59 | - 0.39 | + 0.202 | -------- | --------------- | ----------- |
| Titanium* | - 0.49 | - 0.25 | + 0.232 | -------------- | -------------- | -------- |
Disclaimer/Publisher’s Note: The statements, opinions and data contained in all publications are solely those of the individual author(s) and contributor(s) and not of MDPI and/or the editor(s). MDPI and/or the editor(s) disclaim responsibility for any injury to people or property resulting from any ideas, methods, instructions or products referred to in the content. |
© 2025 by the authors. Licensee MDPI, Basel, Switzerland. This article is an open access article distributed under the terms and conditions of the Creative Commons Attribution (CC BY) license (http://creativecommons.org/licenses/by/4.0/).