Submitted:
09 July 2025
Posted:
09 July 2025
You are already at the latest version
Abstract
Keywords:
1. Introduction
2. Materials and Methods
2.1. Chemicals
2.2. Strain and Culture Conditions
2.3. Aggregation Assay
2.4. Protein Extraction and Quantification
2.5. Two-Dimensional Gel Electrophoresis (2-DE)
2.6. Image and Data Analysis
3. Results
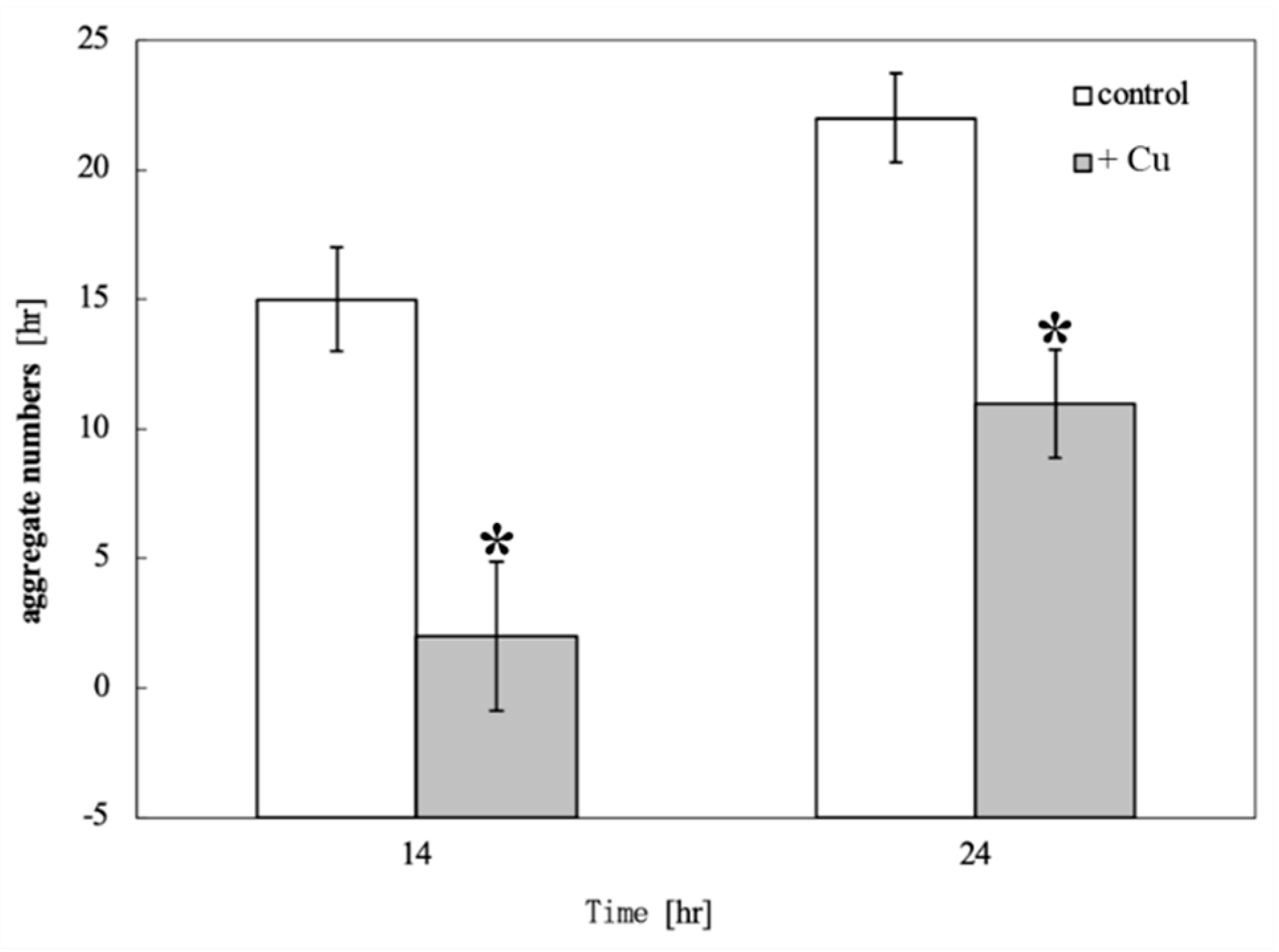
3.1. Morphological Observations
3.2. Proteomic Analysis
4. Discussion
5. Conclusions
Author Contributions
Funding
Data Availability Statement
Acknowledgments
Conflicts of Interest
Abbreviations
| SDS-PAGE | Sodium Dodecyl Sulfate Polyacrylamide Gel Electrophoresis |
References
- Focazio, M. J.; Kolpin, D. W.; Barnes, K. K.; Furlong, E. T.; Meyer, M. T.; Zaugg S., D.; Barber, L. B.; Thurman, M. E. A national reconnaissance for pharmaceuticals and other organic wastewater contaminants in the United States—II) Untreated drinking water sources. Sci Total Environ. 2008, 402, 01–216. [Google Scholar] [CrossRef] [PubMed]
- Kolpin, D. W.; Furlong, E. T.; Meyer, M. T.; Thurman, E. M.; Zaugg, S. D.; Barber, L. B.; Buxton, H. T. Pharmaceuticals, hormones, and other organic wastewater contaminants in U.S. streams, 1999–2000: A national reconnaissance. Environ. Sci. Technol. 2002, 36, 1202–1211. [Google Scholar] [CrossRef] [PubMed]
- Adak, T.; Govindharaj, G.; Panneerselvam, P.; Gadratagi B., G.; Kumar, U. Imidacloprid application changes microbial dynamics and enzyme activities in tropical rice soil. Ecotoxicol. Environ. Saf. 2017, 144, 123–130. [Google Scholar] [CrossRef]
- Wang, X.; Chai, J.; Liu, W.; Zhu, X.; Liu, H. : Wei, X. Biochar, soil and land-use interactions that reduce nitrate leaching and nitrous oxide emissions: A meta-analysis. Sci. Total Environ. 2018, 626, 20–30. [Google Scholar] [CrossRef]
- Hajam A., H.; Ali, M. S.; Singh, S. K.; Bashri, G. Understanding cytokinin: Biosynthesis, signal transduction, growth regulation, and phytohormonal crosstalk under heavy metal stress. Environ. Exp. Bot. 2024, 228, 106025. [Google Scholar] [CrossRef]
- Liu, Y.; Wang, Y.; Zhang, H. Waterborne polyurethane composites with antibacterial activity by incorporating p-BzOH intercalated MgAl-LDH. Compos. Commun. 2019, 13, 1–5. [Google Scholar] [CrossRef]
- Francesco, D.; Henrik, J.; Mauro, R.; Gabriella, P.; Elena, B.; Giovanni, P.; Aldo, V. Cellular responses to environmental contaminants in amoebic cells of the slime mould Dictyostelium discoideum. Biochem. Physiol. C Toxico. Pharmacol. 2005, 143, 150–157. [Google Scholar] [CrossRef]
- Francesco, M.; Lara, B.; Elia, R.; Maria, C.; Valeria, M.; Francesco, D.; Aldo, V. Effects of mercury on Dictyostelium discoideum : Proteomics reveals the molecular mechanisms of physiological adaptation and toxicity. J. Proteome Res. 2010, 9, 2839–2854. [Google Scholar] [CrossRef]
- Sforzini, S.; Dagnino, A.; Torrielli, S.; Dondero, F.; Fenoglio, S.; Negri, A.; Boatti, L.; Viarengo, A. Use of highly sensitive sublethal stress responses in the social amoeba Dictyostelium discoideum for an assessment of freshwater quality. Sci. Total Environ. 2008, 395, 101–108. [Google Scholar] [CrossRef] [PubMed]
- Laemmli U., K. Cleavage of structural proteins during assembly of the head of bacteriophage T4. Nature 1970, 227, 680–685. [Google Scholar] [CrossRef] [PubMed]
- Ali, H.; Khan, E.; Sajad, M. A. Phytoremediation of heavy metals—Concepts and applications. Chemosphere 2013, 91, 869–881. [Google Scholar] [CrossRef] [PubMed]
- Leung, M. C.; Williams, P. L.; Benedetto, A.; Au, C.; Helmcke, K. J.; Aschner, M.; Meyer, J. N. Caenorhabditis elegans: An emerging model in biomedical and environmental toxicology. Toxicol. Sci. 2008, 106, 5–28. [Google Scholar] [CrossRef] [PubMed]
- Faix, J.; Grosse, R. Staying in shape with formins. Developmental Cell 2006, 10, 693–706. [Google Scholar] [CrossRef] [PubMed]
- Junemann, A.; Winterhoff, M.; Nordholz, B.; Rottner, K.; Eichinger, L.; Gräf, R.; Faix, J. ForC lacks canonical formin activity but bundles actin filaments and is required for multicellular development of Dictyostelium cells. Euro. J. Cell Biol. 2013, 92, 201–212. [Google Scholar] [CrossRef] [PubMed]
- Insall, R. H.; Borleis, J.; Devreotes, P. N. The aimless RasGEF is required for processing of chemotactic signals through G-protein-coupled receptors in Dictyostelium. Current Biol. 1996, 6, 719–729. [Google Scholar] [CrossRef] [PubMed]
- D’Andrea, L. D.; Regan, L. TPR proteins: The versatile helix. Trends in Biochemical Sciences 2003, 28, 655–662. [Google Scholar] [CrossRef] [PubMed]
- Bouron, A.; Kiselyov, K.; Oberwinkler, J. Permeation, regulation and control of expression of TRP channels by trace metal ions. Pflugers Arch. – Eur. J. Physiol. 2015, 467, 1146–1164. [Google Scholar] [CrossRef] [PubMed]
- Williams, R. S.; Boeckeler, K.; Graf, R.; Muller-Taubenberger, A.; Li, Z.; Ismailoglu, I.; Gourley, C. Dictyostelium discoideum as a model for the study of neurodegenerative diseases. Seminars in Cell & Dev. Biol. 2006, 17, 512–524. [Google Scholar] [CrossRef]
- Zhu, J.; Fu, X.; Lin, H.; Chen, L.; Jin, Y. Proteomic analysis of copper stress response in rice seedlings. Environ. Sci. Pollution Res. 2019, 26, 20524–20533. [Google Scholar] [CrossRef]





| spot | experiment value | protein name | Dictybase ID | ExPasy data base | |||
| pI | Mw(kDa) | DDB | pI | Mw(Da) | Rank | ||
| a | 6.3 | 102 | formin-I | DDB_G0284519 | 6.27 | 106462 | 1 |
| probable ATP-dependent RNA helicase ddx10 | DDB_G0284017 | 6.24 | 100359 | 2 | |||
| mental retardation GTPase activating protein homolog 2 | DDB_G0270024 | 6.33 | 97411 | 3 | |||
| dynamin-like protein A | DDB_G0268592 | 6.4 | 101404 | 4 | |||
| folliculin interacting protein repeat-containing protein | DDB_G0271996 | 6.29 | 105881 | 5 | |||
| myb-like protein K | DDB_G0276877 | 6.32 | 100912 | 6 | |||
| b | 8.1 | 78 | cytoplasmic regulator of Adenylylcyclase | DDB_G0285161 | 8.08 | 78499 | 1 |
| target of Myb protein 1 | DDB_G0290163 | 8.1 | 75375 | 2 | |||
| inner no outer 80 complex subunit D | DDB_G0288447 | 8.07 | 78233 | 3 | |||
| cycloartenol synthase | DDB_G0269226 | 8.19 | 80763 | 4 | |||
| c | 7.5 | 31 | tetratrico peptide repeat -containing protein | DDB_G0285095 | 7.57 | 29748 | 1 |
Disclaimer/Publisher’s Note: The statements, opinions and data contained in all publications are solely those of the individual author(s) and contributor(s) and not of MDPI and/or the editor(s). MDPI and/or the editor(s) disclaim responsibility for any injury to people or property resulting from any ideas, methods, instructions or products referred to in the content. |
© 2025 by the authors. Licensee MDPI, Basel, Switzerland. This article is an open access article distributed under the terms and conditions of the Creative Commons Attribution (CC BY) license (http://creativecommons.org/licenses/by/4.0/).