Submitted:
24 June 2025
Posted:
25 June 2025
You are already at the latest version
Abstract
Keywords:
1. Introduction
2. Materials and Methods
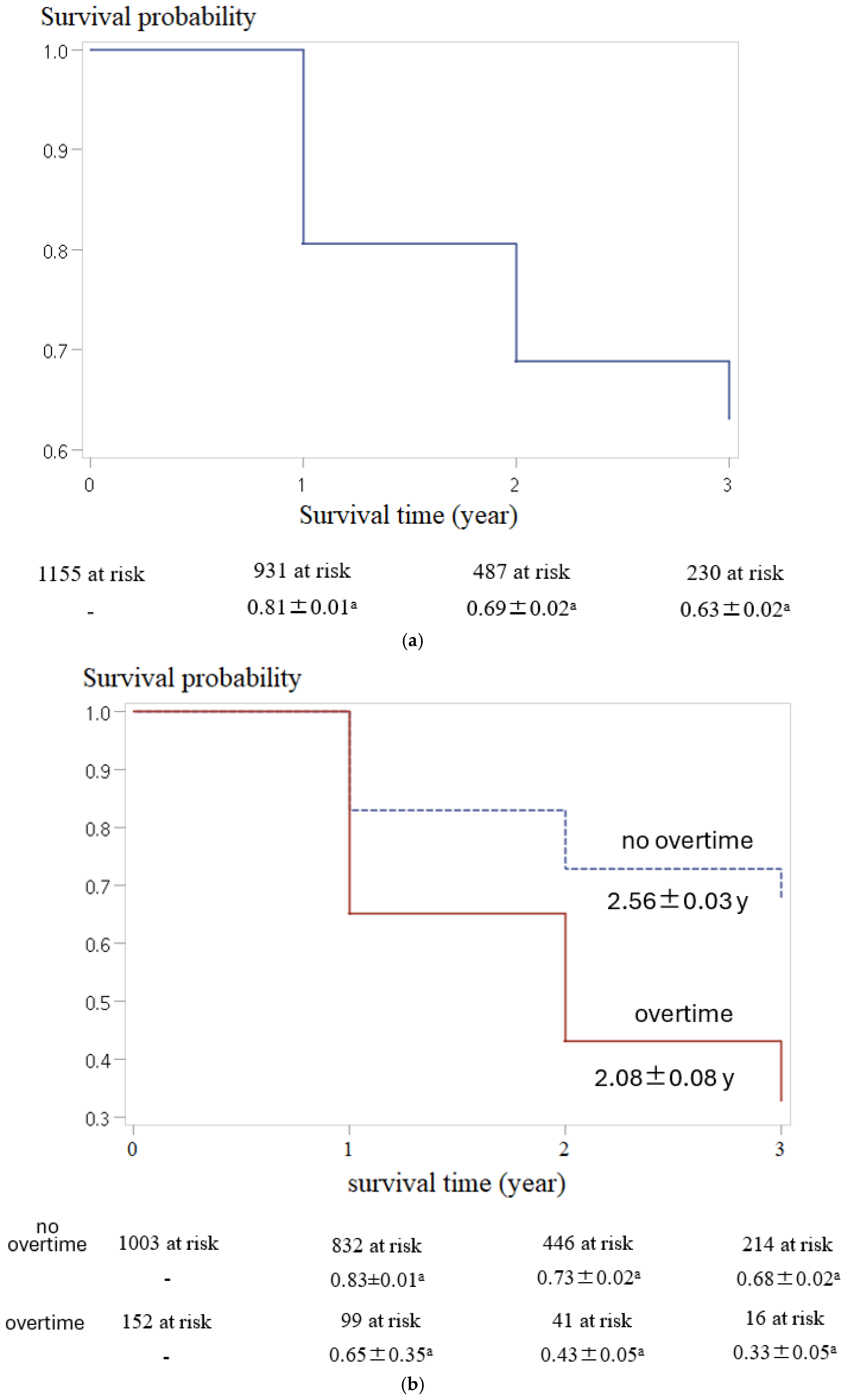
3. Results
4. Discussion
4.1. Risk Factors of Burnout
4.2. Overtime Effect on Burnout
5. Limitation
6. Conclusions
Supplementary Information
Data availability
Institutional Review Board Statemen
Author Contributions
Funding
Institutional Review Board Statement
Abbreviations
References
- Guseva Canu, I.; Marca, S.C.; Dell’Oro, F.; Balázs, Á.; Bergamaschi, E.; Besse, C.; et al. Harmonized definition of occupational burnout: A systematic review, semantic analysis, and Delphi consensus in 29 countries. Scand J Work Environ Health 2021, 47, 95–107. [Google Scholar] [CrossRef] [PubMed]
- Schaufeli, W.B.; Greenglass, E.R. Introduction to special issue on burnout and health. Psychology & Health 2001, 16, 501–510. [Google Scholar] [CrossRef]
- De Hert, S. Burnout in Healthcare Workers: Prevalence Impact and Preventative Strategies. Local and regional anesthesia 2020, 13, 171–183. [Google Scholar] [CrossRef] [PubMed]
- Freudenberger, H.J. Counseling and dynamics: Treating the end-stage person. Job stress and burnout 1982, 173–186. [Google Scholar]
- Grossi, G.; Perski, A.; Osika, W.; Savic, I. Stress-related exhaustion disorder – clinical manifestation of burnout? A review of assessment methods, sleep impairments, cognitive disturbances, and neuro-biological and physiological changes in clinical burnout. Scandinavian Journal of Psychology 2015, 56, 626–636. [Google Scholar] [CrossRef]
- Schaufeli, W.B.; Bakker, A.B.; Hoogduin, K.; Schaap, C.; Kladler, A. On the clinical validity of the maslach burnout inventory and the burnout measure. Psychology & Health 2001, 16, 565–582. [Google Scholar] [CrossRef]
- Safiye, T.; Vukčević, B.; Čabarkapa, M. Resilience as a moderator in the relationship between burnout and subjective well-being among medical workers in Serbia during the COVID-19 pandemic. Vojnosanitetski pregled 2021, 78. [Google Scholar] [CrossRef]
- Chen, C.; Meier, S.T. Burnout and depression in nurses: A systematic review and meta-analysis. International Journal of Nursing Studies 2021, 124, 104099. [Google Scholar] [CrossRef]
- Haas, J.S.; Cook, E.F.; Puopolo, A.L.; Burstin, H.R.; Cleary, P.D.; Brennan, T.A. Is the professional satisfaction of general internists associated with patient satisfaction? Journal of General Internal Medicine 2000, 15, 122–128. [Google Scholar] [CrossRef]
- Grol, R.; Mokkink, H.; Smits, A.; Van Eijk, J.; Beek, M.; Mesker, P.; et al. Work Satisfaction of General Practitioners and the Quality of Patient Care. Family Practice 1985, 2, 128–135. [Google Scholar] [CrossRef]
- Shanafelt, T.D.; Balch, C.M.; Bechamps, G.; Russell, T.; Dyrbye, L.; Satele, D.; et al. Burnout and Medical Errors Among American Surgeons. Annals of Surgery 2010, 251. [Google Scholar] [CrossRef] [PubMed]
- Woo, T.; Ho, R.; Tang, A.; Tam, W. Global prevalence of burnout symptoms among nurses: A systematic review and meta-analysis. Journal of Psychiatric Research 2020, 123, 9–20. [Google Scholar] [CrossRef] [PubMed]
- Klein, J.; Grosse Frie, K.; Blum, K.; von dem Knesebeck, O.; Klein, J.; Grosse Frie, K.; et al. Burnout and perceived quality of care among German clinicians in surgery. International Journal for Quality in Health Care 2010, 22, 525–530. [Google Scholar] [CrossRef] [PubMed]
- Tsai, Y.-H.; Huang, N.; Chien, L.-Y.; Chiang, J.-H.; Chiou, S.-T. Work hours and turnover intention among hospital physicians in Taiwan: does income matter? BMC Health Services Research 2016, 16, 667. [Google Scholar] [CrossRef]
- Lee, J.; Co, H.; Chung, H.; Kim, H.J.S.K.H.; Union, M.W. Current status of work condition of healthcare workforce 2016. 2016.
- Chiou, S.-T.; Chiang, J.-H.; Huang, N.; Wu, C.-H.; Chien, L.-Y. Health issues among nurses in Taiwanese hospitals: National survey. International Journal of Nursing Studies 2013, 50, 1377–1384. [Google Scholar] [CrossRef]
- Kikuchi, H.; Odagiri, Y.; Ohya, Y.; Nakanishi, Y.; Shimomitsu, T.; Theorell, T.; et al. Association of overtime work hours with various stress responses in 59,021 Japanese workers: Retrospective cross-sectional study. PLOS ONE 2020, 15, e0229506. [Google Scholar] [CrossRef]
- Gustavsson, K.; Wierzbicka, A.; Matuszczyk, M.; Matuszczyk, M.; Wichniak, A. Sleep among primary care physicians–Association with overtime, night duties and strategies to counteract poor sleep quality. Journal of Sleep Research 2021, 30, e13031. [Google Scholar] [CrossRef]
- Lee, W.; Lee, J.; Kim, H.-R.; Lee, Y.M.; Lee, D.-W.; Kang, M.-Y. The combined effect of long working hours and individual risk factors on cardiovascular disease: An interaction analysis. Journal of Occupational Health 2021, 63, e12204. [Google Scholar] [CrossRef]
- Ball, J.; Day, T.; Murrells, T.; Dall’Ora, C.; Rafferty, A.M.; Griffiths, P.; et al. Cross-sectional examination of the association between shift length and hospital nurses job satisfaction and nurse reported quality measures. BMC Nursing 2017, 16, 26. [Google Scholar] [CrossRef]
- Vanessa, M. D’Sa J. P.A.F.N.A.-D.; Gladys P. Potential Dangers of Nursing Overtime in Critical Care. Nursing Leadership 2018, 31, 48–60. [Google Scholar]
- Tan, K.-L.; Sim, P.-L.; Goh, F.-Q.; Leong, C.-M.; Ting, H. Overwork and overtime on turnover intention in non-luxury hotels: Do incentives matter? Journal of Hospitality and Tourism Insights 2020, 3, 397–414. [Google Scholar] [CrossRef]
- Huang, S.-L.; Li, R.-H.; Fang, S.-Y.; Tang, F.-C. Work Hours and Difficulty in Leaving Work on Time in Relation to Work-to-Family Conflict and Burnout Among Female Workers in Taiwan. International Journal of Environmental Research and Public Health 2020, 17. [Google Scholar] [CrossRef] [PubMed]
- Melnikow, J.; Padovani, A.; Miller, M. Frontline physician burnout during the COVID-19 pandemic: national survey findings. BMC Health Services Research 2022, 22, 365. [Google Scholar] [CrossRef] [PubMed]
- Kristensen, T.S.; Borritz, M.; Villadsen, E.; Christensen, K.B. The Copenhagen Burnout Inventory: A new tool for the assessment of burnout. Work Stress 2005, 19, 192–207. [Google Scholar] [CrossRef]
- Yeh, W.; Cheng, Y.; Chen, M.; Chiu, A.W.H. Development and validation of an occupational burnout inventory. Taiwan J Public Health 2008, 27, 349–364. [Google Scholar]
- Guo, Z.; Gill, T.M.; Allore, H.G. Modeling Repeated Time-to-event Health Conditions with Discontinuous Risk Intervals. An Example of a Longitudinal Study of Functional Disability among Older Persons 2008, 47, 107–116. [Google Scholar] [CrossRef]
- Singh, R.; Mukhopadhyay, K. Survival analysis in clinical trials: Basics and must know areas. Perspectives in Clinical Research 2011, 2. [Google Scholar] [CrossRef]
- George, B.; Seals, S.; Aban, I. Survival analysis and regression models. Journal of Nuclear Cardiology 2014, 21, 686–694. [Google Scholar] [CrossRef]
- Goel, M.K.; Khanna, P.; Kishore, J. Understanding survival analysis: Kaplan-Meier estimate. International journal of Ayurveda research 2010, 1, 274–278. [Google Scholar] [CrossRef]
- Cox, D.R. Regression Models and Life-Tables. Journal of the Royal Statistical Society: Series B (Methodological) 1972, 34, 187–202. [Google Scholar] [CrossRef]
- Bradburn, M.J.; Clark, T.G.; Love, S.B.; Altman, D.G. Survival Analysis Part II: Multivariate data analysis – an introduction to concepts and methods. British Journal of Cancer 2003, 89, 431–436. [Google Scholar] [CrossRef] [PubMed]
- Timeline of key decisions for COVID-19 epidemic prevention20230501. Available online: https://covid19.mohw.gov.tw/ch/cp-4822-74641-205.html (accessed on 1/8).
- Timeline of key decisions for COVID-19 epidemic prevention20210714. Available online: https://covid19.mohw.gov.tw/ch/cp-4822-62153-205.html (accessed on 1/8).
- Dyrbye, L.N.; West, C.P.; Herrin, J.; Dovidio, J.; Cunningham, B.; Yeazel, M.; et al. A Longitudinal Study Exploring Learning Environment Culture and Subsequent Risk of Burnout Among Resident Physicians Overall and by Gender. Mayo Clinic proceedings 2021, 96, 2168–2183. [Google Scholar] [CrossRef] [PubMed]
- Dyrbye, L.N.; Shanafelt, T.D.; Balch, C.M.; Satele, D.; Sloan, J.; Freischlag, J. Relationship Between Work-Home Conflicts and Burnout Among American Surgeons: A Comparison by Sex. Archives of Surgery 2011, 146, 211–217. [Google Scholar] [CrossRef] [PubMed]
- Robinson, G.E. Stresses on women physicians: Consequences and coping techniques. Depression and Anxiety 2003, 17, 180–189. [Google Scholar] [CrossRef]
- Yeluru, H.; Newton, H.L.; Kapoor, R. Physician Burnout Through the Female Lens: A Silent Crisis. Frontiers in Public Health 2022, 10. [Google Scholar] [CrossRef]
- Han, S.; Shanafelt, T.D.; Sinsky, C.A.; Awad, K.M.; Dyrbye, L.N.; Fiscus, L.C.; et al. Estimating the Attributable Cost of Physician Burnout in the United States. Annals of Internal Medicine 2019, 170, 784–790. [Google Scholar] [CrossRef]
- Owuor, R.A.; Mutungi, K.; Anyango, R.; Mwita, C.C. Prevalence of burnout among nurses in sub-Saharan Africa: a systematic review. JBI Evidence Synthesis 2020, 18. [Google Scholar] [CrossRef]
- Wang, C.; Bangdiwala, S.I.; Rangarajan, S.; Lear, S.A.; AlHabib, K.F.; Mohan, V.; et al. Association of estimated sleep duration and naps with mortality and cardiovascular events: a study of 116 632 people from 21 countries. European Heart Journal 2019, 40, 1620–1629. [Google Scholar] [CrossRef]
- Metlaine, A.; Sauvet, F.; Gomez-Merino, D.; Elbaz, M.; Delafosse, J.Y.; Leger, D.; et al. Association between insomnia symptoms, job strain and burnout syndrome: a cross-sectional survey of 1300 financial workers. BMJ Open 2017, 7, e012816. [Google Scholar] [CrossRef]
- Vasquez-Purí, C.; Plaza-Ccuno, J.N.R.; Soriano-Moreno, A.N.; Calizaya-Milla, Y.E.; Saintila, J. Burnout Fat Intake, and Body Mass Index in Health Professionals Working in a Public Hospital: A Cross-Sectional Study. INQUIRY: The Journal of Health Care Organization Provision, and Financing 2023, 60, 00469580231189601. [Google Scholar] [CrossRef]
- de Souza e Silva, D.; das Merces, M.C.; Lua, I.; Coelho, J.M.F.; Santana, A.I.C.; Reis, D.A.; et al. Association between burnout syndrome and obesity: A cross-sectional population-based study. Work 2023, 74, 991–1000. [Google Scholar] [CrossRef] [PubMed]
- Watanabe, M.; Yamauchi, K. The effect of quality of overtime work on nurses’ mental health and work engagement. Journal of Nursing Management 2018, 26, 679–688. [Google Scholar] [CrossRef] [PubMed]
- Eltorki, Y.; Abdallah, O.; Riaz, S.; Mahmoud, S.; Saad, M.; Ez-Eldeen, N.; et al. Burnout among pharmacy professionals in Qatar: A cross-sectional study. PLOS ONE 2022, 17, e0267438. [Google Scholar] [CrossRef] [PubMed]
- Jamebozorgi, M.H.; Karamoozian, A.; Bardsiri, T.I.; Sheikhbardsiri, H. Nurses Burnout Resilience, and Its Association With Socio-Demographic Factors During COVID-19 Pandemic. Frontiers in Psychiatry 2022, 12. [Google Scholar] [CrossRef]
- Jerg-Bretzke, L.; Limbrecht-Ecklundt, K.; Walter, S.; Spohrs, J.; Beschoner, P. Correlations of the “Work–Family Conflict” With Occupational Stress—A Cross-Sectional Study Among University Employees. Frontiers in Psychiatry 2020, 11. [Google Scholar] [CrossRef]
- Hamilton Skurak, H.; Malinen, S.; Näswall, K.; Kuntz, J.C. Employee wellbeing: The role of psychological detachment on the relationship between engagement and work–life conflict. Economic and Industrial Democracy 2018, 42, 116–141. [Google Scholar] [CrossRef]
- Dettori, J.R. Loss to follow-up. Evidence-based spine-care journal 2011, 2, 7–10. [Google Scholar] [CrossRef]


| 2021 | 2022 | 2023 | 2024 | ||
| N | 1615 | 1694 | 1608 | 1221 | P |
| α | 0.92 | 0.93 | 0.94 | 0.93 | |
| mean ± SD | 36.07 ± 18.05a | 37.14 ± 18.66ab | 38.19 ± 19.83b | 36.32 ± 18.67a | 0.008 |
| Q1 | 25.00 | 25.00 | 25.00 | 25.00 | |
| Q2 | 33.33 | 33.33 | 37.50 | 33.33 | |
| Q3 | 45.83+ | 50.00 | 50.00 | 50.00 | |
| HPBL | |||||
| N | 489 | 564 | 591 | 397 | |
| % | 30.28 | 33.29 | 36.75 | 32.51 |
| Mean± SD/individuals (%) | |||
| Surveyed variable | 2021 (N = 743) | 2022 (N = 289) | 2023 (N = 123) |
| lost to follow-up | 358 (48.18) | 85 (29.41) | - |
| Age (years) | 40.66 ± 10.31 | 37.07 ± 10.17 | 36.15 ± 10.57 |
| Female | 613 (82.50) | 248 (85.81) | 92 (74.80) |
| HPBL (event = 1) | 190 (25.57) | 112 (38.75) | 26 (21.14) |
| Duration (year) | 1.92 ± 0.87 | 1.38 ± 0.49 | 1.21 ± 0.41 |
| Master’s or PhD. | 144 (19.38) | 51 (17.65) | 26 (21.14) |
| Physicians | 59 (7.94) | 30 (10.38) | 14 (11.38) |
| Nurses | 235 (31.63) | 141 (48.79) | 37 (30.08) |
| Technique staff | 117 (15.75) | 21 (7.27) | 23 (18.70) |
| administration staff | 332 (44.68) | 97 (33.56) | 49 (39.83) |
| getting married+ | 20 (2.69) | 8 (2.77) | 5 (4.07) |
| LAFF+ | 149 (20.05) | 56 (19.38) | 31 (25.20) |
| overtime+ | 84 (11.31) | 48 (16.61) | 20 (16.26) |
| Sleep time- | 191 (25.71) | 55 (19.03) | 33 (26.83) |
| Shift work+ | 35 (4.71) | 23 (7.96) | 9 (7.32) |
| OW/OB+ | 22 (2.96) | 13 (4.50) | 4 (3.25) |
| Chronic diseases+ | 65 (8.75) | 36 (12.46) | 9 (7.32) |
| Cox regression for HPBL | ||||
| Univariate analysis (M0) | Multivariate analysis (M1) | |||
| Surveyed variable | HR | P | HR | P |
| Overtime (+) | 2.27 | <.001 | 2.13 | <.001 |
| Age | 0.98 | 0.001 | 0.99 | 0.125 |
| Female | 1.54 | 0.010 | 1.49 | 0.025 |
| getting married+ | 1.36 | 0.320 | - | |
| LAFF (+) | 0.90 | 0.442 | - | |
| Master’s or PhD | 1.02 | 0.903 | - | |
| Physicians | 1.85 | 0.002 | 1.79 | 0.004 |
| Nurses | 1.87 | <.001 | 1.57 | 0.001 |
| Technique staff | 1.31 | 0.132 | 1.28 | 0.169 |
| Sleep time (−) | 1.34 | 0.017 | 1.29 | 0.037 |
| Shift work (+) | 1.22 | 0.370 | - | |
| OW/OB (+) | 1.74 | 0.031 | 1.72 | 0.035 |
| Chronic diseases (+) | 1.00 | 0.983 | - | |
Disclaimer/Publisher’s Note: The statements, opinions and data contained in all publications are solely those of the individual author(s) and contributor(s) and not of MDPI and/or the editor(s). MDPI and/or the editor(s) disclaim responsibility for any injury to people or property resulting from any ideas, methods, instructions or products referred to in the content. |
© 2025 by the authors. Licensee MDPI, Basel, Switzerland. This article is an open access article distributed under the terms and conditions of the Creative Commons Attribution (CC BY) license (http://creativecommons.org/licenses/by/4.0/).