Submitted:
23 June 2025
Posted:
24 June 2025
You are already at the latest version
Abstract
Keywords:
1. Introduction
2. Materials and Methods
2.1. Study Design, Patients and Investigation
2.2. Clinical Evaluation and Data Collection
2.3. Statistical Analysis
2.4. Ethics
3. Results
3.1. Baseline Characteristics
- 65 patients were classified as having significant chronic coronary syndrome (S-CCS), defined as ≥70% stenosis in at least one coronary artery (or ≥50% for the left main coronary artery).
- 66 patients were classified as having non-significant chronic coronary syndrome (N-CCS), defined as <70% stenosis in coronary arteries (or <50% for the left main artery). The N-CCS group included individuals with ANOCA (Angina with Non-Obstructive Coronary Arteries), a condition of increasing clinical interest due to its distinct underlying mechanisms, such as microvascular dysfunction or coronary vasospasm, despite the absence of obstructive coronary lesions [12,13].
3.2. Potential Assessment of Coronary Lesion Severity Using AF-Related Risk Scores
- The CHA₂DS₂VA score was significantly elevated in the S-CCS group (mean: 4.09 ± 1.656) compared to the N-CCS group (mean: 3.20 ± 1.338, p = 0.002). This suggests that patients with more advanced coronary lesions tend to accumulate more systemic vascular risk factors, thereby increasing their AF and thromboembolic risk.
- The HAS-BLED score, used to estimate bleeding risk in anticoagulated AF patients, was also higher among S-CCS patients (1.98 ± 0.760) than in those with N-CCS (1.36 ± 0.835), with a statistically significant p-value (<0.001). This may reflect a greater prevalence of comorbidities and pharmacological interventions in the S-CCS group, which complicates antithrombotic management.
- Additionally, the CHA₂DS₂VA-HSF variant, incorporating hyperlipidemia, smoking status and family history of premature CAD, showed a significant elevation in the S-CCS group (mean: 6.00 ± 1.854 vs. 5.26 ± 1.712, p = 0.021).
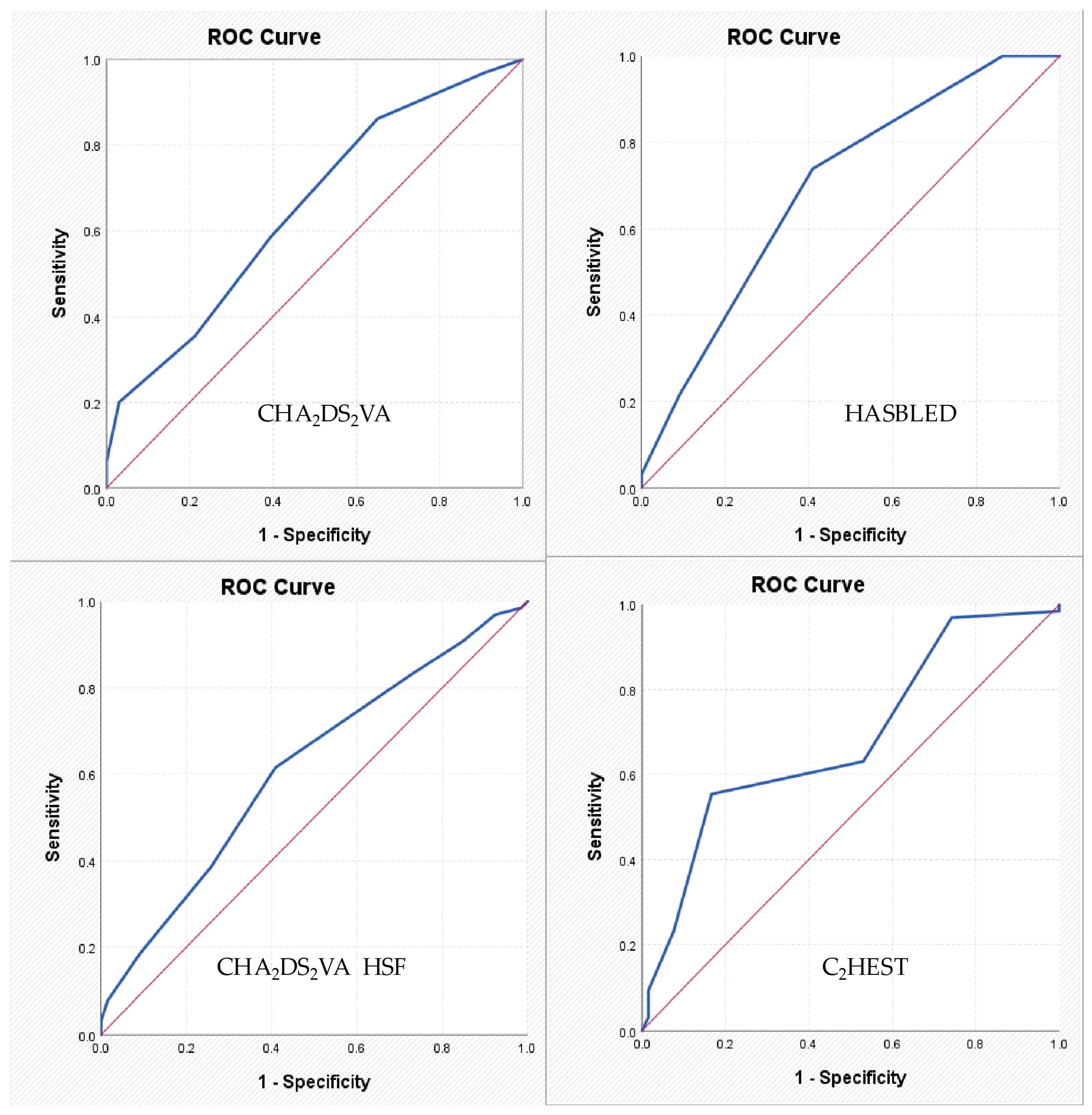
3.3. Diagnostic Performance of AF-Related Risk Scores in CCS
3.4. AF-Related Risk Scores: Correlations with Gensini Score
3.5. AF-Related Risk Scores: Correlations with SYNTAX Score in Patients with S-CCS
4. Discussion
4.1. Shared Risk and Pathophysiological Mechanisms
4.2. CHA₂DS₂VA and CHA₂DS₂VA-HSF: Beyond Stroke Risk
4.3. HAS-BLED Score: A Marker for CAD Risk?
4.4. C₂HEST Score: Predicting More than AF
4.5. Clinical Implications, Study Limitations and Future Directions
5. Conclusions
Author Contributions
Funding
Institutional Review Board Statement
Informed Consent Statement
Data Availability Statement
Conflicts of Interest
References
- Oancea, A.F.; Jigoranu, R.A.; Morariu, P.C.; Miftode, R.-S.; Trandabat, B.A.; Iov, D.E.; Cojocaru, E.; Costache, I.I.; Baroi, L.G.; Timofte, D.V.; et al. Atrial Fibrillation and Chronic Coronary Ischemia: A Challenging Vicious Circle. Life 2023, 13, 1370. [Google Scholar] [CrossRef]
- Oancea, A.-F.; Morariu, P.C.; Godun, M.; Dobreanu, S.D.; Jigoranu, A.; Mihnea, M.; Iosep, D.; Buburuz, A.M.; Miftode, R.S.; Floria, D.-E.; et al. Galectin-3 and Pentraxin-3 as Potential Biomarkers in Chronic Coronary Syndrome and Atrial Fibrillation: Insights from a 131-Patient Cohort. IJMS 2025, 26, 4909. [Google Scholar] [CrossRef]
- Floria, M.; Oancea, A.F.; Morariu, P.C.; Burlacu, A.; Iov, D.E.; Chiriac, C.P.; Baroi, G.L.; Stafie, C.S.; Cuciureanu, M.; Scripcariu, V.; et al. An Overview of the Pharmacokinetics and Pharmacodynamics of Landiolol (an Ultra-Short Acting Β1 Selective Antagonist) in Atrial Fibrillation. Pharmaceutics 2024, 16, 517. [Google Scholar] [CrossRef] [PubMed]
- Lip, G.Y.H.; Nieuwlaat, R.; Pisters, R.; Lane, D.A.; Crijns, H.J.G.M. Refining Clinical Risk Stratification for Predicting Stroke and Thromboembolism in Atrial Fibrillation Using a Novel Risk Factor-Based Approach. Chest 2010, 137, 263–272. [Google Scholar] [CrossRef]
- Wilson, P.W.F. Established Risk Factors and Coronary Artery Disease: The Framingham Study. American Journal of Hypertension 1994, 7, 7S–12S. [Google Scholar] [CrossRef] [PubMed]
- Batta, A.; Hatwal, J.; Batta, A.; Verma, S.; Sharma, Y.P. Atrial Fibrillation and Coronary Artery Disease: An Integrative Review Focusing on Therapeutic Implications of This Relationship. World J Cardiol 2023, 15, 229–243. [Google Scholar] [CrossRef] [PubMed]
- Barnes, G.D.; Lip, G.Y.H. Applying Clinical Risk Scores in Real-World Practice. Journal of the American College of Cardiology 2024, 84, 2154–2156. [Google Scholar] [CrossRef]
- Modi, R.; Patted, S.V.; Halkati, P.C.; Porwal, S.; Ambar, S.; Mr, P.; Metgudmath, V.; Sattur, A. CHA2DS2-VASc-HSF Score – New Predictor of Severity of Coronary Artery Disease in 2976 Patients. International Journal of Cardiology 2017, 228, 1002–1006. [Google Scholar] [CrossRef]
- Zheng, N.; Zhang, J. External Validation and Comparison of CHA2DS2–VASc-RAF and CHA2DS2–VASc-LAF Scores for Predicting Left Atrial Thrombus and Spontaneous Echo Contrast in Patients with Non-Valvular Atrial Fibrillation. J Interv Card Electrophysiol 2022, 65, 535–542. [Google Scholar] [CrossRef]
- Hu, W.-S.; Lin, C.-L. Prediction of New-Onset Atrial Fibrillation for General Population in Asia: A Comparison of C2HEST and HATCH Scores. International Journal of Cardiology 2020, 313, 60–63. [Google Scholar] [CrossRef]
- Knuuti, J.; Ballo, H.; Juarez-Orozco, L.E.; Saraste, A.; Kolh, P.; Rutjes, A.W.S.; Jüni, P.; Windecker, S.; Bax, J.J.; Wijns, W. The Performance of Non-Invasive Tests to Rule-in and Rule-out Significant Coronary Artery Stenosis in Patients with Stable Angina: A Meta-Analysis Focused on Post-Test Disease Probability. European Heart Journal 2018, 39, 3322–3330. [Google Scholar] [CrossRef] [PubMed]
- Oancea, A.-F.; Morariu, P.; Buburuz, A.; Miftode, I.-L.; Miftode, R.; Mitu, O.; Jigoranu, A.; Floria, D.-E.; Timpau, A.; Vata, A.; et al. Spectrum of Non-Obstructive Coronary Artery Disease and Its Relationship with Atrial Fibrillation. JCM 2024, 13, 4921. [Google Scholar] [CrossRef]
- Pepine, C.J. ANOCA/INOCA/MINOCA: Open Artery Ischemia. American Heart Journal Plus: Cardiology Research and Practice 2023, 26, 100260. [Google Scholar] [CrossRef] [PubMed]
- Gladding, P.A.; Legget, M.; Fatkin, D.; Larsen, P.; Doughty, R. Polygenic Risk Scores in Coronary Artery Disease and Atrial Fibrillation. Heart Lung Circ 2020, 29, 634–640. [Google Scholar] [CrossRef] [PubMed]
- Michniewicz, E.; Mlodawska, E.; Lopatowska, P.; Tomaszuk-Kazberuk, A.; Malyszko, J. Patients with Atrial Fibrillation and Coronary Artery Disease - Double Trouble. Adv Med Sci 2018, 63, 30–35. [Google Scholar] [CrossRef]
- Modi, R.; Patted, S.V.; Halkati, P.C.; Porwal, S.; Ambar, S.; Mr, P.; Metgudmath, V.; Sattur, A. CHA2DS2-VASc-HSF Score – New Predictor of Severity of Coronary Artery Disease in 2976 Patients. International Journal of Cardiology 2017, 228, 1002–1006. [Google Scholar] [CrossRef]
- Cetin, M.; Cakici, M.; Zencir, C.; Tasolar, H.; Baysal, E.; Balli, M.; Akturk, E. Prediction of Coronary Artery Disease Severity Using CHADS2 and CHA2DS2-VASc Scores and a Newly Defined CHA2DS2-VASc-HS Score. The American Journal of Cardiology 2014, 113, 950–956. [Google Scholar] [CrossRef]
- Tran, A.-V.; Nguyen, K.-D.; Nguyen, K.-D.; Huynh, A.-T.; Tran, B.-L.-T.; Ngo, T.-H. Predictive Performance of CHA2DS2-VASc-HS Score and Framingham Risk Scores for Coronary Disease Severity in Ischemic Heart Disease Patients with Invasive Coronary Angiography. European Review for Medical and Pharmacological Sciences 2023, 27, 7629–7636. [Google Scholar] [CrossRef]
- Konishi, H.; Miyauchi, K.; Tsuboi, S.; Ogita, M.; Naito, R.; Dohi, T.; Kasai, T.; Tamura, H.; Okazaki, S.; Isoda, K.; et al. Impact of the HAS-BLED Score on Long-Term Outcomes After Percutaneous Coronary Intervention. The American Journal of Cardiology 2015, 116, 527–531. [Google Scholar] [CrossRef]
- Castini, D.; Persampieri, S.; Sabatelli, L.; Erba, M.; Ferrante, G.; Valli, F.; Centola, M.; Carugo, S. Utility of the HAS-BLED Score for Risk Stratification of Patients with Acute Coronary Syndrome. Heart Vessels 2019, 34, 1621–1630. [Google Scholar] [CrossRef]
- Yildirim, E.; Uku, O.; Bilen, M.; Secen, O. Performance of HAS-BLED and CRUSADE Risk Scores for the Prediction of Haemorrhagic Events in Patients with Stable Coronary Artery Disease. CVJA 2019, 30, 198–202. [Google Scholar] [CrossRef] [PubMed]
- Li, Y.; Bisson, A.; Bodin, A.; Herbert, J.; Grammatico-Guillon, L.; Joung, B.; Wang, Y.; Lip, G.Y.H.; Fauchier, L. C2 HEST Score and Prediction of Incident Atrial Fibrillation in Poststroke Patients: A French Nationwide Study. JAHA 2019, 8, e012546. [Google Scholar] [CrossRef] [PubMed]
- Rola, P.; Doroszko, A.; Trocha, M.; Gajecki, D.; Gawryś, J.; Matys, T.; Giniewicz, K.; Kujawa, K.; Skarupski, M.; Adamik, B.; et al. The Usefulness of the C2HEST Risk Score in Predicting Clinical Outcomes among Hospitalized Subjects with COVID-19 and Coronary Artery Disease. Viruses 2022, 14, 1771. [Google Scholar] [CrossRef] [PubMed]

| Score | Included Variables | Scoring Details |
| CHA₂DS₂ | Congestive heart failure, Hypertension, Age ≥75, Diabetes, Stroke/TIA | 1 point each; Age ≥75 and Stroke/TIA = 2 points |
| CHA₂DS₂VA | CHA₂DS₂ + Vascular disease (prior MI, PAD, aortic plaque), Age 65–74 | Vascular disease = 1 point; Age 65–74 = 1 point |
| CHA₂DS₂VA-HSF | CHA₂DS₂VA + Hyperlipidemia, Smoking, Family history of premature CAD | 1 point each for H, S, F |
| CHA₂DS₂VA-RAF | CHA₂DS₂VA + Renal dysfunction (eGFR <60), AF type | Renal dysfunction = 1 point ; AF: Paroxysmal = 1 point, Persistent = 2 points, Permanent = 3 points |
| CHA₂DS₂VA-LAF | CHA₂DS₂VA + Left atrial enlargement, AF type | LA enlargement = 1 point; AF: Paroxysmal = 1 point, Persistent = 2 points, Permanent = 3 points |
| HAS-BLED | Hypertension, Age >65, Stroke, Bleeding, Labile INR, Abnormal liver or renal function, Antiplateles, alcohol use | 1 point for each component |
| C₂HEST | Coronary artery disease, COPD, Hypertension, Age ≥75, Systolic heart failure, Thyroid disease | CAD = 1 point; COPD = 1 point; HTN = 1 point; Age ≥75 = 2 points; HF = 2 points; Thyroid disease = 1 point |
| HATCH | Hypertension, Age ≥75, TIA/Stroke, COPD, Heart failure | HTN = 1 point; Age ≥75 = 1 point; TIA/Stroke = 2 points; COPD = 1 point; HF = 2 points |
| SYNTAX II PCI and CABG | Coronary anatomy + clinical variables (age, sex, LVEF, eGFR, COPD, PAD) | Calculated using official SYNTAX score online calculator (https://syntaxscore.org) |
| Gensini | Angiographic coronary stenosis and location | Stenosis severity (1–32 points) × lesion-specific weighting factor |
| Parameter | Overall (131 patients) | N-CCS (66 patients) | S-CCS (65 patients) | p-Value |
| Clinical parameters | ||||
| Age (years) | 66.46 ± 8.709 | 65.56 ± 9.806 | 67.37 ± 7.396 | 0.236 |
| Male gender (%) | 79 (60.3) | 38 (57.6) | 41 (63.1) | 0.520 |
| Smoking (%) | 76 (58.0) | 37 (56.1) | 39 (60.0) | 0.648 |
| Comorbidites | ||||
| Family history of ischemic coronary disease (%) | 77 (58.8) | 39 (59.1) | 38 (58.5) | 0.942 |
| T2DM (%) | 47 (35.9) | 19 (28.8) | 28 (43.1) | 0.088 |
| Arterial hypertension (%) | 123 (93.9) | 60 (90.9) | 63 (96.9) | 0.274 |
| Obesity (%) | 101 (77.1) | 54 (81.8) | 47 (72.3) | 0.195 |
| Dyslipidemia (%) | 121 (92.4) | 57 (86.4) | 64 (98.5) | 0.017* |
| PAD (%) | 13 (9.9) | 3 (4.5) | 10 (15.4) | 0.038* |
| CKD (%) | 20 (15.3) | 9 (13.6) | 11 (16.9) | 0.601 |
| COPD (%) | 16 (12.2) | 6 (9.1) | 10 (15.4) | 0.217 |
| Sinusal rhythm | 60 (45.8) | 25 (37.9) | 35 (53.8) | 0.026* |
| AF (%) | 71 (54.2) | 41 (62.1) | 30 (46.2) | 0.067 |
| Prior stroke/TIA (%) | 16 (12.2) | 10 (15.2) | 6 (9.2) | 0.301 |
| Echocardiography parameters | ||||
| LVDD (mm) | 51.21 ± 7.081 | 51.45 ± 7.506 | 50.97 ± 6.671 | 0.982 |
| IVS (mm) | 11.21 ± 1.663 | 11.32 ± 1.824 | 11.09 ± 1.487 | 0.562 |
| LVPW (mm) | 10.96 ± 1.459 | 10.94 ± 1.558 | 10.98 ± 1.364 | 0.776 |
| LVEDV (mL) | 136.54 ± 48.592 | 138.86 ± 55.791 | 134.18 ± 40.294 | 0.876 |
| LVESV (mL) | 72.92 ± 38.741 | 76.39 ± 47.535 | 69.39 ± 26.993 | 0.976 |
| LVEF (%) | 48.91%±11.4% | 48.27 ± 12.484 | 49.57 ± 10.352 | 0.833 |
| LA indexed volume (mL/m2) | 38.93 ± 14.292 | 41.16 ± 16.422 | 36.67 ± 11.434 | 0.098 |
| RA indexed volume (mL/m2) | 31.02 ± 11.715 | 32.39 ± 13.493 | 29.63 ± 9.486 | 0.349 |
| Biological parameters | ||||
| Glycaemia (mg/dL) | 118.34 ± 43.715 | 115.50 ± 36.457 | 121.23 ± 50.149 | 0.406 |
| LDLc (mg/dL) | 95.36 ± 37.081 | 97.95 ± 38.839 | 92.72 ± 35.311 | 0.485 |
| HDLc (mg/dL) | 43.49 ± 11.385 | 46.06 ± 11.395 | 40.88 ± 10.848 | 0.004* |
| Total cholesterol (mg/dL) | 158.16 ± 43.588 | 163.35 ± 43.563 | 152.89 ± 43.312 | 0.236 |
| Triglycerides (mg/dL) | 120.63 ± 60.578 | 115.67 ± 53.659 | 125.68 ± 66.922 | 0.443 |
| AST (UI/L) | 26.08 ± 15.414 | 27.64 ± 19.584 | 24.51 ± 9.384 | 0.750 |
| ALT (UI/L) | 25.98 ± 13.413 | 27.12 ± 16.310 | 24.82 ± 9.619 | 0.894 |
| GGT (UI/L) | 43.51 ± 43.789 | 48.92 ± 52.842 | 38.02 ± 31.593 | 0.099 |
| Uric acid (mg/dL) | 6.14 ± 1.577 | 6.37 ± 1.611 | 5.90 ± 1.518 | 0.089 |
| Creatinine (mg/dL) | 0.97 ± 0.284 | 0.93 ± 0.263 | 1.00 ± 0.301 | 0.101 |
| GFR mL/min/1.73m2 | 77.88 ± 21.050 | 80.62 ± 22.311 | 75.09 ± 19.465 | 0.075 |
| Treatment | ||||
| ACEI/ARA-II (%) | 118 (90.1) | 57 (86.4) | 61 (93.8) | 0.152 |
| BB (%) | 107 (81.7) | 54 (81.8) | 53 (81.5) | 0.967 |
| Nitrates (%) | 92 (70.2) | 27 (40.9) | 65 (100.0) | <0.001* |
| Trimetazidine (%) | 77 (58.8) | 12 (18.2) | 65 (100.0) | <0.001* |
| Lipid-lowering drugs (%) | 121 (92.4) | 57 (86.4) | 64 (98.5) | 0.017* |
| PPIs (%) | 69 (52.6) | 9 (13.6) | 60 (92.3) | <0.001* |
| DAPT (%) | 60 (45.8) | 0 (0) | 60 (92.3) | <0.001* |
| SAPT (%) | 28 (21.4) | 28 (42.4) | 0 (0) | <0.001* |
| Anticoagulation (%) | 71 (54.2) | 41 (62.1) | 30 (46.2) | 0.067 |
| Antiarrhythmics (%) | 20 (15.3) | 10 (15.2) | 10 (15.4) | 0.970 |
| Parameter | Group | Mean ± SD | Median (IQR: 25–75) | p value |
| CHA₂DS₂ | N-CCS | 2.35 ± 1.234 | 2.00 (1–7) | 0.991 |
| S-CCS | 2.42 ± 1.446 | 2.00 (0–7) | ||
| CHA₂DS₂VA | N-CCS | 3.20 ± 1.338 | 3.00 (1–6) | 0.002** |
| S-CCS | 4.09 ± 1.656 | 4.00 (1–8) | ||
| HAS-BLED | N-CCS | 1.36 ± 0.835 | 1.00 (0–3) | <0.001** |
| S-CCS | 1.98 ± 0.760 | 2.00 (1–4) | ||
| CHA₂DS₂VA-HSF | N-CCS | 5.26 ± 1.712 | 5.00 (1–9) | 0.021* |
| S-CCS | 6.00 ± 1.854 | 6.00 (1–11) | ||
| CHA₂DS₂VA-RAF | N-CCS | 4.91 ± 2.510 | 5.00 (0–11) | 0.562 |
| S-CCS | 5.22 ± 2.342 | 5.00 (1–11) | ||
| CHA₂DS₂VA-LAF | N-CCS | 5.35 ± 2.533 | 6.00 (0–11) | 0.645 |
| S-CCS | 5.20 ± 2.538 | 5.00 (1–11) | ||
| C₂HEST | N-CCS | 2.55 ± 1.279 | 3.00 (1–7) | <0.001** |
| S-CCS | 3.49 ± 1.501 | 4.00 (0–7) | ||
| HATCH | N-CCS | 2.55 ± 1.338 | 2.50 (1–6) | 0.821 |
| S-CCS | 2.49 ± 1.470 | 3.00 (0–7) | ||
| Gensini Score | N-CCS | 5.07 ± 4.96 | 3.00 (1-27) | <0.001** |
| S-CCS | 46.83 ± 39.3 | 35.00 (4-200) |
| Test Result Variable (s) | B | S.E. | Wald | df | Sig. | Exp(B) = OR | 95% C.I.for EXP(B) | ||
| Lower | Upper | ||||||||
| HAS-BLED | 0.950 | 0.279 | 11.569 | 1 | <0.001** | 2.585 | 1.495 | 4.468 | |
| C2HEST | 0.447 | 0.158 | 8.040 | 1 | 0.005** | 1.564 | 1.148 | 2.131 | |
| Constant | -1.069 | 0.772 | 1.918 | 1 | 0.166 | 0.343 | |||
| Test Result Variable (s) | Area under the Curve | Cut-off value | Sensibility | Specificity | |||
| Area | p-value | Asymptotic 95% Confidence Interval | |||||
| Lower Bound | Upper Bound | ||||||
| CHA₂DS₂VA | 0.651 | 0.003** | 0.558 | 0.744 | 2.50 | 0.862 | 0.348 |
| HAS-BLED | 0.694 | 0.000** | 0.605 | 0.784 | 1.50 | 0.738 | 0.591 |
| CHA₂DS₂VA-HSF | 0.615 | 0.024* | 0.519 | 0.711 | 5.50 | 0.615 | 0.591 |
| C2HEST | 0.682 | 0.000** | 0.591 | 0.774 | 3.50 | 0.554 | 0.833 |
| Confidence Intervals | ||||
| Parameters | Pearson Correlation r | p-value | 95% Confidence Interval | |
| Lower | Upper | |||
| CHA₂DS₂VA and Gensini | 0.273 | 0.0016* | 0.106 | 0.425 |
| HAS-BLED and Gensini | 0.368 | < 0.0001** | 0.210 | 0.507 |
| CHA₂DS₂VA-HSF and Gensini | 0.148 | 0.0911 | -0.024 | 0.312 |
| C2HEST and Gensini | 0.154 | 0.0786 | -0.018 | 0.317 |
| Parameter | Group | Mean ± SD | Median (IQR: 25–75) |
| SYNTAX PCI | S-CCS | 33.52 ± 10.78 | 30.70 (25.50–40.00) |
| SYNTAX CABG | S-CCS | 30.67 ± 10.48 | 28.80 (22.40–37.30) |
| Confidence Intervals | 95% Confidence Interval | ||||
| AF Score | SYNTAX Type | Pearson Correlation r | p-value | Lower | Upper |
| CHA₂DS₂VA | SYNTAX PCI | 0.535 | 0.0** | 0.335 | 0.689 |
| CHA₂DS₂VA | SYNTAX CABG | 0.39 | 0.0013** | 0.161 | 0.579 |
| CHA₂DS₂VA-HSF | SYNTAX PCI | 0.402 | 0.0009** | 0.175 | 0.588 |
| CHA₂DS₂VA-HSF | SYNTAX CABG | 0.419 | 0.0005** | 0.195 | 0.601 |
| HAS-BLED | SYNTAX PCI | 0.497 | 0.0** | 0.288 | 0.661 |
| HAS-BLED | SYNTAX CABG | 0.511 | 0.0** | 0.305 | 0.671 |
| C2HEST | SYNTAX PCI | 0.593 | 0.0** | 0.408 | 0.731 |
| C2HEST | SYNTAX CABG | 0.616 | 0.0** | 0.438 | 0.748 |
Disclaimer/Publisher’s Note: The statements, opinions and data contained in all publications are solely those of the individual author(s) and contributor(s) and not of MDPI and/or the editor(s). MDPI and/or the editor(s) disclaim responsibility for any injury to people or property resulting from any ideas, methods, instructions or products referred to in the content. |
© 2025 by the authors. Licensee MDPI, Basel, Switzerland. This article is an open access article distributed under the terms and conditions of the Creative Commons Attribution (CC BY) license (http://creativecommons.org/licenses/by/4.0/).