Submitted:
30 May 2025
Posted:
01 June 2025
You are already at the latest version
Abstract
Keywords:
1. Introduction
2. Geometrical Configuration

3. Mathematical Model

4. Numerical Procedure


5. Results and Discussions
5.1. Streamline Analysis
5.1.1. Streamline Plots for Ra = 10³, Ha = 0, Δ=0, 5, 10

5.1.2. Streamline Plots for Ra = 10³, Ha = 10, Δ=0, 5, 10

5.1.3. Streamline Plots for Ra = 10³, Ha = 20, Δ=0, 5, 10

5.1.4. Streamline Plots for Ra = 104, Ha = 0, Δ=0, 5, 10

5.1.5. Streamline Plots for Ra = 104, Ha = 10, Δ=0, 5, 10

5.1.6. Streamline Plots for Ra = 104, Ha = 20, Δ=0, 5, 10

5.1.7. Streamline Plots for Ra = 105, Ha = 0, Δ=0, 5, 10

5.1.8. Streamline Plots for Ra = 105, Ha = 10, Δ=0, 5, 10

5.1.9. Streamline Plots for Ra = 105, Ha = 20, Δ=0, 5, 10

5.2. Isotherm Analysis
5.2.1. Isotherm Plots for Ra = 10³, Ha = 0, Δ=0, 5, 10

5.2.2. Isotherm Plots for Ra = 10³, Ha = 10, Δ=0, 5, 10

5.2.3. Isotherm Plots for Ra = 10³, Ha = 20, Δ=0, 5, 10

5.2.4. Isotherm Plots for Ra = 104, Ha = 0, Δ=0, 5, 10

5.2.5. Isotherm Plots for Ra = 104, Ha = 10, Δ=0, 5, 10

5.2.6. Isotherm Plots for Ra = 104, Ha = 20, Δ=0, 5, 10

5.2.7. Isotherm Plots for Ra = 105, Ha = 0, Δ=0, 5, 10

5.2.8. Isotherm Plots for Ra = 105, Ha = 10, Δ=0, 5, 10

5.2.9. Isotherm Plots for Ra = 105, Ha = 20, Δ=0, 5, 10

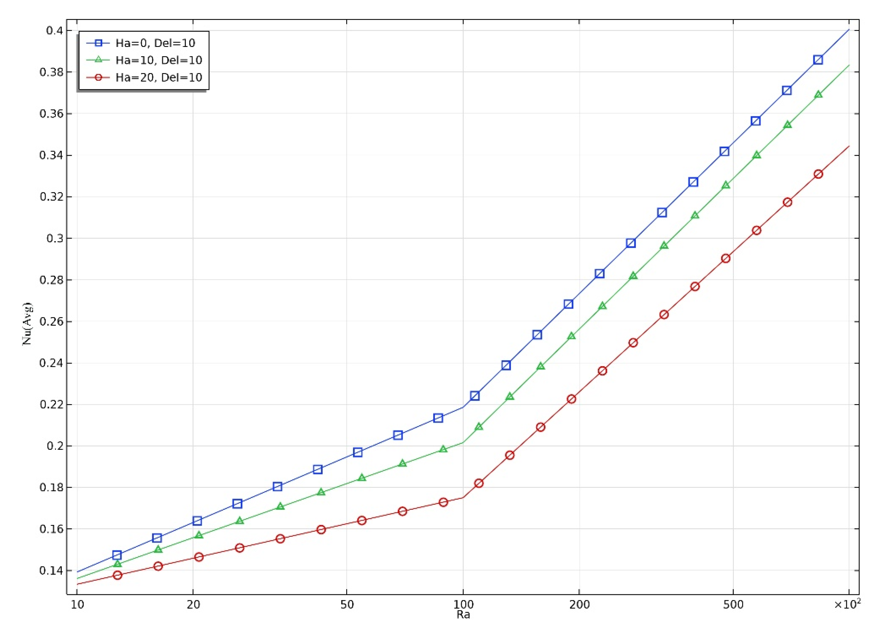
5.3. Average Nu vs Ra Graph Analysis



6. Conclusions
Declaration of competing interest
Data availability
References
- Hasan Nahid, Deb Niloy, Saha Sumon. MHD convection with Joule heating and internal heat generation in a two-layer discretely heated chamber partly filled with porous medium. Int J Energy Res. 2024; 2024: 1720993. [CrossRef]
- Hasan Nahid, Saha Sumon. MHD conjugate mixed convection along with internal heat generation and Joule heating in a closed/open cavity with rotating solid cylinder. Int J Numer Methods Heat Fluid Flow. 2024; 34(9): 3438–3461. [CrossRef]
- Mirzaei Amirmohammad, Jalili Bahram, Jalili Payam, Ganji Davood D. Free convection in a square wavy porous cavity with partly magnetic field: a numerical investigation. Sci Rep. 2024; 14: 14152. [CrossRef]
- Jumadi Azlina, Arbin Norazam, Saleh Habibis, Kechil Seripah Awang. A review of entropy generation in rectangular cavities. J Adv Res Fluid Mech Therm Sci. 2024; 115(2): 178–221. [CrossRef]
- Zemani Farah, Sabeur Amina, Ladjedel Omar, Chelih Amira. Natural convective heat transfer in a square cavity with a curved hot wall partially heated from below. Phys Fluids. 2025; 37(1): 019101. [CrossRef]
- Mustafa Ahmed W. Constructal design of parabolic enclosure under natural convection and thermal radiation. Int J Therm Sci. 2025; 210: 109616. [CrossRef]
- Rahaman Md Mahafujur, Bhowmick Sidhartha, Ghosh Bishnu Pada, Xu Feng, Mondal Rabindra Nath, Saha Suvash C. Transient natural convection flows and heat transfer in a thermally stratified air-filled trapezoidal cavity. Therm Sci Eng Prog. 2024; 47: 102377. [CrossRef]
- Olayemi Olalekan Adebayo, Mustapha Faith Oluwasegun, Ibitoye Segun Emmanuel, Obalalu Adebowale Martins, Al-Farhany Khaled, Khan Umair. Natural convective heat transfer in trapezoidal enclosure containing a concentric elliptical cylinder. J Therm Anal Calorim. 2024; 149: 15353–15369. [CrossRef]
- Mohebbi Rasul, Ma Yuan, Soleymani Peyman. Investigating the impact of sinusoidal walls on fluid flow and heat transfer performance of C-shaped cavity. Iran J Sci Technol Trans Mech Eng. 2024. [CrossRef]
- Yaseen Duna T, Majeed Amani J, Ahmed Sahib S, Ismael Muneer A. Impact of a wavy wall triangular porous cylinder on diffusive-mixed convection in a lid-driven triangular cavity. Int J Thermofluids. 2025; 25: 101007. [CrossRef]
- Alhasan Muhammed, Hamzah Hudhaifa, Tumse Sergen, Daabo Ahmed M, Sahin Besir. Heat transfer and entropy generation in oscillating lid-driven heat sinks with variable fin configurations. Int Commun Heat Mass Transf. 2024; 159: 108264. [CrossRef]
- Daiz Abdelhak, Hidki Rachid, Fares Redouane, Charqui Zouhair. Finite element method (FEM) analysis of heat transfer by natural convection in a circular cavity containing a corrugated hollow cylinder. Int J Numer Methods Heat Fluid Flow. 2024; 34(11): 4159–4178. [CrossRef]
- Sultan Hakim S, Ali Mohammed Hasan, Shafi Jana, Fteiti Mehdi, Baro Manuel, Almutairi Khalid, Islam Mohammad S, Harb Kamal, Alharbi Fawaz S, Ghalambaz Mohammad. Design improvement of latent heat thermal energy storage in wavy channel enclosures using neural networks. J Energy Storage. 2024; 79: 110061. [CrossRef]
- Khan Noor Zeb, Bilal Sardar, Riaz Arshad, Taseer Muhammad. Coupled effects of variable permeability and adiabatic undulating walls on natural convective flow in a trapezoidal cavity: Finite element analysis. Results Phys. 2024; 56: 107267. [CrossRef]
- Khan Zafar Hayat, Yang Zhiquan, Khan Waqar A, Sheremet Mikhail A, Wu Weifen. Computational investigation of magnetohydrodynamic convective flow in a trapezoidal cavity with multiple obstacles via finite element analysis. Therm Sci Eng Prog. 2024; 50: 102570. [CrossRef]
- Ahmed Prince Hasib, Hasan Rozin Enamul, Hasan Sagor Md Jahid, Saha Sumon. Evaluation of overall thermal performance for conjugate natural convection in a trapezoidal cavity with different surface corrugations. Int Commun Heat Mass Transf. 2022; 130: 105772. [CrossRef]
- Alam Md Shahidul, Alim M A, Mollah Md S H. Mixed magneto convection in a lid driven square enclosure with a sinusoidal vertical wall and Joule heating. Procedia Eng. 2017; 194: 463–470. [CrossRef]
- Pensiri Sompong, Witayangkurn Supot. Natural convection in a trapezoidal enclosure with wavy top surface. J Appl Math. 2013; 2013: 840632. [CrossRef]
- Corvaro F, Paroncini M. A numerical and experimental analysis on the natural convective heat transfer of a small heating strip located on the floor of a square cavity. Appl Therm Eng. 2008; 28: 25–35. [CrossRef]
- Hirpho Mohammed. Mixed convection of Casson fluid in a differentially heated bottom wavy wall. Heliyon. 2021; 7: e07361. [CrossRef]
- Rehman Khalil U, Shatanawi Wasfi, Zahri Mostafa, Sherif El-Sayed M, Junaedi Harri, Lv Yu-Pei. Thermal analysis on uniformly heated diamond obstruction in convective liquid suspension. Case Stud Therm Eng. 2021; 26: 101062. [CrossRef]
- Tasnim Sadia, Shuvo Md Shahneoug, Deb Niloy, Islam Md Sadman, Saha Sumon. Entropy generation on magnetohydrodynamic conjugate free convection with Joule heating of heat-generating liquid and solid element inside a chamber. Case Stud Therm Eng. 2023; 52: 103711. [CrossRef]
- Sarker Sree Pradip Kumer, Alam Md Mahmud, Munshi Mohammod Jahirul Haque. Simulating mixed convection in a lid-driven wavy enclosure with block in different locations. Int J Fluid Mech Therm Sci. 2023; 9(2): 20–28. [CrossRef]
- Sarker Sree Pradip Kumer, Alam Md Mahmud, Munshi Md Jahirul Haque. Modeling of mixed convection in a lid-driven wavy enclosure with two square blocks placed at different positions. J Appl Math Phys. 2023; 11: 3984–3999. [CrossRef]
- Sarker Sree Pradip Kumer, Alam Md Mahmud. Numerical analysis of conjugate mixed convection heat transfer with internal heat generation in a wavy-walled lid-driven trapezoidal cavity. J Adv Math Comput Sci. 2025; 40(3): 11–34. [CrossRef]
| Boundary | Thermal | Hydrodynamic |
| Upper and lower Boundaries: | Km-1 (Adiabatic) | u=v=0 ms-1 |
| Left and Right Boundaries: | T=300 K | u=v=0 ms-1 |
| Horizontal Side of Solid | u=v=0 ms-1 | |
| Vertical Side of Solid | u=v=0 ms-1 |
| Symbol (unit) | Property Description | Value |
| kf (W·m⁻¹·K⁻¹) | Thermal conductivity | 0.613 |
| Cp (J·kg⁻¹·K⁻¹) | Specific heat at constant pressure | 4179.00 |
| β (K⁻¹) | Thermal expansion coefficient | 27.60 × 10⁻⁵ |
| ρ (kg·m⁻³) | Density | 997.10 |
| μ (Pa·s) | Dynamic viscosity | 8.55 × 10⁻⁴ |
| Average Nu | |||||||||
| Ra | Ha=0,Δ=0 | Ha=10, Δ=0 | Ha=20, Δ=0 | Ha=0, Δ=5 | Ha=10, Δ=5 | Ha=20, Δ=5 | Ha=0, Δ=10 | Ha=10, Δ=10 | Ha=20, Δ=10 |
| 103 | 0.93 | 0.93 | 0.93 | 0.24 | 0.24 | 0.24 | 0.14 | 0.14 | 0.14 |
| 104 | 0.98 | 0.96 | 0.95 | 0.32 | 0.3 | 0.26 | 0.22 | 0.20 | 0.18 |
| 105 | 1.52 | 1.42 | 1.25 | 0.59 | 0.55 | 0.49 | 0.4 | 0.38 | 0.34 |
Disclaimer/Publisher’s Note: The statements, opinions and data contained in all publications are solely those of the individual author(s) and contributor(s) and not of MDPI and/or the editor(s). MDPI and/or the editor(s) disclaim responsibility for any injury to people or property resulting from any ideas, methods, instructions or products referred to in the content. |
© 2025 by the authors. Licensee MDPI, Basel, Switzerland. This article is an open access article distributed under the terms and conditions of the Creative Commons Attribution (CC BY) license (http://creativecommons.org/licenses/by/4.0/).