Submitted:
12 June 2025
Posted:
13 June 2025
You are already at the latest version
Abstract

Keywords:
1. Introduction
2. Methods
2.1. Site and Study Subjects
2.2. Fruit and Leaf Collection
2.3. Selection Tests
2.4. Analysis of the Physical and Chemical Properties of the Fruits and Leaves
2.5. Statistical Analysis
3. Results
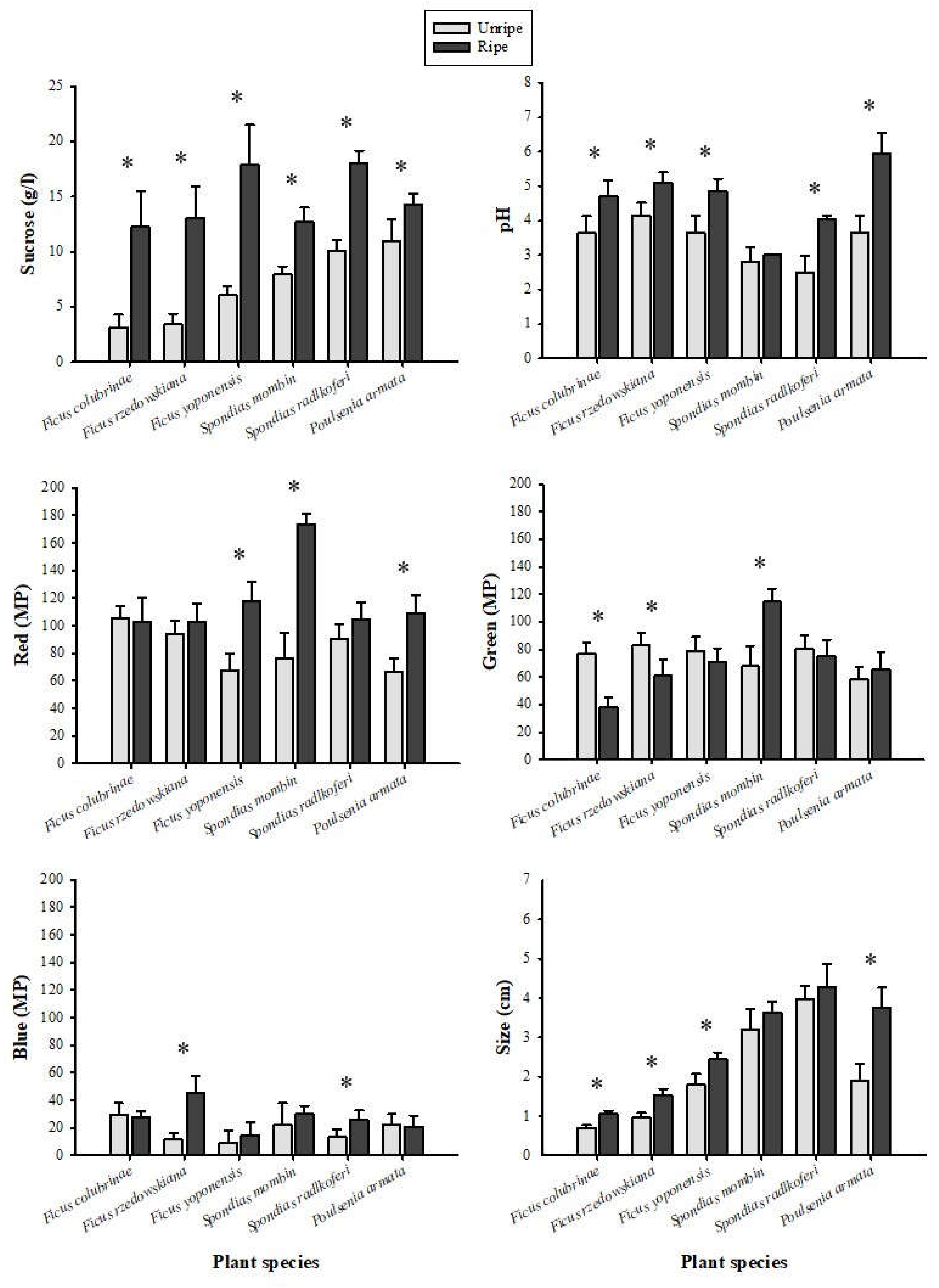
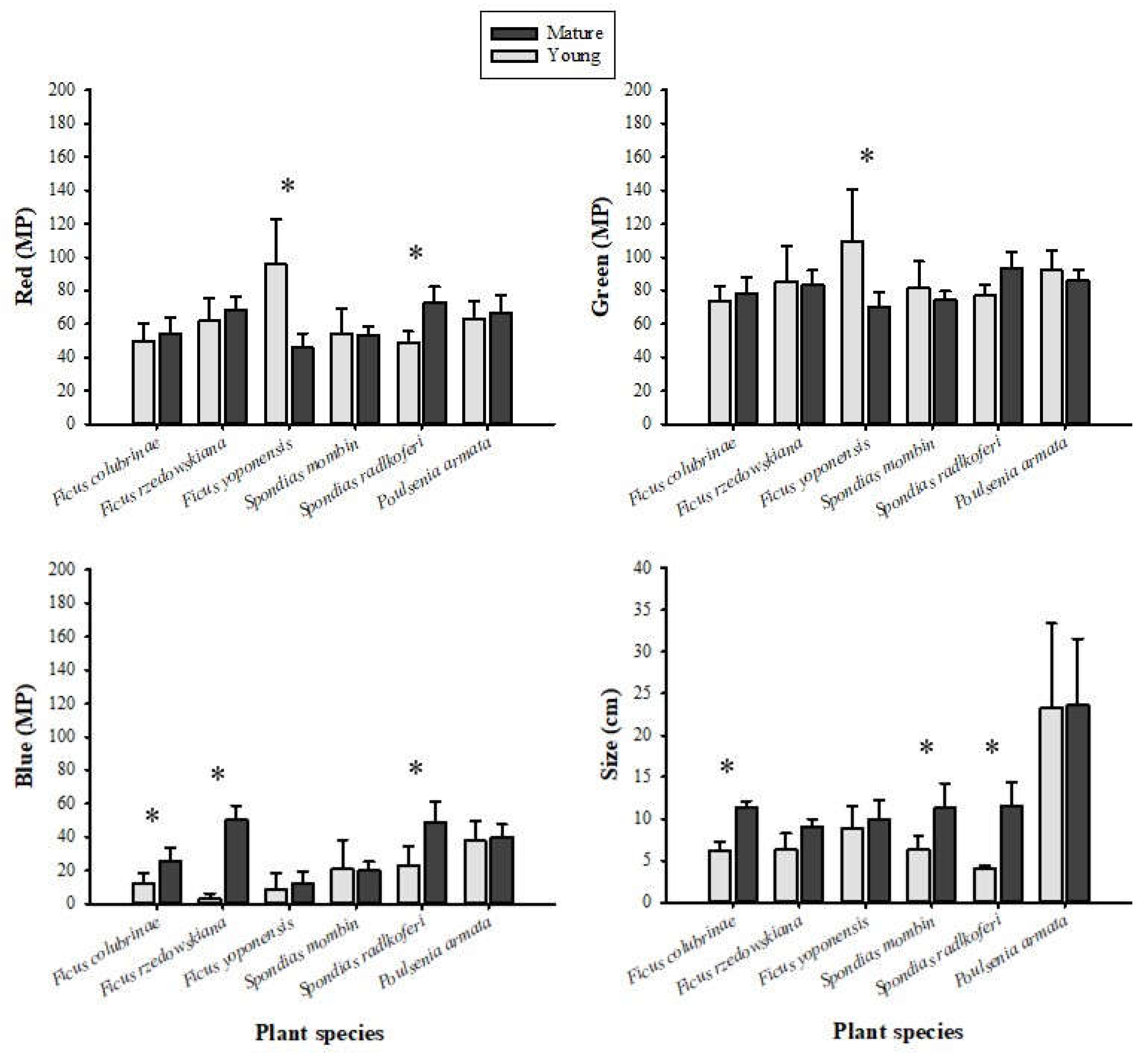
3.1. Physical and Chemical Characterization of Food Items
3.2. Food Selection
4. Discussion
5. Conclusion
Author Contributions
Institutional Review Board Statement
Data Availability Statement
Acknowledgments
Conflicts of Interest
References
- Akula, R., & Ravishankar, G. A. (2011). Influence of abiotic stress signals on secondary metabolites in plants. Plant Signaling & Behavior, 6(11), 1720–1731. [CrossRef]
- Bates, D., Mächler, M., Bolker, B. M., & Walker, S. C. (2015). Fitting linear mixed-effects models using lme4. Journal of Statistical Software, 67(1). [CrossRef]
- Ben-Shachar, M., Lüdecke, D., & Makowski, D. (2020). effect size: Estimation of Effect Size Indices and Standardized Parameters. Journal of Open Source Software, 5(56), 2815. [CrossRef]
- Caine, N. G., & Mundy, N. I. (2000). Demonstration of a foraging advantage for trichromatic marmosets (Callithrix geoffroyi) dependent on food colour. Proceedings of the Royal Society B: Biological Sciences, 267(1442), 439–444. [CrossRef]
- Chapman, C. (1987). Flexibility in Diets of Three Species of Costa Rican Primates. Folia Primatologica, 49(2), 90–105. [CrossRef]
- Chen, Z., Wang, F., Zhang, P., Ke, C., Zhu, Y., Cao, W., & Jiang, H. (2020). Skewed distribution of leaf color RGB model and application of skewed parameters in leaf color description model. Plant Methods, 16(1), 1–8. [CrossRef]
- Chetri, M., Odden, M., & Wegge, P. (2017). Snow leopard and himalayan Wolf: Food habits and prey selection in the central Himalayas, Nepal. PLoS ONE, 12(2), 1–16. [CrossRef]
- de Andrade Carneiro, L., Moreno, T. B., Fernandes, B. D., Souza, C. M. M., Bastos, T. S., Félix, A. P., & da Rocha, C. (2021). Effects of two dietary fiber levels on nutrient digestibility and intestinal fermentation products in captive brown howler monkeys (Alouatta guariba). American Journal of Primatology, 83(3), 1–10. [CrossRef]
- de Luna, A. G., Link, A., Montes, A., Alfonso, F., Mendieta, L., & Di Fiore, A. (2017). Increased folivory in brown spider monkeys Ateles hybridus living in a fragmented forest in Colombia. Endangered Species Research, 32(1), 123–134. [CrossRef]
- Del Bubba, M., Giordani, E., Pippucci, L., Cincinelli, A., Checchini, L., & Galvan, P. (2009), Changes in tannins, ascorbic acid and sugar content and astringent persimmons during on-tree growth and ripening and in response to different postharvest treatments. Journal of Food Composition and Analysis, 22(7-8), 668-677. [CrossRef]
- Di Fiore, Anthony, L. A. and L. D. (2008). Diets of wild spider monkeys. In Spider Monkeys: Behavior, Ecology, and Evolution of the Genus Ateles (pp. 81–137).
- Dominy, N. J., & Lucas, P. W. (2001). Ecological importance of trichromatic vision to primates. Nature, 410(6826), 363–366. [CrossRef]
- Dominy, N. J., Lucas, P. W., Osorio, D., & Yamashita, N. (2001). The sensory ecology of primate food perception. Evolutionary Anthropology: Issues, News, and Reviews, 10(5), 171–186. [CrossRef]
- Felton, A. M., Felton, A., Wood, J. T., Foley, W. J., Raubenheimer, D., Wallis, I. R., & Lindenmayer, D. B. (2009). Nutritional ecology of Ateles chamek in lowland Bolivia: How macronutrient balancing influences food choices. International Journal of Primatology, 30(5), 675–696. [CrossRef]
- Felton, A. M., Felton, A., Wood, J. T., & Lindenmayer, D. B. (2008). Diet and feeding ecology of Ateles chamek in a Bolivian semihumid forest: The importance of Ficus as a staple food resource. International Journal of Primatology, 29(2), 379–403. [CrossRef]
- Fleagle, J. G., Baden, A. L., & Gilbert, C. C. (2024). Primate Lives In: Primate adaptation and evolution. Academic press (pp. 39-40).
- Flörchinger, M., Braun, J., Böhning-Gaese, K., & Schaefer, H. M. (2010). Fruit size, crop mass, and plant height explain differential fruit choice of primates and birds. Oecologia, 164(1), 151–161. [CrossRef]
- Glander, K. E. (1978). Drinking from Arboreal Water Sources by Mantled Howling Monkeys (Alouatta palliata Gray). Folia Primatologica, 29(3), 206–217. [CrossRef]
- González-Zamora, A., Arroyo-Rodríguez, V., Chaves, Ó. M., Sánchez-López, S., Stoner, K. E., & Riba-Hernández, P. (2009). Diet of spider monkeys (Ateles geoffroyi) in mesoamerica: Current knowledge and future directions. American Journal of Primatology, 71(1), 8–20. [CrossRef]
- Hothorn, T., Bretz, F., & Westfall, P. (2008). Simultaneous inference in general parametric models. Biometrical Journal, 50(3), 346–363. [CrossRef]
- Huskisson, S. M., Egelkamp, C. L., Jacobson, S. L., Ross, S. R., & Hopper, L. M. (2021). Primates’ Food Preferences Predict Their Food Choices Even Under Uncertain Conditions. Animal Behavior and Cognition, 8(1), 69–96. [CrossRef]
- Kar-Gupta, K., & Kumar, A. (1994). Leaf chemistry and food selection by common langurs (Presbytis entellus) in Rajaji National Park, Uttar Pradesh, India. International Journal of Primatology, 15(1), 75–93. [CrossRef]
- Kassambara, A. (2022). Ggpubr: ‘Ggplot2’ Based Publication Ready Plots. https://cran.r-project.org/web/packages/ggpubr/index.html.
- Kitamura, S., Yumoto, T., Poonswad, P., Chuailua, P., & Plongmai, K. (2004). Characteristics of hornbill-dispersed fruits in a tropical seasonal forest in Thailand. Bird Conservation International, 14(SPEC. ISS.), 81–88. [CrossRef]
- Kohl, K. D., Coogan, S. C. P., & Raubenheimer, D. (2015). Do wild carnivores forage for prey or for nutrients?: Evidence for nutrient-specific foraging in vertebrate predators. BioEssays, 37(6), 701–709. [CrossRef]
- Lakshminarayanan, V. R., Chen, M. K., & Santos, L. R. (2011). The evolution of decision-making under risk: Framing effects in monkey risk preferences. Journal of Experimental Social Psychology, 47(3), 689–693. [CrossRef]
- Lambert, J. E., & Rothman, J. M. (2015). Fallback Foods, Optimal Diets, and Nutritional Targets: Primate Responses to Varying Food Availability and Quality. Annual Review of Anthropology, 44(1), 493–512. [CrossRef]
- Laska, M. (2001). A comparison of food preferences and nutrient composition in captive squirrel monkeys, Saimiri sciureus, and Pigtail macaques, Macaca nemestrina. Physiology & Behavior, 73(1-2), 111-120. [CrossRef]
- Laska, M., Rivas Bautista, R. M., & Hernandez Salazar, L. T. (2009). Gustatory responsiveness to six bitter tastants in three species of nonhuman primates. Journal of Chemical Ecology, 35(5), 560–571. [CrossRef]
- Laska, M., Salazar, L. T. H., Rodriguez Luna, E., & Hudson, R. (2000a). Gustatory responsiveness to food-associated acids in the spider monkey (Ateles geoffroyi). Primates, 41(2), 213–221. [CrossRef]
- Laska, M., Salazar, L. T. H., & Luna, E. R. (2000b). Food preferences and nutrient composition in captive spider monkeys, Ateles geoffroyi. International Journal of Primatology, 21(4), 671–683. [CrossRef]
- Laska, M., Sanchez, E. C., Rivera, J. A. R., & Luna, E. R. (1996). Gustatory thresholds for food-associated sugars in the spider monkey (Ateles geoffroyi). American Journal of Primatology, 39(3), 189–193. [CrossRef]
- Laska, M., Sanchez, E. C., & Luna, E. R. (1998). Relative taste preferences for food-associated sugars in the spider monkey (Ateles geoffroyi). Primates, 39(1), 91–96. [CrossRef]
- Leighton, M. (1993). Modeling dietary selectivity by Bornean orangutans: Evidence for integration of multiple criteria in fruit selection. International Journal of Primatology, 14(2), 257–313. [CrossRef]
- Lomáscolo, S. B., & Schaefer, H. M. (2010). Signal convergence in fruits: A result of selection by frugivores? Journal of Evolutionary Biology, 23(3), 614–624. [CrossRef]
- Lucas, P. W., Darvell, B. W., Lee, P. K. D., Yuen, T. D. B., & Choong, M. F. (1998). Colour Cues for Leaf Food Selection by Long-Tailed Macaques (Macaca fascicularis) with a New Suggestion for the Evolution of Trichromatic Colour Vision. Folia Primatologica, 69(3), 139–152. [CrossRef]
- Martins, V. A., Magnusson, N., & Laska, M. (2023). Go for lipids! Food preferences and nutrient composition in zoo-housed white-faced sakis, Pithecia pithecia. International Journal of Primatology, 44(2), 341-356. [CrossRef]
- McConkey, K. R., Aldy, F., Ario, A., & Chivers, D. J. (2002). Selection of fruit by gibbons (Hylobates muelleri x agilis) in the rain forests of Central Borneo. International Journal of Primatology, 23(1), 123–145. [CrossRef]
- Melin, A. D., Hiramatsu, C., Parr, N. A., Matsushita, Y., Kawamura, S., & Fedigan, L. M. (2014). The Behavioral Ecology of Color Vision: Considering Fruit Conspicuity, Detection Distance and Dietary Importance. International Journal of Primatology, 35(1), 258–287. [CrossRef]
- Melin, A. D., Veilleux, C. C., Janiak, M. C., Hiramatsu, C., Sánchez-Solano, K. G., Lundeen, I. K., Webb, S. E., Williamson, R. E., Mah, M. A., Murillo-Chacon, E., Schaffner, C. M., Hernández-Salazar, L., Aureli, F., & Kawamura, S. (2022). Anatomy and dietary specialization influence sensory behaviour among sympatric primates. Proceedings of the Royal Society B: Biological Sciences, 289(1981). [CrossRef]
- Melin, A. D., Fedigan, L. M., Hiramatsu, C., Hiwatashi, T., Parr, N., & Kawamura, S. (2009). Fig foraging by dichromatic and trichromatic cebus capucinus in a tropical dry forest. International Journal of Primatology, 30(6), 753–775. [CrossRef]
- Melin, A. D., Khetpal, V., Matsushita, Y., Zhou, K., Campos, F. A., Welker, B., & Kawamura, S. (2017). Howler monkey foraging ecology suggests convergent evolution of routine trichromacy as an adaptation for folivory. Ecology and Evolution, 7(5), 1421–1434. [CrossRef]
- Pablo-Rodríguez, M., Hernández-Salazar, L. T., Aureli, F., & Schaffner, C. M. (2015). The role of sucrose and sensory systems in fruit selection and consumption of Ateles geoffroyi in Yucatan, Mexico. Journal of Tropical Ecology, 31(3), 213–219. [CrossRef]
- Provenza, F. D., Villalba, J. J., Haskell, J., MacAdam, J. W., Griggs, T. C., & Wiedmeier, R. D. (2007). The value to herbivores of plant physical and chemical diversity in time and space. Crop Science, 47(1), 382–398. [CrossRef]
- Ramírez-Torres, C. E., Espinosa-Gómez, F. C., Morales-Mávil, J. E., Eduardo Reynoso-Cruz, J., Laska, M., & Hernández-Salazar, L. T. (2022). Influence of tannic acid concentration on the physicochemical characteristics of saliva of spider monkeys (Ateles geoffroyi). PeerJ, 10, 1–21. [CrossRef]
- Regan, B. C., Julliot, C., Simmen, B., Viénot, F., Charles–Dominique, P., & Mollon, J. D. (2001). Fruits, foliage and the evolution of primate colour vision. Philosophical Transactions of the Royal Society of London. Series B: Biological Sciences, 356(1407), 229-283. [CrossRef]
- Riba-Hernández, P., Stoner, K. E., & Lucas, P. W. (2003). The sugar composition of fruits in the diet of spider monkeys (Ateles geoffroyi) in tropical humid forest in Costa Rica. Journal of Tropical Ecology, 19(6), 709–716. [CrossRef]
- Riba-Hernández, P., Stoner, K. E., & Lucas, P. W. (2005). Sugar concentration of fruits and their detection via color in the central american spider monkey (Ateles geoffroyi). American Journal of Primatology, 67(4), 411–423. [CrossRef]
- Rozin, P. (1976). The Selection of Foods by Rats, Humans, and Other Animals. Advances in the Study of Behavior, 6(C), 21–76. [CrossRef]
- Sánchez-Solano, K. G., Morales-Mávil, J., Laska, M., Melin, A., & Hernández-Salazar, L. T. (2020). Visual detection and fruit selection by the mantled howler monkey (Alouatta palliata). American Journal of Primatology, 82(10). [CrossRef]
- Sánchez-Solano, K. G., Reynoso-Cruz, J. E., Guevara, R., Morales-Mávil, J. E., Laska, M., & Hernández-Salazar, L. T. (2022). Non-visual senses in fruit selection by the mantled howler monkey (Alouatta palliata). Primates, 63(3), 293–303. [CrossRef]
- Schmidt, D. A., Kerley, M. S., Dempsey, J. L., Porton, I. J., Porter, J. H., Griffin, M. E., Ellersieck, M. R., & Sadler, W. C. (2005). Fiber digestibility by the orangutan (Pongo abelii): In vitro and in vivo. Journal of Zoo and Wildlife Medicine, 36(4), 571–580. [CrossRef]
- Sclafani, A. (2001). Psychobiology of food preferences. International Journal of Obesity, 25, S13–S16. [CrossRef]
- Silveira, P., Valler, Í. W., Hirano, Z. M. B., Dada, A. N., Laska, M., & Hernández-Salazar, L. T. (2024). Food preferences and nutrient composition in captive Southern brown howler monkeys, Alouatta guariba clamitans. Primates, 65(2), 115-124. [CrossRef]
- Stevenson, P. R. (2004). Fruit Choice by Woolly Monkeys in Tinigua National Park, Colombia. International Journal of Primatology, 25(2), 367–381. [CrossRef]
- Stroebele, N., & De Castro, J. M. (2004). Effect of ambience on food intake and food choice. Nutrition, 20(9), 821–838. [CrossRef]
- Suarez, S. A. (2006). Diet and travel costs for spider monkeys in a nonseasonal, hyperdiverse environment. Int J Primatol 27:411–436. [CrossRef]
- Ungar, P. S. (1995). Fruit preferences of four sympatric primate species at Ketambe, northern Sumatra, Indonesia. International Journal of Primatology, 16(2), 221–245. [CrossRef]
- Valenta, K., Burke, R. J., Styler, S. A., Jackson, D. A., Melin, A. D., & Lehman, S. M. (2013). Colour and odour drive fruit selection and seed dispersal by mouse lemurs. Scientific Reports, 3. [CrossRef]
- Valenta, K., Kalbitzer, U., Razafimandimby, D., Omeja, P., Ayasse, M., Chapman, C. A., & Nevo, O. (2018a). The evolution of fruit colour: phylogeny, abiotic factors and the role of mutualists. Scientific Reports, 8(1), 1–8. [CrossRef]
- Valenta, K., Nevo, O., & Chapman, C. A. (2018b). Primate Fruit Color: Useful Concept or Alluring Myth? International Journal of Primatology, 39(3), 321–337. [CrossRef]
- Veilleux, C. C., Dominy, N. J., & Melin, A. D. (2022). The sensory ecology of primate food perception, revisited. Evolutionary Anthropology: Issues, News, and Reviews, 31(6), 281-301. [CrossRef]
- Villalba, J. J., Provenza, F. D., & Bryant, J. P. (2002). Consequences of the interaction between nutrients and plant secondary metabolites on herbivore selectivity: Benefits or detriments for plants? Oikos, 97(2), 282–292. [CrossRef]
- Wallace, R. B. (2005). Seasonal variations in diet and foraging behavior of Ateles chamek in a southern Amazonian tropical forest. Int J Primatol 26:1053–1075. [CrossRef]
- War, A. R., Paulraj, M. G., Ahmad, T., Buhroo, A. A., Hussain, B., Ignacimuthu, S., & Sharma, H. C. (2012). Psb-7-1306. Plant Signaling and Behavior, 7(10), 1306–1320.
- Windley, H. R., Starrs, D., Stalenberg, E., Rothman, J. M., Ganzhorn, J. U., & Foley, W. J. (2022). Plant secondary metabolites and primate food choices: A meta-analysis and future directions. American Journal of Primatology, 84(8), 1–18. [CrossRef]
- Yadav, S. P., Ibaraki, Y., & Gupta, S. D. (2010). Estimation of the chlorophyll content of micropropagated potato plants using RGB based image analysis. Plant Cell, Tissue and Organ Culture, 100(2), 183–188. [CrossRef]
- Yang, L., Wen, K. S., Ruan, X., Zhao, Y. X., Wei, F., & Wang, Q. (2018). Response of plant secondary metabolites to environmental factors. Molecules, 23(4), 1–26. [CrossRef]
- Zhang D (2023). rsq: R-Squared and Related Measures_. R package version 2.6. https://CRAN.R-project.org/package=rsq.





| Fruit physical-chemical characteristics | Variable | F | p | Partial η2 |
|---|---|---|---|---|
| Sucrose | Species | (5, 237) = 68.18 | <0.001 | 0.20 |
| Ripe state | (1, 237) = 1002.34 | <0.001 | 0.58 | |
| Interaction | (5, 237) = 30.54 | <0.001 | 0.09 | |
| pH | Species | (5, 237) = 151.81 | <0.001 | 0.46 |
| Ripe state | (1, 237) = 206.20 | <0.001 | 0.13 | |
| Interaction | (5, 237) = 86.38 | <0.001 | 0.26 | |
| Red | Species | (5, 237) = 46.68 | <0.001 | 0.16 |
| Ripe state | (1, 237) = 563.43 | <0.001 | 0.37 | |
| Interaction | (5, 237) = 94.18 | <0.001 | 0.31 | |
| Green | Species | (5, 237) = 59.275 | <0.001 | 0.30 |
| Ripe state | (1, 237) = .087 | 0.768 | <0.001 | |
| Interaction | (5, 237) = 92.553 | <0.001 | 0.46 | |
| Blue | Species | (5, 237) = 20.19 | <0.001 | 0.20 |
| Ripe state | (1, 237) = 66.28 | <0.001 | 0.13 | |
| Interaction | (5, 237) = 22.23 | <0.001 | 0.22 | |
| Size | Species | (5, 237) = 544.69 | <0.001 | 0.81 |
| Ripe state | (1, 237) = 255.20 | <0.001 | 0.08 | |
| Interaction | (5, 237) = 30.08 | <0.001 | 0.04 |
| Leaves physical-chemical characteristics | Variables | F | p | Partial η2 |
|---|---|---|---|---|
| Red | Species | (5, 228) = 13.420 | <0.001 | 0.13 |
| Mature state | (1, 228) = 1.667 | 0.198 | 0.003 | |
| Interaction | (5, 228) = 40.194 | <0.001 | 0.40 | |
| Green | Species | (5, 228) = 6.638 | <0.001 | 0.09 |
| Mature state | (1, 228) = 10.147 | 0.001 | 0.03 | |
| Interaction | (5, 228) = 17.911 | <0.001 | 0.25 | |
| Blue | Species | (5, 228) = 49.38 | <0.001 | 0.31 |
| Mature state | (1, 228) = 148.32 | <0.001 | 0.18 | |
| Interaction | (5, 228) = 36.26 | <0.001 | 0.23 | |
| Size | Species | (5, 228) = 88.989 | <0.001 | 0.60 |
| Mature state | (1, 228) = 46.545 | <0.001 | 0.06 | |
| Interaction | (5, 228) = 4.295 | <0.001 | 0.03 |
| Model | AIC | r2 fixed effects | r2 random | r2 full model |
|---|---|---|---|---|
| 1. Individual | 2495.6 | - | 0.029 | 0.029 |
| 2A. State + (1 Individual) | 1699.9 | 0.566 | 0.045 | 0.611 |
| 2B. Species + (1 Individual) | 2388.4 | 0.033 | 0.091 | 0.12 |
| 3. State + Species + (1 Individual) | 1592.7 | 0.65 | 0.042 | 0.692 |
| 4. State/Species + (1 Individual) | 1484.9 | 0.694 | 0.051 | 0.746 |
| Model | AIC | r2 fixed effects | r2 random | r2 full model |
|---|---|---|---|---|
| 1. Individual | 1881.8 | - | 0.073 | 0.073 |
| 2A. State + (1 Individual) | 1587.5 | 0.214 | 0.099 | 0.314 |
| 2B. Species + (1 Individual) | 1706.5 | 0.132 | 0.074 | 0.207 |
| 3. State + Species + (1 Individual) | 1412.2 | 0.418 | 0.101 | 0.519 |
| 4. State/Species + (1 Individual) | 1355.4 | 0.438 | 0.107 | 0.546 |
Disclaimer/Publisher’s Note: The statements, opinions and data contained in all publications are solely those of the individual author(s) and contributor(s) and not of MDPI and/or the editor(s). MDPI and/or the editor(s) disclaim responsibility for any injury to people or property resulting from any ideas, methods, instructions or products referred to in the content. |
© 2025 by the authors. Licensee MDPI, Basel, Switzerland. This article is an open access article distributed under the terms and conditions of the Creative Commons Attribution (CC BY) license (http://creativecommons.org/licenses/by/4.0/).