Submitted:
29 June 2025
Posted:
30 June 2025
You are already at the latest version
Abstract
Keywords:
1. Introduction
2. Governing Equations and Parameters
3. Methods
3.1. Terminology
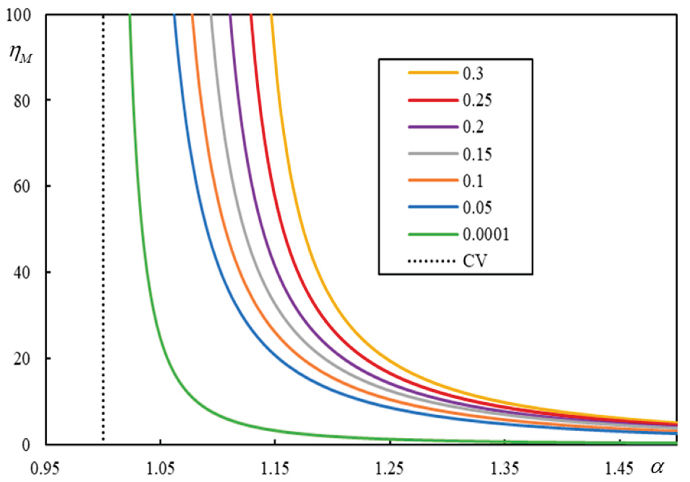
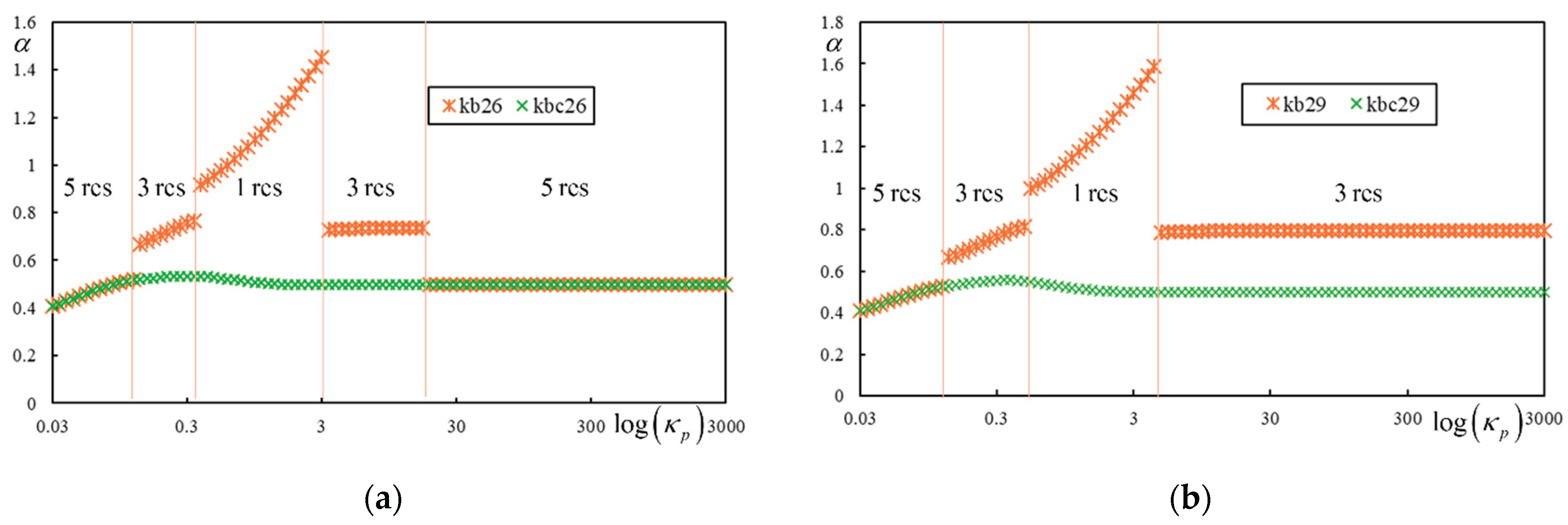
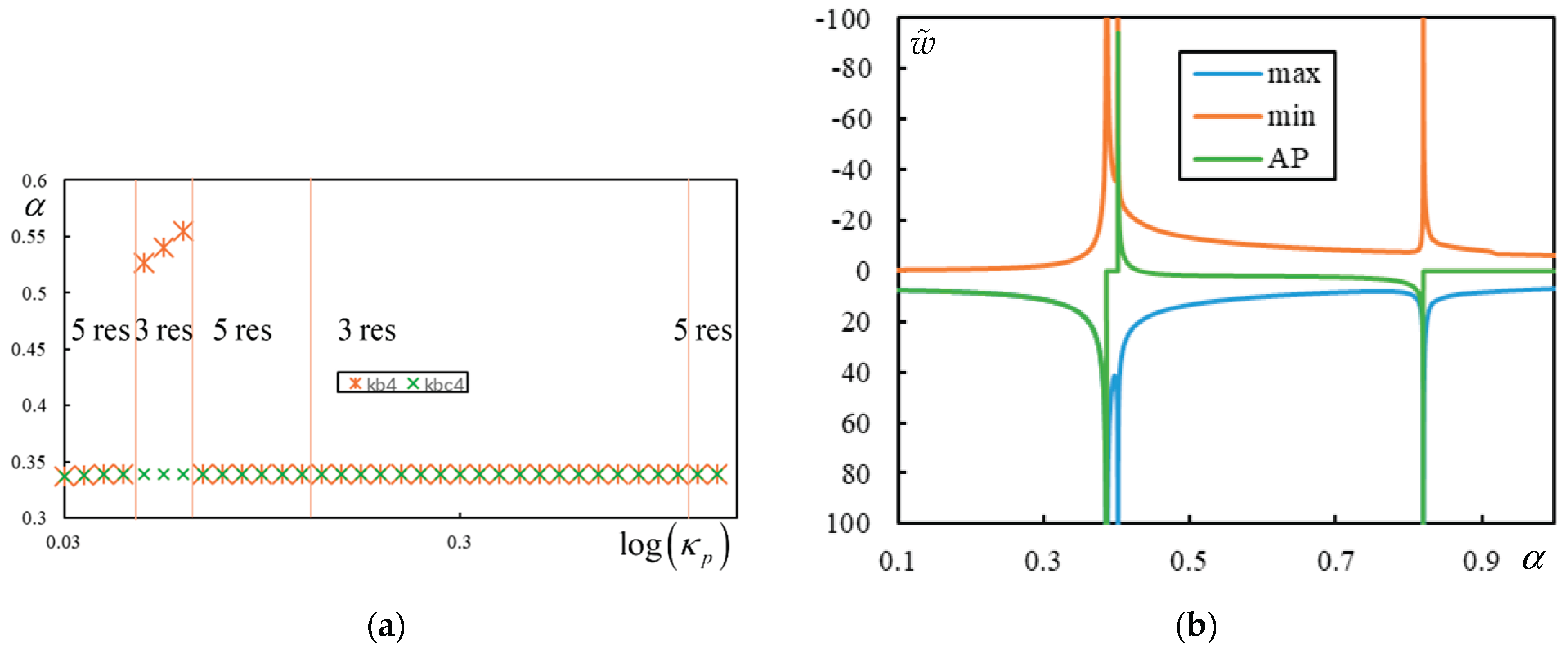
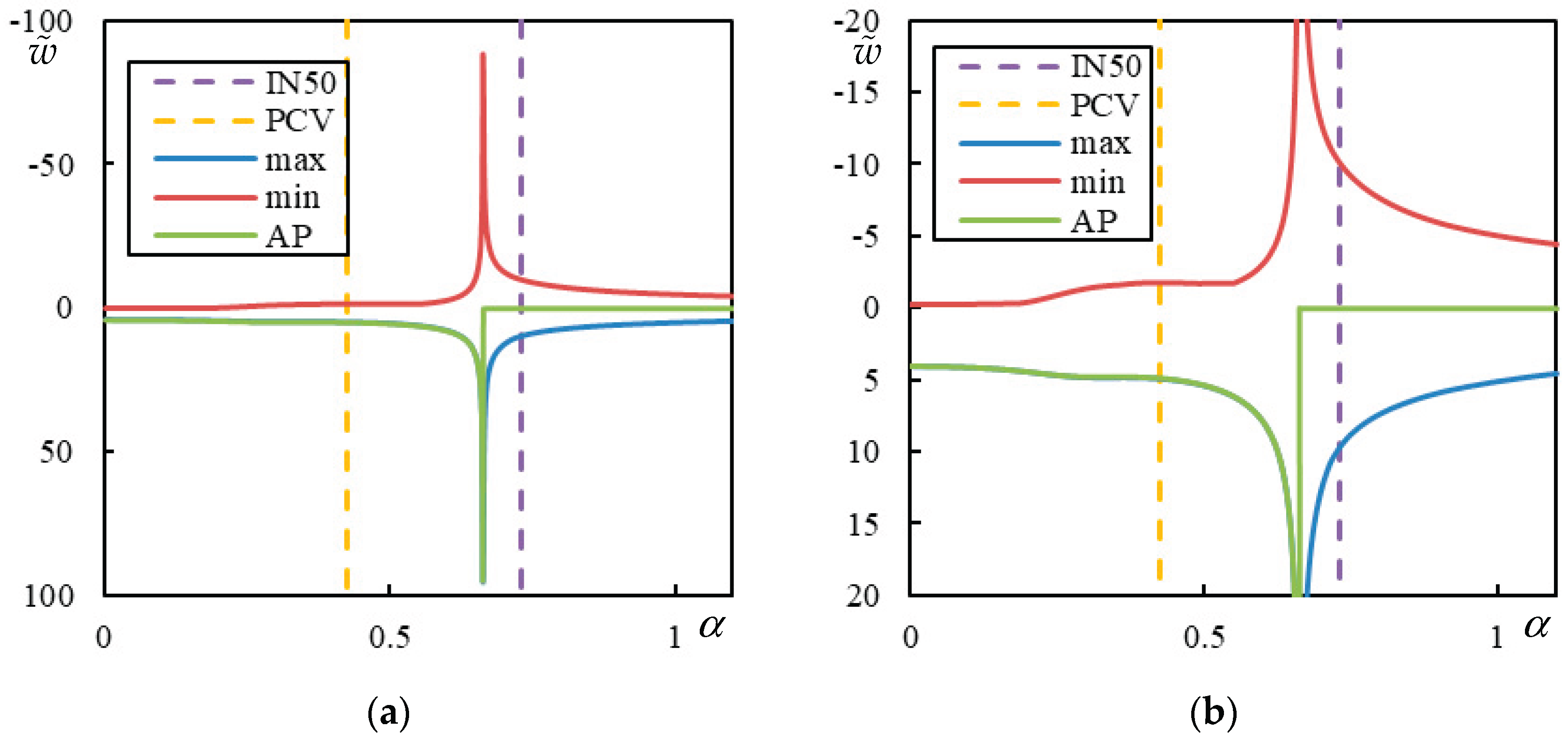
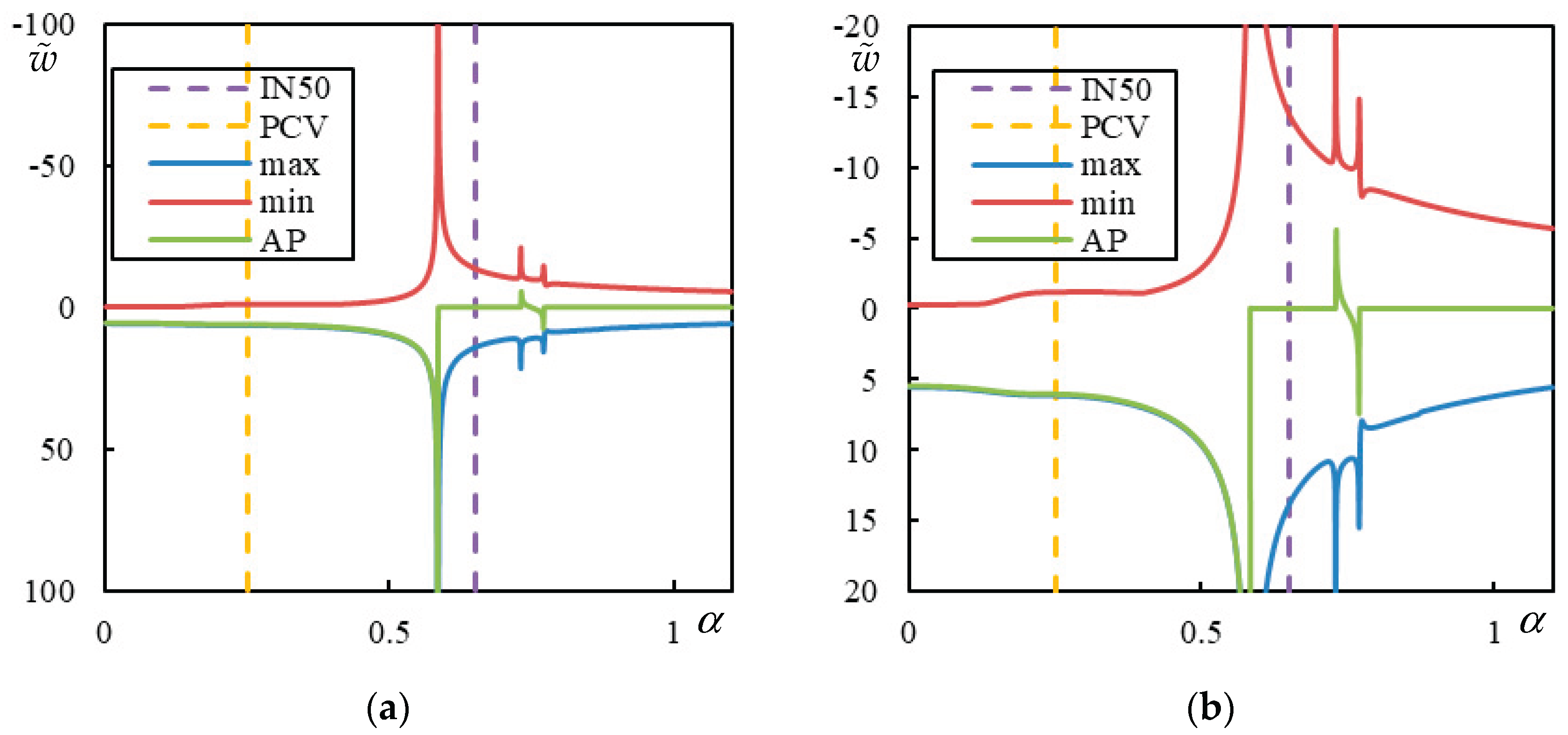
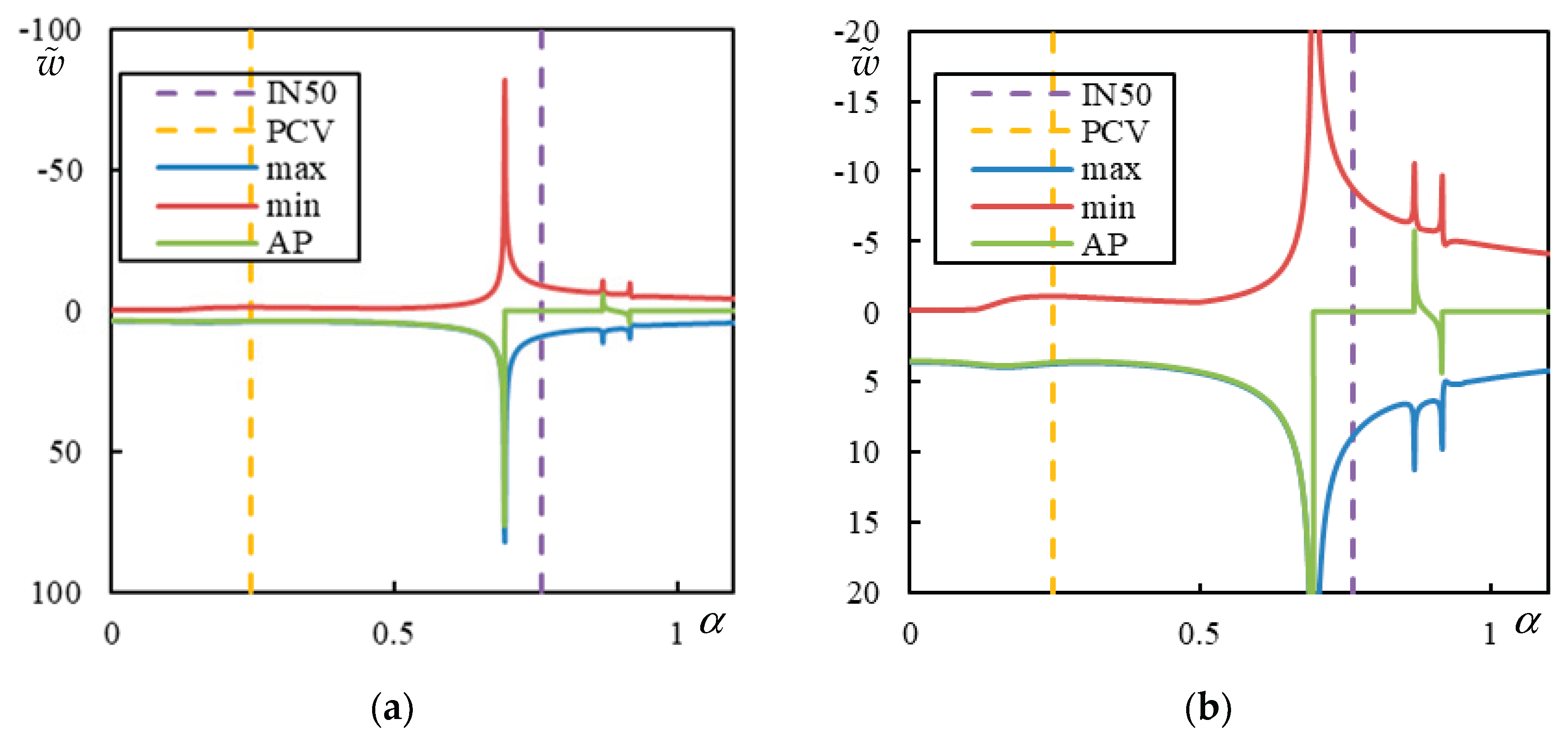
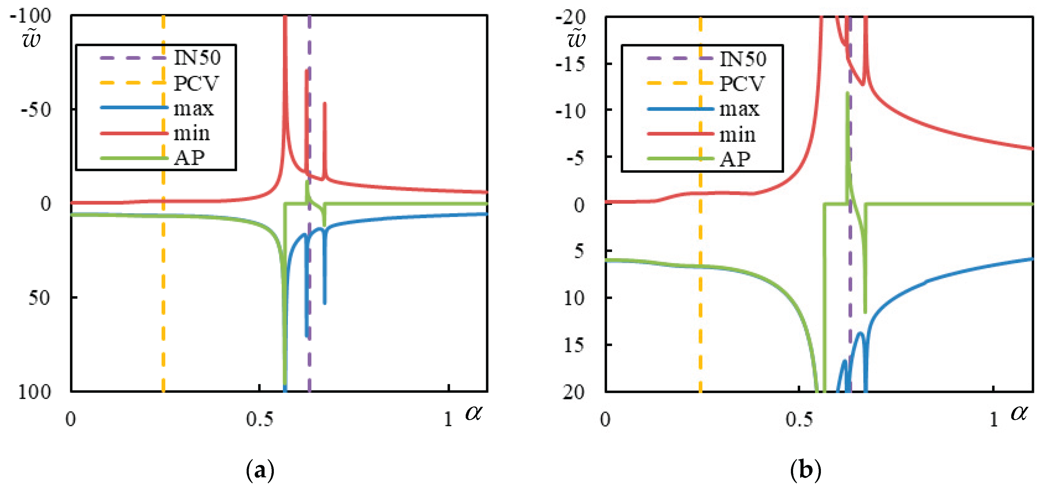
3.2. Determination of Number of Resonances and Pseudo-critical Velocities
3.3. Motivation and Aim
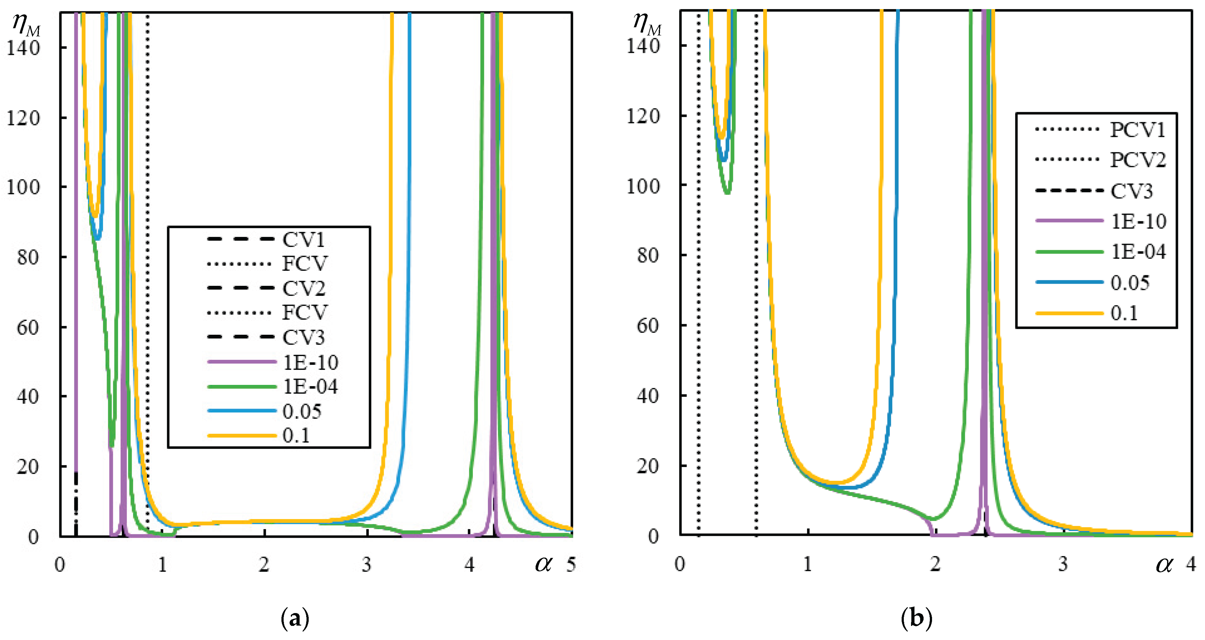
4. Particular Case Analysis
4.1. Preliminary Tests
4.2. Real Data Identification
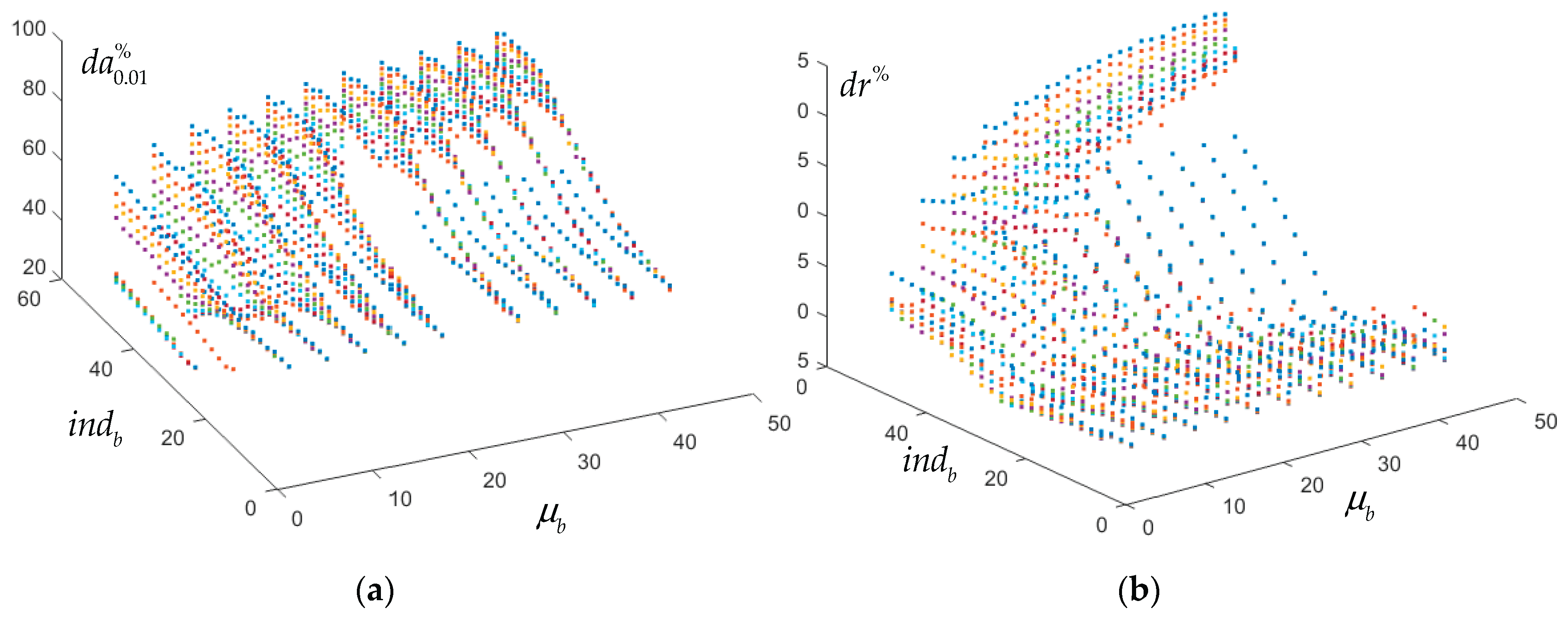
4.3. Design of Experiments and Response Surface
5. Optimization and Parametric Search
5.1. Monte Carlo Method
5.2. Parametric Search
5.3. Simulated Annealing
6. Discussion
7. Conclusions
- Very high foundation stiffness,
- Low rail pad stiffness,
- Zero ballast shear stiffness.
Supplementary Materials
Author Contributions
Funding
Data Availability Statement
Acknowledgments
Conflicts of Interest
Abbreviations
| AP | Active point (force position) |
| CV | Critical velocity |
| DCV | Design critical velocity |
| DOE | Design of experiments |
| FCV | False critical velocity |
| MC | Monte Carlo method |
| PCV | Pseudo-critical velocity |
| PI | Performance index |
| PS | Parametric search |
| SA | Simulated annealing |
Appendix A
| Type | PI | PCV | % | ||||||
|---|---|---|---|---|---|---|---|---|---|
| DOE | 4 | 12 | 16 | 40 | 0 | 0.4956 | 0.4456 | 0.6419 | 44.05 |
| MC ( ) | 5.5244 | 44.1292 | 20 | 44.8870 | 0.1111 | 0.7163 | 0.2326 | 0.7112 | 205.76 |
| PS1 ( ) | 1 | 16 | 17 | 49 | 0 | 0.4410 | 0.4257 | 0.6624 | 55.60 |
| PS2 ( ) | 1 | 16 | 18 | 50 | 0 | 0.4505 | 0.4115 | 0.6816 | 65.64 |
| PS3 ( ) | 3.5 | 42 | 13 | 40 | 0 | 0.2159 | 0.2517 | 0.5845 | 132.22 |
| PS4 ( ) | 3.5 | 42 | 19 | 46 | 0 | 0.3355 | 0.2462 | 0.6945 | 182.10 |
| SA ( ) | 5.3333 | 42.8571 | 12 | 47.3333 | 0 | 0.2055 | 0.2437 | 0.5660 | 132.22 |
| Type | [m] | [m] | [º] | [m] | [m3] | [m] |
|---|---|---|---|---|---|---|
| DOE | 0.6 | 0.3 | 50 | 0.36 | 0.2231 | 2.3821 |
| DOE | 0.6 | 0.35 | 25 | 0.2 | 0.1510 | 1.089 |
| MC ( ) | 0.5 | 0.6 | 50 | 0.34 | 0.4592 | 1.2568 |
| PS1 ( ) | 0.8 | 0.3 | 50 | 0.36 | 0.2682 | 2.6634 |
| PS2 ( ) | 0.8 | 0.3 | 50 | 0.36 | 0.2682 | 2.6634 |
| PS3 ( ) | 0.7 | 0.6 | 50 | 0.3 | 0.6128 | 1.5289 |
| PS4 ( ) | 0.7 | 0.6 | 50 | 0.3 | 0.6128 | 1.5289 |
| SA ( ) | 0.5 | 0.6 | 50 | 0.32 | 0.4577 | 1.2442 |
| Type | [kg/m] | [kg] | [kg/m3] | [MN/m2] | [MN/m] | [MPa] | DCV[m/s] | [m/s] |
| DOE | 60 | 144 | 1937 | 198 | 20 | 177 | 449 | 646 |
| DOE | 54 | 130 | 2575 | 198 | 20 | 388 | 473 | 681 |
| MC ( ) | 54 | 149 | 2594 | 150 | 20 | 372 | 230 | 704 |
| PS1 ( ) | 54 | 43.2 | 2577 | 132 | 20 | 399 | 408 | 636 |
| PS2 ( ) | 54 | 43.2 | 2577 | 118 | 20 | 399 | 384 | 636 |
| PS3 ( ) | 54 | 132.3 | 2591 | 239 | 20 | 390 | 280 | 651 |
| PS4 ( ) | 54 | 132.3 | 2591 | 120 | 20 | 390 | 231 | 651 |
| SA ( ) | 54 | 144 | 2528 | 376 | 20 | 396 | 304 | 705 |
References
- Madshus, C.; Kaynia, A.M. High-speed railway lines on soft ground: dynamic behaviour at critical train speed. J. Sound Vib. 2000, 231, 689–701. [Google Scholar] [CrossRef]
- Kerr, A. Elastic and viscoelastic foundation models. J. Appl. Mech. 1994, 31, 491–498. [Google Scholar] [CrossRef]
- Szolc, T. On discrete-continuous modelling of the railway bogie and the track for the medium frequency dynamic analysis. Engineering Transactions 2000, 48, 153–198. [Google Scholar] [CrossRef]
- Metrikine, A.V.; Dieterman, H.A. Instability of vibrations of a mass moving uniformly along an axially compressed beam on a viscoelastic foundation. J. Sound Vib. 1997, 201, 567–576. [Google Scholar] [CrossRef]
- Duffy, D.G. The response of an infinite railroad track to a moving, vibrating mass. J. Appl. Mech. 1990, 57, 66–73. [Google Scholar] [CrossRef]
- Stojanović, V.; Kozić, P.; Petković, M.D. Dynamic instability and critical velocity of a mass moving uniformly along a stabilized infinity beam. Int. J. Solids Struct. 2017, 108, 164–174. [Google Scholar] [CrossRef]
- Dimitrovová, Z. Dynamic interaction and instability of two moving proximate masses on a beam on a Pasternak viscoelastic foundation. Appl. Math. Modell. 2021, 100, 192–217. [Google Scholar] [CrossRef]
- Dimitrovová, Z. Two-layer model of the railway track: analysis of the critical velocity and instability of two moving proximate masses. Int. J. Mech. Sci. 2022, 217, 107042. [Google Scholar] [CrossRef]
- Dimitrovová, Z. Instability of vibrations of mass(es) moving uniformly on a two-layer track model: Parameters leading to irregular cases and associated implications for railway design. Appl. Sci. 2023, 13, 12356. [Google Scholar] [CrossRef]
- Rodrigues, A.F.S.; Dimitrovová, Z. Applicability of a Three-Layer Model for the Dynamic Analysis of Ballasted Railway Tracks. Vibration 2021, 4, 151–174. [Google Scholar] [CrossRef]
- Dimitrovová, Z.; Mazilu, T. Semi-Analytical Approach and Green’s Function Method: A Comparison in the Analysis of the Interaction of a Moving Mass on an Infinite Beam on a Three-Layer Viscoelastic Foundation at the Stability Limit—The Effect of Damping of Foundation Materials. Materials 2024, 17, 279. [Google Scholar] [CrossRef] [PubMed]
- Mazilu, T.; Dumitriu, M.; Tudorache, C. Instability of an oscillator moving along a Timoshenko beam on viscoelastic foundation. Nonlinear Dyn. 2012, 67, 1273–1293. [Google Scholar] [CrossRef]
- Verichev, S.N.; Metrikine, A.V. Instability of a bogie moving on a flexibly supported Timoshenko beam. J. Sound Vib. 2002, 253, 653–668. [Google Scholar] [CrossRef]
- Yang, C.J.; Xu, Y.; Zhu, W.D.; Fan, W.; Zhang, W.H.; Mei, G.M. A three-dimensional modal theory-based Timoshenko finite length beam model for train-track dynamic analysis. J. Sound Vib. 2020, 479, 115363. [Google Scholar] [CrossRef]
- Abea, K.; Chidaa, Y.; Quinay, P.E.B. , Koroa, K. Dynamic instability of a wheel moving on a discretely supported infinite rail. J. Sound Vib. 2014, 333, 3413–3427. [Google Scholar] [CrossRef]
- Mazilu, T. Interaction between a moving two-mass oscillator and an infinite homogeneous structure: Green’s functions method. Arch. Appl. Mech. 2010, 80, 909–927. [Google Scholar] [CrossRef]
- Nelson, H.D.; Conover, R.A. Dynamic stability of a beam carrying moving masses. J. Appl. Mech. Trans. ASME 1971, 38, 1003–1006. [Google Scholar] [CrossRef]
- Benedetti, G.A. Dynamic stability of a beam loaded by a sequence of moving mass particles. J. Appl. Mech. Trans. ASME 1974, 41, 1069–1071. [Google Scholar] [CrossRef]
- Mackertich, S. Dynamic response of a supported beam to oscillatory moving masses. J. Vib. Control 2003, 9, 1083–1091. [Google Scholar] [CrossRef]
- Knothe, K.L.; Grassie, S.L. Modelling of railway track and vehicle-track interaction at high frequencies. Veh. Syst. Dyn. 1993, 22, 209–262. [Google Scholar] [CrossRef]
- Grassie, S.L.; Gregory, R.W.; Harrison, D.; Johnson, K.L. The dynamic response of railway track to high frequency vertical excitation. J. Mech. Eng. Sci. 1982, 24, 77–90. [Google Scholar] [CrossRef]
- Dimitrovová, Z. On the critical velocity of moving force and instability of moving mass in layered railway track models by semianalytical approaches. Vibration 2023, 6, 113–146. [Google Scholar] [CrossRef]
- Ahlbeck, D.R.; Meacham, H.C.; Prause, R.H. The development of analytical models for railroad track dynamics. In Symposium on Railroad Track Mechanics; 1975. [CrossRef]
- Doyle, N.F. Railway Track Design: A Review of Current Practice. Bureau of Transport Economics (bte), 1980. Available online: https://www.bitre.gov.au/sites/default/files/op_035.pdf (accessed on 28/6/2025).
- Kerr, D. On the determination of the rail support modulus k. Int. J. Solids Struct. 2000, 37, 4335–4351. [Google Scholar] [CrossRef]
- Zhai, W.M.; Sun, X. A detailed model for investigating vertical interaction between railway vehicle and track. Veh. Syst. Dyn. 1994, 23, 603–615. [Google Scholar] [CrossRef]
- Zhai, W.M.; Wang, K.Y.; Lin, J.H. Modelling and experiment of railway ballast vibrations. J. Sound Vib. 2004, 270, 673–683. [Google Scholar] [CrossRef]
- Basu, D.; Kameswara Rao, N.S.V. Analytical solutions for Euler-Bernoulli beam on visco-elastic foundation subjected to moving load. Int. J. Numer. Anal. Methods Geomech. 2013, 37, 945–960. [Google Scholar] [CrossRef]
- Froio, D.; Rizzi, E.; Simões, F.M.F.; Da Costa, A.P. Universal analytical solution of the steady-state response of an infinite beam on a Pasternak elastic foundation under moving load. Int. J. Solids Struct. 2018, 132–133, 245–263. [Google Scholar] [CrossRef]
- Koziol, P. Wavelet approximation of the Adomian’s decomposition applied to a nonlinear problem of a double-beam response subject to a series of moving loads. J. Theor. Appl. Mech. 2014, 52, 687–697. [Google Scholar]
- Czyczula, W.; Koziol, P.; Kudla, D.; Lisowski, S. Analytical evaluation of track response in the vertical direction due to a moving load. J. Vib. Control 2017, 23, 2989–3006. [Google Scholar] [CrossRef]
- Koziol, P.; Pilecki, R. Semi-analytical modelling of multilayer continuous systems nonlinear dynamics. Arch. Civ. Eng. 2020, 66, 165–178. [Google Scholar] [CrossRef]
- Koziol, P.; Pilecki, R. Nonlinear double-beam system dynamics. Arch. Civ. Eng. 2021, 67, 337–353. [Google Scholar] [CrossRef]
- Kiani, K.; Nikkhoo, A. On the limitations of linear beams for the problems of moving mass-beam interaction using a meshfree method. Acta Mech. Sin. 2011, 28, 164–179. [Google Scholar] [CrossRef]
- Kiani, K.; Nikkhoo, A.; Mehri, B. Prediction capabilities of classical and shear deformable beam models excited by a moving mass. J. Sound Vib. 2009, 320, 632–648. [Google Scholar] [CrossRef]
- Kiani, K.; Nikkhoo, A.; Mehri, B. Assessing dynamic response of multispan viscoelastic thin beams under a moving mass via generalized moving least square method. Acta Mech. Sin. 2010, 26, 721–733. [Google Scholar] [CrossRef]
- Jahangiri, A.; Attari, N.K.A.; Nikkhoo, A.; Waezi, Z. Nonlinear dynamic response of an Euler–Bernoulli beam under a moving mass–spring with large oscillations. Arch. Appl. Mech. 2020, 90, 1135–1156. [Google Scholar] [CrossRef]
- Dimitrovová, Z. Complete semi-analytical solution for a uniformly moving mass on a beam on a two-parameter visco-elastic foundation with non-homogeneous initial conditions. Int. J. Mech. Sci. 2018, 144, 283–311. [Google Scholar] [CrossRef]
- Tran, M.T.; Ang, K.K.; Luong, V.H. Vertical dynamic response of non-uniform motion of high-speed rails. J. Sound Vib. 2014, 333, 5427–5442. [Google Scholar] [CrossRef]
- Fărăgău, A.B.; Metrikine, A.V.; van Dalen, K.N. Transition radiation in a piecewise-linear and infinite one-dimensional structure–a Laplace transform method. Nonlinear Dyn. 2019, 98, 2435–2461. [Google Scholar] [CrossRef]
- Fărăgău, A.B.; Keijdener, C.; de Oliveira Barbosa, J.M.; Metrikine, A.V.; van Dalen, K.N. Transition radiation in a nonlinear and infinite one-dimensional structure: A comparison of solution methods. Nonlinear Dyn. 2021, 103, 1365–1391. [Google Scholar] [CrossRef]
- Dai, J.; Lim, J.G.Y.; Ang, K.K. Dynamic response analysis of high-speed maglev-guideway system. J. Vib. Eng. Technol. 2023, 11, 2647–2658. [Google Scholar] [CrossRef]
- Ortega, R.S.; Pombo, J.; Ricci, S.; Miranda, M. The importance of sleepers spacing in railways. Constr. Build. Mater. 2021, 300, 124326. [Google Scholar] [CrossRef]
- Sañudo, R.; Miranda, M.; Alonso, B.; Markine, V. Sleepers spacing analysis in railway track infrastructure. Infrastructures. 2022, 7, 83. [Google Scholar] [CrossRef]
- Punetha, P.; Nimbalkar, S. Numerical investigation on dynamic behaviour of critical zones in railway tracks under moving train loads. Transp. Geotech. 2023, 41, 101009. [Google Scholar] [CrossRef]
- Dimitrovová, Z. Semi-analytical analysis of vibrations induced by a mass traversing a beam supported by a finite depth foundation with simplified shear resistance. Meccanica 2020, 55, 2353–2389. [Google Scholar] [CrossRef]
- Stojanović, V.; Deng, J.; Petković, M.D.; Ristić, M.A. Vibrational instability in a complex moving object: innovative approaches to elastically damped connections between car body components and supports. Modeling of Complex Dynamic Systems (Fundamentals and Applications) 2025, ch. 9, 197-233. [CrossRef]
- Dimitrovová, Z. Instability of a Moving Bogie: Analysis of Vibrations and Possibility of Instability in Subcritical Velocity Range. Vibration 2025, 8(2), 13. [Google Scholar] [CrossRef]
- Stojanović, V.; Deng, J.; Petković, M.D.; Ristić, M.A. Stability of vibrations of a system of discrete oscillators that are moving at an overcritical velocity. Modeling of Complex Dynamic Systems (Fundamentals and Applications) 2025, ch. 5, 81-105. [CrossRef]
- Stojanović, V.; Deng, J.; Petković, M.D.; Ristić, M.A. Modeling of a three part viscoelastic foundation and its effect on dynamic stability. Modeling of Complex Dynamic Systems (Fundamentals and Applications) 2025, ch. 8, 173-196. [CrossRef]
- Rosa, A.F.; Dias, S.C.; Brito, W.S.; Costa, R.C.; Moura, E.; Bernucci, L.L.B.; Motta, R.S. Laboratory and numerical analysis for enhanced ballast performance: towards sustainable railway track pavement design. Transportes 2025, 33, e3028. [Google Scholar] [CrossRef]
- Abramian, A.K.; Vakulenko, S.A.; Horssen, W.T.v. On the existence and approximation of localized waves in a damped Euler–Bernoulli beam on a nonlinear elastic foundation. Nonlinear Dyn. 2025. [CrossRef]
- Kazemzadeh, M.; Zad, A.; Yazdi, M. Railway Track Performance Over Geogrid-Encased Stone Columns Under High-Speed Train Loads: A Numerical and Machine Learning Approach. Transp. Infrastruct. Geotech 2025, 12, 175. [Google Scholar] [CrossRef]
- Baykara, C. Investigation of mechanical strength and deformation properties of Y25 bogie suspension systems by finite element analysis. Railway Sciences 2025. [CrossRef]


























Disclaimer/Publisher’s Note: The statements, opinions and data contained in all publications are solely those of the individual author(s) and contributor(s) and not of MDPI and/or the editor(s). MDPI and/or the editor(s) disclaim responsibility for any injury to people or property resulting from any ideas, methods, instructions or products referred to in the content. |
© 2025 by the authors. Licensee MDPI, Basel, Switzerland. This article is an open access article distributed under the terms and conditions of the Creative Commons Attribution (CC BY) license (http://creativecommons.org/licenses/by/4.0/).