Submitted:
29 May 2025
Posted:
30 May 2025
Read the latest preprint version here
Abstract
Keywords:
1. Introduction
2. Related Works
3. Background
3.1. Time Series
3.1.1. Components of a Time Series
3.1.2. Methods of Time Series Analysis
3.2. Deep Learning
3.2.1. A Brief History
3.2.2. Artificial Neuron
3.3. Artificial Neural Network
3.3.1. Learning in Neural Networks
3.3.2. Regularization
3.3.3. Update of Network Parameters
4. Foundational Architectures
4.1. Multilayer Perceptrons
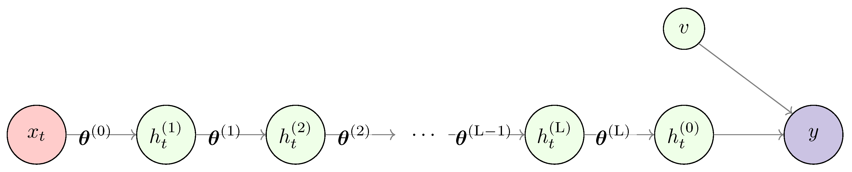
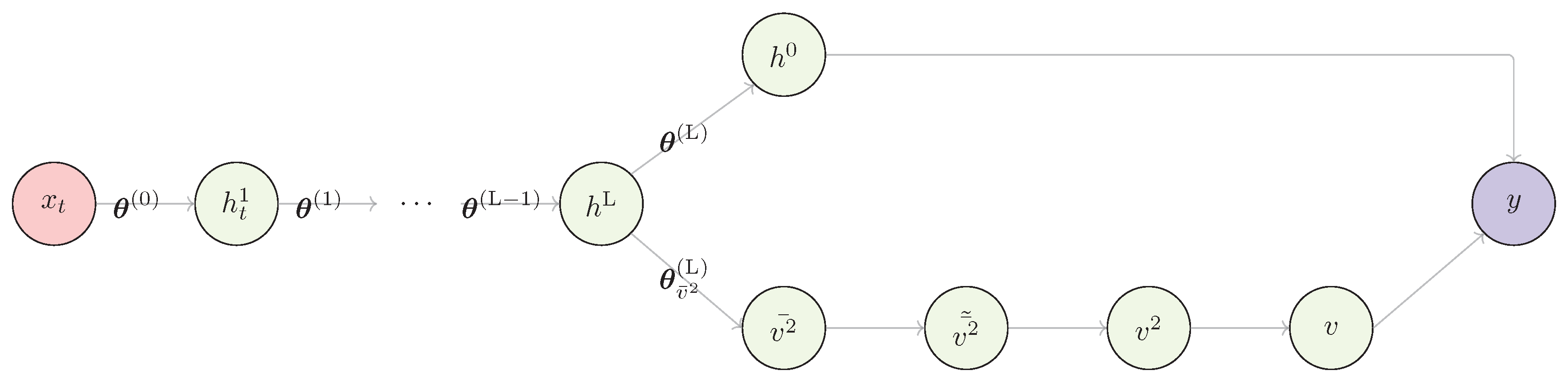
4.2. Recurrent Neural Networks
4.2.1. Simple RNNs

4.2.2. Deep RNN
4.2.3. Bidirectional RNN

4.3. Comparisons of Standards RNNs
| Aspect | Simple RNN | Deep RNN | Bidirectional RNN |
|---|---|---|---|
| Temporal direction | Forward only | Forward only | Both |
| Long-term memory | Poor | Improved | Strong (non-causal) |
| Depth and abstraction | Shallow | Hierarchical | Context-rich |
| Suitability for forecasting | Online / short horizon | Long horizon forecasting | Not suitable for real-time use |
| Computation and training | Efficient, stable | Expensive, harder to train | High overhead |
| Best use case | Basic time series tasks | Multiscale or nonlinear time series | Offline classification or anomaly detection |
4.4. Shortfalls of RNNs
4.5. Long Short-Term Memory
4.6. Other LSTM Variants
4.7. Gated Recurrent Unit

4.8. Comparison between LSTM and GRU
4.9. Transformer Models
4.10. Mamba
4.11. Convolutional Neural Networks
4.11.1. 1D CNN
4.11.2. Causal CNN
4.12. Graph Neural Networks
4.12.1. Temporal Modeling in GNN
4.13. Physics-Informed Neural Networks
4.13.1. Issues with PINNs
5. Generative Modeling
5.1. Autoencoders
5.2. Variational Autoencoders

5.3. Generative Adversarial Network

5.4. Normalizing Flows
5.5. Diffusion Models
5.6. Autoregressive Models
5.7. Energy-Based Models
5.8. Summary of Generative Models
6. Uncertainty Quantification
6.1. Bayesian Inference
6.1.1. Analytical Methods (Conjugacy)
6.1.2. Maximum Likelihood Estimation
6.1.3. Maximum A Posteriori (MAP)
6.1.4. Laplace Approximation
6.1.5. Expectation Maximization
6.1.6. Monte Carlo Integration
6.1.7. Importance Sampling
6.1.8. Variational Inference
6.1.9. Markov Chain Monte Carlo
Metropolis-Hastings Algorithm
Hamiltonian Monte Carlo (HMC)
6.2. Bayesian Neural Networks
6.2.1. Overview
6.2.2. Tractable Approximate Gaussian Inference
6.2.3. Learned Observation Noise in TAGI
6.2.4. Further TAGI Extensions
6.2.5. Monte Carlo Dropout
6.2.6. Bayes by Backpropagation
6.2.7. Probabilistic Backpropagation
7. Applications
7.1. Damage Assessment
7.2. Structural Response Prediction
7.3. Structural Load Prediction
7.4. Data Reconstruction
7.5. Anomaly Detection
| Application | Scope (Specific Papers) | Deep Learning Architectures Used |
|---|---|---|
| Damage Assessment | Damage detection: [299,300,301,302,303,304,305,306,307,308,309,310,311,312]Damage localization: [313,314,315,316,317,318,319]Damage classification: [320,321,322,323]Damage progression prediction: [324] | CNN, GRU, LSTM, BiLSTM, Autoencoder, Transformer, CNN-RNN hybrids |
| Structural Response Prediction | Strain prediction: [325,326]Displacement/Deflection: [327,328,329,330,331,332,333,334]Seismic and vibration: [335,336,337,338,339]Thermal-induced: [340]Tunnel responses: [341,342,343]Mechanical/Stress: [325,333,339,344,345,346]Cable tension: [347] | LSTM, BiLSTM, CNN, GRU, Attention, Transformer-based models |
| Structural Load Prediction | Dynamic load: [348,349] | CNN, Bayesian optimization, Autoencoder, CNN-BiLSTM hybrids |
| Data Reconstruction | Wind: [286,350,351,352]Vibration: [353,354,355]Temperature: [356]Dam monitoring: [357] | CNN, BiLSTM, GAN, Autoencoder, CNN-GRU hybrids, VMD, EMD |
| Anomaly Detection | Sensor faults: [358,359,360,361,362]Outliers: [362,363,364] | CNN, LSTM, BiLSTM, FCN, Transformer, PCA |
| Sensor Placement | Optimized placement: [335,348] | Attention-based RNN, CNN-BiLSTM |
| Data Augmentation/Generation | Synthetic data: [365] | GAN, CycleGAN, CNN, BiLSTM |
| Other SHM Tasks | Traffic classification: [366]Data compression: [367]Structural state ID: [368]Defect diagnosis: [369] | CNN, Autoencoder, Transformer, CNN-RNN hybrids |
8. State of Deep Times Series in Reviewed Literature
8.1. Models
8.2. Challenges
9. Conclusions
Abbreviations
| ANN | Artificial Neural Network |
| AOA | Arithmetic Optimization Algorithm |
| ARIMA | AutoRegressive Integrated Moving Average |
| BIM | Building Information Modeling |
| BRT | Boosted Regression Trees |
| ELM | Extreme Learning Machine |
| ESMD | Extreme-point Symmetric Mode Decomposition |
| FEM | Finite Element Method |
| GC | Geological Conditions |
| gMLP | Gated Multilayer Perceptron |
| HTT | Hydrostatic-Temperature-Time |
| IFC | Industry Foundation Classes |
| LD | Linear Dichroism |
| MAF | Moving Average Filter |
| MLR | Multiple Linear Regression |
| NAR | Nonlinear Autoregressive |
| NARX | Nonlinear Autoregressive with Exogenous Inputs |
| N-BEATS | Neural Basis Expansion Analysis for Time Series Forecasting |
| N-HITS | Neural Hierarchical Interpolation for Time Series |
| ODE | Ordinary Differential Equation |
| PCA | Principal Component Analysis |
| PE | Permutation Entropy |
| RMSE | Root Mean Squared Error |
| SARIMA | Seasonal AutoRegressive Integrated Moving Average |
| SD | Sequence Decomposition |
| STL | Seasonal-Trend Decomposition using Loess |
| TSMixer | Time Series Mixer |
References
- Foster, V.; Gorgulu, N.; Straub, S.; Vagliasindi, M. The Impact of Infrastructure on Development Outcomes: A Qualitative Review of Four Decades of Literature. Policy Research Working Paper 10343, World Bank, 2023. © World Bank. Licensed under CC BY-NC 3.0 IGO. [CrossRef]
- Wall, K. Some implications of the condition of South Africa’s public sector fixed infrastructure 2024. 31, 224–256. [CrossRef]
- Thusi, X.; Mlambo, V.H. The Effects of Africa’s Infrastructure Crisis and Its Root Causes. International Journal of Environmental, Sustainability, and Social Science 2023, 4, 1055–1067. [CrossRef]
- Pozo, F.; Tibaduiza, D.A.; Vidal, Y. Sensors for Structural Health Monitoring and Condition Monitoring. Sensors 2021, 21. [CrossRef]
- Blockley, D. Analysis of structural failures. Ice Proceedings 1977, 62, 51–74. [CrossRef]
- PSA. South Africa’s Water Crisis and Solutions, 2024. The Union of Choice.
- iNFRASTRUCTURE South Africa. Infrastructure Development Scenarios for South Africa Towards 2050, n.d. Accessed: 14 May, 2025.
- MAKEUK. Infrastructure: Enabling Growth by Connecting People and Places, n.d. Accessed: 14 May, 2025.
- Zini, G.; Betti, M.; Bartoli, G. A pilot project for the long-term structural health monitoring of historic city gates. Journal of Civil Structural Health Monitoring 2022, 12, 537–556. [CrossRef]
- Abdo, M. Structural Health Monitoring, History, Applications and Future. A Review Book; 2014.
- Farrar, C.; Dervilis, N.; Worden, K. The Past, Present and Future of Structural Health Monitoring: An Overview of Three Ages. Strain 2025, 61, e12495, [https://onlinelibrary.wiley.com/doi/pdf/10.1111/str.12495]. e12495 5547601. [CrossRef]
- Worden, K.; Farrar, C.; Manson, G.; Park, G. The Fundamental Axioms of Structural Health Monitoring. Proceedings of The Royal Society A: Mathematical, Physical and Engineering Sciences 2007, 463, 1639–1664. [CrossRef]
- Inaudi, D. 11 - Structural health monitoring of bridges: general issues and applications. In Structural Health Monitoring of Civil Infrastructure Systems; Karbhari, V.M.; Ansari, F., Eds.; Woodhead Publishing Series in Civil and Structural Engineering, Woodhead Publishing, 2009; pp. 339–370. [CrossRef]
- Ugalde, U.; Anduaga, J.; Salgado, O.; Iturrospe, A. SHM method for locating damage with incomplete observations based on substructure’s connectivity analysis. Mechanical Systems and Signal Processing 2023, 200, 110519. [CrossRef]
- Mienye, I.D.; Swart, T.G.; Obaido, G. Recurrent Neural Networks: A Comprehensive Review of Architectures, Variants, and Applications. Information 2024, 15. [CrossRef]
- Thompson, N.C.; Greenewald, K.; Lee, K.; Manso, G.F.; et al. The computational limits of deep learning. arXiv preprint arXiv:2007.05558 2020, 10.
- Yang, Luodongni. Research on the legal regulation of Generative Artificial intelligence—— Take ChatGPT as an example. SHS Web of Conf. 2023, 178, 02017. [CrossRef]
- Spencer, B.F.; Sim, S.H.; Kim, R.E.; Yoon, H. Advances in artificial intelligence for structural health monitoring: A comprehensive review. KSCE Journal of Civil Engineering 2025, 29, 100203. [CrossRef]
- Yuan, F.G.; Zargar, S.; Chen, Q.; Wang, S. Machine learning for structural health monitoring: challenges and opportunities. 04 2020, p. 2. [CrossRef]
- Jia, J.; Li, Y. Deep Learning for Structural Health Monitoring: Data, Algorithms, Applications, Challenges, and Trends. Sensors 2023, 23. [CrossRef]
- Afshar, A.; Nouri, G.; Ghazvineh, S.; Lavassani, S.H.H. Machine-Learning Applications in Structural Response Prediction: A Review. Practice Periodical on Structural Design and Construction 2024, 29, 03124002, [https://ascelibrary.org/doi/pdf/10.1061/PPSCFX.SCENG-1292]. [CrossRef]
- Toh, G.; Park, J. Review of Vibration-Based Structural Health Monitoring Using Deep Learning. Applied Sciences 2020, 10, 1680. [CrossRef]
- Azimi, M.; Dadras, A.; Pekcan, G. Data-Driven Structural Health Monitoring and Damage Detection through Deep Learning: State-of-the-Art Review. Sensors 2020, 20. [CrossRef]
- Indhu, R.; Sundar, G.; Parveen, H. A Review of Machine Learning Algorithms for vibration-based SHM and vision-based SHM. 02 2022, pp. 418–422. [CrossRef]
- Wang, H.; Wang, B.; Cui, C. Deep Learning Methods for Vibration-Based Structural Health Monitoring: A Review. Iranian Journal of Science and Technology, Transactions of Civil Engineering 2023, 48. [CrossRef]
- Avci, O.; Abdeljaber, O.; Kiranyaz, S.; Hussein, M.; Gabbouj, M.; Inman, D.J. A review of vibration-based damage detection in civil structures: From traditional methods to Machine Learning and Deep Learning applications. Mechanical Systems and Signal Processing 2021, 147, 107077. [CrossRef]
- Hamishebahar, Y.; Guan, H.; So, S.; Jo, J. A Comprehensive Review of Deep Learning-Based Crack Detection Approaches. Applied Sciences 2022.
- Chowdhury, A.; Kaiser, R. A Comprehensive Analysis of the Integration of Deep Learning Models in Concrete Research from a Structural Health Perspective. Construction Materials 2024, 4, 72–90. [CrossRef]
- Gomez-Cabrera, A.; Escamilla-Ambrosio, P.J. Review of Machine-Learning Techniques Applied to Structural Health Monitoring Systems for Building and Bridge Structures. Applied Sciences 2022, 12. [CrossRef]
- Sony, S.; Dunphy, K.; Sadhu, A.; Capretz, M. A systematic review of convolutional neural network-based structural condition assessment techniques. Engineering Structures 2021, 226, 111347. [CrossRef]
- Deng, J.; Multani, A.; Zhou, Y.; Lu, Y.; Lee, V. Review on computer vision-based crack detection and quantification methodologies for civil structures. Construction and Building Materials 2022, 356, 129238. [CrossRef]
- Khan, S.; Yairi, T.; Tsutsumi, S.; Nakasuka, S. A review of physics-based learning for system health management. Annual Reviews in Control 2024, 57, 100932. [CrossRef]
- Zhang, J.; Huang, M.; Wan, N.; Deng, Z.; He, Z.; Luo, J. Missing measurement data recovery methods in structural health Monitoring: The State, challenges and case study. Measurement 2024, 231, 114528. [CrossRef]
- Luleci, F.; Catbas, F.N. A brief introductory review to deep generative models for civil structural health monitoring. AI in Civil Engineering 2023, 2, 9. [CrossRef]
- Luleci, F.; Catbas, F.N.; Avci, O. A literature review: Generative adversarial networks for civil structural health monitoring. Frontiers in Built Environment 2022, 8, 1027379. [CrossRef]
- Cha, Y.J.; Ali, R.; Lewis, J.; Büyüköztürk, O. Deep learning-based structural health monitoring. Automation in Construction 2024, 161, 105328. [CrossRef]
- Abedi, M.A.; Shayanfar, J.; Al-Jabri, K. Infrastructure damage assessment via machine learning approaches: a systematic review. Asian Journal of Civil Engineering 2023, 24, 3823–3852.
- Zhang, G.Q.; Wang, B.; Li, J.; Xu, Y.L. The application of deep learning in bridge health monitoring: a literature review. Advances in Bridge Engineering 2022, 3. [CrossRef]
- Tapeh, A.T.G.; Naser, M.Z. Artificial Intelligence, Machine Learning, and Deep Learning in Structural Engineering: A Scientometrics Review of Trends and Best Practices. Archives of Computational Methods in Engineering 2023, 30, 115–159. [CrossRef]
- Xu, D.; Xu, X.; Forde, M.C.; Caballero, A. Concrete and steel bridge Structural Health Monitoring—Insight into choices for machine learning applications. Construction and Building Materials 2023, 402, 132596. [CrossRef]
- Bond-Taylor, S.; Leach, A.; Long, Y.; Willcocks, C.G. Deep generative modelling: A comparative review of vaes, gans, normalizing flows, energy-based and autoregressive models. IEEE transactions on pattern analysis and machine intelligence 2021, 44, 7327–7347.
- Miller, J.A.; Aldosari, M.; Saeed, F.; Barna, N.H.; Rana, S.; Arpinar, I.B.; Liu, N. A survey of deep learning and foundation models for time series forecasting. arXiv preprint arXiv:2401.13912 2024.
- Wang, Y.; Wu, H.; Dong, J.; Liu, Y.; Long, M.; Wang, J. Deep time series models: A comprehensive survey and benchmark. arXiv preprint arXiv:2407.13278 2024.
- Lara-Benítez, P.; Carranza-García, M.; Riquelme, J.C. An experimental review on deep learning architectures for time series forecasting. International journal of neural systems 2021, 31, 2130001.
- Abdar, M.; Pourpanah, F.; Hussain, S.; Rezazadegan, D.; Liu, L.; Ghavamzadeh, M.; Fieguth, P.; Cao, X.; Khosravi, A.; Acharya, U.R.; et al. A review of uncertainty quantification in deep learning: Techniques, applications and challenges. Information fusion 2021, 76, 243–297.
- Gawlikowski, J.; Tassi, C.R.N.; Ali, M.; Lee, J.; Humt, M.; Feng, J.; Kruspe, A.; Triebel, R.; Jung, P.; Roscher, R.; et al. A Survey of Uncertainty in Deep Neural Networks. Artificial Intelligence Review 2023, 56, 1513–1589. [CrossRef]
- Omenzetter, P.; William Brownjohn, J.M. Application of time series analysis for bridge monitoring. Smart Materials and Structures 2006, 15, 129. [CrossRef]
- Mohammadi Foumani, N.; Miller, L.; Tan, C.W.; Webb, G.I.; Forestier, G.; Salehi, M. Deep learning for time series classification and extrinsic regression: A current survey. ACM Computing Surveys 2024, 56, 1–45.
- Mojtahedi, F.; Yousefpour, N.; Chow, S.; Cassidy, M. Deep Learning for Time Series Forecasting: Review and Applications in Geotechnics and Geosciences. Archives of Computational Methods in Engineering 2025. [CrossRef]
- Zamanzadeh Darban, Z.; Webb, G.I.; Pan, S.; Aggarwal, C.; Salehi, M. Deep learning for time series anomaly detection: A survey. ACM Computing Surveys 2024, 57, 1–42.
- Boniol, P.; Liu, Q.; Huang, M.; Palpanas, T.; Paparrizos, J. Dive into time-series anomaly detection: A decade review. arXiv preprint arXiv:2412.20512 2024.
- Fang, C.; Wang, C. Time series data imputation: A survey on deep learning approaches. arXiv preprint arXiv:2011.11347 2020.
- Das, P.; Barman, S., An Overview of Time Series Decomposition and Its Applications; 2025; pp. 1–15. [CrossRef]
- Li, Z.; Qin, Y.; Cheng, X.; Tan, Y. FTMixer: Frequency and Time Domain Representations Fusion for Time Series Modeling. arXiv preprint arXiv:2405.15256 2024.
- Shumway, R.; Stoffer, D. Time Series Analysis and Its Applications: With R Examples; Springer Texts in Statistics, Springer International Publishing, 2017.
- Iyer, V.; Roy Chowdhury, K. Spectral Analysis: Time Series Analysis in Frequency Domain. The IUP Journal of Applied Economics 2009, VIII, 83–101.
- Volvach, A.; Kurbasova, G.; Volvach, L. Wavelets in the analysis of local time series of the Earth’s surface air. Heliyon 2024, 10, e23237. [CrossRef]
- McCulloch, W.S.; Pitts, W. A Logical Calculus of the Ideas Immanent in Nervous Activity. Bulletin of Mathematical Biophysics 1943, 5, 115–133. [CrossRef]
- Rosenblatt, F. The perceptron: a probabilistic model for information storage and organization in the brain. Psychological review 1958, 65 6, 386–408.
- Werbos, P.J. Beyond Regression: New Tools for Prediction and Analysis in the Behavioral Sciences. PhD thesis, Harvard University, 1974.
- Fukushima, K. Neocognitron: A Self-Organizing Neural Network Model for a Mechanism of Pattern Recognition Unaffected by Shift in Position. Biological Cybernetics 1980, 36, 193–202. [CrossRef]
- Hopfield, J. Neural Networks and Physical Systems with Emergent Collective Computational Abilities. Proceedings of the National Academy of Sciences of the United States of America 1982, 79, 2554–8. [CrossRef]
- Rumelhart, D.E.; Hinton, G.E.; Williams, R.J. Learning representations by back-propagating errors. Nature 1986, 323, 533–536.
- LeCun, Y.; Boser, B.; Denker, J.S.; Henderson, D.; Howard, R.E.; Hubbard, W.; Jackel, L.D. Backpropagation Applied to Handwritten Zip Code Recognition. Neural Computation 1989, 1, 541–551. [CrossRef]
- Hochreiter, S.; Schmidhuber, J. Long short-term memory. Neural computation 1997, 9, 1735–1780.
- Bengio, Y.; Ducharme, R.; Vincent, P.; Jauvin, C. A Neural Probabilistic Language Model. Journal of machine learning research 2003, pp. 1137–1155.
- Hinton, G.; Osindero, S.; Teh, Y.W. A Fast Learning Algorithm for Deep Belief Nets. Neural Computation 2006, 18, 1527–1554. [CrossRef]
- Glorot, X.; Bengio, Y. Understanding the difficulty of training deep feedforward neural networks. In Proceedings of the Proceedings of the thirteenth international conference on artificial intelligence and statistics. JMLR Workshop and Conference Proceedings, 2010, pp. 249–256.
- Krizhevsky, A.; Sutskever, I.; Hinton, G.E. ImageNet classification with deep convolutional neural networks. Communications of the ACM 2012, 60, 84 – 90.
- Goodfellow, I.; Bengio, Y.; Courville, A. Deep Learning; MIT Press, 2016. http://www.deeplearningbook.org.
- Alzubaidi, L.; Zhang, J.; Humaidi, A.J.; Al-Dujaili, A.; Duan, Y.; Al-Shamma, O.; Santamaría, J.; Fadhel, M.A.; Al-Amidie, M.; Farhan, L. Review of deep learning: concepts, CNN architectures, challenges, applications, future directions. Journal of big Data 2021, 8, 1–74.
- Sarker, I.H. Deep learning: a comprehensive overview on techniques, taxonomy, applications and research directions. SN computer science 2021, 2, 420.
- Cybenko, G. Approximation by superpositions of a sigmoidal function. Mathematics of Control, Signals and Systems 1989, 2, 303–314.
- Hornik, K.; Stinchcombe, M.; White, H. Multilayer feedforward networks are universal approximators. Neural Networks 1989, 2, 359–366. [CrossRef]
- International Organization for Standardization.; International Electrotechnical Commission. ISO/IEC 22989:2022 - Information technology — Artificial intelligence — Artificial intelligence concepts and terminology, 2022. Edition 1.
- Lederer, J. Activation functions in artificial neural networks: A systematic overview. arXiv preprint arXiv:2101.09957 2021.
- Glorot, X.; Bordes, A.; Bengio, Y. Deep Sparse Rectifier Neural Networks. In Proceedings of the Proceedings of the Fourteenth International Conference on Artificial Intelligence and Statistics (AISTATS). PMLR, 2011, Vol. 15, Proceedings of Machine Learning Research, pp. 315–323.
- Kunc, V.; Kléma, J. Three Decades of Activations: A Comprehensive Survey of 400 Activation Functions for Neural Networks. arXiv preprint arXiv:2402.09092 2024.
- Dubey, S.R.; Singh, S.K.; Chaudhuri, B.B. Activation functions in deep learning: A comprehensive survey and benchmark. Neurocomputing 2022, 503, 92–108.
- Marhon, S.A.; Cameron, C.J.F.; Kremer, S.C., Recurrent Neural Networks. In Handbook on Neural Information Processing; Bianchini, M.; Maggini, M.; Jain, L.C., Eds.; Springer Berlin Heidelberg: Berlin, Heidelberg, 2013; pp. 29–65. [CrossRef]
- Xu, G.; Wang, X.; Wu, X.; Leng, X.; Xu, Y. Development of skip connection in deep neural networks for computer vision and medical image analysis: A survey. arXiv preprint arXiv:2405.01725 2024.
- Liang, S.; Srikant, R. Why deep neural networks for function approximation? arXiv preprint arXiv:1610.04161 2016.
- Goulet, J.A. Probabilistic Machine Learning for Civil Engineers; MIT Press, 2020.
- Prince, S.J. Understanding Deep Learning; The MIT Press, 2023.
- Bishop, C.M.; Bishop, H. Deep Learning: Foundations and Concepts; Springer, 2023. [CrossRef]
- Farhadi, Z.; Bevrani, H.; Feizi Derakhshi, M.R. Combining Regularization and Dropout Techniques for Deep Convolutional Neural Network. 10 2022, pp. 335–339. [CrossRef]
- Hastie, T. The Elements of Statistical Learning: Data Mining, Inference, and Prediction, 2009.
- Prechelt, L., Early Stopping — But When? In Neural Networks: Tricks of the Trade: Second Edition; Montavon, G.; Orr, G.B.; Müller, K.R., Eds.; Springer Berlin Heidelberg: Berlin, Heidelberg, 2012; pp. 53–67. [CrossRef]
- Ioffe, S.; Szegedy, C. Batch normalization: Accelerating deep network training by reducing internal covariate shift. In Proceedings of the International conference on machine learning. pmlr, 2015, pp. 448–456.
- Zhang, H.; Cisse, M.; Dauphin, Y.N.; Lopez-Paz, D. mixup: Beyond empirical risk minimization. arXiv preprint arXiv:1710.09412 2017.
- He, K.; Zhang, X.; Ren, S.; Sun, J. Delving deep into rectifiers: Surpassing human-level performance on ImageNet classification. In Proceedings of the Proceedings of the IEEE international conference on computer vision, 2015, pp. 1026–1034.
- Lecun, Y.; Bottou, L.; Orr, G.; Müller, K.R. Efficient BackProp 2000.
- Hu, W.; Xiao, L.; Pennington, J. Provable benefit of orthogonal initialization in optimizing deep linear networks. arXiv preprint arXiv:2001.05992 2020.
- Saxe, A.M.; McClelland, J.L.; Ganguli, S. Exact solutions to the nonlinear dynamics of learning in deep linear neural networks. arXiv preprint arXiv:1312.6120 2013.
- Deisenroth, M.P.; Faisal, A.A.; Ong, C.S. Mathematics for machine learning; Cambridge University Press, 2020.
- Rosebrock, A. Deep Learning for Computer Vision with Python: Starter Bundle; PyImageSearch, 2017.
- Duchi, J.; Hazan, E.; Singer, Y. Adaptive Subgradient Methods for Online Learning and Stochastic Optimization. Journal of Machine Learning Research 2011, 12, 2121–2159.
- Hinton, G.; Srivastava, N.; Swersky, K.; Tieleman, T. Neural Networks for Machine Learning, Lecture 6e: RMSprop: Divide the Gradient by a Running Average of Its Recent Magnitude. https://www.cs.toronto.edu/~tijmen/csc321/slides/lecture_slides_lec6.pdf, 2012. Lecture slides.
- Kingma, D.P.; Ba, J. Adam: A method for stochastic optimization. arXiv preprint arXiv:1412.6980 2014.
- Deka, B.; Nguyen, L.H.; Goulet, J.A. Analytically tractable heteroscedastic uncertainty quantification in Bayesian neural networks for regression tasks. Neurocomputing 2024, 572, 127183. [CrossRef]
- Belwal, A.; Senthilkumar, S.; Alam, I.; Jaison, F. Exploring Multi-Layer Perceptrons for Time Series Classification in Networks. In Proceedings of the Proceedings of the 5th International Conference on Data Science, Machine Learning and Applications; Volume 2; Kumar, A.; Gunjan, V.K.; Senatore, S.; Hu, Y.C., Eds., Singapore, 2025; pp. 663–668.
- Wang, Z.; Yan, W.; Oates, T. Time series classification from scratch with deep neural networks: A strong baseline. In Proceedings of the 2017 International joint conference on neural networks (IJCNN). IEEE, 2017, pp. 1578–1585.
- Lazcano, A.; Jaramillo-Morán, M.A.; Sandubete, J.E. Back to Basics: The Power of the Multilayer Perceptron in Financial Time Series Forecasting. Mathematics 2024, 12. [CrossRef]
- Dong, Y.; Li, G.; Tao, Y.; Jiang, X.; Zhang, K.; Li, J.; Deng, J.; Su, J.; Zhang, J.; Xu, J. Fan: Fourier analysis networks. arXiv preprint arXiv:2410.02675 2024.
- Oreshkin, B.N.; Carpov, D.; Chapados, N.; Bengio, Y. N-BEATS: Neural basis expansion analysis for interpretable time series forecasting. arXiv preprint arXiv:1905.10437 2019.
- Challu, C.; Olivares, K.G.; Oreshkin, B.N.; Ramirez, F.G.; Canseco, M.M.; Dubrawski, A. Nhits: Neural hierarchical interpolation for time series forecasting. In Proceedings of the Proceedings of the AAAI conference on artificial intelligence, 2023, Vol. 37, pp. 6989–6997.
- Chen, S.A.; Li, C.L.; Yoder, N.; Arik, S.O.; Pfister, T. Tsmixer: An all-mlp architecture for time series forecasting. arXiv preprint arXiv:2303.06053 2023.
- Liu, H.; Dai, Z.; So, D.; Le, Q.V. Pay attention to mlps. Advances in neural information processing systems 2021, 34, 9204–9215.
- Bronstein, M.M.; Bruna, J.; Cohen, T.; Veličković, P. Geometric deep learning: Grids, groups, graphs, geodesics, and gauges. arXiv preprint arXiv:2104.13478 2021.
- Vuong, V.D. Analytically Tractable Bayesian Recurrent Neural Networks with Structural Health Monitoring Applications. Ph.d. thesis, Polytechnique Montréal, Département de génie civil, géologique et des mines, 2024. Thèse présentée en vue de l’obtention du diplôme de Philosophiæ Doctor en génie civil.
- Schuster, M.; Paliwal, K. Bidirectional recurrent neural networks. Signal Processing, IEEE Transactions on 1997, 45, 2673 – 2681. [CrossRef]
- Bengio, Y.; Simard, P.; Frasconi, P. Learning long-term dependencies with gradient descent is difficult. IEEE Transactions on Neural Networks 1994, 5, 157–166. [CrossRef]
- Scardapane, S. Alice’s Adventures in a Differentiable Wonderland–Volume I, A Tour of the Land. arXiv preprint arXiv:2404.17625 2024.
- Zhang, A.; Lipton, Z.C.; Li, M.; Smola, A.J. Dive into deep learning. arXiv preprint arXiv:2106.11342 2021.
- Gers, F.A.; Schraudolph, N.N.; Schmidhuber, J. Learning Precise Timing with LSTM Recurrent Networks. Journal of Machine Learning Research 2002, 3, 115–143. [CrossRef]
- Beck, M.; Pöppel, K.; Spanring, M.; Auer, A.; Prudnikova, O.; Kopp, M.; Klambauer, G.; Brandstetter, J.; Hochreiter, S. xlstm: Extended long short-term memory. arXiv preprint arXiv:2405.04517 2024.
- Cho, K.; Van Merriënboer, B.; Gulcehre, C.; Bahdanau, D.; Bougares, F.; Schwenk, H.; Bengio, Y. Learning phrase representations using RNN encoder-decoder for statistical machine translation. arXiv preprint arXiv:1406.1078 2014.
- Vaswani, A.; Shazeer, N.; Parmar, N.; Uszkoreit, J.; Jones, L.; Gomez, A.N.; Kaiser, .; Polosukhin, I. Attention is all you need. Advances in neural information processing systems 2017, 30.
- Lim, B.; Arık, S.Ö.; Loeff, N.; Pfister, T. Temporal fusion transformers for interpretable multi-horizon time series forecasting. International Journal of Forecasting 2021, 37, 1748–1764.
- Zhou, H.; Zhang, S.; Peng, J.; Zhang, S.; Li, J.; Xiong, H.; Zhang, W. Informer: Beyond efficient transformer for long sequence time-series forecasting. In Proceedings of the Proceedings of the AAAI conference on artificial intelligence, 2021, Vol. 35, pp. 11106–11115.
- Wu, H.; Xu, J.; Wang, J.; Long, M. Autoformer: Decomposition transformers with auto-correlation for long-term series forecasting. Advances in neural information processing systems 2021, 34, 22419–22430.
- Zhou, T.; Ma, Z.; Wen, Q.; Wang, X.; Sun, L.; Jin, R. Fedformer: Frequency enhanced decomposed transformer for long-term series forecasting. In Proceedings of the International conference on machine learning. PMLR, 2022, pp. 27268–27286.
- Nie, Y.; Nguyen, N.H.; Sinthong, P.; Kalagnanam, J. A time series is worth 64 words: Long-term forecasting with transformers. arXiv preprint arXiv:2211.14730 2022.
- Gu, A.; Dao, T. Mamba: Linear-time sequence modeling with selective state spaces. arXiv preprint arXiv:2312.00752 2023.
- Gu, A.; Dao, T.; Ermon, S.; Rudra, A.; Ré, C. Hippo: Recurrent memory with optimal polynomial projections. Advances in neural information processing systems 2020, 33, 1474–1487.
- Goodfellow, I.; Pouget-Abadie, J.; Mirza, M.; Xu, B.; Warde-Farley, D.; Ozair, S.; Courville, A.; Bengio, Y. Generative adversarial nets. Advances in neural information processing systems 2014, 27.
- Kiranyaz, S.; Avci, O.; Abdeljaber, O.; Ince, T.; Gabbouj, M.; Inman, D.J. 1D convolutional neural networks and applications: A survey. Mechanical Systems and Signal Processing 2021, 151, 107398. [CrossRef]
- Yu, F.; Koltun, V. Multi-scale context aggregation by dilated convolutions. arXiv preprint arXiv:1511.07122 2015.
- Zhang, Y.; Xu, Y.; Zhang, Y. A Graph Neural Network Node Classification Application Model with Enhanced Node Association. Applied Sciences 2023, 13. [CrossRef]
- Zhang, M.; Chen, Y. Link prediction based on graph neural networks. Advances in neural information processing systems 2018, 31.
- Liu, X.; Chen, J.; Wen, Q. A survey on graph classification and link prediction based on gnn. arXiv preprint arXiv:2307.00865 2023.
- Liao, R.; Li, Y.; Song, Y.; Wang, S.; Hamilton, W.; Duvenaud, D.K.; Urtasun, R.; Zemel, R. Efficient graph generation with graph recurrent attention networks. Advances in neural information processing systems 2019, 32.
- Hamilton, W.L. Graph Representation Learning. Synthesis Lectures on Artificial Intelligence and Machine Learning 2020, 14, 1–159.
- Rusch, T.K.; Bronstein, M.M.; Mishra, S. A survey on oversmoothing in graph neural networks. arXiv preprint arXiv:2303.10993 2023.
- Zhao, L.; Song, Y.; Zhang, C.; Liu, Y.; Wang, P.; Lin, T.; Deng, M.; Li, H. T-GCN: A Temporal Graph Convolutional Network for Traffic Prediction. IEEE Transactions on Intelligent Transportation Systems 2020, 21, 3848–3858. [CrossRef]
- Liang, Y.; Zhao, Z.; Sun, L. Memory-augmented dynamic graph convolution networks for traffic data imputation with diverse missing patterns. Transportation Research Part C: Emerging Technologies 2022, 143, 103826. [CrossRef]
- Jin, M.; Koh, H.Y.; Wen, Q.; Zambon, D.; Alippi, C.; Webb, G.I.; King, I.; Pan, S. A survey on graph neural networks for time series: Forecasting, classification, imputation, and anomaly detection. IEEE Transactions on Pattern Analysis and Machine Intelligence 2024.
- Hao, Z.; Liu, S.; Zhang, Y.; Ying, C.; Feng, Y.; Su, H.; Zhu, J. Physics-informed machine learning: A survey on problems, methods and applications. arXiv preprint arXiv:2211.08064 2022.
- Raissi, M.; Perdikaris, P.; Karniadakis, G.E. Physics-informed neural networks: A deep learning framework for solving forward and inverse problems involving nonlinear partial differential equations. Journal of Computational physics 2019, 378, 686–707.
- Krishnapriyan, A.; Gholami, A.; Zhe, S.; Kirby, R.; Mahoney, M.W. Characterizing possible failure modes in physics-informed neural networks. Advances in neural information processing systems 2021, 34, 26548–26560.
- Doumèche, N.; Biau, G.; Boyer, C. Convergence and error analysis of PINNs. arXiv preprint arXiv:2305.01240 2023.
- Sel, K.; Mohammadi, A.; Pettigrew, R.I.; et al. Physics-informed neural networks for modeling physiological time series for cuffless blood pressure estimation. npj Digital Medicine 2023, 6, 110. [CrossRef]
- Park, K.V.; Kim, J.; Seo, J. PINT: Physics-Informed Neural Time Series Models with Applications to Long-term Inference on WeatherBench 2m-Temperature Data. arXiv preprint arXiv:2502.04018 2025.
- Wang, S.; Teng, Y.; Perdikaris, P. Understanding and mitigating gradient flow pathologies in physics-informed neural networks. SIAM Journal on Scientific Computing 2021, 43, A3055–A3081.
- Abbasi, J.; Jagtap, A.D.; Moseley, B.; Hiorth, A.; Andersen, P.. Challenges and advancements in modeling shock fronts with physics-informed neural networks: A review and benchmarking study. arXiv preprint arXiv:2503.17379 2025.
- Vincent, P.; Larochelle, H.; Lajoie, I.; Bengio, Y.; Manzagol, P.A. Stacked Denoising Autoencoders: Learning Useful Representations in a Deep Network with a Local Denoising Criterion. Journal of Machine Learning Research 2010, 11, 3371–3408.
- Pereira, R.C.; Santos, M.S.; Rodrigues, P.P.; Abreu, P.H. Reviewing autoencoders for missing data imputation: Technical trends, applications and outcomes. Journal of Artificial Intelligence Research 2020, 69, 1255–1285.
- Yin, C.; Zhang, S.; Wang, J.; Xiong, N.N. Anomaly detection based on convolutional recurrent autoencoder for IoT time series. IEEE Transactions on Systems, Man, and Cybernetics: Systems 2020, 52, 112–122.
- Oring, A. Autoencoder image interpolation by shaping the latent space. Master’s thesis, Reichman University (Israel), 2021.
- Kingma, D.P.; Welling, M.; et al. Auto-encoding variational bayes, 2013.
- Gundersen, G. The Reparameterization Trick, 2018.
- Cai, B.; Yang, S.; Gao, L.; Xiang, Y. Hybrid variational autoencoder for time series forecasting. Knowledge-Based Systems 2023, 281, 111079.
- Desai, A.; Freeman, C.; Wang, Z.; Beaver, I. Timevae: A variational auto-encoder for multivariate time series generation. arXiv preprint arXiv:2111.08095 2021.
- Wang, J.H.; Tsin, D.; Engel, T.A. Predictive variational autoencoder for learning robust representations of time-series data. ArXiv 2023, pp. arXiv–2312.
- Calin, O. Deep Learning Architectures: A Mathematical Approach; Springer Series in the Data Sciences, Springer International Publishing, 2020.
- Kossale, Y.; Airaj, M.; Darouichi, A. Mode Collapse in Generative Adversarial Networks: An Overview. 10 2022, pp. 1–6. [CrossRef]
- Salimans, T.; Goodfellow, I.; Zaremba, W.; Cheung, V.; Radford, A.; Chen, X. Improved techniques for training gans. Advances in neural information processing systems 2016, 29.
- Metz, L.; Poole, B.; Pfau, D.; Sohl-Dickstein, J. Unrolled generative adversarial networks. arXiv preprint arXiv:1611.02163 2016.
- Arjovsky, M.; Chintala, S.; Bottou, L. Wasserstein generative adversarial networks. In Proceedings of the International conference on machine learning. PMLR, 2017, pp. 214–223.
- Miyato, T.; Kataoka, T.; Koyama, M.; Yoshida, Y. Spectral normalization for generative adversarial networks. arXiv preprint arXiv:1802.05957 2018.
- Gulrajani, I.; Ahmed, F.; Arjovsky, M.; Dumoulin, V.; Courville, A.C. Improved training of wasserstein gans. Advances in neural information processing systems 2017, 30.
- Yoon, J.; Jarrett, D.; van der Schaar, M. Time-series Generative Adversarial Networks. In Proceedings of the Advances in Neural Information Processing Systems, 2019, Vol. 32.
- EskandariNasab, M.; Hamdi, S.M.; Boubrahimi, S.F. SeriesGAN: Time Series Generation via Adversarial and Autoregressive Learning. In Proceedings of the 2024 IEEE International Conference on Big Data (BigData). IEEE, 2024, pp. 860–869.
- Vuletić, M.; Prenzel, F.; and, M.C. Fin-GAN: forecasting and classifying financial time series via generative adversarial networks. Quantitative Finance 2024, 24, 175–199. [CrossRef]
- Brophy, E.; Wang, Z.; She, Q.; Ward, T. Generative Adversarial Networks in Time Series: A Systematic Literature Review 2023. 55. [CrossRef]
- Zhang, D.; Ma, M.; Xia, L. A comprehensive review on GANs for time-series signals. Neural Computing and Applications 2022, 34, 3551–3571. [CrossRef]
- Riebesell, J.; Bringuier, S. Collection of scientific diagrams, 2020. 10.5281/zenodo.7486911 - https://github.com/janosh/diagrams. [CrossRef]
- Dinh, L.; Sohl-Dickstein, J.; Bengio, S. Density estimation using real nvp. arXiv preprint arXiv:1605.08803 2016.
- Dinh, L.; Krueger, D.; Bengio, Y. Nice: Non-linear independent components estimation. arXiv preprint arXiv:1410.8516 2014.
- Chen, R.T.; Rubanova, Y.; Bettencourt, J.; Duvenaud, D.K. Neural ordinary differential equations. Advances in neural information processing systems 2018, 31.
- Papamakarios, G.; Pavlakou, T.; Murray, I. Masked autoregressive flow for density estimation. Advances in neural information processing systems 2017, 30.
- Rasul, K.; Sheikh, A.S.; Schuster, I.; Bergmann, U.; Vollgraf, R. Multivariate probabilistic time series forecasting via conditioned normalizing flows. arXiv preprint arXiv:2002.06103 2020.
- Guan, S.; He, Z.; Ma, S.; Gao, M. Conditional normalizing flow for multivariate time series anomaly detection. ISA Transactions 2023, 143, 231–243. [CrossRef]
- Fan, W.; Zheng, S.; Wang, P.; Xie, R.; Bian, J.; Fu, Y. Addressing distribution shift in time series forecasting with instance normalization flows. arXiv preprint arXiv:2401.16777 2024.
- Ho, J.; Jain, A.; Abbeel, P. Denoising diffusion probabilistic models. Advances in neural information processing systems 2020, 33, 6840–6851.
- Rasul, K.; Seward, C.; Schuster, I.; Vollgraf, R. Autoregressive denoising diffusion models for multivariate probabilistic time series forecasting. In Proceedings of the International conference on machine learning. PMLR, 2021, pp. 8857–8868.
- Shu, K.; Wu, L.; Zhao, Y.; Liu, A.; Qian, R.; Chen, X. Data augmentation for seizure prediction with generative diffusion model. IEEE Transactions on Cognitive and Developmental Systems 2024.
- Chen, K.; Li, G.; Li, H.; Wang, Y.; Wang, W.; Liu, Q.; Wang, H. Quantifying uncertainty: Air quality forecasting based on dynamic spatial-temporal denoising diffusion probabilistic model. Environmental Research 2024, 249, 118438. [CrossRef]
- Han, X.; Zheng, H.; Zhou, M. Card: Classification and regression diffusion models. Advances in Neural Information Processing Systems 2022, 35, 18100–18115.
- Zuo, S.; Rey, V.F.; Suh, S.; Sigg, S.; Lukowicz, P. Unsupervised statistical feature-guided diffusion model for sensor-based human activity recognition. arXiv preprint arXiv:2306.05285 2023.
- Chen, Y.; Zhang, C.; Ma, M.; Liu, Y.; Ding, R.; Li, B.; He, S.; Rajmohan, S.; Lin, Q.; Zhang, D. Imdiffusion: Imputed diffusion models for multivariate time series anomaly detection. arXiv preprint arXiv:2307.00754 2023.
- Liu, X.; Chen, J.; Xie, J.; Chang, Y. Generating hsr bogie vibration signals via pulse voltage-guided conditional diffusion model. IEEE Transactions on Intelligent Transportation Systems 2024.
- Tashiro, Y.; Song, J.; Song, Y.; Ermon, S. Csdi: Conditional score-based diffusion models for probabilistic time series imputation. Advances in neural information processing systems 2021, 34, 24804–24816.
- Wang, X.; Zhang, H.; Wang, P.; Zhang, Y.; Wang, B.; Zhou, Z.; Wang, Y. An Observed Value Consistent Diffusion Model for Imputing Missing Values in Multivariate Time Series. 08 2023, pp. 2409–2418. [CrossRef]
- Narasimhan, S.S.; Agarwal, S.; Akcin, O.; Sanghavi, S.; Chinchali, S. Time weaver: A conditional time series generation model. arXiv preprint arXiv:2403.02682 2024.
- Chi, G.; Yang, Z.; Wu, C.; Xu, J.; Gao, Y.; Liu, Y.; Han, T.X. RF-diffusion: Radio signal generation via time-frequency diffusion. In Proceedings of the Proceedings of the 30th Annual International Conference on Mobile Computing and Networking, 2024, pp. 77–92.
- Lin, L.; Li, Z.; Li, R.; et al. Diffusion models for time-series applications: a survey. Frontiers of Information Technology & Electronic Engineering 2024, 25, 19–41. [CrossRef]
- Yang, Y.; Jin, M.; Wen, H.; Zhang, C.; Liang, Y.; Ma, L.; Wang, Y.; Liu, C.; Yang, B.; Xu, Z.; et al. A survey on diffusion models for time series and spatio-temporal data. arXiv preprint arXiv:2404.18886 2024.
- Ansari, A.F. Deep Generative Modeling for Images and Time Series. PhD thesis, National University of Singapore, 2022.
- Murphy, K.P. Probabilistic Machine Learning: Advanced Topics; MIT Press, 2023.
- Tomczak, J.M. Deep Generative Modeling, 2 ed.; Springer Cham, 2024. [CrossRef]
- Hinton, G.E.; Sejnowski, T.J., Learning and relearning in Boltzmann machines. In Parallel Distributed Processing: Explorations in the Microstructure of Cognition, Vol. 1: Foundations; MIT Press: Cambridge, MA, USA, 1986; p. 282–317.
- Brakel, P.; Stroobandt, D.; Schrauwen, B. Training Energy-Based Models for Time-Series Imputation. Journal of Machine Learning Research 2013, 14, 2771–2797.
- Yan, T.; Zhang, H.; Zhou, T.; Zhan, Y.; Xia, Y. Scoregrad: Multivariate probabilistic time series forecasting with continuous energy-based generative models. arXiv preprint arXiv:2106.10121 2021.
- Murphy, K.P. Probabilistic Machine Learning: An introduction; MIT Press, 2022.
- Wikipedia. Uncertainty QuantificationWikipedia. Uncertainty Quantification.
- Denker, J.; Schwartz, D.; Wittner, B.; Solla, S.; Howard, R.; Jackel, L.; Hopfield, J. Large automatic learning, rule extraction, and generalization. Complex Systems 1987, 1.
- Tishby, N.; Levin, E.; Solla, S.A. Consistent Inference of Probabilities in Layered Networks: Predictions and Generalizations. In Proceedings of the Proceedings of the International Joint Conference on Neural Networks (IJCNN). IEEE, 1989, pp. 403–409. [CrossRef]
- Denker, J.; LeCun, Y. Transforming Neural-Net Output Levels to Probability Distributions. In Proceedings of the Advances in Neural Information Processing Systems; Lippmann, R.; Moody, J.; Touretzky, D., Eds. Morgan-Kaufmann, 1990, Vol. 3.
- Buntine, W.L.; Weigend, A.S. Bayesian Back-Propagation. Complex Syst. 1991, 5.
- MacKay, D.J.C. A Practical Bayesian Framework for Backpropagation Networks. Neural Computation 1992, 4, 448–472. [CrossRef]
- Neal, R.M. Bayesian Learning via Stochastic Dynamics. In Proceedings of the Advances in Neural Information Processing Systems 5; Giles, C.L.; Hanson, S.J.; Cowan, J.D., Eds., San Mateo, CA, USA, 1992; pp. 475–482.
- Neal, R.M. Bayesian Learning for Neural Networks. Ph.D. thesis, University of Toronto, Toronto, Canada, 1995. Supervised by Geoffrey Hinton.
- Murphy, K. Machine Learning–A probabilistic Perspective; The MIT Press, 2012.
- Murphy, K.P. Conjugate Bayesian analysis of the Gaussian distribution. Technical report, University of British Columbia, 2007. Technical Report.
- Gao, T. How to Derive an EM Algorithm from Scratch: From Theory to Implementation, 2022.
- Hastings, W.K. Monte Carlo sampling methods using Markov chains and their applications. Biometrika 1970, 57, 97–109, [https://academic.oup.com/biomet/article-pdf/57/1/97/23940249/57-1-97.pdf]. [CrossRef]
- Marwala, T.; Mongwe, W.T.; Mbuvha, R. 1 - Introduction to Hamiltonian Monte Carlo. In Hamiltonian Monte Carlo Methods in Machine Learning; Marwala, T.; Mongwe, W.T.; Mbuvha, R., Eds.; Academic Press, 2023; pp. 1–29. [CrossRef]
- Yu, J.Q.; Creager, E.; Duvenaud, D.; Bettencourt, J. Bayesian Neural Networks. https://www.cs.toronto.edu/~duvenaud/distill_bayes_net/public/. Tutorial hosted by the University of Toronto.
- Goulet, J.A.; Nguyen, L.H.; Amiri, S. Tractable approximate Gaussian inference for Bayesian neural networks. Journal of Machine Learning Research 2021, 22, 1–23.
- RAUCH, H.E.; TUNG, F.; STRIEBEL, C.T. Maximum likelihood estimates of linear dynamic systems. AIAA Journal 1965, 3, 1445–1450. [CrossRef]
- Deka, B.; Nguyen, L.H.; Goulet, J.A. Analytically tractable heteroscedastic uncertainty quantification in Bayesian neural networks for regression tasks. Neurocomputing 2024, 572, 127183. [CrossRef]
- Vuong, V.D.; Nguyen, L.H.; Goulet, J.A. Coupling LSTM neural networks and state-space models through analytically tractable inference. International Journal of Forecasting 2024.
- Srivastava, N.; Hinton, G.; Krizhevsky, A.; Sutskever, I.; Salakhutdinov, R. Dropout: a simple way to prevent neural networks from overfitting. The journal of machine learning research 2014, 15, 1929–1958.
- Gal, Y. Uncertainty in Deep Learning. PhD thesis, University of Cambridge, 2016.
- Blundell, C.; Cornebise, J.; Kavukcuoglu, K.; Wierstra, D. Weight uncertainty in neural network. In Proceedings of the International conference on machine learning. PMLR, 2015, pp. 1613–1622.
- Hernández-Lobato, J.M.; Adams, R. Probabilistic backpropagation for scalable learning of bayesian neural networks. In Proceedings of the International conference on machine learning. PMLR, 2015, pp. 1861–1869.
- Yang, J.; Zhang, L.; Chen, C.; Li, Y.; Li, R.; Wang, G.; Jiang, S.; Zeng, Z. A hierarchical deep convolutional neural network and gated recurrent unit framework for structural damage detection. Information Sciences 2020, 540, 117 – 130. Cited by: 86; All Open Access, Green Open Access. [CrossRef]
- Liao, S.; Liu, H.; Yang, J.; Ge, Y. A channel-spatial-temporal attention-based network for vibration-based damage detection. Information Sciences 2022, 606, 213 – 229. Cited by: 20. [CrossRef]
- Wang, M.; Incecik, A.; Tian, Z.; Zhang, M.; Kujala, P.; Gupta, M.; Krolczyk, G.; Li, Z. Structural health monitoring on offshore jacket platforms using a novel ensemble deep learning model. Ocean Engineering 2024, 301. Cited by: 9; All Open Access, Hybrid Gold Open Access. [CrossRef]
- Ghazimoghadam, S.; Hosseinzadeh, S. A novel unsupervised deep learning approach for vibration-based damage diagnosis using a multi-head self-attention LSTM autoencoder. Measurement: Journal of the International Measurement Confederation 2024, 229. Cited by: 16. [CrossRef]
- Chen, Y.; Sun, Z.; Zhang, R.; Yao, L.; Wu, G. Attention mechanism based neural networks for structural post-earthquake damage state prediction and rapid fragility analysis. Computers and Structures 2023, 281. Cited by: 20. [CrossRef]
- Chen, X.; Jia, J.; Yang, J.; Bai, Y.; Du, X. A vibration-based 1DCNN-BiLSTM model for structural state recognition of RC beams. Mechanical Systems and Signal Processing 2023, 203. Cited by: 16. [CrossRef]
- Zhang, S.; Li, C.M.; Ye, W. Damage localization in plate-like structures using time-varying feature and one-dimensional convolutional neural network. Mechanical Systems and Signal Processing 2021, 147. Cited by: 124. [CrossRef]
- Römgens, N.; Abbassi, A.; Jonscher, C.; Grießmann, T.; Rolfes, R. On using autoencoders with non-standardized time series data for damage localization. Engineering Structures 2024, 303. Cited by: 7; All Open Access, Green Open Access, Hybrid Gold Open Access. [CrossRef]
- Lee, Y.; Lee, J.H.; Kim, J.S.; Yoon, H. A Hybrid Approach of Long Short-Term Memory and Machine Learning With Acoustic Emission Sensors for Structural Damage Localization. IEEE Sensors Journal 2024, 24, 39529 – 39539. Cited by: 0. [CrossRef]
- Triviño, H.; Feijóo, C.; Lugmania, H.; Vidal, Y.; Tutivén, C. Damage Detection and Localization at the Jacket Support of an Offshore Wind Turbine Using Transformer Models. Structural Control and Health Monitoring 2023, 2023. Cited by: 2; All Open Access, Gold Open Access, Green Open Access. [CrossRef]
- Jamshidi, M.; El-Badry, M. Structural damage severity classification from time-frequency acceleration data using convolutional neural networks. Structures 2023, 54, 236 – 253. Cited by: 23. [CrossRef]
- Sajedi, S.; Liang, X. Trident: A Deep Learning Framework for High-Resolution Bridge Vibration Monitoring. Applied Sciences (Switzerland) 2022, 12. Cited by: 3; All Open Access, Gold Open Access. [CrossRef]
- Shi, S.; Du, D.; Mercan, O.; Kalkan, E.; Wang, S. A novel unsupervised real-time damage detection method for structural health monitoring using machine learning. Structural Control and Health Monitoring 2022, 29. Cited by: 21; All Open Access, Gold Open Access. [CrossRef]
- Dang, H.V.; Tran-Ngoc, H.; Nguyen, T.V.; Bui-Tien, T.; De Roeck, G.; Nguyen, H.X. Data-Driven Structural Health Monitoring Using Feature Fusion and Hybrid Deep Learning. IEEE Transactions on Automation Science and Engineering 2021, 18, 2087 – 2103. Cited by: 87. [CrossRef]
- Tran, V.L. A new framework for damage detection of steel frames using burg autoregressive and stacked autoencoder-based deep neural network. Innovative Infrastructure Solutions 2022, 7. Cited by: 4. [CrossRef]
- Sony, S.; Gamage, S.; Sadhu, A.; Samarabandu, J. Multiclass damage identification in a full-scale bridge using optimally tuned one-dimensional convolutional neural network. Journal of Computing in Civil Engineering 2022, 36. Cited by: 41; All Open Access, Green Open Access. [CrossRef]
- Santaniello, P.; Russo, P. Bridge Damage Identification Using Deep Neural Networks on Time–Frequency Signals Representation. Sensors 2023, 23. Cited by: 12; All Open Access, Gold Open Access, Green Open Access. [CrossRef]
- Honarjoo, A.; Darvishan, E.; Rezazadeh, H.; Kosarieh, A.H. SigBERT: vibration-based steel frame structural damage detection through fine-tuning BERT. International Journal of Structural Integrity 2024, 15, 851 – 872. Cited by: 1. [CrossRef]
- Bui-Tien, T.; Nguyen-Chi, T.; Le-Xuan, T.; Tran-Ngoc, H. Enhancing bridge damage assessment: Adaptive cell and deep learning approaches in time-series analysis. Construction and Building Materials 2024, 439. Cited by: 3. [CrossRef]
- Fu, W.; Zhou, R.; Guo, Z. Concrete acoustic emission signal augmentation method based on generative adversarial networks. Measurement: Journal of the International Measurement Confederation 2024, 231. Cited by: 5. [CrossRef]
- Lu, Y.; Wang, D.; Liu, D.; Yang, X. A Lightweight and Efficient Method of Structural Damage Detection Using Stochastic Configuration Network. Sensors (Basel, Switzerland) 2023, 23. Cited by: 3; All Open Access, Gold Open Access, Green Open Access. [CrossRef]
- Bui-Ngoc, D.; Nguyen-Tran, H.; Nguyen-Ngoc, L.; Tran-Ngoc, H.; Bui-Tien, T.; Tran-Viet, H. Damage detection in structural health monitoring using hybrid convolution neural network and recurrent neural network. Frattura ed Integrita Strutturale 2022, 16, 461 – 470. Cited by: 29; All Open Access, Gold Open Access. [CrossRef]
- Wu, M.; Xu, X.; Han, X.; Du, X. Seismic performance prediction of a slope-pile-anchor coupled reinforcement system using recurrent neural networks. Engineering Geology 2024, 338. Cited by: 3. [CrossRef]
- Huang, B.; Kang, F.; Li, J.; Wang, F. Displacement prediction model for high arch dams using long short-term memory based encoder-decoder with dual-stage attention considering measured dam temperature. Engineering Structures 2023, 280. Cited by: 55. [CrossRef]
- Li, Y.; Bao, T.; Gong, J.; Shu, X.; Zhang, K. The Prediction of Dam Displacement Time Series Using STL, Extra-Trees, and Stacked LSTM Neural Network. IEEE Access 2020, 8, 94440 – 94452. Cited by: 95; All Open Access, Gold Open Access. [CrossRef]
- Ye, X.W.; Ma, S.Y.; Liu, Z.X.; Chen, Y.B.; Lu, C.R.; Song, Y.J.; Li, X.J.; Zhao, L.A. LSTM-based deformation forecasting for additional stress estimation of existing tunnel structure induced by adjacent shield tunneling. Tunnelling and Underground Space Technology 2024, 146. Cited by: 9. [CrossRef]
- Xu, X.; Xu, D.; Caballero, A.; Ren, Y.; Huang, Q.; Chang, W.; Forde, M.C. Vehicle-induced deflection prediction using long short-term memory networks. Structures 2023, 54, 596 – 606. Cited by: 6. [CrossRef]
- Xiao, X.; Wang, Z.; Zhang, H.; Luo, Y.; Chen, F.; Deng, Y.; Lu, N.; Chen, Y. A Novel Method of Bridge Deflection Prediction Using Probabilistic Deep Learning and Measured Data. Sensors 2024, 24. Cited by: 0; All Open Access, Gold Open Access. [CrossRef]
- Li, S.; Li, S.; Laima, S.; Li, H. Data-driven modeling of bridge buffeting in the time domain using long short-term memory network based on structural health monitoring. Structural Control and Health Monitoring 2021, 28. Cited by: 49; All Open Access, Gold Open Access. [CrossRef]
- Barzegar, V.; Laflamme, S.; Hu, C.; Dodson, J. Ensemble of recurrent neural networks with long short-term memory cells for high-rate structural health monitoring. Mechanical Systems and Signal Processing 2022, 164. Cited by: 32; All Open Access, Bronze Open Access, Green Open Access. [CrossRef]
- Ma, Z.; Gao, L. Predicting Mechanical State of High-Speed Railway Elevated Station Track System Using a Hybrid Prediction Model. KSCE Journal of Civil Engineering 2021, 25, 2474 – 2486. Cited by: 8. [CrossRef]
- Wang, Z.w.; Lu, X.f.; Zhang, W.m.; Fragkoulis, V.C.; Zhang, Y.f.; Beer, M. Deep learning-based prediction of wind-induced lateral displacement response of suspension bridge decks for structural health monitoring. Journal of Wind Engineering and Industrial Aerodynamics 2024, 247. Cited by: 7. [CrossRef]
- Oh, B.K.; Park, H.S.; Glisic, B. Prediction of long-term strain in concrete structure using convolutional neural networks, air temperature and time stamp of measurements. Automation in Construction 2021, 126. Cited by: 35. [CrossRef]
- Seon Park, H.; Hong, T.; Lee, D.E.; Kwan Oh, B.; Glisic, B. Long-term structural response prediction models for concrete structures using weather data, fiber-optic sensing, and convolutional neural network. Expert Systems with Applications 2022, 201. Cited by: 12. [CrossRef]
- Yu, X.; Li, J.; Kang, F. SSA optimized back propagation neural network model for dam displacement monitoring based on long-term temperature data. European Journal of Environmental and Civil Engineering 2023, 27, 1617 – 1643. Cited by: 3. [CrossRef]
- Yuan, D.; Gu, C.; Wei, B.; Qin, X.; Gu, H. Displacement behavior interpretation and prediction model of concrete gravity dams located in cold area. Structural Health Monitoring 2023, 22, 2384 – 2401. Cited by: 17. [CrossRef]
- Lu, Z.; Zhou, G.; Ding, Y.; Li, D. Prediction and analysis of response behavior of concrete face rockfill dam in cold region. Structures 2024, 70. Cited by: 0. [CrossRef]
- Zhao, H.W.; Ding, Y.L.; Li, A.Q.; Chen, B.; Wang, K.P. Digital modeling approach of distributional mapping from structural temperature field to temperature-induced strain field for bridges. Journal of Civil Structural Health Monitoring 2023, 13, 251 – 267. Cited by: 31. [CrossRef]
- Yang, K.; Ding, Y.; Geng, F.; Jiang, H.; Zou, Z. A multi-sensor mapping Bi-LSTM model of bridge monitoring data based on spatial-temporal attention mechanism. Measurement: Journal of the International Measurement Confederation 2023, 217. Cited by: 13. [CrossRef]
- Ma, J.; Dan, J. Long-Term Structural State Trend Forecasting Based on an FFT–Informer Model. Applied Sciences (Switzerland) 2023, 13. Cited by: 8; All Open Access, Gold Open Access. [CrossRef]
- Li, Z.; Li, D.; Sun, T. A Transformer-Based Bridge Structural Response Prediction Framework. Sensors 2022, 22. Cited by: 3; All Open Access, Gold Open Access, Green Open Access. [CrossRef]
- Zhou, Y.; Meng, S.; Lou, Y.; Kong, Q. Physics-Informed Deep Learning-Based Real-Time Structural Response Prediction Method. Engineering 2024, 35, 140 – 157. Cited by: 15; All Open Access, Gold Open Access. [CrossRef]
- Pereira, M.; Glisic, B. Physics-Informed Data-Driven Prediction of 2D Normal Strain Field in Concrete Structures. Sensors 2022, 22. Cited by: 7; All Open Access, Gold Open Access, Green Open Access. [CrossRef]
- Pan, J.; Liu, W.; Liu, C.; Wang, J. Convolutional neural network-based spatiotemporal prediction for deformation behavior of arch dams. Expert Systems with Applications 2023, 232. Cited by: 25. [CrossRef]
- Tan, X.; Chen, W.; Yang, J.; Du, B.; Zou, T. Prediction for segment strain and opening of underwater shield tunnel using deep learning method. Transportation Geotechnics 2023, 39. Cited by: 11. [CrossRef]
- Seon Park, H.; Hwan An, J.; Jun Park, Y.; Kwan Oh, B. Convolutional neural network-based safety evaluation method for structures with dynamic responses. Expert Systems with Applications 2020, 158. Cited by: 29. [CrossRef]
- Ghaffari, A.; Shahbazi, Y.; Mokhtari Kashavar, M.; Fotouhi, M.; Pedrammehr, S. Advanced Predictive Structural Health Monitoring in High-Rise Buildings Using Recurrent Neural Networks. Buildings 2024, 14. Cited by: 1; All Open Access, Gold Open Access. [CrossRef]
- Tian, Y.; Xu, Y.; Zhang, D.; Li, H. Relationship modeling between vehicle-induced girder vertical deflection and cable tension by BiLSTM using field monitoring data of a cable-stayed bridge. Structural Control and Health Monitoring 2021, 28. Cited by: 43; All Open Access, Gold Open Access. [CrossRef]
- Wang, S.; Chai, B.; Liu, Y.; Gu, H. A causal prediction model for the measured temperature field of high arch dams with dual simulation of lag influencing mechanism. Structures 2023, 58. Cited by: 6. [CrossRef]
- Zhou, L.; Wang, T.; Chen, Y. Bridge temperature prediction method based on long short-term memory neural networks and shared meteorological data. Advances in Structural Engineering 2024, 27, 1349 – 1360. Cited by: 2. [CrossRef]
- Leon-Medina, J.X.; Vargas, R.C.G.; Gutierrez-Osorio, C.; Jimenez, D.A.G.; Cardenas, D.A.V.; Torres, J.E.S.; Camacho-Olarte, J.; Rueda, B.; Vargas, W.; Esmeral, J.S.; et al. Deep Learning for the Prediction of Temperature Time Series in the Lining of an Electric Arc Furnace for Structural Health Monitoring at Cerro Matoso (CMSA) †. Engineering Proceedings 2020, 2. Cited by: 8; All Open Access, Hybrid Gold Open Access. [CrossRef]
- Leon-Medina, J.X.; Camacho, J.; Gutierrez-Osorio, C.; Salomón, J.E.; Rueda, B.; Vargas, W.; Sofrony, J.; Restrepo-Calle, F.; Pedraza, C.; Tibaduiza, D. Temperature prediction using multivariate time series deep learning in the lining of an electric arc furnace for ferronickel production. Sensors 2021, 21. Cited by: 19; All Open Access, Gold Open Access, Green Open Access. [CrossRef]
- Godoy-Rojas, D.F.; Leon-Medina, J.X.; Rueda, B.; Vargas, W.; Romero, J.; Pedraza, C.; Pozo, F.; Tibaduiza, D.A. Attention-Based Deep Recurrent Neural Network to Forecast the Temperature Behavior of an Electric Arc Furnace Side-Wall. Sensors 2022, 22. Cited by: 11; All Open Access, Gold Open Access, Green Open Access. [CrossRef]
- Lin, Q.; Li, C. Simplified-Boost Reinforced Model-Based Complex Wind Signal Forecasting. Advances in Civil Engineering 2020, 2020. Cited by: 0; All Open Access, Gold Open Access. [CrossRef]
- Ding, Y.; Ye, X.W.; Guo, Y. A Multistep Direct and Indirect Strategy for Predicting Wind Direction Based on the EMD-LSTM Model. Structural Control and Health Monitoring 2023, 2023. Cited by: 43; All Open Access, Gold Open Access. [CrossRef]
- Lim, J.Y.; Kim, S.; Kim, H.K.; Kim, Y.K. Long short-term memory (LSTM)-based wind speed prediction during a typhoon for bridge traffic control. Journal of Wind Engineering and Industrial Aerodynamics 2022, 220. Cited by: 41. [CrossRef]
- Lu, Y.; Tang, L.; Chen, C.; Zhou, L.; Liu, Z.; Liu, Y.; Jiang, Z.; Yang, B. Reconstruction of structural long-term acceleration response based on BiLSTM networks. Engineering Structures 2023, 285. Cited by: 46. [CrossRef]
- Li, Y.; Bao, T.; Chen, H.; Zhang, K.; Shu, X.; Chen, Z.; Hu, Y. A large-scale sensor missing data imputation framework for dams using deep learning and transfer learning strategy. Measurement: Journal of the International Measurement Confederation 2021, 178. Cited by: 65. [CrossRef]
- Chen, C.; Tang, L.; Lu, Y.; Wang, Y.; Liu, Z.; Liu, Y.; Zhou, L.; Jiang, Z.; Yang, B. Reconstruction of long-term strain data for structural health monitoring with a hybrid deep-learning and autoregressive model considering thermal effects. Engineering Structures 2023, 285. Cited by: 22. [CrossRef]
- Nhung, N.T.C.; Bui, H.N.; Minh, T.Q. Enhancing Recovery of Structural Health Monitoring Data Using CNN Combined with GRU. Infrastructures 2024, 9. Cited by: 0. [CrossRef]
- Du, B.; Wu, L.; Sun, L.; Xu, F.; Li, L. Heterogeneous structural responses recovery based on multi-modal deep learning. Structural Health Monitoring 2023, 22, 799 – 813. Cited by: 12. [CrossRef]
- Bui Tien, T.; Vu Quang, T.; Nguyen Ngoc, L.; Tran Ngoc, H. Time series data recovery in SHM of large-scale bridges: Leveraging GAN and Bi-LSTM networks. Structures 2024, 63. Cited by: 5. [CrossRef]
- Jiang, H.; Wan, C.; Yang, K.; Ding, Y.; Xue, S. Continuous missing data imputation with incomplete dataset by generative adversarial networks–based unsupervised learning for long-term bridge health monitoring. Structural Health Monitoring 2022, 21, 1093 – 1109. Cited by: 76. [CrossRef]
- Shi, J.; Shi, H.; Li, J.; Yu, Z. Train-induced vibration response reconstruction for bridge damage detection with a deep learning methodology. Structures 2024, 64. Cited by: 8. [CrossRef]
- Qu, G.; Song, M.; Xin, G.; Shang, Z.; Sun, L. Time-convolutional network with joint time-frequency domain loss based on arithmetic optimization algorithm for dynamic response reconstruction. Engineering Structures 2024, 321. Cited by: 2. [CrossRef]
- Li, L.; Zhou, H.; Liu, H.; Zhang, C.; Liu, J. A hybrid method coupling empirical mode decomposition and a long short-term memory network to predict missing measured signal data of SHM systems. Structural Health Monitoring 2021, 20, 1778 – 1793. Cited by: 62. [CrossRef]
- Song, J.; Yang, Z.; Li, X. Missing data imputation model for dam health monitoring based on mode decomposition and deep learning. Journal of Civil Structural Health Monitoring 2024, 14, 1–14. [CrossRef]
- Zhu, S.; Miao, J.; Chen, W.; Liu, C.; Weng, C.; Luo, Y. Reconstructing Missing Data Using a Bi-LSTM Model Based on VMD and SSA for Structural Health Monitoring. Buildings 2024, 14. Cited by: 3; All Open Access, Gold Open Access. [CrossRef]
- Lin, Q.; Li, C. Nonstationary wind speed data reconstruction based on secondary correction of statistical characteristics. Structural Control and Health Monitoring 2021, 28. Cited by: 9. [CrossRef]
- Shin, Y.S.; Kim, J. Sensor Data Reconstruction for Dynamic Responses of Structures Using External Feedback of Recurrent Neural Network. Sensors 2023, 23. Cited by: 12; All Open Access, Gold Open Access, Green Open Access. [CrossRef]
- Ge, L.; Sadhu, A. Domain adaptation for structural health monitoring via physics-informed and self-attention-enhanced generative adversarial learning. Mechanical Systems and Signal Processing 2024, 211. Cited by: 8; All Open Access, Hybrid Gold Open Access. [CrossRef]
- Falchi, F.; Girardi, M.; Gurioli, G.; Messina, N.; Padovani, C.; Pellegrini, D. Deep learning and structural health monitoring: Temporal Fusion Transformers for anomaly detection in masonry towers. Mechanical Systems and Signal Processing 2024, 215. Cited by: 5; All Open Access, Hybrid Gold Open Access. [CrossRef]
- Li, T.; Pan, Y.; Tong, K.; Ventura, C.E.; De Silva, C.W. Attention-Based Sequence-to-Sequence Learning for Online Structural Response Forecasting under Seismic Excitation. IEEE Transactions on Systems, Man, and Cybernetics: Systems 2022, 52, 2184 – 2200. Cited by: 30. [CrossRef]
- Chen, C.; Tang, L.; Xiao, Q.; Zhou, L.; Wang, H.; Liu, Z.; Xing, C.; Liu, Y.; Chen, J.; Jiang, Z.; et al. Unsupervised anomaly detection for long-span bridges combining response forecasting by deep learning with Td-MPCA. Structures 2023, 54, 1815 – 1830. Cited by: 10. [CrossRef]
- Wang, X.; Du, Y.; Zhou, X.; Xia, Y. Data Anomaly Detection through Semisupervised Learning Aided by Customised Data Augmentation Techniques. Structural Control and Health Monitoring 2023, 2023. Cited by: 3; All Open Access, Gold Open Access. [CrossRef]
- Gao, K.; Chen, Z.D.; Weng, S.; Zhu, H.P.; Wu, L.Y. Detection of multi-type data anomaly for structural health monitoring using pattern recognition neural network. Smart Structures and Systems 2022, 29, 129 – 140. Cited by: 19. [CrossRef]
- Kim, S.Y.; Mukhiddinov, M. Data Anomaly Detection for Structural Health Monitoring Based on a Convolutional Neural Network. Sensors (Basel, Switzerland) 2023, 23. Cited by: 8; All Open Access, Gold Open Access, Green Open Access. [CrossRef]
- Gong, X.; Song, X.; Li, G.; Xiong, W.; Cai, C. Deep learning based anomaly identification of temperature effects in bridge structural health monitoring data. Structures 2024, 69. Cited by: 1. [CrossRef]
- Chen, Z.; Sun, H.; Xiong, W. Forecasting dynamics by an incomplete equation of motion and an auto-encoder Koopman operator. Mechanical Systems and Signal Processing 2024, 220. Cited by: 0. [CrossRef]
- Li, Q.; Gao, J.; Beck, J.L.; Lin, C.; Huang, Y.; Li, H. Probabilistic outlier detection for robust regression modeling of structural response for high-speed railway track monitoring. Structural Health Monitoring 2024, 23, 1280 – 1296. Cited by: 8. [CrossRef]
- Kwon, T.H.; Park, S.H.; Park, S.I.; Lee, S.H. Building information modeling-based bridge health monitoring for anomaly detection under complex loading conditions using artificial neural networks. Journal of Civil Structural Health Monitoring 2021, 11, 1301 – 1319. Cited by: 27. [CrossRef]
- Mousavi, M.; Gandomi, A.H. Prediction error of Johansen cointegration residuals for structural health monitoring. Mechanical Systems and Signal Processing 2021, 160. Cited by: 39; All Open Access, Green Open Access. [CrossRef]
- Dang, V.H.; Pham, H.A. Vibration-based building health monitoring using spatio-temporal learning model. Engineering Applications of Artificial Intelligence 2023, 126. Cited by: 7. [CrossRef]
- Le-Xuan, T.; Bui-Tien, T.; Tran-Ngoc, H. A novel approach model design for signal data using 1DCNN combing with LSTM and ResNet for damaged detection problem. Structures 2024, 59. Cited by: 17. [CrossRef]
- Luo, J.; Zheng, F.; Sun, S. A few-shot learning method for vibration-based damage detection in civil structures. Structures 2024, 61. Cited by: 4. [CrossRef]
- Tran-Ngoc, H.; Nguyen-Huu, Q.; Nguyen-Chi, T.; Bui-Tien, T. Enhancing damage detection in truss bridges through structural stiffness reduction using 1DCNN, BiLSTM, and data augmentation techniques. Structures 2024, 68. Cited by: 1. [CrossRef]
- Zhan, P.; Qin, X.; Zhang, Q.; Sun, Y. A Novel Structural Damage Detection Method via Multisensor Spatial-Temporal Graph-Based Features and Deep Graph Convolutional Network. IEEE Transactions on Instrumentation and Measurement 2023, 72. Cited by: 12. [CrossRef]
- Dabbous, A.; Berta, R.; Fresta, M.; Ballout, H.; Lazzaroni, L.; Bellotti, F. Bringing Intelligence to the Edge for Structural Health Monitoring: The Case Study of the Z24 Bridge. IEEE Open Journal of the Industrial Electronics Society 2024, 5, 781 – 794. Cited by: 3; All Open Access, Gold Open Access. [CrossRef]
- Dang, H.V.; Raza, M.; Nguyen, T.V.; Bui-Tien, T.; Nguyen, H.X. Deep learning-based detection of structural damage using time-series data. Structure and Infrastructure Engineering 2021, 17, 1474 – 1493. Cited by: 64; All Open Access, Green Open Access. [CrossRef]
- Zhang, Z.; Yan, J.; Li, L.; Pan, H.; Dong, C. Condition assessment of stay cables through enhanced time series classification using a deep learning approach. Smart Structures and Systems 2022, 29, 105 – 116. Cited by: 5. [CrossRef]
- Nouri, Y.; Shahabian, F.; Shariatmadar, H.; Entezami, A. Structural Damage Detection in the Wooden Bridge Using the Fourier Decomposition, Time Series Modeling and Machine Learning Methods. Journal of Soft Computing in Civil Engineering 2024, 8, 83 – 101. Cited by: 8. [CrossRef]
- Mantawy, I.M.; Mantawy, M.O. Convolutional neural network based structural health monitoring for rocking bridge system by encoding time-series into images. Structural Control and Health Monitoring 2022, 29. Cited by: 27; All Open Access, Gold Open Access. [CrossRef]
- Entezami, A.; Sarmadi, H.; Mariani, S. An Unsupervised Learning Approach for Early Damage Detection by Time Series Analysis and Deep Neural Network to Deal with Output-Only (Big) Data †. Engineering Proceedings 2020, 2. Cited by: 14; All Open Access, Green Open Access, Hybrid Gold Open Access. [CrossRef]
- Tran, V.L.; Vo, T.C.; Nguyen, T.Q. One-dimensional convolutional neural network for damage detection of structures using time series data. Asian Journal of Civil Engineering 2024, 25, 827 – 860. Cited by: 9. [CrossRef]
- Ozelim, L.; Borges, L.; Cavalcante, A.; Albuquerque, E.; Diniz, M.; Góis, M.; da Costa, K.; de Sousa, P.; Dantas, A.; Jorge, R.; et al. Structural Health Monitoring of Dams Based on Acoustic Monitoring, Deep Neural Networks, Fuzzy Logic and a CUSUM Control Algorithm. Sensors 2022, 22. cited By 13. [CrossRef]
- Sun, L.; Song, R.; Wei, J.; Gao, Y.; Peng, C.; Fan, L.; Jiang, M.; Zhang, L. Physics-Augmented Spatial-Temporal graph convolutional network for damage localization using Ultrasonic guided waves. Mechanical Systems and Signal Processing 2024, 221. Cited by: 0. [CrossRef]
- Parisi, F.; Mangini, A.; Fanti, M.; Adam, J.M. Automated location of steel truss bridge damage using machine learning and raw strain sensor data. Automation in Construction 2022, 138. Cited by: 40. [CrossRef]
- Liu, Y.; Meng, X.; Hu, L.; Bao, Y.; Hancock, C. Application of Response Surface-Corrected Finite Element Model and Bayesian Neural Networks to Predict the Dynamic Response of Forth Road Bridges under Strong Winds. Sensors 2024, 24. Cited by: 2; All Open Access, Gold Open Access, Green Open Access. [CrossRef]
- Rizvi, S.H.M.; Abbas, M.; Zaidi, S.S.H.; Tayyab, M.; Malik, A. LSTM-Based Autoencoder with Maximal Overlap Discrete Wavelet Transforms Using Lamb Wave for Anomaly Detection in Composites. Applied Sciences (Switzerland) 2024, 14. Cited by: 2; All Open Access, Gold Open Access, Green Open Access. [CrossRef]
- Li, S.; Niu, J.; Li, Z. Novelty detection of cable-stayed bridges based on cable force correlation exploration using spatiotemporal graph convolutional networks. Structural Health Monitoring 2021, 20, 2216 – 2228. Cited by: 23. [CrossRef]
- Mazloom, S.; Sa’adati, N.; Rabbani, A.; Bitaraf, M. A multi-stage sub-structural damage localization approach using multi-label radial basis function neural network and auto-regressive model parameters. Advances in Structural Engineering 2024, 27, 2133 – 2152. Cited by: 0. [CrossRef]
- Rosafalco, L.; Manzoni, A.; Mariani, S.; Corigliano, A. Fully convolutional networks for structural health monitoring through multivariate time series classification. Advanced Modeling and Simulation in Engineering Sciences 2020, 7. Cited by: 45; All Open Access, Gold Open Access. [CrossRef]
- Tien, T.B.; Vu Quang, T.; Ngoc, L.N.; Ngoc, H.T. Enhancing time series data classification for structural damage detection through out-of-distribution representation learning. Structures 2024, 65. Cited by: 2. [CrossRef]
- Deng, F.; Tao, X.; Wei, P.; Wei, S. A Robust Deep Learning-Based Damage Identification Approach for SHM Considering Missing Data. Applied Sciences (Switzerland) 2023, 13. Cited by: 9; All Open Access, Gold Open Access, Green Open Access. [CrossRef]
- Wu, J.; El Naggar, M.H.; Wang, K. A Hybrid Convolutional and Recurrent Neural Network for Multi-Sensor Pile Damage Detection with Time Series. Sensors 2024, 24. Cited by: 2; All Open Access, Gold Open Access, Green Open Access. [CrossRef]
- Wang, C.; Ansari, F.; Wu, B.; Li, S.; Morgese, M.; Zhou, J. LSTM approach for condition assessment of suspension bridges based on time-series deflection and temperature data. Advances in Structural Engineering 2022, 25, 3450 – 3463. Cited by: 41. [CrossRef]
- Fernández, J.; Chiachío, J.; Barros, J.; Chiachío, M.; Kulkarni, C.S. Physics-guided recurrent neural network trained with approximate Bayesian computation: A case study on structural response prognostics. Reliability Engineering and System Safety 2024, 243. Cited by: 16; All Open Access, Hybrid Gold Open Access. [CrossRef]
- Menghini, A.; Meng, B.; Leander, J.; Castiglioni, C.A. Estimating bridge stress histories at remote locations from vibration sparse monitoring. Engineering Structures 2024, 318. Cited by: 1. [CrossRef]
- Lee, S.; Kang, S.; Lee, G.S. Predictions for Bending Strain at the Tower Bottom of Offshore Wind Turbine Based on the LSTM Model. Energies 2023, 16. Cited by: 3; All Open Access, Gold Open Access. [CrossRef]
- Ju, H.; Shi, H.; Shen, W.; Deng, Y. An accurate and low-cost vehicle-induced deflection prediction framework for long-span bridges using deep learning and monitoring data. Engineering Structures 2024, 310. Cited by: 10. [CrossRef]
- Li, M.; Wang, S.; Liu, T.; Liu, X.; Liu, C. Rotating box multi-objective visual tracking algorithm for vibration displacement measurement of large-span flexible bridges. Mechanical Systems and Signal Processing 2023, 200. Cited by: 14. [CrossRef]
- Huang, M.; Zhang, J.; Hu, J.; Ye, Z.; Deng, Z.; Wan, N. Nonlinear modeling of temperature-induced bearing displacement of long-span single-pier rigid frame bridge based on DCNN-LSTM. Case Studies in Thermal Engineering 2024, 53. Cited by: 52. [CrossRef]
- Xue, J.; Ou, G. Predicting wind-induced structural response with LSTM in transmission tower-line system. Smart Structures and Systems 2021, 28, 391 – 405. Cited by: 17. [CrossRef]
- Forootan, E.; Farzaneh, S.; Naderi, K.; Cederholm, J.P. Analyzing GNSS Measurements to Detect and Predict Bridge Movements Using the Kalman Filter (KF) and Neural Network (NN) Techniques. Geomatics 2021, 1, 65 – 80. Cited by: 5; All Open Access, Gold Open Access, Green Open Access. [CrossRef]
- Li, Y.; Bao, T.; Gao, Z.; Shu, X.; Zhang, K.; Xie, L.; Zhang, Z. A new dam structural response estimation paradigm powered by deep learning and transfer learning techniques. Structural Health Monitoring 2022, 21, 770–787. cited By 77. [CrossRef]
- Gu, N.; Wu, W.; Liu, K.; Guo, X. Predictive modeling of nonlinear system responses using the Residual Improvement Deep Learning Algorithm (RIDLA). Acta Mechanica 2024, 235, 7301 – 7315. Cited by: 0. [CrossRef]
- Wang, M.; Ding, Y.; Zhao, H. Digital prediction model of temperature-induced deflection for cable-stayed bridges based on learning of response-only data. Journal of Civil Structural Health Monitoring 2022, 12, 629 – 645. Cited by: 12. [CrossRef]
- Li, T.; Pan, Y.; Tong, K.; Ventura, C.E.; de Silva, C.W. A multi-scale attention neural network for sensor location selection and nonlinear structural seismic response prediction. Computers and Structures 2021, 248. Cited by: 40. [CrossRef]
- Liao, Y.; Lin, R.; Zhang, R.; Wu, G. Attention-based LSTM (AttLSTM) neural network for Seismic Response Modeling of Bridges. Computers and Structures 2023, 275. Cited by: 57. [CrossRef]
- Kim, S.; Kim, T. Machine-learning-based prediction of vortex-induced vibration in long-span bridges using limited information. Engineering Structures 2022, 266. Cited by: 24. [CrossRef]
- Bahrami, O.; Wang, W.; Hou, R.; Lynch, J.P. A sequence-to-sequence model for joint bridge response forecasting. Mechanical Systems and Signal Processing 2023, 203. Cited by: 3; All Open Access, Bronze Open Access. [CrossRef]
- Park, H.S.; Yoo, S.H.; Yun, D.Y.; Oh, B.K. Investigation on employment of time and frequency domain data for predicting nonlinear seismic responses of structures. Structures 2024, 61. Cited by: 3; All Open Access, Hybrid Gold Open Access. [CrossRef]
- Mariani, S.; Kalantari, A.; Kromanis, R.; Marzani, A. Data-driven modeling of long temperature time-series to capture the thermal behavior of bridges for SHM purposes. Mechanical Systems and Signal Processing 2024, 206. Cited by: 12; All Open Access, Green Open Access, Hybrid Gold Open Access. [CrossRef]
- Tan, X.; Chen, W.; Tan, X.; Zou, T.; Du, B. Prediction for the future mechanical behavior of underwater shield tunnel fusing deep learning algorithm on SHM data. Tunnelling and Underground Space Technology 2022, 125. Cited by: 21. [CrossRef]
- Tan, X.; Chen, W.; Zou, T.; Yang, J.; Du, B. Real-time prediction of mechanical behaviors of underwater shield tunnel structure using machine learning method based on structural health monitoring data. Journal of Rock Mechanics and Geotechnical Engineering 2023, 15, 886 – 895. Cited by: 32; All Open Access, Gold Open Access. [CrossRef]
- Tan, X.; Chen, W.; Yang, J.; Tan, X. Temporal–spatial coupled model for multi-prediction of tunnel structure: using deep attention-based temporal convolutional network. Journal of Civil Structural Health Monitoring 2022, 12, 675 – 687. Cited by: 6. [CrossRef]
- Pereira, M.; Glisic, B. A hybrid approach for prediction of long-term behavior of concrete structures. Journal of Civil Structural Health Monitoring 2022, 12, 891 – 911. Cited by: 6. [CrossRef]
- Nguyen, T.Q. A Data-Driven Approach to Structural Health Monitoring of Bridge Structures Based on the Discrete Model and FFT-Deep Learning. Journal of Vibration Engineering and Technologies 2021, 9, 1959 – 1981. Cited by: 23. [CrossRef]
- Cao, W.; Wen, Z.; Feng, Y.; Zhang, S.; Su, H. A Multi-Point Joint Prediction Model for High-Arch Dam Deformation Considering Spatial and Temporal Correlation. Water (Switzerland) 2024, 16. Cited by: 7; All Open Access, Gold Open Access. [CrossRef]
- Xu, Q.; Gao, Q.; Liu, Y. A method for suspenders tension identification of bridges based on the spatio-temporal correlation between the girder strain and suspenders tension. Computer-Aided Civil and Infrastructure Engineering 2024, 39, 1641 – 1658. Cited by: 2; All Open Access, Hybrid Gold Open Access. [CrossRef]
- Chen, T.; Guo, L.; Duan, A.; Gao, H.; Feng, T.; He, Y. A feature learning-based method for impact load reconstruction and localization of the plate-rib assembled structure. Structural Health Monitoring 2022, 21, 1590 – 1607. Cited by: 25. [CrossRef]
- Rosafalco, L.; Manzoni, A.; Corigliano, A.; Mariani, S. A Time Series Autoencoder for Load Identification via Dimensionality Reduction of Sensor Recordings †. Engineering Proceedings 2021, 2. Cited by: 3; All Open Access, Green Open Access, Hybrid Gold Open Access. [CrossRef]
- Huang, J.X.; Li, Q.S.; Han, X.L. Reconstruction of missing wind data based on limited wind pressure measurements and machine learning. Physics of Fluids 2024, 36. Cited by: 0. [CrossRef]
- Wang, Z.w.; Li, A.d.; Zhang, W.m.; Zhang, Y.f. Long-term missing wind data recovery using free access databases and deep learning for bridge health monitoring. Journal of Wind Engineering and Industrial Aerodynamics 2022, 230. Cited by: 19. [CrossRef]
- Huang, J.X.; Li, Q.S.; Han, X.L. Recovery of missing field measured wind pressures on a supertall building based on correlation analysis and machine learning. Journal of Wind Engineering and Industrial Aerodynamics 2022, 231. Cited by: 16. [CrossRef]
- Wang, Z.; Peng, Z. Structural acceleration response reconstruction based on BiLSTM network and multi-head attention mechanism. Structures 2024, 64. Cited by: 7. [CrossRef]
- Deng, Y.; Ju, H.; Li, Y.; Hu, Y.; Li, A. Abnormal Data Recovery of Structural Health Monitoring for Ancient City Wall Using Deep Learning Neural Network. International Journal of Architectural Heritage 2024, 18, 389 – 407. Cited by: 8. [CrossRef]
- Hao, C.; Liu, B.; Li, Y.; Zhuo, Y.; Ma, Y. A data recovery method for extra-long-span railway bridge health monitoring based on TVFEMD and CNN-GRU. Measurement Science and Technology 2024, 35. Cited by: 5. [CrossRef]
- Liu, H.; Ding, Y.L.; Zhao, H.W.; Wang, M.Y.; Geng, F.F. Deep learning-based recovery method for missing structural temperature data using LSTM network. Structural Monitoring and Maintenance 2020, 7, 109 – 124. Cited by: 28. [CrossRef]
- Song, J.; Yang, Z.; Li, X. Missing data imputation model for dam health monitoring based on mode decomposition and deep learning. Journal of Civil Structural Health Monitoring 2024, 14, 1111 – 1124. Cited by: 9. [CrossRef]
- Jiang, H.; Ge, E.; Wan, C.; Li, S.; Quek, S.T.; Yang, K.; Ding, Y.; Xue, S. Data anomaly detection with automatic feature selection and deep learning. Structures 2023, 57. Cited by: 4. [CrossRef]
- Liu, H.; Li, L. Anomaly Detection of High-Frequency Sensing Data in Transportation Infrastructure Monitoring System Based on Fine-Tuned Model. IEEE Sensors Journal 2023, 23, 8630 – 8638. Cited by: 12. [CrossRef]
- Son, H.; Jang, Y.; Kim, S.E.; Kim, D.; Park, J.W. Deep Learning-Based Anomaly Detection to Classify Inaccurate Data and Damaged Condition of a Cable-Stayed Bridge. IEEE Access 2021, 9, 124549 – 124559. Cited by: 24; All Open Access, Gold Open Access. [CrossRef]
- Khan, I.U.; Jeong, S.; Sim, S.H. Investigation of Issues in Data Anomaly Detection Using Deep-Learning- and Rule-Based Classifications for Long-Term Vibration Measurements. Applied Sciences (Switzerland) 2024, 14. Cited by: 3; All Open Access, Gold Open Access. [CrossRef]
- Zhao, M.; Sadhu, A.; Capretz, M. Multiclass anomaly detection in imbalanced structural health monitoring data using convolutional neural network. Journal of Infrastructure Preservation and Resilience 2022, 3. Cited by: 10; All Open Access, Gold Open Access. [CrossRef]
- Liu, C.; Pan, J.; Wang, J. An LSTM-based anomaly detection model for the deformation of concrete dams. Structural Health Monitoring 2024, 23, 1914 – 1925. Cited by: 10. [CrossRef]
- Manzini, N.; Orcesi, A.; Thom, C.; Brossault, M.A.; Botton, S.; Ortiz, M.; Dumoulin, J. Machine Learning Models Applied to a GNSS Sensor Network for Automated Bridge Anomaly Detection. Journal of Structural Engineering (United States) 2022, 148. Cited by: 4. [CrossRef]
- Zhang, C.; Lei, K.; Shi, X.; Wang, Y.; Wang, T.; Wang, X.; Zhou, L.; Zhang, C.; Zeng, X. A Reliable Virtual Sensing Architecture With Zero Additional Deployment Costs for SHM Systems. IEEE Sensors Journal 2024, 24, 38527 – 38539. Cited by: 1. [CrossRef]
- Arnold, M.; Keller, S. Machine Learning and Signal Processing for Bridge Traffic Classification with Radar Displacement Time-Series Data. Infrastructures 2024, 9. Cited by: 3; All Open Access, Gold Open Access. [CrossRef]
- Liang, G.; Ji, Z.; Zhong, Q.; Huang, Y.; Han, K. Vector Quantized Variational Autoencoder-Based Compressive Sampling Method for Time Series in Structural Health Monitoring. Sustainability (Switzerland) 2023, 15. Cited by: 2; All Open Access, Gold Open Access. [CrossRef]
- Dang, V.H.; Nguyen, T.T. Robust Vibration Output-only Structural Health Monitoring Framework Based on Multi-modal Feature Fusion and Self-learning. Periodica Polytechnica Civil Engineering 2023, 67, 416 – 430. Cited by: 4; All Open Access, Gold Open Access. [CrossRef]
- Nguyen, T.Q.; Nguyen, H.B. Structural health monitoring of bridge spans using Moment Cumulative Functions of Power Spectral Density (MCF-PSD) and deep learning. Bridge Structures 2021, 17, 15 – 39. Cited by: 7. [CrossRef]
- Fernández, J.; Chiachío, J.; Barros, J.; Chiachío, M.; Kulkarni, C.S. Physics-guided recurrent neural network trained with approximate Bayesian computation: A case study on structural response prognostics. Reliability Engineering `&’ System Safety 2024, 243, 109822. [CrossRef]
- Hlaing, N.; Morato, P.G.; Santos, F.d.N.; Weijtjens, W.; Devriendt, C.; Rigo, P. Farm-wide virtual load monitoring for offshore wind structures via Bayesian neural networks. Structural Health Monitoring 2024, 23, 1641 – 1663. Cited by: 4; All Open Access, Green Open Access. [CrossRef]
- Pereira, M.; Glisic, B. Detection and quantification of temperature sensor drift using probabilistic neural networks. Expert Systems with Applications 2023, 213. Cited by: 24; All Open Access, Hybrid Gold Open Access. [CrossRef]










| Aspect | AE | VAE | GAN | Normalizing Flows | Diffusion Models | Autoregressive Models | Energy-Based Models |
|---|---|---|---|---|---|---|---|
| Generative Nature | Deterministic decoder | Probabilistic decoder via latent sampling | Adversarial generator-discriminator | Invertible transformation of base distribution | Gradual denoising from noise | Step-wise prediction of sequence | Energy function defines density score |
| Latent Space | Yes (fixed) | Yes (stochastic) | Often implicit | Explicit and invertible | No explicit latent space | Typically absent | Optional |
| Training Objective | MSE reconstruction | ELBO = Rec. + KL | Minimax (adversarial) | Maximum likelihood | Score-matching or ELBO variant | MLE with teacher forcing | Contrastive divergence |
| Likelihood Estimate | No | Approximate lower bound | No | Exact | Approximate (sampling) | Exact (autoregressive) | Intractable |
| Sampling Efficiency | Fast (1 pass) | Fast (1 pass) | Fast (1 pass) | Fast (invertible map) | Slow (multi-step denoising) | Fast (step-by-step) | Slow (requires MCMC) |
| Time Series Suitability | Weak (static) | Moderate with encoder/decoder | Requires temporal adaptation (e.g. RNN-GAN) | Challenging for long sequences | Promising (e.g. TimeGrad, DiffWave) | Excellent (causal modeling) | Limited or theoretical |
| Uncertainty Modeling | No | Yes | No | Limited | Yes | Limited | Yes |
| Mode Collapse Risk | Low | Low | High | Low | Low | N/A | Medium |
| Interpretability | Moderate | Moderate | Low | Moderate to high | Moderate | High | Low to moderate |
| Use in Anomaly Detection | Reconstruction error | Posterior deviation | Discriminator confidence | Log-likelihood score | Score deviation | Forecast residual | Energy score |
| Example Models | LSTM-AE, TCN-AE | VRNN, Temporal VAE | TimeGAN, C-RNN-GAN | RealNVP, MAF, Glow | TimeGrad, DiffWave | WaveNet, TransformerXL, GPT | Score-based EBMs, CPC |
Disclaimer/Publisher’s Note: The statements, opinions and data contained in all publications are solely those of the individual author(s) and contributor(s) and not of MDPI and/or the editor(s). MDPI and/or the editor(s) disclaim responsibility for any injury to people or property resulting from any ideas, methods, instructions or products referred to in the content. |
© 2025 by the authors. Licensee MDPI, Basel, Switzerland. This article is an open access article distributed under the terms and conditions of the Creative Commons Attribution (CC BY) license (http://creativecommons.org/licenses/by/4.0/).